Recepción: 02 enero 2024
Aprobación: 30 enero 2024
Resumen: Se estudiaron los patrones de diversidad espacial de las aves del Centro Ecológico Weckso, PILA, Bocas del Toro. El estudio registró 855 individuos de 80 especies (70 residentes y 10 migratorias). Además, nueve especies tienen algún tipo de amenaza nacional o internacional. Las especies más abundantes fueron, en el bosque A. tzacatl (11,7%), en la ribera N. brasilinus (8.3%) y en el área abierta B. swainsoni (6.1%). El orden Passeriformes fue el más diverso y abundante con valores de 53.8% y 37.2% respectivamente. La familia Accipitridae fue la más abundante con un 15.7%; mientras que Thraupidae fue la más diversa con un 11.2%. Según los números de Hill y el estimador Chao 1, se obtuvo una buena representación de la diversidad verdadera expresada por los órdenes (q=0, q=1 y q=2) de los sitios muestreados. Los hábitats con mejor cobertura boscosa demostraron mayores niveles de diversidad de especies. El análisis de conglomerados reveló máxima homogeneidad dentro de los hábitats, pero con diferencias entre ellos, donde el bosque y la ribera poseen una menor disimilitud en comparación con el área abierta. Algunas aves especialistas como B. swainsoni, R. magnirostris, L. semiplumbeus y N. brasilinus, contribuyen diferencialmente a la composición de las especies entre los hábitats muestreados, favoreciendo el recambio de otras especies más generalistas como, A. tzacatl, X. susurrans, T. grayi y T. melancholicus. Estos resultados indican que la diversidad verdadera y el recambio de las aves son pruebas reales que garantizan la conservación del Centro Ecológico Weckso, pues sus patrones de diversidad alfa y beta son muy significativos.
Palabras clave: Dendrograma, diversidad beta, disimilitud, números de Hill, punto de radio fijo..
Abstract: The spatial diversity patterns of the birds of the Weckso Ecological Center, PILA, Bocas del Toro, were studied. The study recorded 855 individuals of 80 species (70 residents and 10 migratory). In addition, nine species have some type of national or international threat. The most abundant species were, in the forest, A. tzacatl (11.7%), in the riverbank, N. brasilinus (8.3%), and in the open area, B. swainsoni (6.1%). The order Passeriformes was the most diverse and abundant with values of 53.8% and 37.2% respectively. The Accipitridae family was the most abundant with 15.7% while Thraupidae was the most diverse with 11.2%. According to the Hill numbers and the Chao 1 estimator, a good representation of the true diversity expressed by the orders (q=0, q=1 and q=2) of the sampled sites was obtained. Habitats with better forest cover demonstrated higher levels of species diversity. The cluster analysis revealed maximum homogeneity within the habitats, but with differences between them, where the forest and the riverbank have a lower dissimilarity compared to the open area. Some specialist birds such as B. swainsoni, R. magnirostris, L. semiplumbeus and N. brasilinus, contribute differentially to the species composition among the sampled habitats, favoring the turnover of other more generalist species such as A. tzacatl, T. grayi and T. melancholicus. These results indicate that the true diversity and turnover of birds are real evidence that guarantees the conservation of the Weckso Ecological Center, since its alpha and beta diversity patternsare very significant.
Keywords: Beta diversity, dendrogram, dissimilarity, fixed radius point, Hill numbers..
INTRODUCCIÓN
Panamá cuenta con un aproximado del 10% de las de aves a nivel mundial (ANAM, 2007). Según el sexagésimo tercer suplemento de la taxonomía del Checklist of North and Middle American Birds de la American Ornithological Society, la avifauna de Panamá consta de 1019 especies de aves (Sillett, 2022). Distribuyéndose en 19 órdenes y 76 familias (Audubon, 2022). Esta diversidad representa el 9% de todas las especies de aves del mundo (Mi Ambiente, 2022a). Sin embargo, se conoce poco sobre la riqueza especies y diversidad alfa y beta de las aves que habitan el occidente del país, específicamente en la provincia de Bocas del Toro, incluyendo la zona del río Teribe y mucho menos
Los estudios de diversidad alfa y beta de aves en Bocas del Toro en el corregimiento del Teribe, en la reserva natural y zona de amortiguamiento, conocida como, Parque Internacional La Amistad, son escasos y están desactualizados (Ridgely y Gwynne, 1993). Sin embargo, los parques naturales son importantes áreas para la conservación de la biodiversidad, y son el sitio donde las aves nativas y migratorias, con algún estado de vulnerabilidad, pueden encontrar un hábitat seguro (Cornelis y Hermi, 2004; Aranzana, 2015) y servir como matriz de documentación actualizada para la sociedad científica del conocimiento.
El presente trabajo estudia los patrones de diversidad alfa y beta de la comunidad de aves del Centro Ecológico Weckso, ubicado en el Parque Internacional La Amistad, (PILA) y las características de las especies de aves que habitan en un sitio importante para la conservación en Panamá.
MATERIALES Y MÉTODOS
Área de Estudio
El estudio de aves se efectuó en el Centro Ecológico Weckso, conocido en años anteriores como la estación militar de prácticas de sobrevivencia y combate llamada Panajungla. El lugar está ubicado en el corregimiento del Teribe, provincia de Bocas del Toro. El mismo se ha convertido en la sede del Parque Internacional La Amistad en la zona Caribe y es una reserva natural para la existencia de la flora y fauna de Panamá. El centro cuenta con una superficie aproximadamente 124 ha + 1471.0 m2 y se georreferencia en el punto 9°21'31"N 82°34'55"O. registra una flora con los mayores índices diversidad en plantas, con significativa presencia de palmas arbóreas y del sotobosque, y abundancia de lianas. Clima (Worldclim): temperatura: 20 a 28 ºC; precipitación: 2600-3000 mm; estacionalidad: sin estación seca evidente (Monro et al., 2017).

El Centro Ecológico Weckso está en la población de Bonyic, cerca de la comunidad de Sieyick, al lado del río Teribe. En este sector habitan las etnias Naso, Bribri y Ngäbe Buglé y la mayor parte del PILA se encuentra, actualmente, circunscrita a la Comarca Naso Tjër Di (Ministerio de Ambiente, 2023).

Recolección de los datos
Los muestreos de las aves se realizaron dos veces por mes durante agosto a octubre 2023, utilizando la técnica de puntos de conteo de radio fijo (Geupel et al., 1996), basada en la metodología de campo según el protocolo para monitoreo de aves en bosques de Panamá (Puerta Piñero et al., 2014), con la ayuda de binoculares Bushnell 10x50 mm. Este tipo de muestreo es especial para aves de bosques bastante densos (Bibby et al., 1992).
Para la observación de las aves se establecieron tres hábitats de características diferentes dentro del Centro Ecológico y en cada hábitat se establecieron 10 puntos de radio fijo para el conteo. Los avistamientos se realizaron entre las 07:00 y 10:00 h, invirtiendo 25 min de observación para cada punto de muestreo (Blake et al., 2001). Además, se utilizó el método de intervalo de 10 días, que se utiliza afín de permitir comparaciones de datos entre distintos puntos de monitoreo (Geupel et al., 1996).

Para la georreferenciación de la zona de observación y los puntos de radio fijo, se utilizó un GPS Garmin eTrex 20. Con esto, se diseñó un mapa utilizando sistemas SIG con la ayuda del programa QGIS 3.26.3. Para la identificación de las aves se utilizaron las guías de Ridgely y Gwynne (1993), Ponce y Muschett (2006) y Stiles y Skutch (1989). En caso de algunos cambios recientes en taxonomía, se utilizó el sexagésimo primer suplemento de la lista de verificación de aves norteamericanas de la American Ornithological Society (Chesser et al., 2020).
Análisis de la información
Para la composición, abundancia y distribución de las especies entre los tipos de hábitats, se realizó una curva de rango-abundancia en escala logarítmica usando el paquete Biodiversity R en R (Kindt and Coe 2018).
Para establecer las comparaciones de diversidad alfa entre los tres puntos establecidos, en el Centro Ecológico Weckso (PILA), se utilizaron curvas de rarefacción con interpolación y extrapolación en base a los números efectivos de especies (q = 0, q = 1, q = 2) (Hill, 1973) y para este cálculo se usó el paquete iNEXT (Hsieh et al., 2016). Este análisis tiene la funcionalidad de estimar y comparar diferentes tamaños muestrales, creando extrapolaciones para las muestras más pequeñas, para así lograr comparaciones con la riqueza específica a niveles de completitud semejantes (Colwell et al., 2012). En este sentido, se está calculando el número máximo posible de especies que comparten los tres hábitats establecidos, de acuerdo con la probabilidad de que todas las especies tuvieran la misma abundancia (Hsieh et al., 2016).
Para este análisis, la diversidad de orden cero (q = 0) es igual a la riqueza de especies, la diversidad (q = 1) mide proporcionalmente el total de especies correspondiente a su abundancia en la comunidad, es decir representa el valor exponencial del índice de Shannon, mientras que la diversidad (q = 2) expresa la dominancia de las especies, en otras palabras, es el inverso del índice de Simpson. Tomar en cuenta estos valores contribuye proporcionalmente más a la diversidad (Chao et al., 2014). Los análisis de diversidad se realizaron en R versión 4.3.2 (R Core Team, 2016).
Para la Diversidad beta (𝛽 ), se analizó la disimilitud de los hábitats en base a los 10 sitios de observación dentro de estos, evaluando la diferencia entre la presencia y ausencia de las especies de aves, que se encontraban en estos, a través de un análisis de disimilitud de Jaccard estimado en R con la función vegdist del paquete Vegan (Oksanen et al., 2017). La diversidad beta sería entonces el número efectivo de la comunidad de aves en los hábitats seleccionados y para este análisis los resultados con valores altos del índice se interpretan como disimilitud elevada, lo que es igual a diversidad beta alta si el valor se acerca a 1.0, mientras que los valores bajos que se acercan más a 0.0 reflejan poca disimilitud, lo que representa una diversidad beta baja o sitios muy similares en cuanto a la composición de aves (Legendre et al., 2005). Para identificar los clústeres, creamos un dendrograma utilizando el método de agrupación de pares basado en la media aritmética no ponderada (UPGMA), a través de la función hclust de las estadísticas predeterminadas del paquete Vegan.
RESULTADOS
Composición de especies y abundancia relativa:
Durante el periodo de muestreo, se registró un total de 855 individuos distribuidos en 15 órdenes, 39 familias y 80 especies. La mayoría de las aves fueron residentes con un total 74 especies y migratorias fueron 10 especies.
El orden más abundante fue Passeriformes con 318 individuos, lo que equivale a un 37.2% de los individuos registrados, seguido de Caprimulgiformes con 168 individuos (19.6%) y Accipitriformes con 134 (15.7%), ver Tabla 1. La familia que resultó más abundante fue Accipitridae con 134 individuos (15.7%), seguida de Trochilidae con 128 individuos (14.9%) y Tyrannidae con 67 individuos (7.8%). Por otro lado, el orden más diverso fue Passeriformes con 43 especies de las 80 registradas, que corresponde al 53.8% de especies, seguido por Caprimulgiformes que registró 7 especies (8.8%) y Piciformes con 6 especies registradas (7.5%). La familia más diversa fue Thraupidae que registró 9 especies (11.2%), Trochilidae con 5 especies (6.2%) y Parulidae y Tyrannidae con 4 especies registradas (5%) (Tabla 1.). La especie que obtuvo más individuos registrados fue Amazilia tzacatl con 100 individuos correspondientes al 11.7% de los individuos registrados, esta fue seguida por Nannopterum brasilianus con 71 individuos para un (8.3%)y Buteo swainsoni con 52 individuos para un (6.1%).
En cuanto al estatus de conservación, dentro de las especies observadas, se destacan al menos nueve con alguna categoría de amenazas, ya sea a nivel nacional (Resolución N° DM- 0657-2016, Mi Ambiente), de estas, tres mantienen una condición vulnerable (VU), es decir que, que son especies que enfrentan un riesgo de extinción en la vida silvestre y de igual forma, todas se ubican en el listado de especies cuyo comercio debe controlarse, según el Apéndice II del CITES y según la UICN, las 71 especies restantes se encuentran en menor riesgo (LC), con tendencias al aumento, decrecimiento o estabilidad poblacional. Entre las especies amenazadas según Mi Ambiente (2016) figuran en categoría de vulnerables (VU), Semiplumbeous Hawk (Leucopternis semiplumbeus), Green breasted Mango (Anthracothorax prevostii) y Keel billed Toucan (Ramphastos sulfuratus).
Diversidad de las especies de aves en los tres Hábitats
En el área más alta del Centro Ecológico, al cual denominamos Abierta, el orden más diverso fue Passeriformes con nueve especies registradas y el orden Accipitriformes fue el más abundante con 133 individuos (Tabla 2). La familia más diversa fue Trochilidae con 4 especies registradas y la más abundante Accipitridae con 133 individuos (Figura 3). La especie más abundante en este hábitat fue Buteo swainsoni con 52 individuos.
En el área de Bosque, el orden más diverso fue Passeriformes con 39 especies y de igual forma resultó ser el más abundante con 141 individuos (Tabla 2). La familia Thraupidae fue la más diversa (8 especies) y la más abundante fue Trochilidae con un total de 50 individuos (Figura 3). La especie más abundante en este caso fue Amazilia tzacatl llegando a sumar 100 individuos. En el área donde se encuentra el río Teribe, al cual llamamos Ribera, el orden más diverso registrado fue Passeriformes con 30 especies e igual forma fue el más abundante con 147 individuos (Tabla 2). La familia más diversa fue Trochilidae con 4 especies y Phalacrocoracidae fue la más abundante con 71 individuos (Figura 3), siendo Nannopterum brasilianus la especie màs abundante.



Las tres especies más abundantes en los tres hábitats muestreados fueron Buteo swainsoni,Rupornismagnirostris y Leucopternis semiplumbeus, pertenecientes a la familia Accipitridae, en el área Abierta. Las especies Amazilia tzacatl de la familia Trochilidae, Vireo olivaceus de la familia Vireonidae y Euphonia gouldi de la familia Fringillidae, fueron las más abundantes en el área de Bosque y en el área de Ribera, las especies Nannopterum brasilianus de la familia Phalacrocoracidae, Amazilia tzacatl de la familia Trochilidae y Pitangus sulphuratus, de la familia Tyrannidae ocuparon los rangos más altos de abundancia (Figura 4).

Con el estimador de la cobertura muestral del programa en línea iNEXT, se representaron valores muy completos para cada uno de los tres hábitats muestreados, donde el área abierta obtuvo un 96.6%, seguido por el área de ribera con 94.4% y por último para el bosque con 87.6% (Figura 5).

Diversidad Alfa (𝛼 )
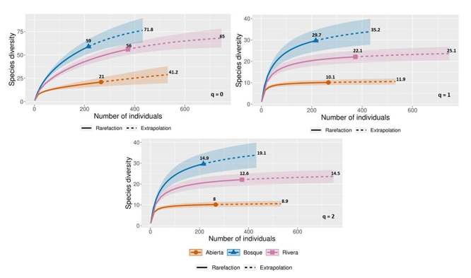
En cuanto a la diversidad verdadera, los números de Hill, del orden q=0 demostraron la mayor riqueza de especies en la cobertura de bosque completando 59 especies de aves de las 71.8 esperadas según el estimador chao1. Segundo en el orden estaba la cobertura de ribera con 56 especies de 65 esperadas por el estimador y la cobertura de menor valor de riqueza fue el área abierta con 21 especies de las 41.2 esperadas por el estimador. En este orden, la mayor diferencia significativa en cuanto a riqueza sucedió entre el área abierta con los dos hábitats restantes. Entre los valores de bosque y ribera, no hubo diferencias muy significativas.
Con lo que respecta a los resultados del orden q=1, se demostró que el mayor valor de diversidad lo obtuvo el hábitat de bosque con 29.7.%, seguido por el hábitat de ribera con un valor de 22.1% y el hábitat con menor diversidad fue el área abierta con 10.1% (Figura 6). Según estos resultados, se pudo observar una pérdida de especies del bosque a la ribera fue del 25.5% y del bosque al área abierta hubo una pérdida del 65.9%. Adicionalmente, los valores del orden q=2 indicaron que la cobertura con mayor equidad fue el bosque con un valor de 14.91%, seguido por la cobertura de ribera con 12.49%; y, por último, con menor equidad la cobertura de área abierta con 8.0% (Figura 6).

Nota: Las líneas de color uniforme representan la rarefacción y las líneas sesgadas la extrapolación. Los números sobre las líneas representan lo observado vs lo esperado. El orden q=0 representa la riqueza, q=1 la diversidad y q=2 la equidad.
Diversidad Beta (β)
Patrones de Disimilitud funcional y entre taxones de aves
El análisis de varianza aplicado (ANOSIM), utilizando la función anosim del paquete vegan de R Core Team, mostró que la composición de la comunidad de aves del Centro Ecológico Weckso que varió significativamente entre los tres hábitats (R= 0.79; p=0,001). El análisis multidimensional no métrico (nMDS) separó a las especies de aves en tres grupos. El primer grupo (izquierda del gráfico) estuvo constituido por nueve especies aves observadas principalmente en el área abierta. El segundo y tercer grupo (derecha del gráfico) estuvo compuesto por todas las especies asociadas principalmente a los hábitats de bosque y ribera (Figura 7).
Las especies que se encontradas en los tres hábitats fueron: Amazilia tzacatl, Phaethornis striigularis, Polyerata amabilis, Piaya cayana, Xiphorhynchus susurrans, Icterus mesomelas, Tangara episcopus, Turdus grayi, Contopus cinereus, Tyrannus melancholicus y Vireo olivaceus. Las especies exclusivas del área abierta: Rupornis magnirostris, Buteo swainsoni y Cathartes aura. Las especies que fueron exclusivas del bosque fueron: Cyanoloxia cyanoides, Habia fuscicauda, Querula purpurata, Euphonia gouldi, Euphonia luteicapilla, Parkesia motacilla, Setophaga petechia, Arremonops conirostris, Passer domesticus, Ceratopipra mentalis, Polioptila plúmbea, Poliocrania exsul, Thamnophilus atrinucha, Coereba flaveola, Saltator maximus, Tityra semifasciata, Melanerpes pucherani, Campephilus guatemalensis, Tinamus major. Por último, las especies exclusivas del área de ribera fueron: Patagioenas nigrirostri, Chloroceryle amazona, Ortalis cinereiceps, Aramides albiventris. Cyanocorax morio, Formicarius analis, Riparia riparia, Sporophila americana, Egretta tricolor, Mesembrinibis cayennensis, Notharchus hyperrhynchus, Pionus menstruus, Pionus senilis, Trogon massena y Nannopterum brasilianus. En el caso de las especies Megaceryle torquata y Ardea alba, se encontraron utilizando el área de ribera y parte del humedal encontrado dentro del área de bosque (Tabla 2, Figura 7).

Nota: Cada punto dentro de la elipse representa un sitio de observación con especies exclusivas o compartidas. Cada elipse representa una cobertura diferente o hábitat.
El análisis SIMPER demostró cuales son las especies que contribuyeron en mayor grado en la disimilitud de la composición entre los tres hábitats analizados. Se demostró una contribución mayor a 46% en cuanto a la composición entre el área abierta y en bosque. Entre el área abierta y la ribera, algunas especies contribuyeron con más del 44% de la disimilitud registrada. Por último, para la composición entre el área de bosque y la ribera, las especies lograron contribuir con más del 34% de disimilitud, para maximizar así el grado de disimilitud que caracteriza a la diversidad beta en los hábitats de comunidades biológicas heterogéneas (Tabla 3).

Recambio de especies
Con respecto al recambio de especies, se evaluó la variación en la composición de las especies de aves entre los 30 sitios de observación, mediante un análisis de conglomerados, para el cual se utilizó la función hclust del paquete vegan, con el cual se crearon tres análisis para los tres hábitats buscando obtener la máxima homogeneidad en cada grupo y la mayor diferencia entre los grupos. Para este análisis, se utilizó la función vegdist del paquete vegan para calcular el índice de disimilitud de Bray-Curtis (“bray”), el cual varía entre 0 y 1, siendo 1 el resultado para dos grupos que no comparten ninguna especie (Figura 8).

Agrupamiento (Clustering), basado en las disimilitudes de Bray-Curtis
Finalmente utilizando la técnica de análisis multivariante Permanova basado en las distancias de disimilitud de Bray-Curtis se pudo obtener una alta similitud dentro de cada grupo funcional (hábitat) y una alta disimilitud entre ellos. Este análisis demostró un efecto significativo del recambio de las especies mayormente entre los hábitats de bosque y ribera, produciendo agrupamientos basados en el emparejamiento de los sitios por la mayor heterogeneidad que le ofrecen los hábitats mencionados (Figura 9).

DISCUSIÓN
Las especies de aves registradas en esta investigación ocupan el 7.85 % de la avifauna de la República de Panamá (Audubon Panamá, 2022). Algo muy interesante fue la baja densidad de especies migratorias (10), las cuales son detectables en los meses de octubre hasta marzo (Ridgely y Gwynne, 1993), pero este valor pudo mejorarse extendiendo un poco más el muestreo. La riqueza de aves registró 80 especies para los tres tipos de hábitats (área abierta, bosque y área de ribera), la cual fue mayor en relación con otro estudio realizado en Nicoya, Costa Rica por Pérez (2020), en el mismo tipo de bosque, para el cual solo se registraron nueve especies.
Un 50% de las aves migratorias fueron observadas en el interior del bosque, lo cual no corresponde a la creencia de que prefieren los bordes, rastrojos y áreas impactadas antrópicamente, como claros y jardines (Ridgely y Gwynne, 1993). Esto puede estar relacionado a la heterogeneidad del bosque. Además, dentro de las especies migratorias se observó a C. aura y B. swainsoni compartiendo el área abierta del centro ecológico. Esta última logró un conteo de 52 individuos en el área abierta. Según eBird (2013) estos dos grupos migratorios pueden ser observados juntos compartiendo, espacio, fecha y ruta de migración cada año. Este porcentaje de especies migratorias es muy bueno para obtener cambios en la diversidad y abundancia de las comunidades de aves (Ramírez, 2010) debido a que pueden tener un uso diverso del hábitat.
Al evaluar el estado de conservación, se determinó que hay 9 especies clasificadas con amenazas. Dentro de estas hay tres con categoría de vulnerables: L. semiplumbeus, A. prevostiiyR sulfuratus, según (Mi Ambiente, 2016). El tucán pico arcoíris cumple una importante funciónen la sucesión secundaria y el mantenimiento de la heterogeneidad de los bosques (Sykes,2015), de ahí la importancia de mantener esta especie en el centro ecológico Weckso.
En cuanto a la diversidad, el área de bosque y ribera presentaron los valores más altos. Según Gastezzi et al., (2018) las especies que se encuentran en bosques de ribera se han adaptado en el tiempo a diversos disturbios tanto antrópicos como urbanos pudiendo realizar sus funciones ecológicas.
El bosque resultó ser el área con la mayor riqueza de especies (59), lo cual, puede estar probablemente relacionado con la heterogeneidad que se desarrolla en este, hasta el borde de la ribera. Según Casas et al., (2016) esta asociación acrecienta la presencia de un mayor número de especies, lo que se relaciona además a las demandas de refugio, alimento y áreas para pernoctar más seguras que suceden dentro del hábitat.
Además, Guillespie y Walter (2001) aseguran que la estructura del paisaje puede cambiar la composición de las comunidades de aves a escala regional o temporal, lo que puede estar sucediendo en el centro ecológico debido a que en áreas circundantes existen fincas agroforestales que probablemente benefician la diversidad por efecto indirecto de otras áreas heterogéneas con fragmentos boscosos y zonas de cultivos frutales.
El orden mejor representado fue Passeriforme con 43 especies que representaron un 53.7% del total. Según Becerra et al. (2015) son las más comunes en hábitats boscosos. En lo que respecta a la familia más diversa estuvo Thraupidae, seguidas de Trochilidae y Tyrannidae como las mejor representadas en los tres hábitats. Estos resultados concuerdan con el trabajo de Bohórquez (2002) en la cordillera de Colombia donde menciona que las familias Thraupidae, Tyrannidae y Trochilidae fueron las diversas en bosques tropicales a diversas alturas.
El orden más diverso fue Passeriformes, la familia con mayor diversidad fue Thraupidae y la especie más abundante fue A. tzacatl, este tipo de aves son utilizadas como indicadores de perturbación en bosque tropical su abundancia está relacionada con la cobertura vegetal y los niveles de sucesión (Navarro et al., 2016), es por esta razón que la familia Trochilidae se observó más abundante en el área de boque y ribera. Además, las fragmentaciones de los hábitats afectan los patrones de vuelos y forrajeos, (Hadley y Betts, 2009) tal como se observó en el área abierta donde la abundancia fue mucho menor.
La curva de rango abundancia demostró que las especies más dominantes de áreas abiertas fueron B. swansoni,R. magnirostris y L. semiplumbeus, lo cual se asocia al vuelo, mientras que el resto de las especies decrecieron gradualmente. En el bosque las especies más abundantes A. tzacatl, V. olivaceus y E. gouldi las cuales son especies más generalistas, además resulto ser el hábitat con mayor equidad. En el área de ribera se obtuvieron valores de dominancia semejantes al hábitat de bosque con especies como, N. brasilinus, A. tzacatl y P. sulphuratus, es decir es un hábitat para especies tanto generalistas como especialistas, lo cual justifica el recambio de estas.
En cuanto al análisis de escalamiento multidimensional taxonómico (nMDS) mostró una agrupación de la avifauna significativamente asociada con los tres tipos de hábitat con un valor muy bueno de stress (app. 0.10), lo que nos indica que la ordenación de las especies en el plano espacial ha sido muy efectiva y representa la realidad de lo observado. La existencia de estas tres agrupaciones se demostró mediante la prueba global ANOSIM en R (global R= 0.79; p=0.001). La diferencia más clara correspondió a una marcada diferenciación entre el hábitat abierto con los hábitat de bosque y ribera produciendo dimensiones bien diferenciadas, que se observa ´por un solapamiento entre el bosque y la ribera en mayor medida, reflejando así una agrupación estadísticamente más significativa representada por taxones que presentaron dependencia de un sitio exclusivo como A. alba, E. tricolor, y N. brasilinius que se encontraron en la ribera al igual que los individuos del orden Accipitriformes que solo se encontraron en el hábitat de área abierta y las familias Pelecaniformes y Suliformes que habitan en el área de ribera. Esto no es raro pues los bosques tropicales y sus bordes ribereños son pequeños parches de vegetación que quedan en los paisajes tropicales, formando galerías que sirven como corredores biológicos, y a veces como un hábitat exclusivo para taxones como las aves (Nores et al., 2005).
En esta misma línea, Skagen et al., (1998) suponen que la composición poblacional de las aves en estos ecosistemas ribereños es de mayor riqueza y abundancia que en las áreas vecinas y esto se observó en este estudio pues el área de ribera obtuvo una abundancia mayor que el hábitat de bosque, con una riqueza levemente menor, lo cual indica que existe un recambio de ciertas especies de aves mayormente entre los hábitats de ribera y bosque que entre área abierta con los demás, probablemente para cumplir sus diversos roles taxonómicos o funcionales en el centro ecológico. Esto ya se había descrito con anterioridad por Paulsen (1969) que indicó que el 59% de las especies de aves en una comunidad heterogénea usan los bosques ribereños para reproducción, refugio y como lugar de alimentación.
En cuanto a la diversidad beta (β), se pudo apreciar una disimilitud en cuanto a ciertas especies de mayor tamaño del orden Passeriformes las cuales se presentaron en los tres hábitats, pero con diferencias en cuanto a la abundancia, como sucedió con la familia Furnariidae en el hábitat de área abierta, talvés por ser especies con especificidad por hábitats boscosos, donde pueden sacar provecho de su baja movilidad y la protección que le otorga esta cobertura. De igual forma, estas especies prefieren áreas boscosas, o fragmentos de bosque interconectados, para sobrevivir (Sekercioglo et al., 2002). Esto es un indicio del recambio en cuanto al uso funcional de los hábitats. De la misma manera el análisis Simper demostró una distribución diferencial en cuanto a las especies más contribuyentes en cada hábitat. En contraparte , haber tenido valores bajos de abundancia en el área abierta no indica que el sitio muestre deficiencias para la funcionalidad de las aves, pero si puede indicar dominio de las especies más grandes como Accipitriformes y Cathartiformes en el área abierta y Pelecaniformes y Suliformes en el área de ribera lo cual produce una aparente vulnerabilidad para la conservación de las especies de menor talla como Passeriformes, pues el análisis Simper demostró las disimilitudes de los hábitats a partir de la composición porcentual de contribución de cada especie por sitio.
Al realizar el análisis de conglomerados en cada hábitat, se pudo observar que las especies más especialistas del área abierta en los sitios cuatro y siete, los cuales, presentaron seis especies que los utilizan por igual, lo cual hizo menor la disimilitud, no solo por la presencia,si no, también, por la abundancia muy semejante de estas: R. magnirostris, B. swainsoni, L.semiplumbeus, L. semitorquatus, C. aura y C. atratus.
En este punto, el grupo de aves de mayor talla parece estar significativamente correlacionado con la disponibilidad de nutrientes, lo cual se evidencia por la presencia de muchas especies de reptiles, anfibios y mamíferos pequeños que habitan esta parte del parque(Gómez et al., 2022). De igual forma los sitios seis y ocho del hábitat de bosque contenian patrones de presencia y abundancia de especies más generalistas, que hacen que estos sitios sean muy homogéneos y que la disimilitud sea la más baja del hábitat, entre las especies están: A. tzacatl, E. luteicapilla, C. flaveola y P. sulphuratus. De estas especies A. tzacatl y P. sulphuratus utilizaron también el sitio 10. Generalmente se puede percibir un aumento de la dominancia y la abundancia de ciertas especies generalistas mientras que la diversidad disminuye considerablemente en el área de bosque cercanas a asentamientos antrópicos, (Fernández, 2000). Esto no coincide con los resultados obtenidos, probablemente por la heterogeneidad que brinda el bosque y su borde con el área de ribera. En cuanto al hábitat de ribera, los sitios seis y ocho resultaron con buena homogeneidad, obteniendo la disimilitud más baja, entre sus especies, las cuales son: A. tzacatl, C. amazona, O. cinereiceps, P. motezuma, S. corvina, P. sulphuratus y N. brasilianus. De estas especies A. tzacatl, S. corvina y N.brasilianus utilizaron, también, el sitio 10. Se ha comentado que la variación en la diversidad y riqueza de aves está determinada por la abundancia de árboles y la estratificación vertical que el hábitat puede ofrecer (Cueto,1996); es decir, entre mayor es el número de árboles, mayor es la cobertura y la cantidad de sitios donde las aves pueden nidificar, tal cual sucede en la zona detraslape entre el bosque y la ribera y en la distribución de árboles y arbustos en el área de ribera.
Sin duda alguna, los estratos de vegetación modifican la diversidad de aves gracias a que forman un ambiente más heterogéneo para diferentes especies de aves que sumado a la presencia de alimentos y la disponibilidad de áreas de resguardo los convierten en sitios de utilización de diversas especies (Aguilar et al., 2008). En cuanto al análisis de disimilitud, las áreas de ribera y bosque presentaron la menor disimilitud lo cual se interpreta como un mayor recambio de especies muy probablemente por la similitud que ofrecen los sitios en cuanto a cobertura y alimentación creando así patrones más complejos de dinámica entre estos dos sitios.
CONCLUSIONES
La riqueza de especies de aves fue mayor en el área de bosque, pero muy similar al área de ribera y significativamente diferente al área abierta. La especie más abundante del estudio fue A. tzacatl y las especies más dominantes fueron B. swansoni en el área abierta, A. tzacatl en el bosque y N. brasilinus en la ribera. La abundancia de aves fue mayor en el área de ribera, comportamiento característico de una comunidad de aves que encuentran disponibilidad de alimento y refugio en esta zona. La curva de rango abundancia demostró el dominio de alunas especies en cada hábitat y proporcionó un número diferencial de individuos entre los hábitats, además, demostró la utilización de los tres hábitats por algunas especies. De las especies encontradas en el estudio, nueve presentaron alguna categoría de amenaza entre las que se destacaron con algún tipo de vulnerabilidad, Semiplumbeous Hawk (Leucopternis semiplumbeus), Green breasted Mango (Anthracothorax prevostii) y Keel billed Toucan (Ramphastos sulfuratus).
Las curvas de rarefacción demostraron que con una completitud del muestreo superior al 85 % se obtuvo una representación substancial de los hábitats suficientemente buena como para tener confiabilidad en los resultados. La diversidad alfa fue mayor en el bosque (H=3.40), seguida de la ribera (H=3.10) y el área abierta (H=2.32). La pérdida de especies del bosque a la ribera fue del 25.5% y del bosque al área abierta del 65.9%, lo cual indica un mejor recambio en el complejo bosque-ribera. Gracias al análisis multidimensional no métrico (nMDS) se demostró que la distribución espacial de las aves en los sitios plantea una asociación más funcional entrelos hábitats de bosque y ribera, lo cual aparenta una asociación más significante en la dinámicay diversidad de las comunidades de aves. De igual forma, el análisis Simper demostró cuálesson las especies más contribuyentes a la disimilitud entre sitios; lo cual indica que el efecto derecambio sucede tomando en cuenta la composición de grupos por hábitats de acuerdo con laheterogeneidad de estos y no al analizarse las abundancias de las especies de estas. Elrecambio de las especies fue mayor entre las áreas de bosque y ribera de acuerdo con el índicede disimilitud de Bray Curtis.

A. Contopus cinereus (Southern Tropical Pewee); B. Ardea alba (Great White Egret), C. Crotophaga sulcirostris (Groove-billed Ani); D. Pionus menstruus (Blue-headed Parrot), E. Megaceryle torquata (Ringed Kingfisher); F. Deconychura longicauda (Northern Long-tailed Woodcreeper).
Agradecimientos
Al Centro Ecológico Weckso, PILA, Bocas del Toro, por permitirme realizar este importante trabajo, en este hermoso parque, el cual es un verdadero laboratorio para los estudios de diversidad animal y vegetal del occidente panameño.
REFERENCIAS BIBLIOGRÁFICAS
Aguilar, T. M., Dias, R. I., Oliveira, A. C., & Macedo, R. H. (2008). Nest-site selection by Blue- black Grassquits in a Neotropical savanna: do choices influence nest success? Journal of Field Ornithology, 79(1), 24–31. https://doi.org/10.1111/j.1557-9263.2008.00142.x
ANAM (Autoridad Nacional del Ambiente). 2007. Cuarto informe nacional de Panamá ante el convenio sobre la diversidad Biológica. 110 pp.
Aranzana, F. (2015). Gestión de zonas verdes urbanas y periurbanas para la conservación de la biodiversidad: El caso de Vitoria-Gasteiz. Cuad. Soc. Esp. Cienc. For. 39:313-322. https://dialnet.unirioja.es/servlet/articulo?codigo=7346742
Audubon. (2022). Lista de las Aves de Panamá 2022. Comité de Registros, Sociedad Audubon de Panamá. https://audubonpanama.org/publicaciones.html
Becerra-Bejarano, A., Robledo-Mosquera, K. y Rengifo-Mosquera, J. (2015). Aves de la parcela permanente de investigación biológica, en Salero, municipio de Unión Panamericana, Chocó, Colombia. Investigación, Biodiversidad y Desarrollo, 34(2), 109-128. https://revistas.utch.edu.co/index.php/revinvestigacion/article/view/796/670
Bibby, C.J., Burgess N.D. y Hill, D.A. (1992). Bird Census Techniques. Academic Press, Londres. https://acortar.link/yLQdlu
Blake, J. G., & B. A. Loiselle. 2001. Bird assemblages in second growth and old-growth forest, Costa Rica: perspectives from mist nets and point counts. Auk 118: 304–326. https://doi.org/10.1093/auk/118.2.304
Bohórquez, C. (2002). La avifauna de la vertiente oriental de los Andes de Colombia. Tres evaluaciones en elevación subtropical. Revista Academia Colombiana de Ciencias, 26(100), 419-442. https://www.accefyn.com/revista/Vol_26/100/419-442.pdf
Casas, G., Darski, B., Ferreira, P., Kindel, A. y Müller, S. (2016). Habitat structure influences the diversity, richness, and composition of bird assemblages in successional atlantic rain forests. Tropical Conservation Science, 9(1), 503-524. https://doi.org/10.1177/194008291600900126
Chao, A., Gotelli, N.J., Hsieh, T.C., Sander, E.L., Ma, K.H., Colwell, R.K. & Ellison, A.M. (2014) Rarefaction and extrapolation with Hill numbers: a framework for sampling and estimation in species diversity studies. Ecological Monographs, 84, 45– 67. https://doi.org/10.1890/13-0133.1
Chesser R.T., Billerman, S.M., Burns, K.J., Cicero, C., Dunn, J.L., Kratter, A.W., Lovette, I.J., Mason, N.A., Rasmussen, P.C., Remsen, J.V., Stotz, D.F., Winker, K. Sexagésimo primer suplemento de la lista de verificación de aves norteamericanas de la American Ornithological Society, The Auk, volumen 137, número 3, 1 de julio de 2020. https://checklist.americanornithology.org/
Colwell, R. K., Chao, A., Gotelli, N. J., Lin, S-Y., Mao, C. X. & Longino, J. T. (2012). Models and estimators linking individual-based and sample-based rarefaction, extrapolation and comparison of assemblages. J Plant Ecol. 5:3–21. https://doi.org/10.1093/jpe/rtr044
Cornelis, J. & Hermy, M. (2004). Relaciones de biodiversidad en los parques urbanos y suburbanos de Flandes. Paisaje y Urbanismo. 69, 285-401.
Cueto, V. R. 1996. Relación entre los ensambles de aves y la estructura de la vegetación. Un análisis a tres escalas espaciales. Tesis doctoral, Universidad de Buenos Aires, Buenos Aires. Recuperado de http://hdl.handle.net/20.500.12110/tesis_n2858_Cueto
eBird Centroamérica. 2013. Migración de aves rapaces. Recuperado el 10 de mayo de 2020. https://ebird.org/camerica/news/migracion-de-aves-rapaces
Fernández-Juricic, E. (2000). Bird community composition patterns in urban parks of Madrid: the role of age, size and isolation. Ecological research, 15, 373-383. https://link.springer.com/article/10.1046/j.1440-1703.2000.00358.x
Geupel, C. J. R. G. R., Martin, P. P. T. E., & Milá, D. F. D. B. (1996). Manual de métodos de campo para el monitoreo de aves terrestres. Gen. Tech. Rep. PSW-GTR159. Albany, CA: Pacific Southwest Research Station, Forest Service, US Department of Agriculture. https://acortar.link/jh39CS
Gillespie, T. y Walter, H. (2001). Distribution of bird species richness at a regional scale in tropical dry forest of Central America. Journal of Biogeography, 28(5), 651-662. https://doi.org/10.1046/j.1365-2699.2001.00575.x
Gómez, Irving N., Denisse Michel Acosta Montenegro, and Luzmarina Aytana Ramírez Baker. "Variación temporal de la herpetofauna en el centro ecológico Wetso, antiguo Panajungla, parque internacional la amistad (PILA), Bocas del Toro." Centros: Revista Científica Universitaria 11.2 (2022): 9-26. Recuperado a partir de https://uptv.up.ac.pa/index.php/centros/article/view/3079
González-García, F. (2011). Métodos para contar aves terrestres. Manual de técnicas para el estudio de la fauna, 1, 86-123. https://www.academia.edu/7734977/Manual_de_T%C3%A9cnicas_para_el_estudio_de_la_Fauna
Hadley, A. y M.G. Betts. 2009. Tropical deforestation alters hummingbird movement patterns. Biology Letters. 5:207-210. DOI:10.1098/rsbl.2008.0691
Hill, M. O. (1973). Diversity and Evenness: A Unifying Notation and Its Consequences. Ecology, 54(2), 427–432. https://doi.org/10.2307/1934352
Hsieh, T. C., Ma, K. H., & Chao, A. (2016). iNEXT: an R package for rarefaction and extrapolation of species diversity (Hill numbers). In Methods in Ecology and Evolution Vol. 7, Issue 12, pp. 1451–1456. https://doi.org/10.1111/2041-210X.12613
Kindt R (2018) Ensemble species distribution modelling with transformed suitability values. Env Model Softw 100:136–145 https://doi.org/10.1016/j.envsoft.2017.11.009
Legendre, P., Borcard, D., & Peres-Neto, P. R. (2005). Analyzing beta diversity: partitioning the spatial variation of community composition data. Ecological Monographs, 75(4), 435– 450. https://doi.org/10.1890/05-0549
Mi Ambiente. 2016. Resolución No. DM- 0657-2016 “Por la cual se establece el proceso para la elaboración y revisión periódica del listado de especies de fauna y flora amenazadas de Panamá, y se dictan otras disposiciones”. Gaceta Oficial Digital No. 28187-A, del 29 de diciembre de 2016.
Ministerio de Ambiente. (2022a). Principales Problemas Ambientales de Panamá. Panamá: Oficina de Relaciones Públicas - DIRCOM MiAMBIENTE.
Ministerio de Ambiente. (2022b). Informe Ejecutivo del Mapa de Cobertura Boscosa y Uso de Suelo 2021. Panamá.
Ministerio de Ambiente (2023). Actualización del Plan de Manejo del Parque Internacional La Amistad 2023-2033. Elaborado por ALC Global, S.A., parte de Grupo ALC Consultores, para el Ministerio de Ambiente, a través de Fondo FIDECO-Fundación Natura. Panamá. https://acortar.link/Xsyrt5
Monro, A. K., Santamaría-Aguilar, D., González, F., Chacón, O., Solano, D., Rodríguez, A., ... y Correa, M. (2017). A first checklist to the vascular plants of La Amistad International Park (PILA), Costa Rica-Panama. Phytotaxa, 322(1), 1-283. https://phytotaxa.mapress.com/pt/article/view/phytotaxa.322.1.1
Navarro Alberto, J. A., Leirana-Alcocer, J. L., Hernández-Betancourt, S. F., & Guerrero-González, L. L. (2016). Palomas (Columbidae), pájaros carpinteros (Picidae) y colibríes (Trochilidae) como indicadores de sucesión en la selva baja de Dzilam, Yucatán, México. Huitzil, 17(1), 1-7. DOI:10.28947/hrmo.2016.17.1.213
Nores, M., Cerana, M. M., & Serra, D. A. (2005). Dispersal of forest birds and trees along the Uruguay River in southern South America. Diversity and distributions, 11(3), 205-217. DOI:10.1111/j.1366-9516.2005.00141.x
Oksanen, J., Blanchet, F. G., Kindt, R., Legendre, P., Minchin, P. R., O’hara, R. B., Simpson, G. L., Solymos, P., Stevens, M. H. H., & Wagner, H. (2017). vegan: community ecology package. R package. Version. https://www.researchgate.net/publication/282247686_Vegan_Community_Ecology_Package_R_package_version_20-2/references#fullTextFileContent
Paulsen, H.A.Jr. 1969. Forage value on a mountain grassland aspen range in western Colorado. J. Range Management. 22:102-107.
Pérez, P. E. O. (2020). Uso de hábitats alterados por aves insectívoras de sotobosque en un gradiente ambiental y su potencial para la conservación en Nicoya, Costa Rica. UNED Research Journal, 12(1), e2803-e2803. DOI: https://doi.org/10.22458/urj.v12i1.2803
Ponce, E., & Muschett, G. (2006). Guía de campo ilustrada de las Aves de Panamá. Ediciones San Marcos, Madrid, España. Publicado por Ediciones Balboa, Panamá.
Puerta-Piñero, C., Gullison, R. E., Condit, R., Angermeier, P. L., Ibáñez, R., Pérez, R., y Roberts, J. H. (2014). Metodologías para el Sistema de Monitoreo de la Diversidad Biológica de Panamá. DOI: https://doi.org/10.5479/si.ctfs.0001
Ramírez-Albores, J. (2010). Diversidad de aves de hábitats naturales y modificados en un paisaje de la Depresión Central de Chiapas, México. Revista de Biología Tropical, 58(1), 511-528. https://revistas.ucr.ac.cr/index.php/rbt/article/view/5225
R Core Team. (2016). R: a language and environment for statistical computing. Available at: http://www.R-project.org
Ridgely, R.S. y Gwynne, J. (1993). Guía de Aves de Panamá, incluyendo Costa Rica, Nicaragua y Honduras. Princeton, University. ANCON. 614 pp.
Scott Sillett, T. (2022). Thank You to the Reviewers of the 2022 Ornithology, Volume 139. https://doi.org/10.1093/ornithology/ukac043
Sekercioglu, C. H., Ehrlich, P. R., Daily, G. C., Argen, D., Goehring, D., & Sandi, R. (2002). Dissapearance of insectivorous birds from tropical forest fragments. Proceedings of the National Academy of Sciences, 99, 263-267. DOI: 10.1073/pnas.012616199
Skagen, S., C. Melcher, W. Howe & F. Knopf. 1998. Comparative use of riparian corridors and oases by migrating birds in southeast Arizona. Conserv. Biol. 12: 896- 909 https://doi.org/10.1111/j.1523-1739.1998.96384.x
Sykes, J. M. (2015). Piciformes (Honeyguides, Barbets, Woodpeckers, Toucans). En Fowler (Ed.) Zoo and Wild Animal Medicine Vol. 8-E-Book, (pp. 231-236). DOI:10.1016/B978-1-4557-7397-8.00030-X
Stiles, F. G. y Skutch, A.F. (1989). A guide to the Birds of Costa Rica. Ithaca, New York: Cornell University Press https://acortar.link/j3p4mg

