Artículos científicos
Recepción: 31 marzo 2020
Aprobación: 10 septiembre 2020

Resumen: En esta investigación se analizan algunas características morfométricas de la microcuenca hidrográfica de la quebrada El Estero. Se analizan la forma, relieve y drenaje asociada a la morfodinámica de la microcuenca. Para la elaboración de la investigación se utilizaron mapas topográficos escala 1:50.000, SIG y el programa de Excel para el cálculo de datos, así como trabajo de campo. El objetivo fue conocer la morfometría de la microcuenca, dado que es una quebrada que ha causado varias inundaciones. Para ello se calcularon ciertas mediciones básicas (superficie, forma, drenaje, elevación, desnivel del cauce principal y orden de cauces, entre otros). La microcuenca en su parte alta se caracteriza por un cauce más profundo en forma de V, con cierta presencia de vegetal riparía, aunque existen ciertos procesos erosivos. La parte media se ubica una ciudad en una superficie ondulada, donde, aunado a un mayor caudal, y una serie de alcantarillas de poco diámetro causan acumulaciones caóticas (tapones) y daños a la infraestructura existente, por medio de inundaciones durante eventos lluviosos intensos. La parte inferior la microcuenca presenta una falla tectónica, característico por presentar un salto o catarata y en sus márgenes fuertes procesos erosivos y de deslizamiento.
Palabras clave: Morfometría, Morfodinámica, Microcuenca, Características físicas, Drenaje.
Abstract: This research analyses some morphometric characteristics of a small basin called El Estero. The form, relief and drainage associated with the morphodynamics of the micro basin are analyzed. For the development of the research, topographic maps 1: 50 000 scale, GIS and the Excel program were used to calculate data. The objective was to know the morphometry of the stream, since it has caused several floods. For tis purpose, some basic measurements were calculated (surface, shape, microbasin length, channels, elevation, elevation of the main channel and number of lower-order channels). The basin in its upper part is characterized by a deeper V-shaped channel, with some presence of vegetable riparia, although there are certain erosive processes. The middle part is characterized by being located a city on a corrugated surface, the flow level is higher, and the series of sewers cause chaotic accumulations (plugs) and damage to the existing infrastructure, through flooding mainly during intense rainy events. The lower part of the micro-basin has a tectonic fault, characteristic for presenting a jump or cataract and in its margins strong erosive and sliding.
Keywords: Microbasin, Morphodynamic, Morphometry, Drainage, Physical characteristics.
Introducción
La morfometría es la ciencia que tiene por objetivo el estudio de la forma de un determinado elemento, como por ejemplo la forma de una microcuenca, de sus vertientes, de un lago, de un cauce, entre otros. La morfometría fluvial es la medida y el análisis de las propiedades geométricas de la superficie sólida de un sistema fluvial (Strahler y Strahler, 2006).
Los fenómenos hidrológicos que ocurren sobre un determinado espacio geográfico suelen tener como referencia a la unidad fisiográfica conocida como cuenca, subcuenca o microcuenca, cuyos aportes hídricos naturales son suministrados por la precipitación. Dicha precipitación se infiltra o discurre; en este último caso, los excedentes de agua convergen en un punto espacial de las vertientes de la microcuenca, los cuales, tardarán distintos momentos temporales en llegar a un único sitio llamado cauce principal (Murillo Sánchez, 2002).
El 30% de las principales cuencas hidrográficas del mundo han perdido más del 75% de sus bosques naturales, entre ellos, los bosques andinos, de los cuales depende la calidad y cantidad de agua disponible para los latinoamericanos. Esta es una razón por la cual urge aumentar los estudios morfológicos de las cuencas, con la finalidad de generar un desarrollo planificado y una mejor gestión de los recursos naturales. Una cuenca hidrográfica es un área natural en la cual el agua se desaloja a través de un sinnúmero de corrientes, cuyos caudales son recogidos por afluentes. Estos llegan hasta un colector principal, que es el encargado de recoger todas las aguas de escorrentía superficial y llevarlo a otro río o a un mar u océano (Cano y Posada, 2002).
El manejo de microcuencas representa en Costa Rica uno de los aspectos más importantes dentro del ámbito del manejo de los recursos naturales. Existen sectores de microcuencas que tienen asentamientos urbanos de alta concentración poblacional y un uso de la tierra bajo pavimento, viviendas, techos, aceras, concreto, así como un alto índice de la tasa de crecimiento de la población.
El proceso de urbanización conlleva a la reducción de la infiltración, la eliminación de la vegetación natural (que intercepta la precipitación y promueve la evapotranspiración) y la desaparición de irregularidades en el suelo donde se almacena el agua precipitada. Esto se traduce en la interrupción del equilibrio hídrico natural (hidrología superficial y la recarga de acuíferos), cuyos efectos más relevantes son: el aumento de los caudales punta, volúmenes de escorrentía más elevados, el incremento de las inundaciones y la reducción de los caudales base.
El problema no solo es el incremento de la población y la construcción de asentamientos humanos, ya sea la edificación de una serie de viviendas, residenciales o urbanizaciones y ciudades. La problemática también está en que, a mayor cantidad de población, se requiere más agua para abastecer a dichas poblaciones y que al existir una mayor impermeabilización de la superficie por medio de las construcciones y pavimentos, la escorrentía es cada vez mayor. Por consiguiente, para suplir a las nuevas áreas urbanas, se requiere más agua que con frecuencia proviene de las partes altas de las cuencas hidrográficas.
Para lograr tener agua en cantidad y calidad se requiere proteger las fuentes de agua y los mantos acuíferos, lo que solo puede conseguirse con un manejo integrado de dichas microcuencas, a través de la protección de su sector alto donde con frecuencia se encuentran las fuentes de agua. El 30% de las principales cuencas hidrográficas del mundo han perdido más del 75% de sus bosques naturales, entre ellos, los bosques lluviosos, que son los que presentan una mayor recarga de agua para consumo humano, animal e industrial (Reyes Trujillo, Barroso y Carvajal Escobar, 2010).
Es importante analizar la morfometría de una microcuenca por el hecho de que permite entender las características geométricas de los espacios fluviales, tales como la topología de redes de corrientes, su patrón, forma y características de relieve. Existen algunas microcuencas con cauces ubicados en espacios con fuerte pendiente, y con cauces tipo torrente, siendo estos los más peligrosos, dado que podrían causar riadas en periodos lluviosos (Prabu y Baskaran, 2013; Mikhailova, 2015). Por otro lado, la estimación de los parámetros y patrones de drenaje, desde el punto de vista de la morfometría, pueden contribuir a un mejor entendimiento del comportamiento hidrológico de una microcuenca, como por ejemplo el estudio de inundaciones (Newson, 1978), la ocurrencia, movimiento y almacenamiento de agua subterránea (Avinash, Deepika y Jayappa, 2014).
Los estudios morfométricos son de importancia para la sociedad por el hecho de que las características físicas de una microcuenca tienen una relación estrecha con el comportamiento de los caudales que escurren por ella. Sin embargo, la poca información cartográfica y de aforos de la que se dispone, hace que el encontrar esa relación no sea fácil y que por consiguiente su uso en estudios hidrológicos sea limitado. Por ejemplo, en Costa Rica los estudios morfométricos son difíciles de encontrar dado los pocos aforos que se hacen en ríos y quebradas.
La morfometría de cuencas resulta de gran utilidad para determinar el poderío de las corrientes fluviales de diferentes tamaños. Su fin radica en aplicar los resultados de los modelos elaborados en pequeña escala a prototipos de gran escala y hacer los análisis comparativos necesarios (Chow, Maidment y Mays, 1994). Esto permitiría discernir posibles eventos de avenidas máximas en un río o quebrada.
Según Gaspari (2012) el análisis morfométrico es el estudio de un conjunto de variables lineales, de superficie, de relieve y drenaje; que permite conocer las características físicas de una cuenca, subcuenca o microcuenca. El conocer estas variables permite planificar a nivel de gobierno local o de la Comisión de Emergencias, aquellos casos en que existe una cierta probabilidad de que el cauce de un río o quebrada rebase su umbral.
El objetivo de esta investigación es hacer un análisis descriptivo de las características morfométricas de la microcuenca hidrográfica de la quebrada El Estero en San Ramón, Alajuela, Costa Rica.
Área de estudio
El área de la cuenca se localiza en la hoja topográfica Naranjo, 1:50.000. Dicha área abarca desde la parte alta de la microcuenca, donde se encuentra el poblado de Valverde, aguas abajo, a tres kilómetros se ubica el poblado de Alfaro hasta llegar a la ciudad de San Ramón que cubre un alto porcentaje de la microcuenca hidrográfica El Estero (Figura 1). Se ubica entre las coordenadas geográficas 10° 06´ 00” (Norte) con 84° 27´ 30” y de 10° 15´ 00” con 84° 29´ 30” del Sistema de Proyección (CRTM05). La microcuenca El Estero se trazó de la hoja Naranjo, escala 1:50.000 del Instituto Geográfico Nacional (IGN). Además, se utilizó un Sistema de Información Geográfica (SIG). Sus aguas drenan hacia el río Grande, el cual a su vez desemboca en el río Grande de San Ramón, que junto con la subcuenca del río Virilla pasa a formar parte de la cuenca hidrográfica del río Grande de Tárcoles.

En Costa Rica son escasas las investigaciones sobre los caudales de las microcuencas, a pesar de que ya han ocurrido eventos de avenidas máximas producidas por quebradas como es el caso de lugares como Cartago (río Reventado), y en Escazú (quebrada Lajas), entre otros. Estos cursos fluviales han causado en pocas horas tragedias con la muerte de varias vidas humanas y destrucción de viviendas, puentes y carreteras. La quebrada Lajas en Escazú, San José, que durante una madrugada mató 24 personas (Vargas, 05/11/2010). Ese tipo de quebradas con pendientes muy empinadas en su parte alta y muy deforestadas causan inundaciones en sectores medios y bajos. El conocer la morfometría de una subcuenca o microcuenca permite hacer planes de acción o plantear medidas preventivas para evitar una posible catástrofe.
Metodología
La forma de la cuenca determina las características del hidrograma de descarga de una determinada corriente, particularmente en los eventos de avenidas máximas. En definitiva, existe una fuerte componente probabilística en los parámetros y las características de la red de drenaje y la ocurrencia de inundaciones. Por esta razón, la morfología y sus parámetros son investigados para simular la posibilidad de una inundación en la quebrada El Estero.
La elaboración de la morfometría de la microcuenca se basó en las curvas topográficas de la hoja Naranjo, escala 1:50.000, del Instituto Geográfico Nacional (IGN). A partir de la hoja previamente escaneada y georreferenciada usando el sistema de información geográfica (SIG), ArcGIS® 10.8. Además, se realizó la digitalización de los drenajes y la línea de crestas, los contornos de elevación y con ello se trazó el límite topográfico de la microcuenca hidrográfica.
Se obtuvieron de ella sus propiedades geométricas: área y perímetro de líneas de los contornos topográficos de la microcuenca. Se hizo un corte del polígono basado en las curvas de nivel y de allí se obtuvieron las áreas parciales de la microcuenca entre contornos.
En el caso de los vectores lineales correspondientes a ríos y curvas de nivel, se obtuvieron las longitudes de línea para cada uno. Ya obtenidos los insumos vectoriales en el sistema SIG, los parámetros morfométricos fueron calculados considerando la definición teórica de ellos, referida en distintas publicaciones (Villón, 2004; Vittala, Givindaiah y Gowda, 2004) y realizando diversos cálculos con ayuda de Microsoft Excel 2016.
Entre los parámetros morfométricos se obtuvo el coeficiente de elongación y el tamaño de la microcuenca. Para el caso del relieve, se calculó: curva hipsométrica, pendiente de la microcuenca, elevación media y diferencia de altitud. Para drenaje, por su parte, se consideró: densidad de drenaje; pendiente media del cauce principal; la pendiente del cauce principal y orden de la corriente.
Área: Es la superficie de la microcuenca hidrográfica y sus límites son las divisorias de aguas o líneas de crestas, que las identifican de las microcuencas vecinas. Se obtuvo automáticamente a partir de la digitalización y poligonización de la cuenca en el SIG ArcGIS® 10.8. El área se obtiene en km².
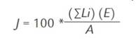
Factor de Forma de Horton (Hf): Es la relación entre el área y el cuadrado de la longitud de la cuenca. Intenta medir cuan cuadrada (alargada) puede ser la cuenca. Una microcuenca con un factor de forma bajo está menos sujeta a crecientes que una de la misma área y mayor factor de forma.

Coeficiente de Elongación: Se utilizó la fórmula propuesta por Gutiérrez y Díaz (2011).

Variación altitudinal: Las diferencias en sus altitudes se representan normalmente por medio de una curva hipsométrica.
Elevación Media: a partir de la curva hipsométrica, La elevación media, equivalente al 50% del área de la cuenca, donde en el eje “X” del gráfico, se aplicará dicho porcentaje.
Pendiente media de la cuenca: Es uno de los principales parámetros que caracteriza el relieve de esta y permite hacer comparaciones entre cuencas para observar fenómenos erosivos que se manifiestan en la superficie. La fórmula, es:

Diferencia de Altitud: La diferencia de altitud de la microcuenca es restando el punto más alto menos el punto más bajo de la misma. Se representa de la siguiente manera:

Curva Hipsométrica: Expresa el potencial evolutivo de la cuenca hidrográfica, por medio de un gráfico de dos ejes, donde la ordenada representa la Altura relativa (h/H) y la abscisa el Área relativa (a/A), donde h es el Intervalo entre curvas de nivel (m), H es el Desnivel total de la cuenca (m), A es la superficie total de la cuenca (km) y a es el área entre curvas de nivel (km²).
Red de drenaje: Para la red de drenaje se consideran los tipos de corrientes, modelos de drenaje, orden de las corrientes, densidad de drenaje y frecuencia de corrientes y otras.
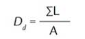
Densidad de Drenaje: Está definida para una microcuenca, como la longitud media de curso por unidad de superficie. Se definió mediante la expresión:

Pendiente Media del Cauce Principal: Se expresa con “i” y se calcula como la relación de la variación de la altura respecto a la longitud del cauce principal, mediante la fórmula propuesta por (Saavedra, 2001):

Orden de Cauces: Se clasifica en tres las corrientes; el “1” a las más pequeñas (no están ramificadas); el “2” tienen ramificaciones o tributarios de primer orden; el “3” con dos o más tributarios de orden dos o menor.
Pendiente de la Cuenca: Se calcula como la media ponderada de todas las superficies altitudinales en que ocurre la escorrentía de los cauces, tributarios y otros canales:

Pendiente del Cauce Principal: La longitud total del cauce principal (L) y el parámetro (Lca) que toma en cuenta la forma de la microcuenca, se ha correlacionado entre sí y con el área de esta. El parámetro Lca se define como la longitud a lo largo del colector principal hasta un punto más común de la microcuenca, o sea es la distancia o punto medios del cauce principal.

Resultados
La microcuenca hidrográfica de quebrada El Estero, como unidad dinámica natural, es un sistema hidrológico en el que se reflejan acciones recíprocas entre parámetros y variables. Las variables pueden clasificarse como externas, conocidas como entradas y salidas al sistema, tales como: precipitación, escorrentía directa, evaporación, infiltración, transpiración y variables internas (contenido de humedad del suelo, salinidad, cobertura vegetal, entre otros) según lo menciona Ortiz (2004). Los parámetros en cambio permanecen constantes en el tiempo y permiten explicar las características morfométricas de las cuencas y por consiguiente de la microcuenca hidrográfica. En general, las variables del sistema hidrológico cambian de tormenta a tormenta, según lo comentan Fernández Reynoso, Oropeza Mota, Martínez Menes, Figueroa Sandoval y Palacios Vélez, 1999) en contraste con los parámetros que permanecen invariables.
Parámetros de forma: La parte alta de la microcuenca El Estero, correspondiente al sector oeste de la hoja Naranjo. Esta parte es más ensanchada, al igual que su parte media. En tanto, su parte inferior es más delgada.
Área de la microcuenca: El área es uno de los criterios que determina la magnitud del caudal en condiciones normales. Los caudales promedios, mínimos y máxima instantáneos crecen a medida que crece el área de la microcuenca. La microcuenca hidrográfica El Estero mide 6.7 km2. De acuerdo con Newson (1978), según este tamaño le corresponde que se le llame “microcuenca” y no subcuenca, debido al tamaño en km2 y con tres órdenes de cauces que tiene (como se verá más adelante).
Forma de la microcuenca: La microcuenca tiene una forma según su formación geológica. El factor de forma es de 0,14

Coeficiente de Elongación: El valor es de (0.86) por lo que la microcuenca tiene forma alargada. Esto corrobora lo señalado por Senciales y Ferre (1992) respecto a que los índices más bajos a la unidad son aquellos que se muestran en áreas con relieve y pendientes pronunciadas en la parte superior, mientras que en las partes media y baja el relieve es ondulado y plano en su sector medio.
Variación altitudinal: Cuando el valor de la pendiente es alto en la parte superior de la microcuenca hidrográfica El Estero (Figura 2). El sector superior de la microcuenca al presentar mayor pendiente y suelos descubiertos produce mayor erosión de suelos. En la parte media se puede notar que los caudales aumentan durante el periodo lluvioso. Mientras que en la parte inferior se nota que existe alguna falla normal que hace que cerca de su desembocadura la quebrada muestre una caída muy abrupta.
Elevación Media:La elevación media de la microcuenca El Estero es de 1105 metros sobre el nivel del mar (m.s.n.m). Esto indica que no existen cañones profundos y que gran parte de la microcuenca se ubica sobre terrenos ondulados y relativamente planos, especialmente, en la parte media (Figura 3).


Pendiente de la cuenca:La microcuenca presenta en su parte alta una mayor pendiente, así como cerca del sector bajo. Por lo tanto, en su parte media su topografía es muy regular. Su pendiente promedio es del 16.8%.
Diferencia de altitud: La diferencia en su altitud es de 1.100 m.s.n.m. Esto demuestra que con ligeras excepciones como la parte alta y en sus cercanías a la desembocadura existen pendientes elevadas. El resto de la microcuenca no muestra pendientes drásticas entre el cauce.
Análisis hipsométrico: Con el propósito de analizar la microcuenca hidrográfica El Estero se empleó el criterio propuesto por Boin Zanatta y Cunha (2014) que considera la relación entre las alturas parciales y la altura total, así como las áreas parciales entre curvas de nivel y el área total. Se puede inferir que el ciclo erosivo, así como la etapa evolutiva en que se encuentra la microcuenca es nueva (Figura 3).
Al observar la Figura 3 se puede deducir que la microcuenca en su sector alto presenta una fuerte pendiente y una capacidad erosiva alta durante el periodo lluvioso, especialmente en los meses de mayo-junio y septiembre-octubre. La parte media es relativamente plana, con ligeras ondulaciones. A cien metros de ambas márgenes del cauce principal la pendiente se acrecienta, lo que ocasiona que en periodos de hasta cuarenta minutos (observación personal) se presenten inundaciones (Figura 4).
Densidad de Drenaje:Su densidad es de 3.7 km / km2 según la longitud y el área de la microcuenca El Estero.
Pendiente media del cauce principal: La pendiente media del cauce resultó ser de 3.6%. Esto sugiere que no hay diferencias grandes entre un sector y otro. Esto se debe a que gran parte de la microcuenca es ondulada o semiplana, que corresponde al sector medio.
Orden de Cauces:En este caso se optó por el método de Horton (1945), el cual se muestra en el Cuadro 1:


En el caso de la microcuenca hidrográfica El Estero se encontró que existen solamente, como corrientes, el primer, segundo y tercer orden, con una pendiente promedio de 1.53%. De esta forma se tiene que existen los tributarios más cortos que son consideradas corrientes de primer orden con una pendiente promedio de 1.60°. Los de segundo orden con una pendiente promedio de 1.36° y de tercer orden con una pendiente promedio de 1.5°. Cuando dos corrientes de orden uno se une, resulta una corriente de orden dos, por último, cuando dos corrientes de orden dos se unen, resulta una corriente de orden tres (Farfán Urbina, Ferreira y Brandan 2010) (Figura 5).
Pendiente media del cauce principal: Para la microcuenca de la quebrada El Estero, la pendiente media es de 3.6% (Figura 6). Una de las características más evidentes en el mapa de pendientes, corroborado en las visitas de campo, es que los drenajes de la cuenca no manifiestan cañones profundos y muchos de ellos no son evidentes en contornos cada 20 m. En varios de los trayectos a lo largo de la quebrada, se observaron profundidades variables de hasta 5 m, como en el caso en el puente en calle Valverde y otros caminos o cafetales que son accesibles.


Conclusiones
La microcuenca hidrográfica quebrada El Estero forma parte del sistema del río Grande, aunque no se ubica en sus nacientes, pero si se ubica en la parte alta del mismo. Sin embargo, apenas alcanza una relativa planicie, que es precisamente donde se ubica la ciudad de San Ramón, su topografía cambia y desemboca en un sistema de importancia regional como lo es el río Grande de San Ramón, que es la subcuenca que abarca prácticamente todo el occidente de la Depresión Tectónica Central de Costa Rica.
La microcuenca hidrográfica El Estero presenta un uso de la tierra con usos agrícolas y pastos en su parte alta, y uso urbano en la parte media y baja. Los materiales geológicos que componen la microcuenca son de origen volcánico cuaternario, específicamente, depósitos lacustres de color café, mezclados al material pómez y lapilli, estratificados (Bergoeing, 2013).
Los resultados obtenidos en la microcuenca intervienen de manera importante en las características de la forma del cauce, no presenta un cañón profundo, sin rocas que ayuden a disminuir la velocidad de la corriente. Las vertientes presentan en la parte alta cierta vegetación con árboles dispersos, cafetales y charrales (malezas). En tanto, en la parte media y baja el escurrimiento es mayor al no presentar obstáculo para el escurrimiento, de ahí que se presenten áreas bajo urbanización y pavimento, aceras caño, techos, viviendas.
Durante el periodo lluvioso, en los meses de mayo-junio y septiembre-octubre, se podrían presentar eventos de avenidas máximas. La influencia del relieve es evidente, ya que una mayor pendiente condiciona a una menor duración en la concentración de las aguas de escorrentía en la red de drenaje y afluentes de la microcuenca (Llamas, 1993).
No obstante, en los sectores medios y bajos presentan una ciudad sin planificación que se construyó en las cercanías de la quebrada El Estero y que se fue ampliando su área urbana sin medios de protección, ni en las riberas. No existen medidas paliativas o de conservación, como son sectores como parques recreativos con bosque que permitan la interceptación de la precipitación. De ahí que se provocan inundaciones en ciertos periodos del año (Figura 7).
Las inclinaciones de las dos vertientes permiten el escurrimiento relativamente rápido de las lluvias, pese a que el uso de la tierra está constituido en parte de café, pasto, viviendas y lotes baldíos en su parte alta. En la parte media se caracteriza por ubicarse una ciudad en una superficie ondulada, donde el nivel de caudal es mayor y la serie de alcantarillas causan acumulaciones caóticas (tapones) y daños a la infraestructura existente, por medio de inundaciones principalmente durante eventos lluviosos intensos.
Durante los meses de mayor precipitación, como son septiembre y octubre, se dan lluvias torrenciales desde las vertientes hasta la quebrada, que se manifiestan principalmente por socavamiento de cauces y propensión a crecidas.

Por medio de herramientas como los Sistemas de Información Geográfica (SIG) y Microsoft Excel, se obtuvieron la mayoría de las propiedades morfométricas de la microcuenca hidrográfica.
Los drenajes indican un patrón de tipo paralelo, con dirección sur-norte y un máximo de 3 órdenes bajo el criterio de Strahler y Strahler (2006), siendo un máximo de orden 3. La relación de órdenes indica que, a menor orden, hay una mayor cantidad de corrientes, y que al aumentar el orden, la longitud de las corrientes es mayor. La densidad de drenaje varía entre bajo a moderado, lo que sugiere que la microcuenca tiene características muy particulares, o sea que, del número de órdenes, es capaz de producir inundaciones en periodos repentinos o durante ondas, tormentas o huracanes tropicales.
De acuerdo con el perfil longitudinal de la quebrada, esta se puede clasificar como tipo embudo, es decir, es un sistema que concentra las aguas de escorrentía en una red densa muy ramificada. Posee unas vertientes empinadas, con pendientes fuertes, tanto en su parte superior como en su desembocadura. Los tributarios son poco alargadas, pero al ser una microcuenca hidrográfica con un alto porcentaje de deforestación, está sometida a avenidas máximas en periodos de tiempo muy reducidos.
La microcuenca de la quebrada El Estero es un sistema pequeño, al presentar un área de solo 6,7 km², con una longitud del curso principal de 6,9 km. Esta microcuenca presenta asimetría entre sus vertientes y un sistema de drenaje de tipo subdendrítica (Boin et al., 2014) caracterizado por aguas turbias y poco profundas. El sector más elevado de la quebrada El Estero es de 1.230 m.s.n.m. y la más baja es de 1.100 m.s.n.m.
Referencias
Avinash, K.; Deepika, B. y Jayappa, K. (2014). Basin geomorphology and drainage morphometry parameters used as indicators for groundwater prospect: Insight from Geographical Information System (GIS), technique. Journal of Earth Science, 25(6), 1018-1032.
Bergoeing, J. (2013). Geomorfología del área Palmares, San Ramón, Cerro Espíritu Santo, Costa Rica. Revista Geográfica, (154), 133-142.
Boin, M.N.; Zanatta, F.A.S. y Cunha, C.M.L. (2014). Avaliação da morfometría do Relevo da Alta Bacia Hidrográfica do Ribeirão do Areia Dourada, Marabá Paulista (SP). Cárdeno Prudentino de Geografía, 2(36), 5-26. Recuperado de http://revista.fct.unesp.br/index.php/cpg/article/view/2866
Cano, W. y Posada, L. (2002). Alteración del metabolismo lótico en la quebrada Piedras Blancas (Medellín) debido al trasvase de caudal. Avances en Recursos Hidráulicos, (9), 19-30.
Chow, V.T.; Maidment, D.R. y Mays, L.W. (1994). Hidrología aplicada. Estados Unidos, McGraw-Hill.
Farfán, F.; Urbina, L.; Ferreira, S. y Brandan, M. (2010). Caracterización y red de drenaje de la subcuenca del río Tin-Tin, PN Los Cardones, Salta. Revista Científica de Educación, 5(16), 7-21.
Fernández Reynoso, D.S.; Oropeza Mota, J.L.; Martínez Menes, M.; Figueroa Sandoval, B. y Palacios Vélez, O.L. (1999). Aplicación del modelo hidrológico SWRRB en la cuenca del río “El Tejocote”, Atlacomulco, estado de México. Agro ciencia, 33, 1-9.
Horton, R. (1945). Erosional development of streams and their drainage basins. Hydro physical approach to quantitative morphology. Geological Society of America Bulletin, 56(3), 275–370.
Gaspari, F.J. (2012). Caracterización Morfométrica de la cuenca alta del río Sauce Grande, Buenos Aires, Argentina. Séptimo congreso de medio ambiente AUMG. La Plata Argentina.
González, G. (2019). Orden de cauces de la microcuenca hidrográfica El Estero. Proyecto de investigación 540 B8 052. Coordinación de Investigación, Sede de Occidente, Universidad de Costa Rica.
Gutiérrez G. y Díaz J.J. (2011). Morfometría en la Cuenca Hidrológica de San José del Cabo, Baja California Sur, México. Revista geológica de América Central, (44), 83-100.
Llamas, J. (1993). Hidrología general. Toluca, México: Universidad del Estado de México.
Mikhailova, M. (2015). Morphometry of river deltas. Water Resources, 42(1), 52-62.
Murillo Sánchez, M.E. (2002). Estudio del efecto del cambio de uso del suelo en el escurrimiento en la cuenca 24Bf “Monterrey” aplicando un sistema de información geográfica. Tesis de maestría. División de Ingeniería y Arquitectura, Tecnológico de Monterrey.
Newson, M. (1978). Drainage basin characteristics, their selection, derivation, and analysis for a flood study of the British Isles. Earth Surface Processes, 3, 277-293.
Ortiz, O. (2004). Evaluación hidrológica. Red Latinoamericana de Micro Hidroenergía Hidrored, (1), PP. 1-7.
Prabu, P. y Baskaran, R. (2013). Drainage morphometry of Upper Vaigai river sub-basin, Western Ghats, South India using remote sensing and GIS. Journal Geological Society of India, 82, 519-528.
Reyes Trujillo, A.; Barroso, F.U. y Carvajal Escobar, Y. (2010). Guía Básica para la caracterización morfométrica de cuencas hidrográficas. Santiago de Cali: Univalle.
Saavedra, J. (2001). Planificación Ambiental de los Recursos Forestales en la Región de la Araucanía, Chile. Definición de Unidades Homogéneas de Gestión. Tesis Doctoral. Universidad Politécnica de Madrid.
Senciales, J.M. y Ferre, E. (1992). Análisis morfométrico de la cuenca del río Benamargosa (provincia de Málaga) (pp. 365-375). En F. López Bermúdez, C. Conesa y M.A. Romero (Eds.) Estudios de Geomorfología en España. Actas de la II Reunión Nacional de Geomorfología, Murcia, S.E.G.
Strahler, A. y Strahler, A. (2006). Introducing Physical Geography (fourth edition). Estados Unidos de América: John Wiley and Sons, Inc.
Vargas, O. (05/11/2010). Aludes y lluvias dejan 21 muertos y 11 desaparecidos. La Nación. Recuperado de https://www.nacion.com/sucesos/aludes-y-lluvias-dejan-21-muertos-y-19-desaparecidos/EBOVNFOHURDX7E4P3L5GMBCWPA/story/
Villón, M. (2004). Hidrología. Editorial Tecnológica de Costa Rica.
Vittala, S.; Givindaiah, S. y Gowda, H. (2004). Morphometric analysis of sub-watersheds in the Pavagada area of Tumkur district, South India using remote sensing and GIS techniques. Journal of the Indian Society of Remote Sensing, 32(4), 351-362.

