Artículos
Recepción: 01 febrero 2024
Aprobación: 19 abril 2024

Resumen: En los últimos años, la promoción de la salud vocal en el lugar de trabajo se ha vuelto cada vez más importante. La literatura actual ha identificado a los trabajadores con altas demandas vocales como un grupo de alto riesgo para desarrollar Trastornos Funcionales de la Voz (FVD). Sin embargo, en países de Latinoamérica, como la República del Ecuador, existe un conocimiento limitado sobre esta patología ocupacional. El objetivo de este estudio fue comparar las diferencias en el riesgo de desarrollar FVD entre grupos ocupacionales mediante el análisis de los registros de enfermedades ocupacionales calificativas en el país. Los resultados deben interpretarse con cautela debido al infradiagnóstico de enfermedades profesionales. Dada la importancia del cuidado de la voz, se necesitan estudios epidemiológicos integrales para identificar a los trabajadores más vulnerables.
Palabras clave: Trastornos de la voz, Grupos ocupacionales, Epidemiología, Ecuador.
Abstract: In recent years, the promotion of vocal health in the workplace has become increasingly important. Current literature has identified workers with high vocal demands as a high-risk group for developing Functional Voice Disorders (FVDs). However, in Latin American countries, such as the Republic of Ecuador, there is limited knowledge about this occupational pathology. The objective of this study was to compare the differences in the risk of developing FVDs among occupational groups by analyzing the records of qualifying occupational diseases in the country. The results should be interpreted with caution due to the underdiagnosis of occupational diseases. Given the importance of voice care, comprehensive epidemiologic studies are needed to identify more vulnerable workers.
Keywords: Voice disorders, Occupational groups, Epidemiology, Ecuador.
Resumo: Nos últimos anos, a promoção da saúde vocal no local de trabalho tornou-se cada vez mais importante. A literatura atual identificou trabalhadores com altas demandas vocais como um grupo de alto risco para o desenvolvimento de distúrbios funcionais da voz (FVDs). No entanto, em países da América Latina, como a República do Equador, há um conhecimento limitado sobre essa patologia ocupacional. O objetivo deste estudo foi comparar as diferenças no risco de desenvolver DVF entre grupos ocupacionais, analisando os registros de doenças profissionais qualificadas no país. Os resultados devem ser interpretados com precaução devido ao subdiagnóstico de doenças profissionais. Dada a importância do cuidado da voz, são necessários estudos epidemiológicos abrangentes para identificar trabalhadores mais vulneráveis.
Palavras-chave: Alterações da voz, grupos profissionais, Epidemiologia, Equador.
INTRODUCTION
The voice, to a greater or lesser extent, constitutes the fundamental tool during the process of communication used by many workers. Approximately one-fourth of the economically active population relies on their voices in their daily tasks, making it essential to maintain an optimal state of vocal health during occupational activities [1]. However, the constant use and sustained effort of voice as an essential part of the profession could lead to the development of Functional Voice Disorders (FVDs). These disorders can impact the occupational performance of workers and simultaneously have a limiting effect on their social lives [2,3].
FVDs can manifest in various manners. The most common pathologies are aphonia and dysphonia [4]. These disorders more frequently affect women aged between 30 and 50 [5]. The occupational etiology of FVDs is multifactorial in nature [6,7]. In summary, attributable risk factors include inadequate environmental conditions, such as exposure to background noise, dust- or fume-related allergies, and a lack of humidity and ventilation. Additionally, organizational characteristics such as excessive voice demand and stress due to workload have also been identified as contributing factors [8]. Other personal factors and lifestyle choices were equally associated with FVDs among the workers. For instance, improper voice production with high sound pressure levels (loud voice with a very high or low pitch) and the consumption of alcohol or tobacco, among others [9].
Several studies have identified certain occupations at a higher risk of developing FVDs due to exposure to risk factors present in working conditions, combined with constant voice use and sustained effort [10,11]. These occupations include teachers, singers, and telemarketing workers [12]. However, establishing causality between exposure and effect has been challenging for other vocations that rely on voice as a tool due to their multifactorial nature [13,14]. In summary, FVDs among workers, especially those who are professional voice users, represent a significant occupational health issue. The high prevalence of voice disorders in certain professions, such as teaching, underscores the need for increased recognition, prevention, and treatment programs to mitigate the impact on workers' health and productivity.
Although FVDs are considered occupational diseases in many countries' legislation, they are often overlooked in national occupational health programs due to their low prevalence and lack of previous research [15]. To address the current knowledge gap, an initial step would be to characterize the occupational groups that are most vulnerable. This can be achieved by utilizing the available statistics from each country [12].
Regarding the Republic of Ecuador, it is important to note that there is no specific definition of FVDs for the recognition of occupational diseases, nor are their prevention measures specified in the legal frameworks related to occupational health and safety. This is likely to have influenced the limited number of studies in the country. However, in 2016, aphonia and dysphonia were added to the assessment table for work-related disability benefits, providing medical and economic assistance to workers affiliated with social security systems. The aim of this study is to compare potential differences among occupational groups affected by FVDs in Ecuador. Administrative records can be used to provide epidemiological information and address gaps in the field [16]. Ultimately, the results of this study will fill a knowledge gap about this occupational disease and provide useful information for consideration in national occupational health programmes.
MATERIAL AND METHOD
An observational study utilizing administrative records of FVDs among workers affiliated with and covered by the social security system in the country. The data were formally provided by the Ecuadorian Institute of Social Security to the Ecuadorian Observatory of Occupational Health and Safety (OESST) at Espíritu Santo University. This study is part of the research project "Working Conditions and Occupational Injuries in Ecuador" conducted by the OESST. It should be noted that only qualified cases (closed processes) from April 1, 2016, to December 24, 2020, were available for the analysis. Additionally, the database was limited to certain variables, such as sex, age, province, and major economic sectors.
The quantitative variable of the age of the affected worker was recoded into ranges based on the minimum age (20 years) and maximum age (69 years) in the records. Building on previous literature and considering the available information, the cases qualified for FVDs were classified into two major occupational groups based on the following criteria: on the one hand, the high vocal demands required and inherent to the occupation [3,4], and on the other hand, workplace conditions that could presumably be considered contributing factors to occupational disease [12,17].
The first group (G-I) comprises occupations that require constant voice use and sustained effort as an essential part of the profession. The second group (G-II) corresponds to occupations that do not necessarily involve constant voice use or sustained effort and, at the same time, are in suitable environmental conditions (absence of high levels of sound pressure or thermal stress) and free from exposures to chemical agents (solvents, metal fumes, presence of dust and/or smoke, etc.). Administrative occupations were included in this group [18]. For example, retail workers require constant use of the voice to serve customers. Similarly, administrative workers do not use their voice consistently as they spend most of their time using computers without interacting with other people in a spoken way. This classification is illustrated in Figure 1.

In accordance with international recommendations [19], incidence rates were estimated per 100,000 workers, and differences in rates between groups were assessed using relative risk (RR; 95% CI; p < 0.05). The second group (G-II) was considered the reference group because it might have a lower probability of developing FVDs [20]. The exposed population consisted of workers affiliated with general occupational risk insurance in 2018. This information was retrieved from the National Survey of Employment, Unemployment, and Underemployment [21] conducted by the National Institute of Statistics and Census, using a rigorous probabilistic sampling method to measure and characterize the labor market at the national level. In total, affiliated workers in the age and occupation categories considered were 1,597,730.
The IBM® SPSS statistical package (version 25) and Microsoft® Excel (version 16.69.1) were used for data management and analysis. The database used in this study did not include personal identification of the worker affected by FVD. As the data were anonymized, no approval from an Ethics Committee was required.
RESULTS
FVDs accounted for 2.2% (74 cases) of the total occupational diseases registered by the Ecuadorian Institute of Social Security during the study period (3,328 cases). The most frequently affected workers are listed in Table 1. Regarding occupational groups, FVD cases were predominantly among G-I workers, with the exception of workers aged 20–29 (57.1 %) and the industrial sector (62.5 %).
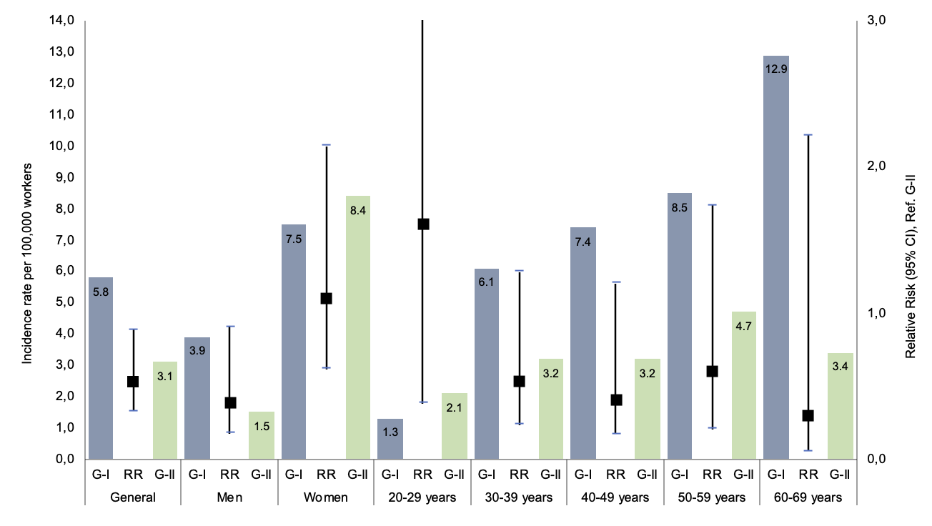
The period’s incidence rate was 4.6 cases per 100,000 workers. In terms of occupational groups, higher incidences were observed in G-I (5.8 cases per 100,000) than in G-II (3.1 cases per 100,000), as shown in Figure 2. Incidence increases progressively with age for G-I workers, with workers aged 60–69 being at the highest risk (12.9 per 100,000).
The calculated relative risk did not show significant differences in the risk of developing FVDs for G-I workers compared to G-II workers (RR = 0.53; 95% CI = 0.33-0.89, p-value = 0.014). However, with values exceeding 1 (RR > 1), there may be indications of risk among women (RR = 1.12; 95% CI = 0.62-2.14) and in the age group of 20–29 years (RR = 1.61; 95% CI = 0.38–6.26) in G-I workers compared to G-II workers, although the association was not statistically significant (p > 0.05), as shown in Figure 2.


DISCUSSION AND CONCLUSIONS
The objective of this study, for the first time in the country, was to estimate the incidence of FVDs and compare the differences in risk between occupational groups to provide an overview of the situation of this occupational disease using the only available administrative records in the population of workers affiliated with social security. Despite not supporting an excess of risk in Group I compared to Group II, we found some notable findings that merit further discussion.
First, our results differ from those of other recent studies that have identified certain occupations with a higher frequency and likelihood of presenting this occupational pathology [22]. In our context, it is possible that the estimated incidence is affected by underdiagnosis, a reality similar to that in other countries [14, 23]. As mentioned earlier, the complexity of establishing causality between past exposure and the present effect makes it difficult to determine whether a disease is directly related to work. Thus, in many cases, FVDs are diagnosed as common illnesses [7]. Furthermore, the limited number of qualified cases for most provinces in the country, concentrated in the service sector, supports the argument for the lack of attention until now.
Secondly, women exhibited higher incidences, regardless of occupational group. One possible explanation for this result could be related to the biological and hormonal differences between women and men, which could influence an increased likelihood of developing FVDs [5, 24].
Third, it is important to highlight another significant finding related to the age of affected workers. As age increases, the incidence rates rise, especially in the high-risk group (G-I). This phenomenon could also be linked to natural changes in the vocal anatomy. Vocal cords become thinner and less elastic with age [7], and when combined with the length of employment in occupations involving sustained voice use and/or inadequate environmental conditions, it increases the likelihood of developing FVDs [12, 25].
Limitations of the study
This analysis has limitations common to studies using secondary sources of information. One of the primary drawbacks may be underreporting and underdiagnosis of suspected FVDs in the official qualification body. The quality of statistical data on occupational diseases poses a challenge and may not accurately reflect reality, as is the case in many other countries. Therefore, these results should be interpreted with caution. In our country, the low level of interest or knowledge regarding the assessment of occupational risks, such as past exposure, and the diagnosis of FVDs [17], may explain this fact. To improve statistical information systems, occupational physicians should consider occupationally related pathologies through epidemiological surveillance.
Recommendations
Therefore, additional research is necessary to collect reliable evidence on occupationally related FVDs, in order to gain a more comprehensive understanding and facilitate the design of vocal health promotion programs in the workplace [5]. In the meantime, present some basic guidelines based on current evidence-based findings [26,28] that can be used as a reference for the development of vocal health awareness campaigns by Ecuadorian companies [29].
Preventive voice training and vocal hygiene are key promotional actions to prevent voice disorders among workers, demonstrates that preventive voice training can improve vocal function, performance, and self-concept, as well as reduce the prevalence of voice disorders among university teachers and academic advisers. The study advocates for the integration of such training into continuing education and university health management [30,31], while acknowledging the limited data on the effectiveness of vocal hygiene as a preventive tool, suggests that components of vocal hygiene, such as hydration and vocal rest, have been associated with improved outcomes when part of a comprehensive therapeutic program.
Interestingly, while [32] did not find a statistically significant effect of a Workplace Vocal Health Promotion Program (WVHPP) on voice-related quality of life, it did report improvements in certain instrumental voice measures, indicating that workplace promotion programs may influence voice functioning [32]. This suggests that while the impact of such programs may not always be immediately evident in perceived quality of life, they can still effect positive changes in voice health.
In summary, the evidence suggests that preventive voice training and vocal hygiene education are beneficial promotional actions to prevent voice disorders among workers. These strategies should be part of a broader approach to workplace health promotion, considering the specific needs and conditions of the workforce. Implementing such programs can lead to improved vocal well-being and potentially reduce the high prevalence of voice disorders in vocally demanding professions.
FUNDING
This study received no specific financial support.
COMPETING INTERESTS
The authors declare that they have no competing interests.
CONTRIBUTION OF THE ARTICLE TO THE RESEARCH LINE
This observational study focuses on the risk of developing Functional Voice Disorders (FVD) among the occupational diseases reported in the Republic of Ecuador between 2016 and 2020, considering the population distribution by sex, age group, provinces, and economic sectors. The paucity of studies dealing with this disorder makes this research innovative, generating a path for future analyses that delve into both the factors and the effects of these pathologies.
AUTHORS’ CONTRIBUTIONS
Conducted and analyzed the study, A.R.G.G.; A.R.G.G. and C.L.P.T; wrote the first manuscript, C.L.P.T.; reviewed the first manuscript draft and reviewed the second manuscript draft A.R.G.G. and C.L.P.T.; edited the second manuscript draft, E.C.G.; revised and finalized second manuscript, AR.G.G. and A.H.C.L. All authors have read and agreed to the published version of the manuscript.
ACKNOWLEDGEMENTS
We would like to thank the General Workers' Risk Insurance of the Ecuadorian Institute of Social Security for providing the data.
BIOGRAPHIC NOTE
Antonio R. Gómez-García. ORCID iD https://orcid.org/0000-0003-1015-1753 Ph.D. in Occupational Risk Prevention from the Department of Preventive Medicine and Public Health at the University of Malaga, Spain. Since 2019, he has been a senior researcher and full professor at the University of Espiritu Santo, Ecuador.
Alywin Hacay Chang León. ORCID iD https://orcid.org/0000-0002-5383-0951 Doctoral candidate at the Polytechnic University of Valencia, Spain. Associate Professor at the University of Espiritu Santo and member of the Ecuadorian Occupational Safety and Health Observatory.
Johanna Chiluisa Gálvez. ORCID iD https://orcid.org/0000-0001-5241-6778 Doctor of Medicine from the Universidad Nacional de Loja, Ecuador, and Master in Occupational Health and Safety from the Universidad Espiritu Santo, Ecuador. She is currently a physician at the Ministry of Public Health in Ecuador.
Cristhian Paladines Torres. ORCID iD https://orcid.org/0000-0003-3091-8042 Doctor of Medicine from the Universidad Nacional de Loja, Ecuador, and Master in Occupational Health and Safety from the Universidad Espiritu Santo, Ecuador. He is currently a physician at the Ministry of Public Health in Ecuador.
REFERENCES
[1] N. Roy, al., "Voice disorders in the general population: prevalence, risk factors, and occupational impact", The Laryngoscope, vol. 115, no. 11, pp. 1988-1995, 2005. https://doi.org/10.1097/01.mlg.0000179174.32345.41
[2] A. Remacle, al., "Description of patients consulting the voice clinic regarding gender, age, occupational status, and diagnosis", European Archives of Oto-Rhino-Laryngology, vol. 274, no. 3, pp. 1567-1576, 2017. https://doi:10.1007/s00405-016-4332-7
[3] J. Morawska, al., "Screening value of V-RQOL in the evaluation of occupational voice disorders. Screening value of V-RQOL in the evaluation of occupational voice disorders", Medycyna Pracy, vol. 69, no. 2, pp. 119-128, 2018. https://doi.org/10.13075/mp.5893.00649
[4] N. R. Williams, "Occupational groups at risk of voice disorders: a review of the literature". Occupational medicine (Oxford, England), vol. 53, no. 7, pp. 456-460, 2003. https://doi.org/10.1093/occmed/kqg113
[5] N. Roy al., "Evidence-based clinical voice assessment: a systematic review", American Journal of Speech-Language Pathology, vol. 22, no. 2, pp. 212-226, 2013. https://doi.org/10.1044/1058-0360(2012/12-0014
[6] E. Niebudek-Bogusz and M. Śliwińska-Kowalska. "An overview of occupational voice disorders in Poland", International Journal of Occupational Medicine and Environmental Health, vol. 26, no. 5, pp. 659-669, 2013. https://doi.org/10.2478/s13382-013-0146-7
[7] R. H. G. Martins al., "Voice disorders: Etiology and diagnosis", Journal of Voice, vol. 30 no. 6, pp. 761.e1-761.e9, 2016. https://doi.org/10.1016/j.jvoice.2015.09.017
[8] J. Baker al., "Psychosocial risk factors which may differentiate between women with Functional Voice Disorder, Organic Voice Disorder and a Control group", International Journal of Speech-Language Pathology, vol. 15, no. 6, pp. 547-563, 2013. https://doi.org/10.3109/17549507.2012.721397
[9] C. A. Calvache Mora al., "Systematic Review of Literature on Vocal Demand Response: Understanding Physiology, Measurements, and Associated Factors", Folia Phoniatrica et Logopaedica: Official Organ of the International Association of Logopedics and Phoniatrics (IALP), Advance online publication, 2023. https://doi.org/10.1159/000531678
[10] D. Phyland and A. Miles. "Occupational voice is a work in progress: active risk management, habilitation and rehabilitation". Current opinion in otolaryngology & head and neck surgery, vol. 27, no. 6, pp. 439-447, 2019. https://doi.org/10.1097/MOO.0000000000000584
[11] B. Ebersole al., "The Influence of Occupation on Self-perceived Vocal Problems in Patients with Voice Complaints", Journal of Voice: Official Journal of The Voice Foundation, vol. 32, no. 6, pp. 673-680, 2018. https://doi.org/10.1016/j.jvoice.2017.08.028
[12] M. González-Gamboa al., "Are Occupational Voice Disorders Accurately Measured? A Systematic Review of Prevalence and Methodologies in Schoolteachers to Report Voice Disorders", Journal of Voice: Official Journal of The Voice Foundation, Advance online publication, 2022. https://doi.org/10.1016/j.jvoice.2022.10.023
[13] Á. P. Atará-Piraquive and L. C. Cantor-Cutiva, "Gender differences in vocal doses among occupational voice users: a systematic review of literature and meta-analysis", Logopedics, Phoniatrics, Vocology, 47(1), 63-72, 2022. https://doi.org/10.1080/14015439.2021.1873415
[14] P. Oliveira al., "Prevalence of Work-Related Voice Disorders in Voice Professionals: Systematic Review and Meta-Analysis", Journal of Voice: Official Journal of The Voice Foundation, Advance online publication, 2022. https://doi.org/10.1016/j.jvoice.2022.07.030
[15] G. Arcangeli al., "Emerging and Re-emerging Organizational Features, Work Transitions, and Occupational Risk Factors: The Good, the Bad, the Right". An Interdisciplinary Perspective. Frontiers in Psychology, vol. 9, pp. 1533, 2018. https://doi.org/10.3389/fpsyg.2018.01533
[16] A. R. Gómez García, "Seguridad y salud en el trabajo en Ecuador [Safety and Health at Work in Ecuador", Archivos de Prevencion de Riesgos Laborales, vol. 24, n. 3, pp. 232-239, 2021. https://doi.org/10.12961/aprl.2021.24.03.01
[17] C. J. Nudelman, P. Bottalico and L.C. Cantor-Cutiva, "The Effects of Room Acoustics on Self-reported Vocal Fatigue: A Systematic Review". Journal of Voice: Official Journal of The Voice Foundation, Advance online publication 2023. https://doi.org/10.1016/j.jvoice.2022.12.024
[18] M. C. Mori, D. O. Francis and P. C. Song, "Identifying occupations at risk for laryngeal disorders requiring specialty voice care", Otolaryngology - Head and Neck Surgery (United States), vol. 157, n. 4, pp. 670-675, 2017. https://doi.org/10.1177/0194599817726528
[19] International Labour Organization, "Quick guide on sources and uses of statistics on occupational safety and health" Retrieved: https://www.ilo.org/wcmsp5/groups/public/---dgreports/---stat/documents/publication/wcms_759401.pdf [Accessed 16-10-2023], 2020
[20] H. Byeon, "Occupational risks for voice disorders: Evidence from a Korea national cross-sectional survey", Logopedics Phoniatrics Vocology, vol. 42, n. 1, pp. 39-43, 2017. https://doi.org/10.1080/14015439.2016.1178326
[21] Instituto Nacional de Estadísticas y Censos de Ecuador, "Encuesta Nacional Empleo, Desempleo y Subempleo (ENEMDU)" Retrieved: https://www.ecuadorencifras.gob.ec/enemdu-anual/ [Accessed 16-11-2023], 2018
[22] M. N. Huston, I. Puka and M.R. Naunheim, "Prevalence of Voice Disorders in the United States: A National Survey", Laryngoscope, vol. 134, n. 1, pp. 347-352, 2024. https://doi.org/10.1002/lary.30929
[23] V. Lyberg-Åhlander al., "Prevalence of Voice Disorders in the General Population, Based on the Stockholm Public Health Cohort", Journal of Voice: Official Journal of The Voice Foundation, vol. 33, n, 6, pp. 900-905, 2019. https://doi.org/10.1016/j.jvoice.2018.07.007
[24] B. Kosztyła-Hojna al., "Psychogenic voice disorders", The Polish Otolaryngology, vol. 72, n. 4, pp. 26-34, 2018. https://doi.org/10.5604/01.3001.0012.0636
[25] L. Allen and A. Hu, "Voice Disorders in the Workplace: A Scoping Review". Journal of Voice: Official Journal of The Voice Foundation, vol. 1997, no. 22, 00075-3, 2022. https://doi.org/10.1016/j.jvoice.2022.03.012
[26] R. Vermeulen, al., "The Effect of Vocal Hygiene Education Programs on Voice Quality in Professional Voice Users: A Systematic Review", Journal of Speech, Language, and Hearing Research, vol. 65, n. 12, pp. 4700-4713, 2022. https://doi.org/10.1044/2022_JSLHR-22-00097
[27] K. J. Y. Lin, al., "A Vocal Hygiene Program for Mitigating the Effects of Occupational Vocal Demand in Primary School Teachers", Journal of Speech, Language, and Hearing Research, vol. 66, n. 5, pp. 116, 2023. https://doi.org/10.1044/2023_JSLHR-22-00490
[28] Z. Weston and S. L. Schneider, "Demystifying Vocal Hygiene: Considerations for Professional Voice Users", Current Otorhinolaryngology Reports, vol. 11, pp. 387-394, 2023. https://doi.org/10.1007/s40136-023-00494-x
[29] A.R. Gómez-García, al., "Leaving no-one behind in the workplace health promotion: towards regulatory equity in the Ecuadorian micro-enterprises", Journal of Public Health Policy, Advance online publication. https://doi.org/10.1057/s41271-023-00466-x
[30] Lücking, C., & Claßen, K. (2023). Influences of Preventive Voice Training on the Vocal, Mental Health, and Voice-Related Self-Concept of University Teachers and Academic Advisers: A Pilot Study. Journal of voice : official journal of the Voice Foundation, S0892-1997(23)00391-0. Advance online publication. https://doi.org/10.1016/j.jvoice.2023.12.003
[31] Behlau, M., & Oliveira, G. (2009). Vocal hygiene for the voice professional. Current opinion in otolaryngology & head and neck surgery, 17(3), 149–154. https://doi.org/10.1097/MOO.0b013e32832af105
[32] Atará-Piraquive, Á. P., Herrera-Guzmán, C. L., Hernández-Contreras, J. R., Rincón-Pinilla, M. P., Peña-Campagnoli, A. T., Florez-Lancheros, G. P., & Cantor-Cutiva, L. C. (2023). Effect of a Workplace Vocal Health Promotion Program and Working Conditions on Voice Functioning of College Professors. Journal of voice : official journal of the Voice Foundation, 37(6), 886–896. https://doi.org/10.1016/j.jvoice.2021.05.016

