Artículos
Recepción: 03 mayo 2024
Aprobación: 10 junio 2024

Resumen: La explotación minera de carbón a cielo abierto genera impactos ambientales significativos asociados a la eliminación de cobertura boscosa, la remoción de suelos, desviación de corrientes hídricas, desplazamiento de fauna, erosión, deforestación y emisión de material particulado, los cuáles afectan a los centros poblados más cercanos. El propósito de esta investigación está centrado en evaluar los recursos naturales localizados en áreas de influencia minera: caso de estudio Boquerón, Cesar (Colombia). La metodología se basó en una revisión del estado del arte en bases de datos académicas y científicas, en una fase de campo para hacer reconocimientos de los procesos de la gestión ambiental basada en la medición de niveles de ruido, entrevistas y análisis de los datos reportados por el SISAIRE para las emisiones de material particulado en la estación de monitoreo de Boquerón, y en una fase de evaluación de los recursos naturales localizados en áreas de influencia minera. Como resultado se encontró que los niveles de emisión de material particulado no superaron los 70 ug/m3, (valor aceptable, por debajo del límite máximo permisible), altos niveles de emisión de ruido en la zona del colegio (89 dB, por encima del límite permisible), y niveles de pH neutro y capacidad de intercambio catiónico normales. Conllevando a concluir que para el poblado de boquerón la contaminación en el aire por partículas producto de las actividades mineras se constituye en el principal impacto ambiental percibido por la comunidad, el cual se hace evidente en las enfermedades pulmonares que se han venido manifestando en la comunidad, así como también en las hojas de las plantas y árboles, en donde se puede apreciar una capa delgada de polvillo de carbón.
Palabras clave: Minería de carbón, recursos naturales, gestión ambiental, área de influencia.
Keywords: Coal mining, Natural resources, Environmental management, Influence area
INTRODUCCIÓN
En la actualidad, el carbón se ha constituido en uno de los combustibles fósiles más importantes debido a sus considerables contribuciones a las economías nacionales de diversos países (Thakur et al., 2021; Zhu et al., 2021). Considerando lo anterior, a nivel mundial la minería a cielo abierto ha emergido como un método de explotación ampliamente utilizado debido a sus ventajas en términos de mayor seguridad y una mayor tasa de extracción en comparación con la minería subterránea (Wang et al., 2022; Sun et al., 2019). No obstante, los impactos ecológicos derivados de la degradación directa de la tierra por este tipo de minería son graves (Soumen. 2021; Shi et al., 2022; Zhang et al, 2023).
Cabe destacar, que la actividad minera a gran escala impacta significativamente en la modificación del paisaje, donde se transforman los ecosistemas del sitio de extracción de los minerales y se modifican los hábitats, todo esto se convierte en una de las principales causas de la pérdida de biodiversidad (Blum, 2013; Franco et al., 2024). Además, en la minería de carbón a cielo abierto, el polvo producido durante la extracción de este recurso y demás procesos relacionados tales como perforación, voladura, transporte y beneficio, es una preocupación de salud constante (Trechera et al, 2021); así mismo, la acumulación constante de las emisiones contaminantes puede guiar al agotamiento del recurso y la contaminación del suelo, adicionalmente, empeora el ambiente ecológico frágil (Liu et al, 2023).
La cercanía a los sitios mineros incrementa el nivel de contaminación en componentes bióticos y abióticos, por ejemplo, los niveles de contaminantes en suelo y agua están fuertemente conectadas con incidentes meteorológicos, los cuáles cuando se presentan en altas concentraciones se pueden asociar a la trayectoria y dirección de los vientos (Mardonova y Han, 2023; Hu et al, 2023). En relación con lo anterior, el capital social es impactado significativamente por la injusticia social real y percibida relacionada con estas actividades mineras, y que puede surgir por diferentes razones, la mayoría de ellas asociadas a diferencias reales entre la distribución de los impactos ambientales, económicos y sociales (Li et al, 2019).
No obstante, hay que mencionar que la minería hace una contribución significativa a las economías locales y nacionales de Colombia, ya que sostienen el 1 % de las reservas de carbón global; las grandes multinacionales que extraen este recurso están concentradas en los departamentos del Cesar y La Guajira, mientras que las pequeñas empresas se encuentran en algunos municipios de Boyacá y Cundinamarca (Ministerio de Minas y Energía, 2012), pero estas tienen una limitada capacidad para evaluar y gestionar los impactos de la minería sobre el recurso hídrico (González et al, 2019). En la actualidad, Colombia tiene una legislación ambiental que regula las actividades de extracción a través de licencias ambientales, lo cual insta a las empresas a evaluar los impactos ambientales en las áreas de influencia de zonas de extracción o construcciones asociadas; basado en esas evaluaciones se formulan acciones para prevenir, mitigar, corregir, compensar, manejar y controlar esos impactos (Congreso de Colombia, 1993; Franco et al, 2024).
En el departamento del Cesar, la explotación minera de carbón a cielo abierto, se encuentra localizada en el centro del departamento, específicamente en los municipios de Chiriguaná, Becerril, El Paso (corregimiento de La Loma) y la Jagua de Ibirico, dentro de las ecorregiones Serranía del Perijá (SP) y el valle del río Cesar (CORPOCESAR, 2019), en el primer trimestre de 2019 registró una producción de 20,9 millones de toneladas (ANLA, 2010), las cuáles generan gran cantidad de material particulado que se traducen en contaminación atmosférica. Debido a esta contaminación y las consecuencias para la salud de las poblaciones ubicadas en el área de influencia directa de las minas de carbón, en 2010 el Ministerio de Ambiente, Vivienda y Desarrollo Territorial solicitó el reasentamiento involuntario de tres de estas poblaciones, tal es el caso de Plan Bonito, El Hatillo y Boquerón comunidades ubicadas en el corregimiento La Loma y el municipio de La Jagua de Ibirico, Cesar; estos reasentamientos estaban fundamentados en el hecho de que los niveles de material particulado de carbón en la atmósfera habían superado los límites permisibles, lo cual representaba un riesgo para la salud de las personas (Gerstenberg y Villegas, 2019).
Según un estudio realizado por Bejarano (2019) su infraestructura está constituida por casas de barro en su mayoría y en menor proporción por casas de ladrillo, de las cuáles algunas se han visto agrietadas por causa de las voladuras según lo manifestado por los habitantes de este corregimiento. En materia de educación, cuenta con un colegio que brinda servicios de primaria y bachillerato por ciclos, debido a este gran parte de los niños y jóvenes van a estudiar al municipio de La Jagua de Ibirico. Además, hay un puesto de salud básico, un lugar de recreación para personas mayores, un restaurante escolar y un parque central.
Debido a lo anterior, las personas de este corregimiento se han visto forzados a adaptarse a nuevas condiciones, principalmente en aspectos culturales y económicos. Sin duda alguna, el cambio de actividad económica es uno de los aspectos más importantes a tener en cuenta, ya que anteriormente la agricultura fue una de las principales actividades económicas de esta comunidad, y esta se desarrolla en una escala mucho menor a causa de los impactos ambientales anteriormente expuestas (Cotes et al, 2021).
La evaluación y monitoreo ambiental de los contaminantes presentes en los recursos naturales, son esenciales para asegurar la preservación de ambientes frágiles y prevenir efectos adversos potenciales sobre la biodiversidad y la salud humana (Moreno et al., 2024), No obstante, se requiere consolidar en la región un sistema de monitoreo de recursos naturales integral que pueda ayudar a comunidades rurales como la de Boquerón a entender en qué condiciones están y qué pueden hacer para mejorar su calidad de vida. Por esta razón, esta investigación tiene como objetivo evaluar los recursos naturales localizados en áreas de influencia minera en este caso en Boquerón Cesar (Colombia).
MATERIALES Y MÉTODOS
Localización
Boquerón es un corregimiento del municipio de La Jagua de Ibirico (Cesar), se encuentra ubicado a 130 kilómetros de la capital del departamento en el norte de Colombia (Figura 1), se destaca porque está rodeado de grandes minas de carbón pertenecientes a las empresas Drummond y Prodeco.

Procedimiento
Inicialmente se realizó una revisión bibliográfica en bases de datos académicas y científicas con el fin de definir los aspectos a considerar en la evaluación de los recursos naturales de Boquerón y obtener los datos necesarios para cada una de las estimaciones; posteriormente se llevó a cabo la fase de campo en la cual se hicieron entrevistas y observación con el fin de hacer reconocimientos de los componentes agua, aire y suelo los procesos de la gestión ambiental y evaluar los recursos naturales localizados en áreas de influencia minera. Para el cálculo del índice de calidad de aire primero se buscaron los datos de PM10 para 24 horas en ug/m3 obtenidos de la estación de monitoreo ZM06 ubicada en el colegio de Boquerón Cesar, la cual pertenece a la Red SISAIRE-CORPOCESAR, para ello se consultó la página del SISAIRE y se tuvieron en cuenta los datos del año 2019; a partir de estos datos se calculó el indice de calidad de aire ICA para cada uno de los meses del año 2019, utilizando la ecuación 1 propuesta por el Ministerio de Ambiente y Desarrollo Sostenible (2017) y tomando como referencia el estudio realizado por Paz et al (2021).

En donde:
ICAp=Índice de Calidad del Aire para el contaminante p
Cp= Concentración medida para el contaminante p
PCalto=Punto de corte mayor o igual a Cp
PC bajo= Punto de corte menor o igual a Cp
Ialto= Valor del ICA correspondiente al PC alto
Ibajo= Valor del ICA correspondiente al PC bajo
Para el análisis de ruido se empleó la metodología basada en la resolución 0627 propuesta por el Ministerio de Ambiente, Vivienda y Desarrollo Territorial (2006) y tomando como referencia el estudio realizado por Romero et al (2024), siguiendo las recomendaciones expresadas en la normatividad para la ejecución de las mediciones simétricas desarrolladas en Boquerón-Cesar. Se realizaron tres mediciones en tres puntos de la comunidad de Boquerón, los cuáles corresponde a el colegio, el cementerio y área cercana a la zona de voladuras de la mina; estas mediciones se llevaron a cabo en los momentos en los que mayor ruido se genera en cada uno de los puntos de muestreo, se tomaron en cada 15 minutos y se registró el promedio de las mediciones realizadas con el sonómetro marca Aktakom AK. Con base en los resultados obtenidos se calculó el nivel de presión sonora utilizando la ecuación 2 planteada en esta misma resolución.

Dónde:
LAeq: Nivel equivalente resultante de la medición
LN: Nivel equivalente medido en la posición del micrófono orientada en sentido Norte
LO: Nivel equivalente medido en la posición del micrófono orientada en sentido Oeste
LS: Nivel equivalente medido en la posición del micrófono orientada en sentido Sur
LE: Nivel equivalente medido en la posición del micrófono orientada en sentido Este
LV: Nivel equivalente medido en la posición del micrófono orientada en sentido vertical
El análisis del componente agua se realizó a través de entrevistas y observación, y tomando como referencia el estudio realizado por León et al (2022), con el fin de identificar si esta es apta para el consumo humano. La población entrevistada corresponde a los habitantes de la comunidad de Boquerón.
Se tomó una muestra de suelo a la cual se le realizó análisis fisicoquímico en el laboratorio de suelos del programa Ingeniería Ambiental de la Universidad Popular del Cesar, tomando como referencia el estudio realizado por Guzmán et al (2022), en el cual se midieron los siguientes parámetros: color, humedad, textura, pH, conductividad eléctrica, capacidad de intercambio catiónico, fósforo y carbono, y los resultados se analizaron teniendo en cuenta los factores de formación del suelo.
RESULTADOS Y DISCUSIÓN
Diagnóstico de los componentes aire, agua y suelo de Boquerón
Indicador ambiental aire
las entrevistas y el proceso de observación muestran que en la zona las principales fuentes generadores de partículas suspendidas son la actividad industrial, la minería, la actividad transportadora, construcciones, vías destapadas, quemas, procesos de quema de combustibles fósiles, almacenamiento y molienda de material a granel, industria de la construcción y procesos de condensación de vapores y reacciones entre gases, etc. Además, las personas entrevistadas manifiestan que en la comunidad se han presentado en los últimos 10 años enfermedades pulmonares y enfermedades poco frecuentes generando una gran preocupación, tal como lo manifestó El Heraldo (3 de octubre de 2014), donde se expresa que el carbón ha causado 22 enfermedades en el corredor minero.
Los resultados del análisis de la calidad de aire en Boquerón se presentan en la Tabla 1:
Tabla 1. Índice Pm10 calculado en la estación de monitoreo ZM06 Boquerón entre enero y septiembre de 2019.

En los resultados presentados se muestra que en la mayoría de los meses la calidad del aire en cuanto a PM10 es buena, aunque se puede ver un ligero aumento de estas en los meses de febrero, marzo y abril: debido a que durante estos meses se presenta escasez de lluvias, lo que produce un aumento del polvo de las carreteras que no se encuentran pavimentadas y se puede mezclar con el polvillo de carbón generado en la mina, entre otros factores (Tabla 1 y Figura 2).

Teniendo en cuenta lo establecido por el Ministerio de Ambiente y Desarrollo Sostenible (2017) en la Resolución 2254, se destaca que para los meses en que la medición es buena, no existen efectos en la salud que puedan llegar a ser de gran impacto, por lo tanto, las acciones preventivas a realizar son mínimas. Mientras que en los meses en que la medición es moderada pueden existir posibles síntomas respiratorios en individuos sensibles y no sensibles, como por ejemplo posible agravamiento de enfermedad del corazón o de pulmón en personas con enfermedades cardiopulmonares y adultos mayores. Las acciones preventivas que se recomiendan es que personas extremadamente sensibles con asma y adultos con enfermedad cardio cerebrovascular como hipertensión arterial, enfermedad isquémica del miocardio o pulmonar como asma, enfisema y bronquitis crónica deben reducir la actividad física fuerte o prolongada. Esto se relaciona con el estudio realizado por Rojano et al (2018), quienes demostraron que las emisiones de material particulado en la mina Cerrejón no superaron los límites permisibles establecidos por la normatividad colombiana.
Indicador ambiental ruido
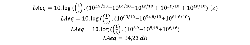
Para evaluar la posible contaminación sonora debido a las actividades mineras, se obtuvieron tres tipos de registros que representan el promedio obtenido en cada una de las zonas escogidas en el momento más ruidoso del día, estos datos fueron tomados en un día normal en el mes de octubre del 2019, en el cual el colegio tiene clases y la voladura en la mina de carbón se lleva a cabo; la selección de los sitios de muestreo se fundamentó en la información suministrada por los miembros de la comunidad (Tabla 2).
Tabla 2. Resultados de los dB obtenidos en el corregimiento de Boquerón.

Mediciones de los niveles de presión sonora en toda la zona entre el patio escolar, cementerio y voladura.

Según los resultados obtenidos, 89 dB es el nivel de presión sonora más alto al que está expuesto la comunidad, mientras que el nivel de presión sonora continuo equivalente o ruido ambiental corresponde a 84,23 dB. En la Figura 3 se observan los niveles de ruidos en dB, en las tres zonas que se muestrearon, la línea roja representa el límite máximo permisible de nivel de presión sonora para las áreas residenciales en un horario diurno, según la resolución 0627 propuesta por el Ministerio de Ambiente, Vivienda y Desarrollo Territorial (2006). Con base a la información, se determinó que la zona crítica de contaminación auditiva para horarios diurnos está enmarcada entre rangos de 70 a 90 dB, la cual corresponde a la zona escolar, donde se presentan registros de valores altos de nivel de ruido, principalmente en horas de recreo; por otro lado, en el punto de voladura aumenta un poco en comparación a un registro normal, pero no supera los límites permisibles de la presión sonora según lo establecido por la norma.

Indicador ambiental agua
Durante el proceso de observación se pudo apreciar la problemática que presenta la comunidad con respecto tanto a la cantidad como a la calidad de agua de la cual debe proveerse el poblado para sustentar sus necesidades básicas, ya que esta comunidad no cuenta con un río lo suficientemente cerca para sustentar estas necesidades, teniendo en cuenta que según los habitantes, el que se encontraba más cercano, ahora se encuentra seco, producto de las desviaciones que han debido hacer las empresas mineras para la ejecución de sus actividades de explotación del carbón.
La fuente hídrica más cercana que tiene la comunidad de Boquerón es un pozo de agua subterránea, que, aunque según los entrevistados esta agua sale del pozo clara, es necesario un tratamiento de la misma. En la zona se cuenta con una planta de tratamiento para estas aguas, pero en las entrevistas realizadas la comunidad manifiesta en que esta no funciona como debe ser, y que el agua en este corregimiento no es apta para el consumo humano.
Indicador ambiental suelo
En las Tablas 3 y 4 se presentan los resultados del análisis físico químico realizado a la muestra de suelo que se tomó en la comunidad de Boquerón, de la cual se destaca que el suelo es de color marrón, tiene un contenido de humedad del 51 % y tiene una textura principalmente arenosa con un 45 % lo que significa que este suelo presenta bajo almacenamiento de nutrientes, permeabilidad alta y velocidad de infiltración alta tal como lo plantea Aguilar (2018), esto es coherente con los resultados obtenidos por Díaz et al (2013), quienes analizaron los suelos de estériles mineros y concluyeron que estos suelos son de color oscuro, tienen bajos contenidos en azufre pirítico, lo cual podría generar graves problemas de salinidad.
Tabla 3. Resultados de la caracterización física de la muestra de suelo de Boquerón.

En cuanto a las características químicas, el suelo de Boquerón tiene un pH neutro, capacidad de intercambio normal y bajo contenido de fósforo y carbono, esto significa que la condición de este suelo puede limitar significativamente el crecimiento de las plantas y la salud general del ecosistema.
Tabla 4. Resultados de la caracterización química de los suelos de Boquerón

CONCLUSIONES
Según los resultados obtenidos en las entrevistas realizadas a los pobladores, el recurso natural que consideran los habitantes de la comunidad de Boquerón que se ve más afectado por la actividad minera de carbón es el aire, ya que el material particulado generado por estas actividades se relaciona con las enfermedades pulmonares que mencionaron estas personas que se han venido presentando en la comunidad. Además, de este se destaca el hecho de no contar con el acceso a agua potable como otro de los impactos ambientales percibidos por esta comunidad.
Aunque los registros de la estación para la medición de PM10 en Boquerón, dan a conocer resultados completamente diferentes a los que la comunidad refiere. Se puede decir que, aunque los niveles, en promedio se mantienen dentro de los límites permisibles, la permanente exposición a esta va a agravando las condiciones de la calidad del aire para la comunidad y que los resultados que arroja la estación tampoco se podrían considerar fiables, debido a la ubicación alrededor de una zona muy arborizada, como se evidenció en el proceso de observación.
La contaminación por ruido producto de las actividades mineras no es significativa, ya que, aunque se hace evidente las grietas en las viviendas y derrumbes de las paredes que los habitantes asocian con las voladuras de la actividad minera, los resultados de los dB asociados a estas actividades no superan los límites permisibles, lo cual significa que no presentan un riesgo para la salud auditiva de la comunidad.
Con base a la información suministrada por los habitantes de la comunidad, la calidad del agua se considera como no apta para el consumo humano, lo cual requiere que se implementen estrategias de innovación para el suministro de agua potable para esta población.
Finalmente, se puede concluir a partir del análisis físico y químico, y el proceso de observación, que el suelo presenta unas condiciones normales, lo cual favorece el desarrollo de diferentes tipos de cultivos que se pueden empezar a desarrollar en una mayor escala pensando en un escenario de post cierre de minas, lo cual es similar a lo concluido por Noriega et al. (2019), quienes mencionan que las condiciones del suelo de Boquerón son distintas a las que se presentan dentro de las minas de carbón.
LITERATURA CITADA
Aguilar Alínquer, B. (2018). El suelo de cultivo y las condiciones climáticas. AGAC0108: (2ed.). IC Editorial.
Autoridad Nacional de Licencias Ambientales ANLA (2021). Resolución No 00640 “Por la cual se modifica vía seguimiento la Resolución 970 del 20 de mayo de 2010 y se adoptan otras determinaciones”.
Bejarano, D. (2019). Propuesta de transferencia tecnológica en tratamiento de suelos con modelo aplicativo en la zona carbonífera del Cesar (comunidad rural de Boquerón, municipio de La Jagua de Ibirico). Tesis para optar el título de Ingeniería de Minas de la Fundación Universitaria del Área Andina sede Valledupar.
Blum, W., (2013). Soil and land resources for agricultural production: general trends and future scenarios-A worldwide perspective. Int. Soil. Water. Conserv. Res. 1, 1–14. https://doi.org/10.1016/S2095-6339(15)30026-.
Congreso de Colombia (1993). Ley 99 de 1993. Bogotá, D.C.
CORPOCESAR (2019). Plan de Gestión Ambiental Regional PGAR / PLANEAR 2019-2040. Valledupar.
Cotes, D., Noriega, A., Díaz, L. & Castellanos, P. (2021). Transferencia de conocimiento científico sobre variabilidad climática en entornos rurales (comunidad de Boquerón, Jagua de Ibirico). Revista Agunkuyâa. Volumen 12. Número 1: 64-80. DOI: https://doi.org/10.33132/27114260.1987
Díaz, L., Arranz, J. & Peñuela, G. (2013). Caracterización físico química y mineralógica de suelos en zona carbonífera del Cesar, Colombia. INTERCIENCIA JAN 2013, VOL. 38 Nº 1. Recuperado de https://bibliotecadigital.udea.edu.co/bitstream/10495/35711/4/DiazLuis_2013_Caracterizaci%c3%b3nFisico-Quimica.pdf
Franco, M., Blanco, A., Gómez, B. & Etter, A. (2024). Biodiversity responses to landscape transformations caused by open-pit coal mining: An assessment on bats and dung beetles in a Colombian tropical dry forest. Environmental and Sustainability Indicators 21100335. https://doi.org/10.1016/j.indic.2024.100335.
El Heraldo (2014). Carbón ha causado 22 enfermedades en corredor minero. Recuperado 13 de octubre de 2014 de https://www.elheraldo.co/cesar/2014/10/13/carbon-ha-causado-22-enfermedades-en-corredor-minero/
El Pilón (2021). La resolución que durante diez años condenó a Boquerón a la pobreza. Recuperado 17 de febrero de 2021 de https://elpilon.com.co/la-resolucion-que-durante-diez-anos-condeno-a-boqueron-a-la-pobreza/
Gerstenberg, F. & Villegas, P. (2019). La minería de carbón en Colombia y la situación económica de las mujeres rurales: la comunidad El Hatillo (Cesar, Colombia). Ambiente y Desarrollo, 23(45). https://doi.org/10.11144/Javeriana.ayd23-45.mccs.
González, M., Huguet, C., Pearse, J., McIntyre, N. & Camacho, L. (2019). Assessment of potential contamination of paramo soil and downstream water supplies in a coal mining región of Colombia. Applied Geochemistry 108 104382. https: //doi.org/10.1016/j.apgeochem.2019.104382
Guzmán, H., Perdomo, Y., Mosquera, H., Pérez, U. & Varón, M. (2022). Characterization of vegetation and the arbuscular mycorrhizal fungi community in soils impacted by gold mining in Colombia. Cienc. Tecnol. Agropecuaria. 23(3) Mosquera. https://doi.org/10.21930/rcta.vol23_num3_art:2394
Hu, J., Zheng, L., Liu, S., Chen, Y., Li, C., Ni, J., Chen, Y. & An, S. (2023). Quantifying the impacts of coal mining activities on topsoil using Hg stable isotope: A case study of Guqiao mining area, Huainan City. Environmental Pollution Volume 335,122378. https://doi.org/10.1016/j.envpol.2023.122378
León, L., Arada, M., Vila, L., Fernández, A. & Chibinda, C. (2022). Evaluación de la calidad del agua del manantial “El Paraíso” en Santiago de Cuba. Rev. Cubana Quím. e-ISSN: 2224-5421. Vol 34:(2).
Li, Q., Stoeckl, N. & King, D. (2019). Using the life-satisfaction approach to quantify the complex inter-related impacts of coal mining on host communities: A case study in Shanxi, China. Resources Policy 62 (2019) 305–316. https://doi.org/10.1016/j.resourpol.2019.03.021
Liu, Y., Heng, W. & Yue, H. (2023). Quantifying the coal mining impact on the ecological environment of Gobi open-pit mines. Science of the Total Environment 883 163723. http://dx.doi.org/10.1016/j.scitotenv.2023.163723
Mardonova, M. & Han, Y. (2023). Environmental, hydrological, and social impacts of coal and nonmetal minerals mining operations. Journal of Environmental Management Volume 332, 117387. https://doi.org/10.1016/j.jenvman.2023.117387
Ministerio de Ambiente y Desarrollo Sostenible (2017). Resolución 2254. Por la cual se adopta la norma de calidad del aire ambiente y se dictan otras disposiciones. Recuperado de https://www.minambiente.gov.co/wp-content/uploads/2021/10/Resolucion-2254-de-2017.pdf
Ministerio de Ambiente, Vivienda y Desarrollo Territorial (2006). Resolución 627 de 2006. Por la cual se establece la norma nacional de emisión de ruido y ruido ambiental. Recuperado de https://www.minambiente.gov.co/wp-content/uploads/2021/10/Resolucion-0627-de-2006.pdf
Ministerio de Minas y Energía (2012). Censo 2010 de minas y energía para el departamento de Cundinamarca. Ministerio de Minas y Energía, Bogotá.
Moreno, S., Vértiz, J., Paredes, C., Meseth, E., Vílchez, G., Espino, J. & Flores, L. (2024). Ecological risk of metals in Andean water resources: A framework for early environmental assessment of mining projects in Peru. Heliyon Volume 10, Issue 9. https://doi.org/10.1016/j.heliyon.2024.e30739
Noriega, A., Cotes, D. y Díaz, L. (2019). Propuesta de transferencia tecnológica en tratamiento de suelos con modelo aplicativo en la zona carbonífera del Cesar (comunidad de Boquerón, la Jagua de Ibirico). Fundación Universitaria del Área Andina. https://doi.org/10.33132/26654644.1708Propuesta de transferencia tecnológica en tratamiento de suelos
Paz, H., Moreno, A. & Poveda, J. (2021). Air Quality Measurement Using an IoT Network: A Case Study. ing. vol. 26:(3). Bogotá. https://doi.org/10.14483/23448393.17589
Rojano, R., Arregocés, H., Angulo, L. & Restrepo, G. (2018). Análisis y origen de las concentraciones de TSP y PM10 en minería de carbón a cielo abierto usando gráficos polares. Inf. tecnol. vol.29:(6). La Serena dic. 2018. Recuperado de https://www.scielo.cl/scielo.php?script=sci_arttext&pid=S0718-07642018000600131
Romero, M., Rivera, M., Cisneros, R. & Naranjo, A. (2024). Determinación y monitoreo de puntos críticos de ruido urbano considerando múltiples factores in situ. Novasinergia. 7(1). 67-87. https://doi.org/10.37135/ns.01.13.04
Shi, J. Q., Li, D. A., Chu, X. H., Yang, J. & Shen, C. Y., (2022). Intelligent classification of land cover types in open-pit mine area using object-oriented method and multitask learning. J. Appl. Remote Sens. 16 (3), 038504 https://doi.org/10.1117/1.JRS.16.038504
Soumen, C., (2021). Impact of open pit coal mining on the forest landscape ecology using spatial metrics: a study of Barabani C.D. block, West Bengal. Spat. Inf. Res. 29 (5), 645–659. https://doi.org/10.1007/s41324-021-00382-w.
Sun, S. Y., Sun, H., Zhang, D. S., Zhang, J. F., Cai, Z. Y., Qin, G. H. & Song, Y. M. (2019). Response of soil microbes to vegetation restoration in coal mining subsidence áreas at Huaibei Coal Mine, China. Int. J. Env. Res. Pub. He. 16 (10), 1757. https://doi.org/10.3390/ijerph16101757.
Thakur, T. K., Dutta, J., Upadhyay, P., Patel, D. K., Thakur, A., Kumar, M. & Kumar, A., (2021). Assessment of land degradation and restoration in coal mines of central India: a time series analysis. Ecol. Eng. 175, 106493 https://doi.org/10.1016/j. ecoleng.2021.106493
Trechera, P., Moreno, T., Córdoba, P., Moreno, N., Zhuang, X., Li, B., Li, J., Shangguan, Y., Domínguez, A., Kelly, F. & Querol, X. (2021). Comprehensive evaluation of potential coal mine dust emissions in an open-pit coal mine in Northwest China. International Journal of Coal Geology 235 103677. https://doi.org/10.1016/j.coal.2021.103677
Wang, S. F., Cao, Y. G., Pietrzykowski, M., Zhou, W. & Bai, Z. K. (2022). Research on the influence of vegetation restoration in loess open-pit coal mines of China: influencing factors and mechanism. Ecol. Eng. 177, 106549 https://doi.org/10.1016/j.ecoleng.2022.106549
Zhang, C., Li, F., Zhang, K., Ran, W., Du, M., Guo, J. & Hou, G. (2023). Assessing the effect, attribution, and potential of vegetation restoration in open-pit coal mines’ dumping sites during 2003–2020 utilizing remote sensing. Ecological Indicators 155 (2023) 111003. https://doi.org/10.1016/j.ecolind.2023.111003
Zhu, Q., Hu, Z.Q., Liu, X.R., Wu, Y.J., (2021). Topsoil alternatives selection for Surface coal-mined land reclamation in Inner Mongolia, China: an experimental study. Int. J. Min. Reclam. Env. 35 (6), 421–434. https://doi.org/10.1080/17480930.2020.1846239

