Artículo de investigación
Recepción: 07 junio 2023
Aprobación: 16 abril 2024

Resumen: Este artículo examina cómo la Organización Social del Cuidado (OSC) en México se asocia con la actividad económica de hombres y mujeres, destacamos la desfavorable asociación del trabajo de cuidado y la inserción en el mercado laboral, la posición ocupacional y la brecha salarial, utilizando datos de la Encuesta Nacional de Ocupación y Empleo (ENOE) del Instituto Nacional de Estadística y Geografía (INEGI, 2019). Los resultados muestran desigualdad en la OSC por género e intragénero (femenino); contrario a lo esperado, el apoyo al cuidado tiene una asociación más fuerte que el cuidado directo con la participación en el mercado laboral y en la brecha salarial; además, las categorías de trabajo de cuidado tienen una asociación negativa con el acceso a trabajos asalariados, aun controlando por características individuales y familiares. Finalmente, este estudio confirma que la desigualdad en la OSC se asocia con desventajas laborales para las mujeres, ya que son quienes dedican mayor tiempo al trabajo de cuidado y deben conciliar actividades familiares y laborales, resaltando la necesidad de una reorganización social del cuidado más igualitaria entre mujeres y hombres.
Palabras clave: Trabajo cuidado, mercado laboral, ocupación, brecha salarial de género, desigualdad.
Abstract: This paper examines how the social organization of care (SOC) in Mexico affects the economic activity of men and women. We highlight the detrimental association of care work on access to the labor market, class of work and wage gap, using data from the National Survey on Occupation and Employment (ENOE). Results show an unequitable SOC by gender and intragender (women). Contrary to what we expected, we found that support care has a higher effect than direct care for accessing the labor market, as well as having salaried employment, and on the wage gap; furthermore, the categories of care work have a negative association when accessing in a salaried job, even controlling for individual and family characteristics. Finally, this study confirms the unequal SOC is associated with labor disadvantages for women because they must reconcile familiar and work activities, highlighting the necessity of a social reorganization of care.
Keywords: Care work, labor market, class of work, salary gender gap, inequality.
Introducción
El concepto de Organización Social del Cuidado (OSC) se utiliza para estudiar los efectos del trabajo de cuidado en la vida de las personas (Esquivel, 2012) y sus implicaciones en la actividad económica de mujeres y hombres. Diversas investigaciones documentan las desfavorables consecuencias al trabajo de cuidado no remunerado en la actividad económica de quienes cuidan, particularmente en su relación con la participación en el mercado laboral (García y Pacheco, 2012; Orozco, 2015; Pedrero y Pacheco, 2023). Sin embargo, en México hay escasos estudios respecto a las implicaciones de manera integral, como un proceso que permita entender la relación entre la inserción laboral, el tipo de ocupación y los salarios de las personas que realizan trabajo de cuidado no remunerado en el ámbito familiar, así como las diferencias salariales entre hombres y mujeres.
Este es precisamente el objetivo del presente trabajo. Por ello, se propone responder a las siguientes preguntas: ¿las distintas categorías del trabajo de cuidado no remunerado tienen asociaciones negativas en cada una de las etapas del proceso (inserción laboral, tipo de ocupación y remuneración)?, ¿cuál tipo de cuidado tiene mayor asociación negativa en cada etapa? Con ello, este tipo de estudios empíricos se sitúa a la vanguardia en la región latinoamericana. En México y en otros países de la región existe desigualdad en la OSC; por lo anterior, se espera que el trabajo de cuidado tenga un efecto negativo en el acceso al mercado laboral, genere participación laboral diferenciada y una brecha salarial entre quienes no proveen y quienes sí proveen cuidado de manera informal (no remunerado) con desventajas para las mujeres que son quienes están más intensamente involucradas en este tipo de actividades.
Referentes conceptuales
En los últimos años, el trabajo de cuidado y su organización han cobrado mayor relevancia, escribir sobre la OSC implica referirse a la demanda del cuidado y a la manera en cómo se entienden, ejecutan y distribuyen los requerimientos en los niveles macro y micro. A nivel macro se analiza la distribución del cuidado entre el estado, el mercado, la familia y la comunidad (Leiva, 2015; Arriagada, 2010; Orozco y González, 2021; Robles, 2023). En este sentido, se sabe que en 98% de los hogares mexicanos se realiza algún tipo de cuidado, lo que refleja una familiarización del mismo (Orozco y González, 2021). A nivel micro, la feminización del cuidado se expresa de manera más clara, ya que la atención se centra en la distribución de la demanda de cuidado al interior de los hogares, recayendo en las mujeres por su rol de madres o abuelas, quienes participan de manera notable y tradicional (Rodríguez y Marzonetto, 2015; Orozco y González, 2021). Las cifras indican que en los hogares mexicanos las mujeres aportan un 83% del tiempo total dedicado al trabajo de cuidado no remunerado (Orozco y González, 2021). Ante estas situaciones, se evidencia que la actual OSC en la región de Latinoamérica es injusta y se convierte en un mecanismo que perpetúa las desigualdades socioeconómicas hacia las mujeres (Rodríguez y Marzonetto, 2015; Batthyány, 2020). De ahí la importancia de enfatizar que la organización social del cuidado se sustenta en el trabajo no remunerado desempeñado por las mujeres, ante el escaso apoyo del Estado y los bajos ingresos de las familias para acceder a servicios de cuidado en el mercado (Barba, 2021).
El trabajo de cuidado no remunerado se compone de diferentes categorías, tales como: a) el cuidado directo e imprescindible, b) el cuidado socialmente creado, c) el cuidado indirecto, d) el apoyo al cuidado y e) el autocuidado (González et al., 2020). El cuidado directo e imprescindible incluye alimentar, bañar y vestir a terceras personas; el cuidado socialmente creado incluye actividades relacionadas con brindar apoyo en la realización de tareas escolares o en terapias especiales; el cuidado indirecto incluye la gestión del hogar, como proporcionar transporte a escuelas o centros de salud; el apoyo al cuidado incluye la preparación de alimentos o la limpieza del lugar de cuidado, así como la supervisión que implica estar al pendiente de alguien, aunque estén dormidos; y el autocuidado incluye todas las anteriores para una o uno mismo (González et al., 2020).
Desde una perspectiva económica, el trabajo de cuidado está presente continuamente en la reproducción social, para la satisfacción de las necesidades cotidianas y en el sostenimiento de la vida (Batthyány, 2020; Pedrero y Pacheco, 2023); desde esta perspectiva, se considera como trabajo reproductivo, mientras que el trabajo productivo para el mercado es el que genera un ingreso, dado su valor de cambio. Bajo esta dualidad predomina la visión androcentrista de la división sexual del trabajo, en la cual las mujeres son responsables del trabajo reproductivo desde el ámbito privado e invisibilizado, mientras que los hombres asumen el trabajo productivo. Sin embargo, desde el siglo pasado se ha mostrado un aumento importante de la participación femenina en el mercado laboral, sin dejar sus responsabilidades reproductivas, principalmente de cuidado (Orozco, 2015; Pedrero y Pacheco, 2023). Las políticas públicas se orientan principalmente en la conciliación del trabajo productivo con el de cuidados, en el cual las mujeres continúan siendo las principales responsables de los cuidados. Esto conlleva a sobrecargas de trabajo y elevados niveles de estrés ante la necesidad de conciliar el trabajo de cuidado con el de mercado, reforzándose las desigualdades de género (Llanes y Pacheco, 2021; Godoy y Marentes, 2022). De ahí la importancia de analizar las implicaciones económicas para quienes cuidan. Estas implicaciones dependen del tipo y de la intensidad (generalmente medida en horas) del trabajo de cuidado. El cuidado directo e imprescindible representa mayor grado de interacción entre personas que reciben y brindan cuidados, generalmente es más intenso e impone un horario más rígido para ser realizado (Suh, 2014; González et al., 2020); por lo tanto, brindar atención directa e imprescindible generalmente limita la capacidad en una persona para participar en el mercado laboral; por su parte, el apoyo al cuidado es una categoría que comúnmente se deja de lado, aun cuando prepara el escenario para la ejecución del cuidado directo (Suh, 2016), y del cual también se han documentado sus implicaciones económicas. Por ello, en esta investigación, el apoyo al cuidado se considera como parte del trabajo no remunerado.
En cuanto a las implicaciones económicas asociadas con la OSC, particularmente para quienes brindan cuidados, en su mayoría mujeres, han sido ampliamente documentadas las restricciones que el trabajo no remunerado impone a la participación femenina en el mercado laboral (García y Pacheco, 2012; Orozco, 2015; Llanes y Pacheco, 2021); por ejemplo, el acceso diferenciado a determinadas ocupaciones y la duración de la jornada laboral, así como menor propensión a participar de forma asalariada y mayor a tener ocupaciones independientes. Esto significa que las mujeres tienen menos oportunidades de desempeñar un trabajo con prestaciones laborales y seguridad social, ya que en las ocupaciones por cuenta propia son escasos estos beneficios. Además, se ha documentado la asociación del cuidado con la participación de las mujeres en empleos de tiempo parcial, jornadas prolongadas o intermitentes (Armijo, 2016; Castro, 2023), el desempleo encubierto o desalentado por no poder buscar activamente un empleo (Márquez y Mora, 2014).
Estas situaciones ponen de manifiesto que las responsabilidades asociadas al cuidado de integrantes del hogar y de la familia recaen mayoritariamente en las mujeres, por lo que su participación en el mercado laboral representa una sobrecarga de trabajo mayor que la de los hombres. Además, existe una serie de estudios que examinan los efectos del trabajo no remunerado en la diferencia salarial por género (Qi y Dong, 2016; Pedrero y Pacheco, 2023). Esta literatura destaca que se trata de un grupo selecto de mujeres que, a pesar de sus exigencias familiares, logran obtener trabajos asalariados, los cuales tienden a ser intensivos y rígidos en utilización de la fuerza de trabajo, pero que también ofrecen mayores beneficios que otras ocupaciones en el corto y largo plazos, como las pensiones.
Datos
Para lograr el objetivo se utiliza información de la ENOE correspondiente al tercer trimestre de 2019, dicha encuesta es representativa a nivel nacional, con desagregación por tamaño de localidad y entidades federativas de México; se caracteriza por utilizar un esquema rotatorio de las viviendas seleccionadas, las cuales se visitan en cinco trimestres consecutivos y se reemplaza el 20% de la muestra por haber cumplido su ciclo de cinco visitas (INEGI, 2023).
La ENOE permite examinar las desigualdades en el mercado laboral y del trabajo no remunerado, proporcionando información detallada y amplia sobre la población en edad de trabajar (12 años y más), así como las características sociodemográficas de las personas integrantes del hogar. Además, recopila información específica sobre el trabajo de cuidado al incluir preguntas sintéticas sobre uso del tiempo y tiene alta comparabilidad con la Encuesta Nacional de Uso del Tiempo (ENUT) (González et al., 2020). Este estudio utiliza información de la población urbana1 entre 15 y 70 años, con una muestra inicial de 236,784 individuos para el análisis de la participación en el mercado laboral urbano y una muestra de 99,477 individuos en ocupaciones asalariadas para el análisis de la brecha salarial por género en México.
Métodos
Como se menciona en las preguntas de investigación, se analizan tres etapas: el acceso al mercado laboral, basado en estadísticas descriptivas del promedio de horas dedicadas al trabajo de cuidado por semana, diferenciando entre hombres y mujeres según su condición de ocupación; en dicha etapa se aplican pruebas de diferencias de medias. Posteriormente, se estima un modelo de regresión multinomial probit por sexo, para analizar la asociación entre la posición en la ocupación y cada una de las categorías de cuidado. Finalmente, se emplea el método de Oaxaca (Oaxaca, 1973) para identificar cómo afecta el trabajo de cuidado a las diferencias salariales entre hombres y mujeres.
Variables
Utilizamos la posición en la ocupación para analizar la asociación del trabajo de cuidado con la participación en el mercado laboral. Las categorías utilizadas son: 1) no ocupada, 2) subordinada asalariada, 3) subordinada no asalariada, 4) empleadora, 5) cuenta propia y 6) ocupada sin pago.
Las principales variables explicativas son las categorías de cuidado: cuidado directo, cuidado de gestión y apoyo al cuidado. Se decidió codificar diferente el tiempo dedicado al trabajo de cuidado, dado que una proporción significativa de hombres no cuida y aquellos que sí lo hacen dedican pocas horas a esta actividad. Para las mujeres, en cambio, las categorías se crearon utilizando el número de horas: cero horas, de 1 a menos de 15, de 15 a menos de 35, de 35 a menos de 50, y de 50 o más horas a la semana. Para los hombres se crearon variables dicotómicas sobre si cuidan o no. Los modelos incluyen variables sociodemográficas de control: edad, logro educativo, estado conyugal, parentesco, tipo de hogar y tamaño de localidad.
La brecha salarial por género se estima desde dos perspectivas: logaritmos naturales del salario mensual2 y del salario por hora de la población ocupada asalariada. Las principales variables explicativas son las horas semanales de trabajo de cuidado en sus tres categorías: directo, de gestión y de apoyo al cuidado. En este modelo se controlan variables de capital humano, como el logro educativo medido en años de educación formal, la experiencia potencial (estimada como la diferencia entre la edad y el logro educativo menos seis, que es la edad en la que las personas ingresan a la educación primaria; en las mujeres también se resta un año por cada hijo para considerar la pérdida o menor acumulación de capital humano asociado a la maternidad). Respecto a características laborales, se controla por el tamaño de la unidad económica si es de tiempo parcial (<35 horas) o no, si labora en el sector público o no, si trabajo en la informalidad y ocupaciones clasificadas según si son manuales y según calificación. Además, se controla por el estado conyugal y la región.
La estimación de la brecha salarial se ajusta por el posible sesgo de selección en la etapa previa; es decir, en la selectividad que pudiera existir en la participación en el trabajo de mercado y en el trabajo asalariado; para ello, se estima un modelo probit bivariado para obtener la probabilidad de participación en el mercado laboral y en el trabajo asalariado; posteriormente, se calcula la Razón Inversa de Mills (RIM), que se incorpora como variable en los modelos de la brecha salarial para corregir el sesgo de selectividad
Resultados
Trabajo de cuidado y diferenciada participación económica
La tradicional división sexual del trabajo es evidente en México, generalmente las mujeres participan en trabajos no remunerados y en el ámbito privado, y los hombres en el trabajo remunerado y en el ámbito público. Los hombres tienen mayor participación en el trabajo de mercado (74.4%) que las mujeres (46.5%), mientras que ellas tienen una mayor participación en el trabajo de cuidado no remunerado (96.6%) que los hombres (67.7%) (cuadro I). Aunque se observa una participación relativa de las mujeres en el trabajo de mercado y de los hombres en el trabajo de cuidado no remunerado que podría suponer un desplazamiento de la división sexual del trabajo tradicional hacia uno más igualitario, la brecha en el número de horas dedicadas a cada uno de los trabajos indica que dicha división sexual del trabajo continua vigente (cuadro II). Esto es más evidente en las diferencias en el trabajo no remunerado (incluido el cuidado), como ya ha sido mostrado por otras investigaciones (Pedrero, 2005; Orozco, 2015; Rodríguez y García, 2020; Pedrero y Pacheco, 2023).


Entre la población que no participa en el mercado laboral —no ocupada—, las mujeres dedican notablemente más tiempo que los hombres al trabajo de cuidado (cuadro II) con 30.0 y 7.1 horas semanales, respectivamente. Es decir, las mujeres cuadruplican el tiempo en comparación al que los hombres dedican al trabajo no remunerado (Razón M/H = 4.2). Lo mismo se observa entre la población ocupada: las mujeres realizan 4.3 veces más trabajo de cuidado que los hombres, quienes dedican 5.1 horas semanales, mientras que las mujeres dedican 21.8 horas semanales. Sin embargo, esta diferencia no es tan marcada en la jornada de trabajo de mercado, pues las mujeres realizan jornadas relativamente similares a los hombres: las mujeres dedican 39.0 horas semanales y los hombres 47.1 hora semanales.
Al combinar el total de horas dedicadas al trabajo remunerado y no remunerado, es evidente la desproporcionada carga global de trabajo en la población ocupada, especialmente en las mujeres. Respecto a la población ocupada, las mujeres y los hombres trabajan 63.3 y 53.8 horas semanales, respectivamente, incluyendo las horas de trabajo remunerado y no remunerado. Es decir, la jornada de trabajo de las mujeres ocupadas es 20% mayor que la de los hombres, debido a que ellas dedican más tiempo al trabajo no remunerado y un poco menos al trabajo remunerado. Este hecho alude al concepto de “revolución estancada” planteado por Hochschild (1989), quien destaca el incremento de la participación femenina en el mercado laboral, aun realizando el trabajo proveniente de la esfera familiar, derivado principalmente de su rol de madres y cónyuges (Pedrero y Pacheco, 2023), sin que esto conlleve a un aumento recíproco de la participación y volumen en el trabajo de cuidado, en sus diversas categorías por parte de los hombres (Godoy y Marentes, 2022). Así, mientras se mantenga el exceso de horas de trabajo y las dobles jornadas en las mujeres, y el desigual reparto en el trabajo de cuidado, dicha revolución continuará estancada. Por ello, la distribución desigual de la carga de trabajo remunerado y no remunerado entre hombres y mujeres conlleva desfavorables implicaciones económicas para las mujeres, empujándolas a conciliar la vida económica y familiar con mayor frecuencia que los hombres.
Trabajo de cuidado y la posición en la ocupación
Centrando la atención en la población ocupada, hay notables diferencias por género en el tiempo dedicado al cuidado y entre mujeres, como se muestra en el cuadro III. Las ocupadas en trabajos asalariados3 y las que son empleadoras dedican menos tiempo al trabajo de cuidado no remunerado que otras mujeres ocupadas; además, también pasan más tiempo en el mercado laboral, y en ambos casos hay diferencias estadísticas significativas.

Las mujeres asalariadas dedican 20.3 horas semanales al trabajo de cuidado y 41.2 horas al trabajo en el mercado laboral. En contraste, las mujeres por cuenta propia dedican más tiempo al trabajo de cuidado (33.1 horas semanales) y, junto con las ocupadas no asalariadas, dedican menos tiempo al trabajo de mercado (entre 23 y 26 horas semanales, diferencias estadísticamente significativas). Esto sugiere que el tiempo dedicado al trabajo de cuidado se asocia diferencialmente con la posición en la ocupación a la que acceden las mujeres y tiene implicaciones económicas una vez que ingresan al mercado laboral, como el acceso a la seguridad social, prestaciones laborales o ingresos.
En cuanto a la posición ocupacional de los hombres, no se observan diferencias significativas; en general, dedican alrededor de cinco horas a la semana al trabajo de cuidado. Los hombres empleadores y los trabajadores no asalariados dedican menos tiempo al trabajo de cuidado que el resto de ocupados y más tiempo al mercado laboral, con diferencias estadísticamente significativas.
La principal fuente de empleos en México es el trabajo asalariado, representando alrededor del 70% de toda la población urbana ocupada, seguido por el trabajo por cuenta propia con el 20% (datos no mostrados). Además, el trabajo asalariado es la ocupación que más prestaciones laborales provee a la población trabajadora; cerca del 70% de las personas asalariadas tienen algún tipo de prestación laboral, como servicios médicos, licencias maternidad o paternidad y ahorro para el retiro, entre otras, sin existir diferencias marcadas entre hombres y mujeres asalariados.
Para las ocupaciones por cuenta propia, la segunda en importancia, las prestaciones son prácticamente nulas, pues menos del 1% de las y los trabajadores por cuenta propia tienen algún tipo de prestación laboral. Estos hechos revelan la importancia de examinar la asociación del trabajo de cuidado con el tipo de ocupación de hombres y mujeres; en las mujeres, por ser ellas quienes participan en mayor proporción en el trabajo de cuidado (cuadro I), y para observar las diferencias intragénero en el tipo de ocupación dadas sus horas de cuidado no remunerado. Lo anterior cobra relevancia desde las desigualdades socioeconómicas gestadas a lo largo de la vida, pues se ha documentado que las mujeres con escasa educación formal son las más vulnerables en el acceso a empleos con prestaciones laborales, y además experimentan una relación más desigual en el reparto del trabajo no remunerado entre sus pares (Castro, 2023; Pedrero y Pacheco, 2023).
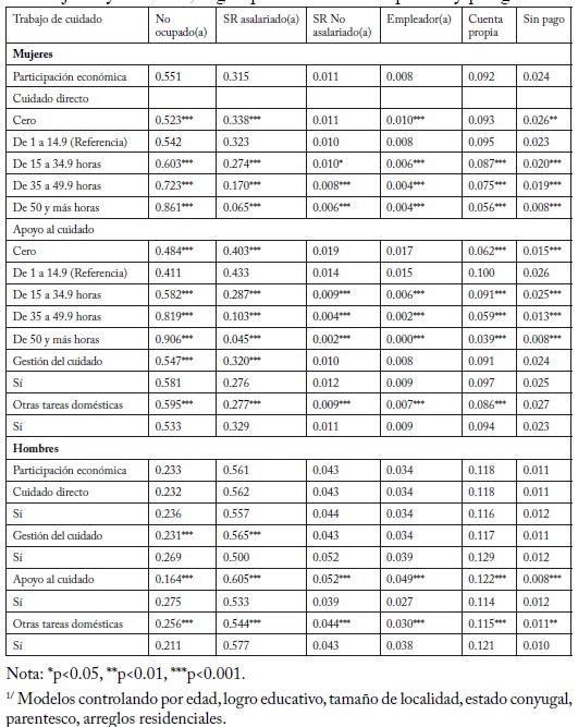
El cuadro IV presenta las probabilidades estimadas resultantes del modelo de regresión sobre la asociación del trabajo de cuidado no remunerado4 y la participación en el mercado laboral según la posición en la ocupación.5
Para las mujeres, el trabajo de cuidado tiene una asociación estadísticamente significativa con la participación laboral y con la posición en la ocupación, y dicha asociación varía entre las categorías de cuidado examinadas: directo, gestión y apoyo al cuidado.
En esta etapa del análisis de la asociación entre el trabajo de cuidado y el trabajo en el mercado, un primer hallazgo es que las mujeres que dedican mayor número de horas al cuidado no remunerado —directo, gestión o apoyo al cuidado— tienen mayores probabilidades de no participar en el mercado laboral; por ejemplo, las mujeres que dedican 50 horas o más semanales en apoyo al cuidado tienen una probabilidad de 0.906 de no participar, mientras que las que dedican de una a 14.9 horas semanales tienen una probabilidad de 0.411; además, las mujeres que proveen 50 horas o más de cuidado directo tienen una probabilidad de 0.861 de no estar ocupadas en el mercado laboral, mientras que aquellas que proveen cuidado directo de una a 14.9 horas semanales tienen una probabilidad menor (de 0.523). Este fenómeno cobra sentido debido a que el tiempo es un recurso finito y, por ende, la extenuante carga de trabajo de cuidado que experimentan las mujeres se contrapone a la participación en el mercado laboral, considerando las actividades de autocuidado necesarias para la supervivencia humana, como dormir y comer.

Segundo, en contraste con estos datos, la probabilidad de que las mujeres estén empleadas como asalariadas disminuye conforme dedican más tiempo al trabajo de cuidado (directo, gestión y apoyo al cuidado). Esta relación se observa en todas las posiciones de trabajo, aunque las probabilidades más altas están asociadas con el apoyo al cuidado y el cuidado directo. Las mujeres que reportan dedicar más tiempo a alguna de estas dos categorías de cuidado tienen menor probabilidad de ser asalariadas: aquellas que dedican 50 o más horas semanales al apoyo al cuidado tienen una probabilidad de 0.045, mientras que las que dedican entre una a 14.9 horas semanales tienen una probabilidad de 0.433. Por otro lado, las mujeres que dedican 50 o más horas al cuidado directo tienen una probabilidad de 0.065 de estar empleadas como asalariadas, mientras que entre las que no realizan cuidado directo la probabilidad es de 0.338. Esto sugiere que las mujeres asalariadas representan un grupo aún más selecto que, a pesar de las demandas de cuidado, logran mantenerse en el mercado laboral de forma asalariada, en comparación con aquellas que permanecen al margen del trabajo remunerado o en ocupaciones menos privilegiadas.
Los resultados demuestran que existe una asociación diferenciada entre las tres categorías de cuidado examinadas y la actividad económica de las mujeres, cada una con distintas implicaciones económicas. Es decir, jornadas más largas de apoyo al cuidado y cuidado directo que proporcionan las mujeres se asocian principalmente con la no participación en el mercado laboral, lo que tiene implicaciones económicas negativas al no contar con ingresos propios ni seguridad social. Para las mujeres que están ocupadas en el mercado laboral, dada su jornada de trabajo de cuidado, tienen menor oportunidad de tener un empleo asalariado y tener trabajos con escasas o nulas prestaciones laborales.
Para los hombres, el análisis de la asociación entre el trabajo de cuidado y la participación en el mercado laboral, así como la posición en la ocupación, considera si realizan o no cuidado, dado que en promedio dedican menos de dos horas al trabajo de cuidado directo y tres horas semanales al apoyo al cuidado (cuadro III). En el cuadro IV se observa una asociación leve entre el trabajo de cuidado no remunerado y la participación en el mercado laboral. Es notable que el trabajo de cuidado resulta estadísticamente no significativo, tanto para la participación en el mercado laboral como para cada tipo de ocupación, mientras que para el trabajo de gestión y de apoyo al cuidado sí se encontraron diferencias estadísticamente significativas. Especialmente destaca el trabajo de apoyo al cuidado, ya que quienes realizan este tipo de cuidado tienen una probabilidad de 0.275 de no participar en el mercado laboral, mientras que para aquellos que no realizan trabajo de apoyo al cuidado la probabilidad de no estar en el mercado laboral es menor (de 0.164).
Estos resultados contribuyen a responder algunas de las preguntas de investigación planteadas, ya que el trabajo de cuidado no remunerado está asociado negativamente con la inserción laboral y el tipo de ocupación, siendo esta asociación más marcada en las mujeres que en los hombres, en parte debido a que las mujeres dedican más tiempo al trabajo de cuidado. En términos generales, se puede afirmar que el trabajo de cuidado se asocia con la no participación en el mercado laboral o con el acceso a trabajos con prestaciones laborales limitadas o inexistentes, lo que conlleva a otras implicaciones económicas en términos de ingresos laborales.
Trabajo de cuidado y la brecha salarial por género
Más allá de su cobertura en las prestaciones laborales y del estrecho vínculo que guarda con el trabajo de cuidado no remunerado, otro aspecto que destaca en el trabajo asalariado respecto a otras ocupaciones es el nivel de ingreso laboral. En el cuadro V se observa que las personas asalariadas tienen un salario mensual superior al de hombres y mujeres que trabajan por cuenta propia, los subordinados remunerados no asalariados y, por supuesto, los no asalariados (estadísticamente significativo). Esto se explica en parte porque las y los asalariados trabajan en promedio un mayor número de horas para el mercado que quienes trabajan por cuenta propia (cuadro III y V).

En todas las ocupaciones el salario mensual de los hombres es superior al de las mujeres; las diferencias porcentuales más bajas se observan entre la población asalariada y entre las y los empleadores con 19.7 y 26.5%, respectivamente; en contraste, las y los trabajadores por cuenta propia muestran las mayores diferencias, alcanzando un 58.9%. Al analizar las diferencias salariales por hora entre hombres y mujeres estas se reducen, siendo del 7.5% a favor de los hombres para la población ocupada en general. Entre las personas asalariadas y empleadoras, las diferencias no son estadísticamente significativas, y aunque sí lo son entre las y los trabajadores por cuenta propia, estas son relativamente bajas.
El siguiente resultado analizado es la diferencia salarial entre personas asalariadas, empleando modelos que controlan las diferencias en las características de hombres y mujeres; se seleccionó éste por ser un grupo selecto dentro del mercado laboral, debido a sus demandas de cuidado, el acceso a mayores prestaciones laborales y mejores salarios en comparación con el resto de las y los ocupados en el mercado. Es importante recordar que el sector femenino representa un grupo más selecto que el de hombres, ya que sólo 46.5% de las mujeres de 15 a 70 años trabaja para el mercado, de las cuales el 70% se inserta como asalariada (cuadro I y IV).
En el cuadro VI se presentan los promedios del logaritmo natural del salario mensual y por hora. En dicho cuadro se observa que la brecha salarial por género continua vigente en México. En promedio, los hombres ganan 11.3% más que las mujeres en términos de salario mensual, pero esta brecha se invierte a un -7.7% cuando se compara el salario por hora. Es decir, los hombres ganan 7.7% menos que las mujeres por hora trabajada.

Pero ¿cuánto de las brechas salariales se debe a diferencias en las características entre hombres y mujeres? ¿Y cuánto se debe a una compensación diferenciada a hombres y mujeres con las mismas características? Podemos descomponer la brecha en dos partes: la parte explicada y la no explicada. La parte explicada refiere a las diferencias en las características examinadas entre hombres y mujeres que impactan en la brecha salarial, como las diferencias en las jornadas de cuidado no remunerado o en la educación. En cambio, la parte no explicada se refiere a cómo las personas empleadoras6 compensan o pagan de manera diferenciada características similares a hombres y mujeres. En otras palabras, la parte no explicada nos ayuda a entender si, ante un tiempo igual de trabajo de cuidado no remunerado o una educación similar, las asalariadas reciben un salario diferente o igual que sus pares masculinos.
Además, se muestra el desglose de la brecha en puntos logarítmicos y porcentajes. La parte explicada de la brecha salarial mensual indica que las diferencias en las características relacionadas con el capital humano, características laborales y el trabajo de cuidado no remunerado entre hombres y mujeres aportan el 61.7% a la brecha. La parte no explicada, que se refiere a la compensación diferenciada a salarios de hombres y de mujeres ante mismas características, representa el 38.3% de la brecha salarial mensual. Esto significa que la brecha salarial mensual se debe principalmente a las diferencias en las características de hombres y mujeres, y en menor medida a la compensación diferenciada en el mercado laboral a mismas características de hombres y mujeres; sin embargo, se demuestra que persisten tales diferencias, colocando a las mujeres en desventaja al intentar conciliar el trabajo de mercado con el de cuidado.
Al analizar la brecha salarial por hora, se observa que las mujeres ganan más que los hombres; sin embargo, dicha brecha se debe principalmente a la parte explicada, que representa el 98.8% de la brecha salarial. Este cambio de signo entre la brecha salarial mensual y por hora se debe, en cierta medida, al controlar el tiempo parcial en el modelo. Trabajar menos horas representa una desventaja en el salario total, especialmente para las mujeres, dado que ellas son quienes más comúnmente trabajan en este tipo de jornada (cuadro III).
Recordemos que este estudio parte de la premisa de que la asociación negativa del trabajo de cuidado permea en el proceso laboral planteado: acceso, tipo de ocupación y salarios. En este sentido, el trabajo de cuidado se refleja en las desigualdades de género en la parte explicada de la brecha salarial, particularmente en la duración de la jornada laboral en el mercado de trabajo.
La contribución del trabajo de cuidado no remunerado en la brecha salarial en sus tres categorías —directo, gestión y apoyo— revela que el cuidado de gestión tiene una contribución mínima en la parte explicada y no explicada de ambas brechas salariales. Esto podría estar relacionado con el bajo número de horas dedicadas a este tipo de cuidado, siendo similar para ambos géneros (datos no mostrados). Por otro lado, el cuidado directo tiene un efecto negativo en la parte explicada, siendo estadísticamente significativo en ambas brechas salariales; este resultado es contrario a lo esperado, una posible explicación podría ser que tanto hombres como mujeres que tienen un trabajo asalariado constituyen un grupo selecto que, a pesar de dedicar horas al cuidado directo, ocupan posiciones asalariadas con salarios comparables (cuadro V). Además, las implicaciones acumulativas del trabajo de cuidado sobre la actividad económica, como la decisión de participar en el mercado laboral, el tipo de ocupación y la jornada laboral, están relacionadas con un sesgo de selección que se ha ajustado en los modelos de regresión de las brechas salariales
El apoyo al cuidado es una categoría que a menudo se descuida en la discusión sobre el trabajo de cuidado no remunerado, aunque comprende actividades que preparan el terreno para la ejecución del cuidado directo, principalmente. Sin embargo, este estudio ha revelado su importancia al mostrar implicaciones negativas en cada etapa examinada, incluida la brecha salarial. Las horas dedicadas al apoyo al cuidado muestran efectos positivos y son estadísticamente significativas, tanto para la parte explicada como para la no explicada en ambas brechas salariales —mensual y por hora—. Esto indica que las diferencias en el tiempo dedicado a esta categoría de cuidado por hombres y por mujeres aumentan la brecha salarial en ambos sentidos.
En resumen, los resultados destacan la importancia de analizar conjuntamente las categorías de trabajo de cuidado —directo, de gestión y de apoyo—, para comprender las diferentes implicaciones que tienen en las actividades económicas de quienes cuidan, siendo en su mayoría mujeres.
Discusión
Sin duda, la actual OSC en México es desigual y se asocia negativamente con la actividad económica de quienes cuidan. Sus implicaciones económicas se reflejan mayoritariamente en las mujeres, quienes son las principales cuidadoras dentro del ámbito familiar, enfrentando una menor inserción en el mercado laboral, trabajando en ocupaciones precarias y con salarios más bajos.
En este trabajo se documenta que las desigualdades están interconectadas, ya que las generadas en el ámbito privado se trasladan al público. En particular, la desigual OSC, centrada principalmente en la familia y en las mujeres (Rodríguez y Marzonetto, 2015; Batthyány, 2020), está asociada con desigualdades en el ámbito laboral, como han documentado trabajos previos para el caso de México (Orozco, 2015; Llanes y Pacheco, 2021; Pedrero y Pacheco, 2023).
En un primer momento se observan las disparidades de género, tanto en la división del trabajo de cuidado no remunerado como en la participación en la actividad económica. Las mujeres realizan más trabajo de cuidado no remunerado que los hombres, especialmente entre aquellas que no son económicamente activas, una situación que ha persistido a lo largo del tiempo (Pedrero y Pacheco, 2023). Este hecho subraya la necesidad de profundizar en el análisis de los perfiles de hombres y mujeres económicamente inactivos y su vinculación con las actividades de cuidado.
Además, la población ocupada experimenta una sobrecarga de trabajo, tanto remunerado como no remunerado, siendo las mujeres ocupadas quienes soportan las mayores cargas, dedican numerosas horas semanales al trabajo no remunerado, a pesar de que sus jornadas laborales remuneradas son similares en duración que las de los hombres ocupados. Esto pone de manifiesto la revolución estancada que enfrentan las mujeres (Hochschild, 1980), dado que persisten políticas públicas que buscan la conciliación del trabajo de mercado con el de cuidado (Godoy y Marentes, 2022), en lugar de proporcionar mecanismos adicionales que fomenten una reorganización social del cuidado entre instituciones y géneros.
En segundo lugar, las diferencias intragénero, específicamente al analizar el tiempo dedicado al cuidado no remunerado según la condición en la actividad económica de las mujeres, indican que el trabajo de cuidado está asociado con el trabajo asalariado. En cuanto a la participación en el mercado laboral, las mujeres que no participan en el mercado de trabajo realizan, en promedio, más horas de cuidado que aquellas que sí participan. Respecto a la ocupación, las mujeres que trabajan por cuenta propia tienen una carga de cuidados mayor que las que tienen una ocupación asalariada. Lo anterior coincide con hallazgos de otras investigaciones que destacan cómo las mujeres se desalientan de participar en el mercado laboral debido a sus cargas de trabajo no remunerado (Márquez y Mora, 2014), contribuyendo al fenómeno poco analizado del desempleo encubierto. Alternativamente, se ven obligadas a sumarse a las filas de la precariedad o la informalidad laboral en busca de ingresos económicos (Orozco, 2015; Pedrero y Pacheco, 2023).
La falta de inserción en el mercado laboral implica la ausencia de prestaciones de seguridad social derivadas del trabajo remunerado. Además, las ocupaciones precarias o informales generalmente están asociadas con menores prestaciones laborales y jornadas más cortas, lo que conduce a salarios bajos o incluso a la ausencia de ingresos por trabajo (Batthyány, 2020; Barba, 2021). Es importante tener en cuenta que, en México al igual que en otros países de América Latina, quienes realizan trabajo de cuidado no remunerado carecen de seguridad social, aun cuando dedican una jornada completa a estas labores. Las interrupciones en la inserción en el mercado laboral debido al cuidado de familiares disminuyen las contribuciones a la jubilación de quienes realizan estas labores (Aguirre, Batthyány, Genta y Perrotta, 2014).
Uno de los resultados significativos de esta investigación indica que las categorías del trabajo de cuidado tienen diferentes implicaciones en cada etapa de la actividad económica examinada. Contrario a lo esperado, el apoyo al cuidado muestra una asociación más fuerte que el cuidado directo con la participación en el mercado laboral, el empleo asalariado y las brechas salariales por género. Es importante destacar que las contribuciones del cuidado a la brecha salarial se diluyen al analizar las diferencias salariales entre las y los asalariados. Por lo tanto, es necesario profundizar en este tema en futuras investigaciones para verificar la idea de que este tipo de cuidado tiene mayor asociación con la participación en el mercado laboral y el tipo de ocupación. Es posible que la distribución y composición del tiempo dedicado al cuidado directo varíe según los niveles sociales y económicos, influenciado por el acceso a servicios de cuidado disponibles en el mercado o como beneficios proporcionados por el Estado para quienes trabajan formalmente. Además, se sabe que una proporción muy baja de hogares en México contrata servicios domésticos (relacionados con el apoyo al cuidado, menos del 5%) o servicios de cuidado (0.25%) en el mercado (Orozco y González, 2021).
Finalmente, los resultados de esta investigación establecen un marco para comprender las implicaciones de la actual organización social del cuidado sobre la actividad económica. Es crucial continuar con este tipo de estudios para generar evidencia empírica que sirva de base para elaborar y fortalecer políticas públicas dirigidas a redistribuir el cuidado entre el Estado, el mercado, la comunidad y la familia, aliviando así la carga sobre las familias y específicamente sobre las mujeres. Aunque en México existe un debate académico sobre la urgencia de establecer un sistema de cuidado (Rea, Montes de Oca y Pérez, 2021), así como iniciativas legales en curso (CEEY, 2022), estos esfuerzos aún son incipientes en comparación con los desarrollados en otros países de América Latina.
Además, es crucial desarrollar políticas públicas viables a corto y largo plazos que aseguren la provisión de cuidados, tanto para las cohortes actuales como para las futuras. Estas políticas deben considerar a las personas que realizan cuidados y las implicaciones que esto tiene en su bienestar económico, social y personal. Es particularmente importante dado el rápido envejecimiento de la población en México y América Latina, así como la necesidad de los hogares de contar con mayor número de integrantes que contribuyan al ingreso familiar.
Conclusiones
Dos fenómenos demográficos y económicos convergen actualmente en México: un creciente número de personas que requieren cuidados y una significativa participación de las mujeres en el mercado laboral. En este contexto de cambios sociales, la evidencia empírica generada en este estudio subraya el impacto de la actual OSC sobre la actividad económica de las personas cuidadoras en México, destacando las desventajas asociadas con el trabajo de cuidado en el mercado laboral, incluyendo la participación económica, el tipo de ocupación y las disparidades salariales.
En particular, se concluye que persiste una demanda continua sobre las mujeres, más que sobre los hombres, para conciliar sus responsabilidades familiares y laborales, incluyendo tanto el trabajo remunerado como el no remunerado, como es el caso del cuidado, con cargas de trabajo extenuantes. Además, esta demanda no uniforme entre las mujeres, como se evidencia en las diferencias intragénero, especialmente al considerar el tiempo dedicado al cuidado no remunerado según la actividad económica de las mujeres.
El análisis de estas disparidades entre géneros y entre mujeres revela implicaciones desfavorables para la autonomía y el bienestar económico de quienes realizan trabajo de cuidado no remunerado, especialmente en las categorías de apoyo y cuidado directo, afectando desde la participación laboral hasta el tipo de ocupación y las diferencias salariales. Esto también subraya la necesidad de considerar las implicaciones a largo plazo, particularmente con relación a la posibilidad de recibir una pensión contributiva que asegure un bienestar en la vejez, subrayando la importancia de adoptar una perspectiva de ciclo de vida y analizar las consecuencias a largo plazo.
Por tanto, la importancia de investigaciones como esta radica en proporcionar elementos y evidencia necesarios para el desarrollo de políticas públicas que reorganicen el cuidado social entre instituciones y entre géneros, garantizando que las mujeres tengan igualdad de oportunidades para ejercer plenamente sus derechos tanto al trabajo como al cuidado.
Es fundamental profundizar en futuras investigaciones sobre el trabajo de cuidado y sus efectos en la participación económica de quienes cuidan para confirmar la asociación desfavorable del apoyo al cuidado y el cuidado directo en la participación en el mercado laboral y en el tipo de ocupación. Es posible que la distribución y composición del tiempo dedicado a estos cuidados varíe según los niveles sociales y económicos, aspecto que requiere una exploración más detallada en estudios posteriores.
Referencias
Aguirre, R.; Batthyány, K.; Genta, N. y Perrotta, V. (2014). Los cuidados en la agenda de investigación y en las políticas públicas en Uruguay. Íconos - Revista de Ciencias Sociales, 18(50), 43-60. https://doi.org/https://doi.org/10.17141/iconos.50.2014.1427
Armijo, L. (2016). Ciudadanía y cuidado en España: El dilema trabajo/familia según las madres trabajadoras. Psicoperspectivas, Individuo y Sociedad, 15(3), 87-100. https://doi.org/10.5027/psicoperspectivas-vol15-issue3-fulltext-789
Arriagada, I. (2010). La crisis de cuidado en Chile. Revista de Ciencias Sociales, (27), 58-67. https://www.redalyc.org/pdf/4536/453646114006.pdf
Barba, C. (2021). El régimen de bienestar mexicano: Inercias, transformaciones y desafíos. Serie Estudios y Perspectivas, núm. 191. Comisión Económica para América Latina y el Caribe (CEPAL). https://repositorio.cepal.org/server/api/core/bitstreams/03488d23-c15d-40da-9b95-94b29393c7cf/content
Batthyány, K. (2020). Organización social del cuidado y crisis sanitaria en América Latina y el Caribe. En Dossier: Reflexiones en torno al COVID-19. LASA Forum, 51(3), 24-27. https://forum.lasaweb.org/files/vol51-issue3/LASAForum-vol51-issue3.pdf
Castro-Méndez, N. (2023). Trayectorias de trabajo en México: Jornadas prolongadas y cuidados intensos. Revista Interdisciplinaria de Estudios de Género de El Colegio de México, 9, 1-40. https://doi.org/10.24201/reg.v9i1.992
Centro de Estudios Espinosa Yglesias [CEEY] (2022). Sistema Nacional de Cuidados: Una vía para la igualdad de oportunidades y la movilidad social. Nota de Política Pública CEEY no. 1. https://ceey.org.mx/sistema-nacional-de-cuidados-una-via-para-la-igualdad-de-oportunidades-y-la-movilidad-social/
Esquivel, V. (2012). Cuidado, economía y agendas políticas: Una mirada conceptual sobre la Organización Social del Cuidado en América Latina. En V. Esquivel (Ed.), La economía feminista desde América Latina (pp. 141-189). ONU Mujeres.
García, B. y Pacheco, E. (2012, 15-17 de abril). Family reorganization and Public Policies in Mexico [Ponencia]. Population Association of America: Annual Meeting Program. San Francisco, California.
Godoy, S. y Marentes, M. (2022). Hacia una sociología feminista: La propuesta de Arlie Russell Hochschild. Cuestiones de Sociología, e142(27), 1-20. https://doi.org/10.24215/23468904e142
González, C.; Orozco, K.; Arias, M. y Cervantes, G. (2020). Trabajo de cuidado en las fuentes de información estadística de México. Realidad, Datos y Espacio, Revista Internacional de Estadística y Geografía 11(3), 22-43 https://rde.inegi.org.mx/index.php/2020/12/02/trabajo-de-cuidado-en-las-fuentes-de-informacion-estadistica-de-mexico/
Hochschild, A. (1989). The second shift: Working parents and the revolution at home. Viking. https://archive.org/details/secondshiftworki0000hoch/page/n7/mode/2up
Instituto Nacional de Estadística y Geografía [INEGI] (2019). Microdatos de la Encuesta Nacional de Ocupación y Empleo (ENOE), población de 15 años y más de edad. INEGI
Instituto Nacional de Estadística y Geografía [INEGI] (2023). ENOE Encuesta Nacional de Ocupación y Empleo, Cómo se hace la ENOE: métodos y procedimientos. 3ra. Ed. INEGI.
Leiva, S. (2015). Organización social del cuidado en Bolivia y Chile: Estado y ciudadanía. Revista Austral de Ciencias Sociales, 28, 61–81. https://doi.org/10.4206/racs.2015.n28-04
Llanes, N. y Pacheco, E. (2021). Maternidad y trabajo no remunerado en el contexto del covid-19. Revista Mexicana de Sociología, 83(SPE), 61-92. https://revistamexicanadesociologia.unam.mx/index.php/rms/article/view/60069
Márquez, C. y Mora, M. (2014). Inequidades de género y patrones de uso del tiempo: Exploración a partir del desempleo encubierto. En B. García y E. Pacheco (Eds.), Uso del tiempo y trabajo no remunerado en México (pp. 509-569). El Colegio de México. https://www.jstor.org/stable/j.ctt1r69w16.15
Oaxaca, R. (1973). Male-female wage differentials in urban labor markets. International Economic Review, 14(3), 693-709. https://doi.org/10.2307/2525981
Orozco, K. y González, C. (2021). Familiarización y feminización del trabajo de cuidado frente al trabajo remunerado en México. Debate Feminista, 62, 117-141. https://doi.org/10.22201/cieg.2594066xe.2021.62.2276
Orozco, K. (2015). Participación femenina en trabajos asalariados: ¿Una doble selectividad? Carta Económica Regional, 27(116), 88-111. https://dialnet.unirioja.es/servlet/articulo?codigo=7950997
Pedrero, M. (2005). Trabajo doméstico no remunerado en México: Una estimación de su valor económico a través de la Encuesta Nacional sobre Uso del Tiempo 2002. Instituto Nacional de las Mujeres. https://core.ac.uk/download/pdf/35240009.pdf
Pedrero, M. y Pacheco, E. (2023). Desigualdades en el trabajo en tiempos de pandemia. En F. Lozano, M. Valdivia y M. Mendoza (Eds.), Pandemia y desigualdades sociales y económicas en México (pp. 189-223). Coordinación de Humanidades, Universidad Autónoma de México (UNAM); Centro Regional de Investigaciones Multidisciplinarias, UNAM. https://doi.org/10.22201/ch.9786073068857e.2023.c5
Qi, Liangshu y Dong, Xia-yuan (2016). Unpaid care work’s interference with paid work and the gender earnings gap in China. Feminist Economics, 22(2), 143-167. https://doi.org/10.1080/13545701.2015.1025803
Rea, P.; Montes de Oca, V. y Pérez, K. (2021). Políticas de cuidado con perspectiva de género. Revista Mexicana de Sociología, 83(3), 547-580. https://www.scielo.org.mx/scielo.php?pid=S0188-25032021000300547&script=sci_abstract
Reskin, B. y Bielby, D. (2005). A sociological perspective on gender and career outcomes. Journal of Economic Perspectives, 19(1), 71-86. https://doi.org/10.1257/0895330053148010
Robles, L. (2023). Repensando el cuidado y la comunidad. En: D. Martínez, V. Montes de Oca y S. Lorenzano (Eds), Género, violencia, tareas de cuidado y respuestas sociales a la crisis (pp. 151-170). Coordinación de Humanidades, Universidad Nacional Autónoma de México (UNAM); Coordinación para la Igualdad de Género, UNAM. https://doi.org/10.22201/ch.9786073074629e.2023
Rodríguez, C. y Marzonetto, G. (2015). Organización social del cuidado y desigualdad: El déficit de políticas públicas de cuidado en Argentina. Revista Perspectivas de Políticas Públicas, 4(8), 103-134. https://doi.org/10.18294/rppp.2015.949
Rodríguez, M. y García, B. (2020). Un modelo espacial de desigualdad de género sobre trabajo no remunerado en México. Realidad, Datos y Espacio – Revista Internacional de Estadística y Geografía, 11(1), 68-85.
Suh, J. (2014). Caretime in the U.S.: Measures, determinants, and implications. University of Massachusetts. https://doi.org/10.7275/6029600.0
Suh, J. (2016). Measuring the “Sandwich”: Care for Children and Adults in the American Time Use Survey 2003-2012. Journal of Family and Economic Issues, 37, 197-221. https://doi.org/10.1007/s10834-016-9483-6
Notas
Notas de autor

