Artículos de investigación
Recepción: 14 enero 2025
Aprobación: 20 agosto 2025
Publicación: 02 diciembre 2025
URL: https://portal.amelica.org/ameli/journal/638/6383469023/
DOI: https://doi.org/10.26620/uniminuto.perspectivas.10.25.2025.173-185

Resumen: El turismo sostenible pemite que las comunidades accedan a una fuente de ingresos sin comprometer sus recursos naturales ni su cultura, evitando las prácticas asociadas al turismo de masas. Además, este tipo de actividad requiere una infraestructura adecuada que facilite la conexión de los territorios a servicios esenciales, como los públicos y el transporte. Sin embargo, aún no existe un consenso sobre cuáles son las variables de infraestructura relacionadas con el turismo sostenible, lo que ha limitado la producción intelectual en este campo. Por lo tanto, el objetivo de la presente investigación es analizar la evolución de las variables de infraestructura vinculadas con el turismo sostenible en Colombia, para 2018 y 2023. En primer lugar, se lleva a cabo un jucio de expertos para identificar las variables asociadas a este fenómeno. En segundo lugar, se realiza un análisis de componentes principales. Se concluye que, en comparación con el 2018, se requieren menos componentes y variables para explicar la mayor variabilidad de los datos. Además, las principales variables identificadas corresponden a infraestructura de básica de salud, de conectividad terrestre y de servicios esenciales, como el acueducto y alcantarillado.
Palabras clave: Turismo sostenible, Infraestructura, Desarrollo sostenible, Servicios públicos, Transporte, Análisis estadístico..
Abstract: Sustainable tourism allows communities to access a source of income without compromising their natural resources or culture, avoiding practices associated with mass tourism. Furthermore, this type of activity requires adequate infrastructure to facilitate the connection of territories to essential services, such as public utilities and transportation. However, there is still no consensus on the infrastructure variables related to sustainable tourism, which has limited intellectual production in this field. Therefore, the objective of this research is to analyze the evolution of infrastructure variables linked to sustainable tourism in Colombia, for the years 2018 and 2023. First, an expert judgment is conducted to identify the variables associated with this phenomenon. Second, a Principal Component Analysis is performed. It is concluded that, compared to 2018, fewer components and variables are needed to explain the greater variability of the data. Additionally, the main identified variables correspond to basic health infrastructure, land connectivity, and essential services, such as water supply and sewage systems.
Keywords: Sustainable tourism, Infrastructure, Sustainable development, Public services, Transport, Statistical analysis..
Introducción
El turismo sostenible se entiende como una forma de generar ingresos por medio de la actividad turística. No obstante, esta última ha sido fuente de críticas debido a la llegada masiva de turistas que afectan a las comunidades receptoras. En este contexto, se busca promover un turismo que sea respetuoso con el entorno, la naturaleza y las comunidades locales. De esta manera, el turismo sostenible ofrece a las comunidades la posibilidad de fortalecer su economía sin comprometer sus recursos naturales, culturales o sociales. En consecuencia, permite la generación de ingresos sin poner en riesgo el bienestar ambiental y social de las comunidades anfitrionas.
En este sentido, el turismo sostenible ofrece una visión empresarial más alineada con las iniciativas orientadas a la reducción de emisiones de gases de efecto invernadero, la protección de la fauna y flora y la diversificación de las fuentes de trabajo, entre otros aspectos. Así, garantizar la sostenibilidad de la actividad turística contribuye a la generación de un mayor valor agregado para las economías locales, regionales y nacionales, al fomentar la diversificación de la oferta de bienes y servicios ofrecidos.
et al
Además, el Gobierno de Colombia tiene planeado modernizar, durante el periodo 2022-2026, la infraestructura terrestre, fluvial y aérea del país, con el objetivo de mejorar la conectividad, competitividad e intermodalidad de las comunidades que habitan los territorios (Departamento Nacional de Planeación, 2023). En este contexto, resulta fundamental realizar investigaciones sobre las diversas variables que componen el tema de la infraestructura a nivel nacional.
Por lo anterior, el presente trabajo tiene como objetivo analizar las variables relacionadas con el turismo sostenible, enfocándose en aquellas vinculadas a la infraestructura del territorio colombiano durante los años 2018 y 2023. Para ello, el desarrollo del presente documento está estructurado en las siguientes secciones: introducción, metodología utilizada, resultados de la investigación y las conclusiones del trabajo.
Metodología
La presente investigación sigue una metodología mixta, ya que combina análisis estadístico con técnicas de investigación cualitativa, con el objetivo de indagar sobre un fenómeno (Martínez, 2018). Además, tiene un alcance exploratorio, dado que, como señalan Pérez et al. (2020), se pretende indagar un tema central que ha sido poco estudiado. En este caso, el fenómeno en cuestión son las variables de infraestructura relacionadas con el turismo sostenible en Colombia.
ictrc)
Los datos utilizados corresponden al Distrito Capital de Bogotá (3) y los siguientes departamentos: Antioquia (1), Atlántico (2), Bolívar (4), Boyacá (5), Caldas (6), Caquetá (7), Casanare (8), Cesar (9), Córdoba (10), Cundinamarca (11), Huila (12), Magdalena (13), Meta (14), Nariño (15), Norte de Santander (16), Quindío (17), Risaralda (18), Santander (19), Tolima (20) y Valle del Cauca (21). Se eligieron estos territorios debido a que disponen de información completa para ambos años del estudio y representan el 63,64 % del territorio colombiano.
Dado que el turismo sostenible abarca diversas vertientes, no existe un consenso en la literatura sobre las variables de infraestructura relacionadas con este fenómeno. Por ello, se llevó a cabo un juicio de expertos con el objetivo de identificar estas variables de interés. Siguiendo a Gutiérrez et al. (2020), este enfoque permite obtener información que no está fácilmente disponible, basándose en la experiencia profesional y académica de expertos que presentan diferentes perspectivas sobre un tema central. Así, 17 investigadores participaron en el juicio, respondiendo a una encuesta tipo Likert con una escala que varía de 1 (en desacuerdo) a 5 (totalmente de acuerdo).
Según Chavarría y Pulgarín (2020), una vez completado el proceso y con una aprobación del 80 % o más, se procede a seleccionar las variables definitivas. Así, tras el juicio de los expertos, la tabla 1 presenta las 17 variables que se utilizan en esta investigación

Por último, se utiliza el análisis de componentes principales (acp). Esta técnica estadística permite reducir el número de variables originales a un conjunto más pequeño, facilitando su interpretación mediante combinaciones lineales de las variables originales (componentes) que capturan la mayor parte de variabilidad de las observaciones (Mateos y Hernández, 2021). Para este fin, se considerarán aquellos componentes cuyo autovalor sea igual o superior a 1 (Aldás, 2017). Es decir, se busca simplificar el conjunto de variables para optimizar el estudio del fenómeno y mejorar la comprensión de las observaciones. Además, el tratamiento de los datos se realizó por medio del software R, versión 4.4.1.
Resultados
Las presente sección presenta los resultados del análisis de componentes principales para las variables de infraestrutura relacionadas con el turismo sostenible en Colombia, correspondientes a los años 2018 y 2023.

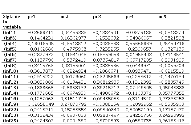
Teniendo en cuenta solo los autovalores mayores a 1, la tabla 2 muestra la importancia de los cinco primeros componentes para el 2018. En ella se observa que los dos primeros componentes (pc1 y pc2) explican la mayor parte de la varianza de los datos relacionados con infraestructura del turismo sostenible (51,84 % en conjunto). Por su parte, el tercer, cuarto y quinto componente (pc3, pc4 Y pc5) explican el 8,67 %, 7,93 % y 7,31 %, respectivamente. En total, estos cinco componentes explican el 75,77 % de la variabilidad de los datos de infraestructura relacionados con el turismo sostenible en Colombia durante 2018.

En el primer componente, se observa que las variables con mayor contribución son índice de penetración del servicio de internet banda ancha (inf1), cajeros electrónicos (inf8), disponibilidad de datáfono (inf10), cobertura del servicio de alcantarillado (inf12) y conectividad aérea internacional (inf23). Esto sugiere que el componente 1 está relacionado principalmente con la accesibilidad tecnológica, la conectividad del territorio y los servicios básicos.
En el segundo componente las variables de mayor contribución son llamadas caídas en la red de telefonía móvil (inf4), instituciones prestadoras de servicios de salud (inf5), disponibilidad de camas hospitalarias (inf7), cobertura del servicio de aseo (inf13) y terminales de transporte terrestre (inf16). Esto sugiere que el componente 2 está más vinculado con la calidad y cobertura de los servicios básicos y de salud.
En el tercer componente, las variables que con mayor contribución incluyen: instituciones prestadoras de servicios de salud (inf5), cobertura del servicio de alcantarillado (inf12), cobertura del servicio de aseo (inf13), cobertura del servicio de energía eléctrica (inf14) y planes de accesibilidad para personas en condición de discapacidad (inf25). Esto sugiere que el componente 3 está principalmente relacionado con la cobertura de servicios públicos básicos.
En el cuarto componente, las variables más relevantes son velocidad de conexión a internet por banda ancha (inf3), llamadas caídas en la red de telefonía móvil (inf4) y conectividad aérea nacional (inf22). Esto sugiere que el componente 4 se encuentra más relacionado con la calidad de la conectividad tecnológica y el transporte nacional.
Por último, en el quinto componente, las variables con mayor contribución son velocidad de conexión a internet por banda ancha (inf3) y vías pavimentadas en buen estado (inf19). Esto sugiere que este componente está más vinculado con la calidad de la conectividad y el estado de la infraestructura de transporte nacional.

La figura 1 muestra las dos primeras dimensiones del acp, ilustrando el comportamiento tanto de las variables como de los individuos incluidos en el estudio. En la primera dimensión o primer componente, que explica el 37,4 % de la variabilidad de los datos, se observa que Bogotá, Antioquia, Córdoba, Nariño, Caquetá y Magdalena son los individuos que mayor contribuyen a la varianza explicada por este componente. Sin embargo, Bogotá y Antioquia presentan características opuestas a las de los demás individuos.
En la segunda dimensión o segundo componente, que explica el 14,4 % de la variabilidad de los datos, se observa que Cundinamarca, Atlántico, Cesar y Magdalena son los individuos que mayor contribuyen a la varianza explicada por este componente. En este caso, los tres últimos departamentos presentan características contrarias a las de Cundinamarca.

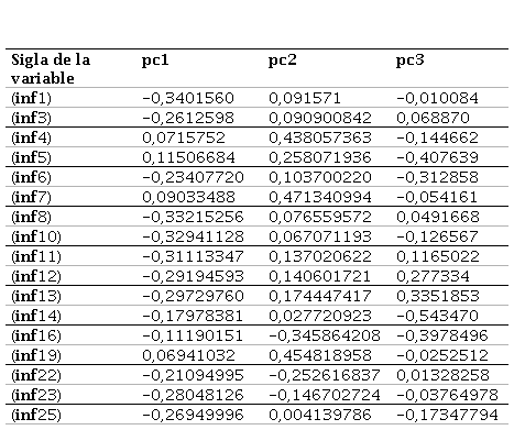
Teniendo en cuenta solo los autovalores mayores a 1, la tabla 3 muestra la importancia de los tres primeros componentes para el 2023. En ella se observa que el primer componente (pc1) explica la mayor parte de la varianza de los datos relacionados con la infraestructura del turismo sostenible (45,62 %). Por su parte, el segundo (pc2) y tercer componente (pc3) explican el 17,88 % y 8,1 %. En conjunto, estos tres componentes explican el 71,69 % de la variabilidad de los datos relacionados con el turismo sostenible en el ambito de la infraestructura en Colombia.

En el primer componente, se observa que las variables con mayor contribución son índice de penetración de internet (inf1), cajeros electrónicos (inf8), disponibilidad de datáfonos (inf10) y los servicios básicos como acueducto (inf11), alcantarillado (inf12), y aseo (inf13). Esto indica que el componente 1 está fuertemente asociado con infraestructura de servicios públicos básicos y tecnológicos.
En el segundo componente, las variables que destacan por su mayor contribución son llamadas caídas en la red móvil (inf4), disponibilidad de camas hospitalarias (inf7) y vías pavimentadas en buen estado (inf19). Esto sugiere que el componente 2 está más relacionado con servicios de telecomunicaciones, infraestructura de salud y vías en buen estado.
Por último, en el tercer componente, las variables con mayor contribución son instituciones prestadoras de servicios de salud (inf5), cobertura del servicio de energía eléctrica (inf14), terminales de transporte terrestre (inf16) y cobertura del servicio de aseo (inf13). Esto sugiere que este componente está más relacionado con servicios básicos y conectividad.

La figura 2 muestra las dos primeras dimensiones del acp, en las que se observa el comportamiento tanto de las variables como de los individuos incluidos en el estudio para el 2023. En la primera dimensión o primer componente, que explica el 45,6 % de la variabilidad de los datos, se observa que Bogotá, Córdoba, Nariño, Caquetá, Magdalena y Cesar son los individuos que más contribuyen a la varianza explicada por este componente. Sin embargo, Bogotá presenta características opuestas a las de los demás individuos.
En la segunda dimensión, que explica el 17,9 % de la variabilidad de los datos, se observa que Quindío, Atlántico, Caldas, Antioquia y Cundinamarca son los individuos que mayor contribuyen a la varianza explicada por el segundo componente. En este caso, los tres primeros presentan características opuestas a las de Antioquia y Cundinamarca.
Conclusiones
El turismo sostenible es un constructo teórico que ha tomado fuerza en el siglo xxi, impulsado por los esfuerzos destinados hacia a la preservación del ambiente y la sostenibilidad económica. Sin embargo, debido a su naturaleza multidisciplinaria, existen diversas formas de abordar este tema, lo que resalta la necesidad de seguir realizando investigaciones que enriquezcan el desarrollo de este concepto y favorezcan su aplicación práctica.
La metodología empleada en esta investigación contribuye al estudio del turismo sostenible en Colombia, proporcionando nueva información sobre un tema poco abordado: la infraestructura relacionada con el turismo sostenible. Dada la multiplicidad de variables que existen en este tema, el uso del acp permite identificar las variables más relevantes, reduciendo la dimensionalidad de los datos y enfocándose en los aspectos clave del fenómeno.
En ese contexto, se observa que, para el año 2018, se necesitaban cinco componentes formados por 15 variables relevantes. En cambio, para 2023, solo se requieren tres componentes conformados por once variables, que explican más del 70 % de la variabilidad de los datos. En particular, el primer componente, que explica la mayor parte de la variabilidad, está fuertemente influencia por los territorios de Bogotá, Nariño, Caquetá, Córdoba y Magdalena, los cuales tienen mayor representatividad en el fenómeno de la infraestructura relacionada con el turismo sostenible en Colombia.
Finalmente, estos resultados pueden servir como punto de partida para futuras investigaciones que aborden el estudio del turismo sostenible, la infraestructura territorial y la gestión sostenible. Además, pueden ser útiles en la formulación de políticas públicas orientadas a promover la infraestructura necesaria para el turismo sostenible en Colombia.
Referencias bibliográficas
Aldás, J. (2017). Análisis multivariante aplicado con R. Ediciones Paraninfo.
Centro de Pensamiento Turístico-Colombia. (2022). ictrc departamentos 2022. de: https://www.cptur.org/publicaciones/23Atpz0bgl5Nf8v
Chavarría, T. y Pulgarín, S. (2020). Construcción y validación de un instrumento para caracterizar el nivel de innovación en instituciones prestadoras de servicios de salud. Revista de Métodos Cuantitativos para la Economía y la Empresa, (30), 258–278. Doi: https://doi.org/10.46661/revmetodoscuanteconempresa.3519
Departamento Nacional de Planeación. (2023). Con inversiones por más de $102 billones, el Gobierno del Cambio modernizará la infraestructura del país. https://www.dnp.gov.co/Prensa_/Noticias/Paginas/con-inversiones-por-mas-de-102-billones-el-gobierno-del-cambio-modernizara-la-infraestructura-del-pais.aspx
Frechie, O. y Antonino, A. (2022). Developing Sustainability Performance Indicators for Community-based Tourism in Caramoan, Camarines Sur and Jovellar, Albay, Philippines. Philippine Journal of Science, 151(5), 1813-1828.
Martínez, H. (2018). Metodología de la investigación. Cengage Learning.
Gutiérrez, F., López, G. y Quintero, J. (2020). Metodología de la investigación científica en las ciencias económicas y administrativas: indicaciones para el estudio, sistema de tareas y casos de estudio. Editorial Universo Sur.
Lisinge, R. y van Dijk, M. (2022). Regional transport infrastructure programmes in Africa: what factors influence their performance? Canadian Journal of African Studies, 56(1), 99–121. https://doi.org/10.1080/00083968.2021.1896369
Mateos, G. y Hernández, A. (2021). Análisis multivariante de datos: como buscar patrones de comportamiento en Big Data. Ediciones Pirámide.
Nguyen, T., Nguyen, N. y Thanh, N. (2024). Factors Affecting Sustainable Tourism Development: Evidence from the Central Highlands of Vietnam. sage Open, 14(2), 1-17. Doi: https://doi.org/10.1177/21582440241240816
Pérez, L., Pérez, R. y Seca, M. (2020). Metodología de la investigación científica. Editorial Maipue.

