Received: 24 February 2024
Accepted: 19 April 2024

Abstract: — This article addresses the solution to the inverse problem in a one-dimensional transient partial differential equation with a source term, commonly encountered in heat transfer modeling for diffusion problems. The equation is utilized in a dimensionless form to derive a more general solution that is applicable in various contexts. The Transition Markov Chain Monte Carlo (TMCMC) method is utilized to estimate spatially variable thermophysical properties within the equation. This approach involves transitioning between probability densities, gradually refining the prior distribution to approximate the posterior distribution. The results indicate the effectiveness of the TMCMC method in addressing this inverse problem, and it offers a robust methodology for estimating spatially variable coefficients.
Keywords: Inverse Problem, Transition Markov Chain Monte Carlo (TMCMC), Heterogeneous Media, Estimation of Variable Coefficients, Heat Conduction.
I. Introduction
The identification of thermophysical properties is a fundamental process in various fields of science and engineering, where understanding these properties is essential to comprehend material behavior or identify them. Properties like thermal conductivity, density, and specific heat directly influence how a material responds to temperature changes [4]. When modeling the heat transfer process, these properties can be expressed through parameters within partial differential equations [3] [5] [10]. This, in turn, paves the way for varied approaches in estimating these parameters, ranging from direct methods to indirect approaches, each carrying its own advantages and disadvantages.
Within direct methods, direct experimental measurements on thermophysical properties of material samples are conducted. While recognized for their precision, these methods often prove to be costly, time-consuming, and in certain cases, intrusive to the material under analysis.
On the other hand, indirect methods offer an attractive alternative. They do not demand direct measurements of thermophysical properties but instead explore relationships between these properties and other variables that can be more easily measured [1][11]. However, indirect methods often rely on assumptions and models to establish these relationships, introducing uncertainties in the estimation.
One particular approach that has gained prominence is the utilization of Bayesian frameworks, such as the Transitional Markov Chain Monte Carlo (TMCMC) method, to estimate thermo-physical properties. The distinctive feature of Bayesian methods is the incorporation of prior information, i.e., prior knowledge about the properties in question [11]. TMCMC, for instance, constructs a probability distribution that takes into account both experimental data and prior information, resulting in more reliable estimates and quantified uncertainties [9] [11].
The aim of this work is to demonstrate the utilization of the TMCMC technique for computing unspecified parameters in a differential equation, proposing three distinct models of their spatial variation. The obtained results demonstrate the effectiveness of the TMCMC method in solving the inverse problem, providing a robust methodology for this type of problem. Furthermore, this work may validate the use of TMCMC as a reliable and versatile tool for parameter estimation in different contexts, paving the way for more advanced applications, such as characterizing new materials with different thermal properties.
II. Methodology
In this section, the methodology employed in this study will be presented. In the subsequent subsections, the mathematical formulation of the physical problem will be explained, and the intricacies of Transition Markov Chain Monte Carlo (TMCMC) will be explored. Introduced by [8], this approach draws inspiration from the adaptive Metropolis-Hastings technique and employs Monte Carlo principles through Markov Chains. A comprehensive overview of the TMCMC method will be provided, including discussions on its fundamental principles and procedural steps. The aim of this exposition is to provide a clear understanding of how the TMCMC method operates, especially in the context of estimating coefficients in solving inverse problems.
A. Mathematical Formulation
In this section, the mathematical formulation underlying the physical phenomenon of heat transfer within a material of length L=10 will be delved into. This investigation considers Neumann boundary conditions coupled with a constant initial condition. The primary objective of this section is to model the dynamic evolution of temperature, represented as T(x,t), across space and time.

In this context, k(x) represents the thermal conductivity coefficient, a measure characterizing an intrinsic ability of a material to conduct heat. In turn, the coefficient w(x), known as the thermal diffusion coefficient, incorporates the inherent thermal diffusivity property of the material in question. The term p(x) refers to an internal heat source within the material. The spatial domain is defined in the interval 0 < x < L, while time is restricted to positive values, t > 0, where L denotes the physical extent of the material. These parameters are expressed in terms of Neumann boundary conditions:


These expressions characterize the rates of heat transfer at the material boundaries, and the initial condition is established as shown below, where
is a constant representing the initial temperature distribution within the material.

This study examines Equation (1) in three distinct scenarios: firstly, when both coefficients k(x) and w(x) are kept constant; secondly, when they are modeled as linear functions; and finally, when they follow exponential functions. The primary aim of these analyses is to assess the Transitional Markov Chain Monte Carlo (TMCMC) method ability to accurately estimate these parameters.
Transitional Markov Chain Monte Carlo (TMCMC)
The Transitional Markov Chain Monte Carlo (TMCMC) method, as proposed by [8], draws inspiration from the adaptive Metropolis-Hastings method as suggested by [6], and it is grounded on the Monte Carlo methodology through Markov Chains. The main idea is to avoid direct sampling of difficult probability distributions by sampling from a series of intermediate distributions that converge to the posterior distribution [8].
This method inherits the advantages of Adaptive Metropolis-Hastings (AMH), which is suitable for very sharp, flat, and multimodal probability density functions (PDFs), and is particularly efficient in high-dimensional PDFs. Additionally, the TMCMC method has the capability to automatically select intermediate PDFs, enhancing its versatility and effectiveness in sampling complex distributions [8].
The posterior distribution is calculated using Bayes' theorem, described by Equation (2) [9], as shown below:

But, as mentioned earlier, the TMCMC method avoids computing the distribution in this way, in order to employ a series of intermediate distributions as follows:

The steps for the TMCMC algorithm are outlined as follows [7]:
1. Samples {P₀,₁, P₀,₂, ..., P₀,ₙ} are acquired from the prior distribution f₀(P) = π(P) using Monte Carlo simulation. The process initiates with p₀ set to 0, and steps 2 and 3 are repeated for j = {0, 1, 2, ...}.
2. Likelihood distributions π(Y | Pⱼ,₁), ..., π(Y | Pⱼ,ₙ) are computed, and the weights wⱼ,ₖ = π(Y | Pⱼ,ₖ)^(pⱼ₊₁ - pⱼ) are determined. The selection of pⱼ₊₁ ensures that the coefficient of variation (COV) of the importance weights {wⱼ,₁, ..., wⱼ,ₙ} equals 100%. Additionally, normalized weights {wⱼ,₁, ..., wⱼ,ₙ} are calculated.
3. Based on the normalized weights {wⱼ,₁, ..., wⱼ,ₙ}, candidates are randomly chosen from {Pⱼ,₁, Pⱼ,₂, ..., Pⱼ,ₙ}. A new candidate is proposed according to the distribution N(Pⱼ,ₖ, Σⱼ), forming the sequence {Pⱼ₊₁,₁, Pⱼ₊₁,₂, ..., Pⱼ₊₁}. The covariance matrix Σⱼ is defined by an equation.

with

The parameter β is a factor that scales the distribution of the covariance matrix proposal [8].
III. Results
In this section, the study conducted a comparative analysis of the parameters w(x) and k(x) estimated in the Partial Differential Equation (PDE), as mentioned earlier. Three distinct variations were considered: constant, linear, and exponential. To obtain experimental measurements in the direct problem, three spatial measurement points were selected: x=2.5, x=5.0, and x=7.5, resulting in a total of 101 measurements for each sensor within the analyzed time interval. The standard deviations of the measurement errors σ were defined as 0.5 for the constant case, 1.0 for the linear case, and 1.5 for the exponential case. Therefore, these experimental measurements are now referred to as actual measurements. It is worth noting that these measurement errors were chosen to be proportional to the measured temperature, specifically around 2%. This choice was based on the averaging of experimental measurements for each model.
The Transition Markov Chain Monte Carlo (TMCMC) method was employed to simultaneously obtain estimates of these parameters, and the results were compared for each variation. The study was conducted with a total of 20,000 samples for the Constant model, 50,000 for the Linear model, and 50,000 for the Exponential model and β = 0.1 in all three situations. In order to simulate a source with characteristics of a smooth step curve, the following mathematical formulation for p(x) was used.

The specific formulations and characteristics of the analyzed models for w(x) and k(x) are detailed in the following sections, accompanied by their respective mathematical formulations and corresponding results.
It is important to emphasize that all results presented in this work were generated using the computational platform Wolfram Mathematica 12.0, operating on a desktop equipped with a Central Processing Unit (CPU) AMD Ryzen Threadripper1950x clocked at 4 GHz and 64 GB of DDR4 type RAM. The adopted operating system is Windows 10 in its 64-bit version.
A. Model with Constant Coefficients
Firstly, the TMCMC method was applied to estimate the parameters of a model with constant coefficients. In the direct problem, k(x) = 1 and w(x) = 1 were used. Table I below shows the exact values of the coefficients, as well as the results obtained after the method was applied.

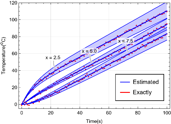
The table analysis reveals that the method was effective in parameter estimation, resulting in reduced relative errors and standard deviations. Fig. 1 depicts a comparison between estimated values, represented by the blue curve, and actual measurements denoted by red points, along with the 95% confidence interval depicted by the blue shaded region. On the other hand, Fig. 2 presents the residual analysis of the three utilized sensors, along with their corresponding linear regression.


Through the analysis of the graphs, it is evident that the estimated measurements exhibit high agreement with the actual measurements. The residual analysis reveals that the differences between these measurements are close to zero across the entire domain, as evidenced by the linear regression. Fig.3 and Fig. 4 illustrate the histogram of the estimates for the parameters w(x) and k(x). It is important to note that all estimated samples were normalized by their respective exact values, rendering the histogram dimensionless.


The means of the estimated values are close to the exact values, as expected. It is noteworthy that the estimation for the parameter w(x) was more accurate than for the parameter k(x).
B. Model with Linear Coefficients
Similarly to the model with constant coefficients, Table II presents the values used in solving the direct problem for the case of linear coefficients in the form
and
The corresponding estimates, standard deviations, and relative errors are also indicated.

Except for the parameter
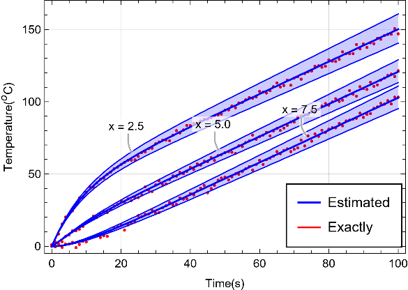
, all estimates yielded relative errors of less than 3%. Fig. 5 illustrates the comparison between the measurements of estimated values, represented by the blue curve, and actual measurements denoted by red points, along with the 95% confidence interval depicted by the blue shaded region. Meanwhile, Fig. 6 displays the residual analysis between these two measurements and the linear regression of the points.


Once again, a remarkable resemblance is observed between the estimated measurements and the actual measurements. However, it is noticeable that for the linear case, the confidence interval encompasses all the conducted measurements. The residual analysis demonstrates that the differences between the measurements are close to zero across the entire domain, as shown by the linear regression. Fig. 7, Fig. 8, Fig. 9 and Fig. 10 displays the histograms of parameter estimates for this case.




The means of the estimated values approach the exact values, as expected, reinforcing the reliability of the TMCMC method. It is worth noting that the estimate for the parameter w(x) reveals superior precision compared to the parameter k(x), suggesting the need for a more in-depth analysis to comprehend the underlying causes of this discrepancy.
C. Model with Exponential Coefficients
Finally, Table III showcases the values and estimates of the parameters associated with the case of exponential coefficients in the form
and 

Once again, the estimates resulted in significantly reduced relative errors and standard deviations. Fig. 11 illustrates the comparison graphs between the measurements with the estimated parameters, represented by the blue curve, and the actual measurements denoted by red points, along with the 95% confidence interval depicted by the blue shaded region. Meanwhile, Fig. 12 displays the residual analysis between these measurements with the linear regression of the points.


Similar to the previous cases, the estimated measurements exhibit high agreement with the actual measurements. The residual analysis confirms that the differences between these measurements are close to zero across the entire domain. Figs.13, 14, 15 and 16 display the histograms of parameter estimates for this case.




It is important to note that despite this change in distribution, the TMCMC method demonstrated estimating the parameters with lower relative error compared to the previous linear cases. This observation underscores the relative capability of the method in dealing with exponential coefficients, even with the loss of uniformity in histograms, indicating a relative precision in estimating these parameters.
IV. Conclusion
Throughout this study, the evaluation of the TMCMC method efficacy in estimating coefficient parameters was conducted across three distinct scenarios. The analysis of the obtained tables and histograms reveals variability in the method efficiency based on the analyzed case. Notably, it was found that the method faced more significant challenges in estimating parameters for k(x) in the second scenario, corresponding to a linear model. Despite this additional complexity, the relative error consistently remained below 9%.
A detailed analysis of the generated histograms allows for a deeper understanding of the results. In all investigated scenarios, a notable precision was observed in estimating the parameters. In the constant model case, the value distribution showed a well-defined Gaussian shape, centered around the exact value, demonstrating highly accurate estimation. However, in the linear case, there was a more significant dispersion in the probable values, especially considering the parameters associated with k(x). Lastly, in the third case, an even higher precision compared to the linear case was highlighted, along with the presence of distributions that appeared to be bimodal, indicating the occurrence of two peaks of probable values for the k(x) parameters, something that warrants further investigation.
These results offer a comprehensive insight into the applicability and performance of the TMCMC method in parameter estimation, highlighting its nuances across different model configurations. The achieved accuracy, even in the face of specific challenges, underscores the robustness and potential of this method for parameter analyses and inferences across various contexts.
Acknowledgments
Acknowledgment
The present work was supported by the Coordenação de Aperfeiçoamento de Pessoal de Nível Superior - Brasil (CAPES) - Funding Code 001.
The authors also acknowledge the financial support from the CNPq and FAPERJ funding agencies.
References
[1] A. J. Silva Neto and J. C. Becceneri, “Técnicas de inteligência computacional inspiradas na natureza: Aplicação em problemas inversos em transferência radiativa,” 2009.
[2] C. P. Naveira-Cotta et al., “Eigenfunction expansions for transient diffusion in heterogeneous media,” International Journal of Heat and Mass Transfer, vol. 52, no. 21-22, pp. 5029–5039, 2009.
[3] D. C. Knupp, “Integral transform technique for the direct identification of thermal conductivity and thermal capacity in heterogeneous media,” International Journal of Heat and Mass Transfer, 2021.
[4] F. P. Incropera et al., Fundamentals of Heat and Mass Transfer, vol. 6, New York, Wiley, 1996.
[5] F. S. Mascouto et al., “Detection of contact failures employing combination of integral transforms with single-domain formulation, finite differences, and Bayesian inference,” Numerical Heat Transfer, Part A: Applications, 2020.
[6] J. Beck and S.-K. Au, “Bayesian updating of structural models and reliability using Markov chain Monte Carlo simulation,” Journal of Engineering Mechanics, vol. 128, no. 4, pp. 380–391, 2002.
[7] J. Ching and J. S. Wang, “Application of the transitional Markov chain Monte Carlo algorithm to probabilistic site characterization,” Engineering Geology, vol. 203, pp. 151–167, 2016.
[8] J. Ching and Y. C. Chen, “Transitional Markov chain Monte Carlo method for Bayesian model updating, model class selection, and model averaging,” Journal of Engineering Mechanics, vol. 133, no. 7, pp. 816–832, 2007.
[9] J. P. Kaipio and C. Fox, “The Bayesian framework for inverse problems in heat transfer,” Heat Transfer Engineering, vol. 32, no. 9, pp. 718–753, 2011.
[10] L. A. Da Silva Abreu et al., “Estimativa do perfil de temperatura na entrada de dutos via Método de Monte Carlo com Cadeias de Markov,” Revista Cereus, vol. 14, no. 4, pp. 129–143, 2022.
[11] M. N. Özışık and H. R. Orlande, Inverse Heat Transfer: Fundamentals and Applications, 2021.
[12] P. Gardner, C. Lord, and R. J. Barthorpe, “A unifying framework for probabilistic validation metrics,” *Journal of Verification, Validation and Uncertainty Quantification*, vol. 4, no. 3, 031005, 2019.
[13] W. Betz, I. Papaioannou, and D. Straub, “Transitional Markov chain Monte Carlo: observations and improvements,” Journal of Engineering Mechanics, vol. 142, no. 5, 04016016, 2016.J. Clerk Maxwell, A Treatise on Electricity and Magnetism, 3rd ed., vol. 2. Oxford: Clarendon, pp.68–73, 1892.

