Artículos
Recepción: 07 julio 2024
Aprobación: 03 mayo 2025

Sugerencia de citación: Morales, F., Alarcón, S., Muñoz, N. (2025). Percepción de los estudiantes de Contador Público y Auditor de la Universidad del Bío-Bío, sede Concepción, respecto a la modalidad de clases online y su influencia en su futuro profesional. Revista Visión Contable, 31, pp 73-96. https://doi.org/10.24142/rvc.n31a4
Resumen:
La educación se vio afectada por la pandemia del COVID-19 que obligó a implementar un modelo educativo denominado educación a distancia de emergencia. La Universidad del Bío-Bío no estuvo ajena a esta medida. Este artículo se propuso analizar la percepción del nivel de competencias de 118 estudiantes de la carrera de Contador Público y Auditor durante las clases online, evaluar su experiencia y reconocer cómo esta modalidad podría influir en su desarrollo futuro. Los resultados mostraron conformidad con el aprendizaje durante la teleducación, lo que concuerda con otras investigaciones sobre el tema, aunque la adaptación al retornar la presencialidad afectó el rendimiento académico. Se concluye que la percepción de los estudiantes con relación a las clases virtuales tuvo un impacto positivo, ya que consideraron que estas se ajustaron a las necesidades del momento.
Clasificación JEL: A20, I20
Palabras clave: COVID-19, educación superior, educación a distancia, clases online.
Abstract: Education was affected by the COVID-19 pandemic, which forced the implementation of an educational model called emergency distance education. Universidad del Bío-Bío at Concepción was not immune to this measure; therefore, this study proposed to analyze the perception of the level of competencies of 118 Public Accounting students during the online classes period, evaluate their experience and how this modality could influence their future professional development. Results show conformity with learning during online education, in accordance with other research, although returning to face-to-face classes affected academic performance. It is concluded that students' perception of virtual classes was positive since they consider that they met the needs of the moment.
Keywords: COVID-19, Higher Education, Distance Education, On-line Classes.
Introducción
La pandemia producida por el COVID-19 generó una severa crisis económica, social y de salud, provocando pánico y alarma universal (Maguiña Vargas et al., 2020) y obligando a la población a un confinamiento a nivel mundial. Millones de profesores y estudiantes debieron reaprender una nueva manera de acceder al conocimiento y de interactuar en el ciberespacio. Incluso los más resistentes a la cultura digital tuvieron que involucrarse en este proceso de aprendizaje y apropiación tecnológica (De Vincenzi, 2020).
El uso de la tecnología en la educación superior llegó a ser un reto tanto para el docente como para el alumno y ha exigido a ambas partes mantenerse actualizadas en el uso de las herramientas que permiten la interacción de un aprendizaje colaborativo (Cuéllar-Becerra et al., 2023; Indio- Toala et al., 2021).
Esta situación representó un desafío para la educación superior, “existían centros educativos que venían trabajando desde hacía años en la competencia digital y les costó menos la implementación de una modalidad de clases virtual y otros que no supieron cómo afrontarlo y lo hicieron lo mejor que pudieron” (Leiton-Quintero et al., 2022, p. 5).
La Comisión Económica para América Latina y el Caribe (CEPAL, 2020) indicó que, en la esfera de la educación, esta emergencia dio lugar al cierre masivo de las actividades presenciales de instituciones educativas en más de 190 países con el fin de evitar la propagación del virus y mitigar su impacto.
Según el Ministerio de Salud de Chile (MINSAL, 2022), el virus llegó a este país el martes 3 de marzo de 2020 y el 15 del mismo mes se anunció la suspensión de las clases presenciales a nivel nacional. En el caso de este país, no existía una política digital en educación, lo que requirió el desarrollo de gestiones y estrategias para responder a los desafíos que implicó la virtualización de la educación (UNESCO, 2022), lo que se sumó al carácter autonómico concedido a las universidades.
En la Universidad del Bío-Bío (UBB, 2020a) el comienzo de clases, bajo la modalidad de docencia a distancia, estuvo marcado por la adopción de distintas medidas de apoyo a estudiantes, así como de capacitación docente. Además, se elaboró triestamentalmente (profesores, administrativos y estudiantes) un protocolo para iniciar el primer semestre utilizando docencia a distancia y se decidió partir las actividades gradualmente, con una marcha blanca de dos semanas.
Las clases online generaron impactos en los alumnos tanto a nivel académico como personal. Para conocer la percepción en torno a la experiencia vivida por los estudiantes de la carrera Contador Público y Auditor de la Universidad del Bío-Bío, sede Concepción, se aplicó un instrumento que abordó la forma en que se efectuaron las clases en modalidad virtual y con el cual se buscó conocer su aporte a los universitarios, cómo se afectaron en el retorno a la presencialidad y cómo podrían influir en su desarrollo como futuros profesionales.
La presente investigación se organiza así: al inicio se presenta una recopilación de los trabajos relacionados. Luego se expone la metodología que se utilizó, señalando población objetivo, tamaño de muestra y diseño de la encuesta. Esto, seguido por el análisis de resultados donde se muestran las preferencias de los estudiantes en términos generales y por agrupaciones, así como su apreciación, reflexiones y comentarios sobre su experiencia en el modelo de educación de emergencia. Finalmente, se realizan comparaciones de los resultados obtenidos en el estudio con otras investigaciones sobre el mismo tema.
Revisión de literatura
La literatura sobre educación online abarca temas de distintas índoles como el aprendizaje, la importancia del uso de Tecnologías de Información y Comunicación (TIC), la influencia en la salud mental, el impacto socioeconómico, las ventajas y desventajas de este método de enseñanza, entre otros. Todas estas materias han provocado cambios a lo largo del tiempo y se han introducido en la cotidianidad de las personas, lo cual ha impactado en su forma de interactuar, estudiar e incluso laborar (Sánchez-Leyva et al., 2023).
García-Aretio (1989) definió que la enseñanza a distancia es un sistema tecnológico de comunicación masiva y bidireccional que sustituye la interacción personal en el aula entre profesor y alumno como medio preferente de enseñanza, por la acción sistemática y conjunta de diversos recursos didácticos y el apoyo de una organización tutorial que propician el aprendizaje autónomo de los estudiantes. Algunos han afirmado que, en los entornos virtuales de aprendizaje, la comunicación estimula el progreso de relaciones interpersonales, lo cual potencia el aprendizaje y la armonía grupal a través de la incorporación de objetivos colectivos y redes de práctica y enseñanza (Jaime-Vargas y Sánchez-Lezama, 2023; Sánchez y García, 2019). Esta dinámica digital impone nuevas configuraciones en los procesos de enseñanza, incluyendo nuevas pedagogías (Riveros Brítez y Duré Caballero, 2023).
La virtualidad no supone un menor o peor aprendizaje. Corresponde a una transformación de los procesos mediante los que se aprende, los que están en sintonía y dependencia con el nivel de desarrollo de los medios tecnológicos del momento histórico actual (Cardona Ossa, 2002). Sin embargo, debe considerarse que la imposición de tener que pasar rápidamente de la impartición de docencia presencial a online no permitió una planificación de esta transición por lo que, en la mayoría de los casos, solo supuso un cambio en la ubicación (en la virtualidad) y un incremento en el uso de las TIC (Amez et al., 2021).
Este cambio abrupto evidenció falencias con respecto al uso de tecnologías, pues se observó “que muchos docentes no estaban preparados para enseñar en línea, resultando en el desarrollo de muchas actividades como vía compensatoria del proceso de enseñanza-aprendizaje” (Marques et al., 2021). A su vez, los estudiantes se vieron enfrentados a situaciones adversas con “respecto al acceso y disposición de equipamiento y conectividad, las competencias y habilidades virtuales evidencian una doble brecha digital y profundizan la desigualdad educativa en los diversos sectores de la sociedad” (Iño, 2021, p. 131).
Sumado a esto, según Dyrek et al. (2022), los estudiantes tuvieron que motivarse para trabajar de forma más independiente y acostumbrarse a la falta de contacto con profesores. Así mismo, en el estudio realizado por Buzatu et al. (2020) a universitarios se concluyó que estos no estaban seguros de que la calidad de la educación en línea estuviera a la altura del sistema tradicional.
Otra investigación señaló que se presentó la dificultad entre la separación del espacio de estudio/trabajo con el de hogar/descanso/ocio, es decir, ya no existía una separación física y, por tanto, tampoco se percibía una separación subjetiva, lo que pudo llevar al malestar emocional, puesto que los procesos ya no se percibían como cíclicos y finitos (Marques et al., 2021). Lo anterior afectó la salud mental produciendo un bajo estado de ánimo que dificultó el correcto aprendizaje al perjudicar la concentración del alumno y desviar el enfoque del estudio debido a la sobreestimulación en el ambiente.
Miguel (2020, p. 31) concluyó que “la situación sanitaria de la pandemia por COVID-19, no solo representa una crisis de negatividad económica, social, política y educativa, sino también una oportunidad de desarrollar competencias y habilidades”. En algunos casos en que la presencialidad era un obstáculo para desarrollar actividades académicas, se observó que
la educación remota puede significar una alternativa válida y de muchísima utilidad para ciertas personas, principalmente aquellas con dificultades para participar en un sistema presencial por factores como la distancia con la casa de estudios, la dificultad de compatibilizar el trabajo con un sistema presencial, entre otros. (Román, 2021, s.p.)
La cultura digital cada día gana más terreno, sobre todo con las nuevas generaciones, obligándolas a estar en mayor contacto con el internet, por lo que debe aceptarse el poder que este ha tenido en la academia y en las interacciones sociales cotidianas de la escuela.
Los resultados de la investigación realizada por Puradiredja et al. (2022) indicaron que, para reformar y reconceptualizar la enseñanza y el aprendizaje de la salud mundial en tiempos de COVID-19 y más allá, se requieren no solo cambios en los enfoques didácticos, sino también y más fundamentalmente, en términos de inclusión, reciprocidad y solidaridad en diferentes entornos en todo el mundo.
Estos términos deben ser analizados en mayor profundidad, así como mencionaron Villarroel et al. (2021): conocer las percepciones de estudiantes y docentes puede contribuir a la búsqueda de soluciones a los problemas que surgieron durante la enseñanza remota.
Como resultado de una encuesta a estudiantes universitarios iraníes realizada por Assi y Mojgan (2022), se identificó que los participantes estaban emocionalmente satisfechos con aprender en línea; sin embargo, preferían las clases regulares debido a la falta de interacción y contacto social con compañeros y profesores, es decir, no se trata solo de sustituir la enseñanza presencial por una virtual o una implementación, sino de un cambio de paradigma que siente los fundamentos de una nueva educación, todo un reto colectivo tanto para autoridades públicas y órganos rectores de los centros educativos como para docentes y alumnos (Castellano et al., 2020).
El contexto nacional chileno no se vio exento a las afecciones producidas por el virus, “el avance de la pandemia en el mundo sorprendió a Chile en marzo de 2020, cuando se presentó el primer caso de COVID-19 positivo, a tan solo 5 meses del estallido social iniciado el 18 de octubre de 2019” (Clunes, 2020, p. 1).
En la UBB (2020b), el 16 de marzo de 2020, la Rectoría emitió un comunicado indicando la suspensión de las clases presenciales de pregrado, posgrado y programas especiales como consecuencia de la rápida expansión del COVID-19. Considerando el contexto mundial de salud, derivado de la propagación del virus, la Vicerrectoría Académica, por intermedio de la Unidad de Gestión Curricular y Monitoreo, definió una serie de acciones para favorecer el uso de nuevas herramientas tecnológicas y la entrega de contenidos académicos en modalidad virtual.
El equipo profesional del Área de Desarrollo Pedagógico y Tecnológico (ADPT) indicó sobre el recurso de aulas virtuales: “por ejemplo, Zoom proporciona la alternativa de videoconferencia, permitiendo que el/la docente interactúe con sus estudiantes en tiempo real. Además, la clase queda grabada y puede ser material de consulta para los alumnos” (Universidad del Bío-Bío, 2020c, s.p.).
Debido a las medidas preventivas establecidas en el país, posteriormente, se produjo un retorno paulatino a la normalidad. En los establecimientos educacionales se implementaron distintas modalidades como la híbrida en la que algunos alumnos podían asistir presencialmente al aula de clases, mientras se transmitía esta sesión de forma virtual para los demás. Asimismo, existió la modalidad mixta que permitía que los alumnos tuvieran turnos para tener clases presenciales y virtuales.
El 5 de enero de 2022 la Rectoría de la UBB (2022) emitió un comunicado indicando que las actividades académicas y administrativas se realizarían presencialmente a partir del inicio del año académico 2022, implementando protocolos para la prevención de contagios dentro del establecimiento, como el curso Autocuidado COVID-19 y el registro de permanencia en espacios mediante un código QR.
El curso mencionado se instauró de manera obligatoria para estudiantes de la universidad, en ambas sedes y su aprobación fue un prerrequisito fundamental, ya que formó parte del Plan de Retorno Seguro (Universidad del Bío-Bío, 2020c). El registro de permanencia en los espacios universitarios se instauró para facilitar la trazabilidad en caso de que existieran contagios. El sistema permitió que estudiantes y funcionarios/as accedieran a códigos QR ubicados en los campus y al escanearlos hicieran efectivo su ingreso y salida de la UBB (Álvarez, 2021).
Luego de esta experiencia se puede rescatar que, como sociedad, se ha notado un aumento en la implementación tecnológica, así como sostuvieron Gil et al. (2020, p. 100): “la opinión pública parece tomar conciencia de que una mayor digitalización podría ser una buena estrategia preventiva ante cualquier crisis imprevista”.
En consideración a lo experimentado en la enseñanza virtual y concluyendo su investigación durante este periodo, Asif et al. (2022, p. 851) señalaron que:
El aprendizaje es un proceso continuo y en constante evolución. Las instituciones educativas, desde las escuelas hasta las universidades deberían considerarla crisis actual como una bendición y utilizarla como motivación para hacer de la educación digital una parte importante del futuro proceso de aprendizaje para todos los alumnos.
A partir de la revisión de literatura consultada observamos una ausencia de estudios que evalúen la experiencia de enseñanza-aprendizaje desde la perspectiva posterior a la pandemia. Por lo mismo, creemos que esta investigación es pertinente, pues aporta una visión poseducación online de emergencia.
Metodología
El estudio fue de carácter cuantitativo, exploratorio de tipo transversal. Se utilizó la encuesta de los investigadores William R. Avendaño, Henry O. Luna y Gerson Rueda, propuesta en su texto “Educación virtual en tiempos de COVID-19: percepciones de estudiantes universitarios” (Avendaño et al., 2021). Se añadieron preguntas enfocadas en el retorno a la presencialidad y en el desarrollo como futuros profesionales. Este instrumento fue aplicado a los alumnos vigentes en el periodo 2022-2 de la carrera Contador Público y Auditor de la Universidad del Bío-Bío, sede Concepción, que tuvieron la experiencia de enseñanza a distancia durante el confinamiento por la pandemia, mediante una encuesta de tipo Likert en formulario Google y formato físico en aulas de clases.
Adicionalmente, se agregaron algunas preguntas de respuesta abierta para efectuar un análisis exploratorio posterior en el que se profundizó en la experiencia de los alumnos durante las clases online.
El universo de la población de investigación estuvo compuesto por 181 estudiantes, distribuidos en cohortes: 43 alumnos que ingresaron a la carrera en el 2021, 44 del 2020, 60 del 2019, 19 del 2018, 6 del 2017, uno del 2016 y dos del 2015.

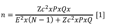
Donde:
Zc = 95 % o 1,96 es el nivel de certeza, bajo la curva normal; P = 0,5 es la probabilidad de éxito; Q = 0,5 es la probabilidad de fracaso; E = 5,5 % - 0,055 es el nivel de error; y N = 181 es la población.
A partir de la fórmula [1], se obtuvo una muestra de 116 alumnos. Participaron en el desarrollo del instrumento un total de 118 encuestados, de los cuales se recibieron las respuestas por cohorte: 37 alumnos del 2021, 32 del 2020, 42 del 2019, 6 del 2018 y uno del 2015.
Resultados
La encuesta fue respondida mayoritariamente por personas del género femenino (56,78 %) y con un porcentaje predominante de edad de los encuestados entre los 19 y 24 años. En cuanto al año de ingreso a los estudios universitarios, una mayor cantidad provenía del 2019 (35,5 %), seguidos por los estudiantes del 2021 (31,36 %) y 2020 (27,12 %). Del total de los encuestados, 102 (86,44 %) experimentaron la educación de emergencia en un sector urbano, mientras que 16 (13,56 %) lo hicieron en uno rural.
En cuanto al diseño del curso o materia, los estudiantes percibieron que el nivel de exigencia académica había sido adecuado, así como su organización y secuencia. Respecto a la pregunta sobre si el ritmo de los cursos o materias era adecuado y pertinente en beneficio de un aprendizaje efectivo, 42 encuestados eligieron la opción Ni de acuerdo, ni en desacuerdo y 41 prefirieron la opción Algo de acuerdo.
Los compromisos y tareas asignadas se ajustaron a las necesidades socioeconómicas teniendo en cuenta las circunstancias vividas durante el periodo de clases online. Al realizar una segmentación por sector en las respuestas frente a esta afirmación, considerando una población de 102 residentes urbanos y 16 rurales, la mayoría de aquellos que residían en el sector urbano estuvieron algo de acuerdo, mientras que para los residentes de sectores rurales hubo una homogeneidad en sus respuestas para las opciones. Esto puede deberse a que en sectores rurales la conectividad a internet tiende a ser inestable, contrario a las zonas urbanas donde existe mejor accesibilidad, lo que facilita el cumplimiento de actividades.
La mayoría de los estudiantes coincidió en que la carrera de Contador Público y Auditor no presentó mayor inconveniente para ser desarrollada de forma online. En la segmentación realizada por modalidad de admisión, donde había 69 alumnos que ingresaron a la carrera durante el periodo de clases online y 49 que tuvieron clases presenciales previas a la educación de emergencia, el 55,07 % y 69,39 % respectivamente coincidieron con la afirmación (ver Figura 1). Las asignaturas dictadas dentro de la carrera fueron adaptables a la virtualidad, ya que estas se enfocaban en el aprendizaje teórico y su posterior aplicación mediante programas digitales, los cuales eran factibles de desarrollar en una enseñanza a distancia.

Los estudiantes se encontraron de acuerdo respecto a que existió un aprendizaje efectivo, sin embargo, no tuvieron una inclinación favorable o desfavorable para las afirmaciones que indagaban sobre si habían desarrollado las habilidades y competencias esperadas, si se había promovido el manejo y control de las emociones y si se encontraban satisfechos con el aprendizaje construido.
Los estudiantes se encontraron de acuerdo respecto a que existió un aprendizaje efectivo, sin embargo, no tuvieron una inclinación favorable o desfavorable para las afirmaciones que indagaban sobre si habían desarrollado las habilidades y competencias esperadas, si se había promovido el manejo y control de las emociones y si se encontraban satisfechos con el aprendizaje construido.
Por el cambio abrupto de modalidad, los docentes no estaban preparados para enfrentar la situación de la mejor manera, por lo que esta diferencia de opinión podría ser a causa de que los alumnos que ingresaron de forma presencial entre los años 2015 al 2019 ya estaban familiarizados con el ritmo de las clases, los docentes, las plataformas, evaluaciones y compañeros de carrera, de modo que se les facilitó gestionar mejor sus tiempos. Para los de admisión 2020 su experiencia fue más compleja, ya que ingresaron en el momento donde se produjo el cambio, el cual fue inesperado y sin preparación previa para enfrentar la situación, por ende, fue más difícil generar la autonomía necesaria para sobrellevar el ritmo de la nueva forma de aprendizaje. En cuanto a los alumnos que ingresaron en el año 2021, ya eran conocedores del nuevo método de enseñanza implementado en la Universidad, además los docentes ya tenían experiencia y mejor conocimiento de la gestión y desarrollo de sus clases, lo que ayudó a fomentar la autonomía del estudiante.

La mayoría de los encuestados indicó que estaba algo de acuerdo en cuanto a que la adaptación a la presencialidad afectó el rendimiento académico. Los estudiantes de admisión presencial apoyaron esta afirmación prefiriendo las opciones Muy de acuerdo y Algo de acuerdo (36,23 % cada una), y aquellos que ingresaron por admisión online se inclinaron por la elección Algo de acuerdo (32,65 %) (ver Figura 3).

Los resultados presentados en la Figura 3 están relacionado con una nueva modalidad de estudio para los alumnos de admisión online por ser su primer año presencial, mientras que los de admisión presencial debieron retomar el ritmo de estudio anterior. A esto se deben sumar situaciones personales que afectaron a ambos grupos, como mudarse a la ciudad de estudio y la incertidumbre por la situación sanitaria producto de la pandemia. Cabe destacar también que un 31,62 % de los encuestados manifestó estar algo de acuerdo en cuanto a que, durante esta nueva modalidad, los conocimientos digitales incrementaron, lo que puede ser producto del constante uso de herramientas y plataformas digitales en el periodo de clases virtuales.
En relación con el mejoramiento de la habilidad para trabajar en equipo durante la modalidad de clases online, un 26,50 % de encuestados optó por responder Ni de acuerdo, ni en desacuerdo; sin embargo, un 39,31 % marcó la opción Muy de acuerdo o Algo de acuerdo, lo que significa que hubo una orientación favorable en este aspecto. Respecto a esta afirmación, las respuestas de los estudiantes se pudieron ver influenciadas por la facilidad para socializar de ciertas personas, además de que las plataformas digitales fueron una buena herramienta para desarrollar el trabajo en equipo, permitiéndoles estar en contacto continuo.
El 46,55 % de los estudiantes encuestados afirmó que las habilidades digitales adquiridas durante clases virtuales fueron útiles para el retorno a la presencialidad. La segmentación realizada por modalidad indicó que el 27,08 % de los estudiantes que ingresaron de manera presencial estuvieron algo de acuerdo, así como los que ingresaron de forma online, pero en el caso de estos últimos, también optaron por la opción Ni de acuerdo, ni en desacuerdo (32,35 % cada una) (ver Figura 4).

FIGURA 4. Segmentación por modalidad de admisión: Las habilidades digitales adquiridas durante clases virtuales fueron útiles para el retorno a la presencialidad
Esto pudo ser producto de que los alumnos de admisión presencial notaron el cambio para mejor entre las habilidades digitales que tenían cuando asistían a clases en la Universidad y las que tenían al momento de retornar a la presencialidad; mientras que los estudiantes que ingresaron en admisión online pudieron tener preferencia por estas dos opciones, ya que su decisión dependió de las clases que tenían al momento de la encuesta, por ejemplo, aquellas de carácter teórico en las que no existía la necesidad de utilizar herramientas digitales para aplicar sus habilidades.
Con relación al nivel de conocimientos adquiridos durante clases online y si estos eran idóneos para el desarrollo como profesionales, se observa que las opciones Algo de acuerdo y Ni de acuerdo, ni en desacuerdo tienen la misma relevancia (35,59 % cada una). Sin embargo, se presenta una tendencia favorable al considerar a los estudiantes que eligieron la opción Muy de acuerdo (46,61 %) (ver Tabla 1).
Tabla 1. Resultados de la dimensión Conocimientos y competencias adquiridas

Las preguntas abiertas incluidas en la encuesta dejan aportes interesantes para la investigación. Por ejemplo, los encuestados destacaron entre las fortalezas la autonomía adquirida que se refleja al tener que ejercer el estudio sin un contacto directo con docentes y compañeros. También se refirieron la capacidad para manejar sus tiempos, el mayor conocimiento adquirido en herramientas digitales, puesto que fueron esenciales para el desarrollo de la educación virtual y la importancia de estas para desenvolverse como futuros profesionales. Algunos de los recursos mencionados fueron Excel, Word, Zoom, Google Meet, Discord y las plataformas educativas dispuestas por UBB para la gestión del aprendizaje.
Entre las debilidades se mencionaron asuntos como la dificultad en la concentración como consecuencia de las distracciones existentes en el lugar de estudio (habitualmente, la casa). Según sus respuestas, algunos alumnos se encontraban inseguros con los conocimientos adquiridos por diversos motivos, tales como la manera inesperada en que se implementó la modalidad y la pérdida de clases por la mala conexión. Además, consideraron la disminución de la interacción social, puesto que no se lograba una comunicación efectiva y no existía cercanía entre compañeros y docentes debido al confinamiento.
El trabajo en equipo apareció libremente mencionado como fortaleza y debilidad al mismo tiempo. Por el lado positivo, fue de utilidad para apoyarse entre compañeros y, a su vez, para generar la instancia de conocerse principalmente entre aquellos que ingresaron a la universidad de manera online. Asimismo, las plataformas de comunicación facilitaron las reuniones entre estudiantes y contribuyeron al trabajo a distancia. Pese a esto, no para todos los estudiantes resultó cómodo interactuar en grupos al no conocerse en persona, lo que puede contarse como aspecto negativo.
Dentro de las reflexiones y comentarios se observaron como favorables las clases virtuales durante la educación a distancia debido a su progresivo avance y mejoras. Los encuestados señalaron que era una buena opción para implementar a futuro o para enfrentar otra situación de emergencia, dado que adaptarse a esta modalidad nuevamente no sería complejo por la experiencia previa. Además, fue útil contar con las grabaciones de clases para poder reforzar los contenidos con posterioridad cuando existían problemas de conectividad en la educación en línea. No obstante, algunos estudiantes manifestaron su preferencia por el modelo de educación presencial.
Discusión y conclusiones
Según los resultados obtenidos en la investigación, la educación de emergencia ha sido oportuna en cuanto a la adecuada experiencia y formación, lo que se refleja en los análisis realizados. Con resultados similares, se encuentra la investigación de Diaz-Pelayo y De la Torre Cruz (2022) sobre la satisfacción de estudiantes respecto al modelo de aprendizaje híbrido en Costa Sur, México.
En Avendaño et al. (2021), también se identificó una respuesta positiva de la educación virtual en una muestra de estudiantes universitarios colombianos, en concordancia con los resultados presentados anteriormente. Entre las diferencias se encontraron mayores niveles de respuesta equivalentes a Ni de acuerdo, ni en desacuerdo en asuntos como el ritmo de los cursos o materias, los docentes promovieron la participación, desarrollo de habilidades y competencias esperadas, promoción del manejo y control de las emociones, en comparación con la investigación de la Universidad Francisco de Paula Santander de Colombia que tuvo una mejor aceptación.
En el trabajo de Mendoza-Cevallos y Núñez-Cherez (2021) acerca de la modalidad de enseñanza virtual en universitarios de Ecuador, los encuestados afirmaron que las estrategias permitieron establecer una formación adecuada cumpliendo con sus expectativas y consideraron que hubo una comunicación entre docentes y compañeros que permitió, en la mayoría de los casos, afianzar lo aprendido y formar opiniones. Respecto a la manera en que se impartieron las clases, los alumnos coincidieron con nuestros resultados en que el aprendizaje fue idóneo para la formación como futuros profesionales y que el nivel desarrollado les permitiría ser competitivos en este ámbito.
Otro estudio que concordó con la opinión acerca de la importancia de las habilidades digitales adquiridas en la modalidad online fue el efectuado por Ingelmo Palomaresa et al. (2021) en España, en el que los estudiantes se autopercibían con un buen nivel de competencias digitales y tenían claro que la tecnología digital sería clave en su futuro y en su carrera profesional. En líneas generales, los estudiantes universitarios presentaron un buen manejo de las herramientas ofimáticas.
Por su parte, Caiceo-Escudero et al. (2022) analizaron la percepción de estudiantes de Contador Público y Auditor de la Universidad de Santiago de Chile, quienes se sintieron mayormente satisfechos con las clases online del año 2020, lo cual se vio influenciado no solo por la calidad de las clases recibidas, sino porque se reconocieron las necesidades tecnológicas que tenían, se implementaron las ayudas necesarias para satisfacerlas y se brindó apoyo psicológico a los estudiantes que lo requirieron. Sumado a esto, fue imprescindible la administración de la universidad respecto a las ayudas otorgadas para el desarrollo de las clases para la satisfacción del estudiantado. No obstante, se sintieron mayormente insatisfechos con el cumplimiento de los protocolos de clases y evaluaciones, lo que difiere con la percepción de los alumnos de la Universidad del Bío-Bío que tuvieron una apreciación positiva respecto a este asunto.
En una investigación realizada en Costa Rica, Torres-Jiménez (2021) destacó que la forma de evaluar los conocimientos de los estudiantes mediada por las TIC y diferentes al modelo tradicional, fue de gran ayuda. En relación con la formación de los estudiantes del área de contabilidad para el proceso de desarrollo de la capacidad de comprender, reconocer y demostrar el conocimiento de un aprendizaje significativo mediante las clases a nivel virtual, se concluyó que efectivamente adquirieron aprendizajes significativos, pero aludieron a que los espacios virtuales no contribuyeron al logro de interacción, autonomía, autorregulación, desarrollo de habilidades blandas ni a alcanzar los objetivos de aprendizaje, cuestión que difiere de los resultados de los estudiantes o egresados analizados en este estudio.
Esta modalidad entregó capacidades como un mejor desarrollo de la autonomía para enfrentar los retos de la enseñanza virtual, y generó un espacio para uso de herramientas digitales, incrementando favorablemente las competencias para que los alumnos se pudieran desenvolverse de mejor manera en este periodo y en la presencialidad posterior. Adicionalmente, las plataformas digitales facilitaron en gran medida la colaboración entre alumnos al efectuar trabajos grupales y con los docentes para realizar reuniones con el fin de resolver dudas o si en algún momento se presentaban dificultades para llevar a cabo las clases de forma presencial. Como indicaron Vásquez Montoya y Correa Sánchez (2024), una educación pedagógica y didáctica es muy importante para mantener a los estudiantes motivados, es decir, que encuentren la utilidad en lo aprendido y reconozcan cómo pueden aportar a la solución de problemas.
Es trascendental rescatar las habilidades digitales adquiridas por universitarios en este periodo, ya que ellos las consideraron una ventaja para su desarrollo tanto en la carrera universitaria como para cuando hubieran finalizado sus estudios superiores. Por lo tanto, sería significativo aumentar la implementación de su uso en las aulas de la UBB para lograr una mayor familiarización con las herramientas tecnológicas, teniendo en cuenta que en los últimos tiempos se han integrado en mayor medida en el ámbito laboral. Similares conclusiones aportaron Morales y Nova (2021) tras haber estudiado la percepción del fenómeno en estudiantes y docentes de Contaduría en dos universidades, una pública y otra privada.
Independiente de que la mayoría concuerda en que la educación de emergencia fue adecuada, se debe señalar que la adaptación al retornar a la presencialidad afectó su rendimiento académico. En este caso, existen diversos factores que influyeron en su desempeño como el nuevo ambiente universitario al ser el primer año presencial para algunos, generar otros métodos de estudio, adaptarse a la nueva rutina, trasladarse lejos de sus hogares y familia, los cuales afectaron de mayor manera al encontrarse en pandemia al inicio del regreso a clases a la universidad.
Entre las limitaciones, los encuestados del programa especial de continuidad de estudios –plan dirigido a quienes poseen estudios de nivel técnico superior previamente–, fueron pocos en comparación con los del plan diurno y, por sus características etarias, podrían existir otros motivos que llevan a diferenciar los resultados analizados de los pares del plan diurno.
Entre las ideas de continuidad del estudio, se podría aplicar en otras universidades o carreras para evaluar el comportamiento más ampliamente. También se le podría dar un enfoque distinto evaluando a mayor profundidad el impacto del retorno a la presencialidad en la carrera de Contador Público y Auditor y la manera en que esta afectará el desarrollo de los futuros profesionales, ya que no se encontraron investigaciones sobre el tema.
Referencias
Álvarez, V. (2021). Noticias UBB. Acontecer Universitario. http://noticias.ubiobio.cl/tag/Covid/ [Consultado en enero de 2025]
Amez, I., Castells, B., Sánchez-Canales, M., Arévalo-Lomas, L., Boloño, D., Barrio-Parra, F. y Fernández Gutiérrez del Álamo, L. (2021). Análisis de la docencia universitaria por la influencia de la COVID-19: algunas lecciones aprendidas. Actas VI Congreso Internacional sobre Aprendizaje, Innovación y Cooperación (CINAIC 2021), 186. https://doi.org/10.26754/CINAIC.2021.0038
Asif, M., Khan, M. A. y Habib, S. (2022). Students’ Perception Towards New Face of Education during this Unprecedented Phase of COVID-19 Outbreak: An Empirical Study of Higher Educational Institutions in Saudi Arabia. European Journal of Investigation in Health, Psychology and Education, 12(7), 835-853. https://doi.org/10.3390/ejihpe12070061
Assi, E. y Mojgan, R. (2022). Virtual classes during COVID-19 pandemic: focus on university students’ affection, perceptions, and problems in the light of resiliency and self-image. Asian-Pacific Journal of Second and Foreign Language Education, 7(17). https://doi.org/10.1186/s40862-022-00144-7
Avendaño, W. R., Luna, H. O. y Rueda, G. (2021). Educación virtual en tiempos de COVID-19: percepciones de estudiantes universitarios. Formación Universitaria, 14(5). http://dx.doi.org/10.4067/S0718-50062021000500119
Buzatu, A. R., Cojoc, C., Cotovici, E., Spirache, M. C., Trandafir, R. y Paun, M. (2020). Students’ perception of online education in the COVID-19 pandemic framework. Romanian Statistical Review, 3. https://www.revistadestatistica.ro/wp-content/uploads/2020/09/RRS-3_2019_01.pdf
Caiceo Escudero, J., Fernández Cerda, F. y Vera Henríquez, N. (2022). Percepción del grado de satisfacción con las clases online del año 2020 de los estudiantes de Contador Público y Auditor de la generación 2016 de la Universidad de Santiago de Chile. Papeles Salmantinos de Educación, 26, 179. https://revistas.upsa.es/index.php/papeleseducacion/article/view/613
Cardona Ossa, G. (2002). Tendencias educativas para el siglo XXI. Educación virtual, online y @learning. Elementos para la discusión. Revista Electrónica de Tecnología Educativa, 15. https://doi.org/10.21556/edutec.2002.15.542
Castellano Gil, J. M., Carrera Flores, R. y Crespo Crespo, W. (2020). Educación online en tiempos de COVID-19: percepción en estudiantes de la Universidad Católica de Cuenca. Revista de Historia, Patrimonio, Arqueología y Antropología Americana, 3, 149-175. https://doi.org/10.5281/zenodo.4066073
Clunes Clunes, R. (2020). Pandemia Covid-19 en Chile. Cuestión, 1. https://doi.org/10.24215/16696581e323
Comisión Económica para América Latina y el Caribe – CEPAL. (2020). La educación en tiempos de la pandemia de COVID-19. Santiago: CEPAL, UNESCO. http://hdl.handle.net/11362/45904
Cuéllar Becerra, C., Lizama Zamora, C., Guzmán Droguett, A. y Faúndez Bastías, M. P. (2023). Liderazgo pedagógico en período de educación remota. Estudio de caso en universidades chilenas. Páginas de Educación, 16(2), 111-133. https://doi.org/10.22235/pe.v16i2.3237
De Vincenzi, A. (2020). Del aula presencial al aula virtual universitaria en contexto de pandemia de Covid-19. Avances de una experiencia universitaria en carreras presenciales adaptadas a la modalidad virtual. Universidad Abierta Interamericana. https://uai.edu.ar/docencia/orientaciones-peda-g%C3%B3gicas/ [Consultado en enero de 2025]
Díaz Pelayo, C. A. y De la Torre Cruz, M. D. R. (2022). Medición del impacto en la satisfacción de los estudiantes respecto al modelo de aprendizaje híbrido. El caso de del Centro Universitario de la Costa Sur (CUCOSTA). Revista Visión Contable, 26. https://doi.org/10.24142/rvc.n26a5
Dyrek, N., Wikarek, A., Niemiec, M., Owczarek, A. J., Olszanecka-Glinianowicz, M. y Kocełak, P. (2022). The perception of e-learning during the SARS-CoV-2 pandemic by students of medical universities in Poland – a survey-based study. BMC Medical Education, 22. https://doi.org/10.1186/s12909-022-03600-7
García Aretio, L. (1989). Para qué la educación a distancia. Madrid: Universidad Nacional de Educación a Distancia. https://www.researchgate.net/publication/235664753_Para_que_la_educacion_a_distancia
Gil Villa, F., Urchaga Litago, J. y Sánchez-Fdez, A. (2020). Percepciones y expectativas en el alumnado universitario a partir de la adaptación a la enseñanza no presencial motivada por la pandemia de COVID-19. Revista Latina de Comunicación Social, 78. https://doi.org/10.4185/RLCS-2020-1470
Indio-Toala, J. M., León-Tigua, M. X., López-Farfán, F. A. y Muñiz-Jaime, L. P. (2021). Educación virtual: una alternativa en la educación superior ante la pandemia del Covid-19 en Manabí. UNESUM-Ciencias: Revista Científica Multidisciplinaria, 5(1), 11. https://doi.org/10.47230/une-sum-ciencias.v5.n1.2021.328
Ingelmo Palomaresa, M., Sanz Lara, J. Á. y Pinillos-Franco, S. (2021). Perfil de competencias digitales en alumnos universitarios e influencia por el confinamiento COVID-19. IN-RED 2021: VII Congreso de Innovación Educativa y Docencia en Red. Valencia: Universidad Politécnica de Valencia. https://doi.org/10.4995/INRED2021.2021.13765
Iño, W. (2021). COVID-19 y educación superior en Bolivia: voces y miradas de universitarias sobre las consecuencias pedagógicas del “coronateaching”. Reencuentro. Análisis de problemas universitarios, 1(78), 123-148. https://reencuentro.xoc.uam.mx/index.php/reencuentro/article/view/1024
Jaime-Vargas, J. A. y Sánchez-Lezama, A. P. (2023). Ventajas de uso de tecnologías de la información en educación a distancia digital en tiempos de COVID-19. RIDE Revista Iberoamericana para la Investigación y el Desarrollo Educativo, 14(27). https://doi.org/10.23913/ride.v14i27.1652
Leiton Quintero, M., Mesa Bejarano, M. y Ortíz Carabali, S. S. (2022). Retos de la educación: una mirada durante y después de la pandemia (2019-2022). Ciencia Latina Revista Multidisciplinar, 6(2), 1718-1730. https://doi.org/10.37811/cl_rcm.v6i2.1987
Maguiña Vargas, C., Gastelo Acosta, R. y Tequen Bernilla, A. (2020). El nuevo Coronavirus y la pandemia del Covid-19. Revista Médica Herediana, 31(2). http://dx.doi.org/10.20453/rmh.v31i2.3776
Marques Duarte, J. L., Fossatti, P., Jung, H. S. y Dal Mas dos Santos, J. (2021). Fenómenos y percepciones acerca de la pandemia: un estudio con estudiantes universitarios en Brasil. Journal of the Academy, 6, 144-164. https://doi.org/10.47058/joa6.9
Mendoza Cevallos, A. Y. y Núñez Cherez, C. A. (2021). Estrategias de aprendizaje en entornos virtuales para la formación por competencias en estudiantes de Auditoría de la Carrera CPA. Guayaquil: Universidad de Guayaquil. http://repositorio.ug.edu.ec/handle/redug/58729
Miguel Román, J. (2020). La educación superior en tiempos de pandemia: una visión desde dentro del proceso formativo. Revista Latinoamericana de Estudios Educativos, 50. https://doi.org/10.48102/rlee.2020.50.ESPECIAL.95
Ministerio de Salud de Chile – MINSAL. (2022). COVID-19 en Chile pandemia 2020-2022. Santiago de Chile: MINSAL. https://www.minsal.cl/wp-content/uploads/2022/03/2022.03.03_LIBRO-COVID-19-EN-CHILE-1-1.pdf
Morales Parada, F. y Nova Rodríguez, F. (2021). Percepción de la educación a distancia de emergencia en año de Covid-19 en carreras de Auditoría de universidades chilenas. Revista de Investigación Aplicada en Ciencias Empresariales, 10(1). https://doi.org/10.22370/riace.2021.10.1.2977
Organización de las Naciones Unidas para la Educación, la Ciencia y la Cultura – UNESCO. (2022). Políticas digitales en educación en Chile: tendencias emergentes y perspectivas de futuro. UNESCO. https://unesdoc.unesco.org/ark:/48223/pf0000382594
Puradiredja, D. I., Kintu-Sempa, L., Eyber, C., Weigel, R., Broucker, B., Lindkvist, M., Casamitjana, N., Reynolds, R., Klinkel, H., Matteelli, A. y Froeschl, G. (2022). Adapting teaching and learning in times of COVID-19: a comparative assessment among higher education institutions in a global health network in 2020. BMC Medical Education, 22. https://doi.org/10.1186/s12909-022-03568-4
Riveros Brítez, L. A. M. y Duré Caballero, E. J. (2023). Percepción cuantificada de la efectividad de la modalidad híbrida en el aprendizaje de los estudiantes de la carrera de Contaduría Pública de la Facultad de Ciencias Económicas de la Universidad Nacional de Asunción. Año 2022. Población y Desarrollo, 29(57), 24-35. https://doi.org/10.18004/pdfce/2076-054x/2023.029.57.024
Román, R. (2021). Programas a distancia en la educación superior: un nuevo protagonista. Radio Biobío Chile. https://www.bio-biochile.cl/noticias/opinion/tu-voz/2021/07/05/programas-a-distancia-en-la-educacion-superior-un-nuevo-protagonista.shtml [Consultado en enero de 2025]
Sánchez, H. y García, L. (2019). Interacción y comunicación en entornos virtuales. Claves para el aprendizaje a distancia en estudios de postgrado. Revista Educación Superior, 18(28), 83-93. https://doi.org/10.56918/es.2019.i28.pp83-93
Sánchez Leyva, J. L., Clara Zafra, M. Á., Zapata Lara, H. D. C. y Bozas Gómez, V. (2023). Evidencia empírica de la actitud de estudiantes universitarios ante la educación online en tiempos de Covid-19. RIDE Revista Iberoamericana para la Investigación y el Desarrollo Educativo, 14(27). https://doi.org/10.23913/ride.v14i27.1705
Torres Jiménez, S. M. (2021). Uso de las Tecnologías de Información y Comunicación (TIC) y las plataformas virtuales Teams y Zoom en la enseñanza de la contabilidad en momentos de pandemia y su incidencia en el aprendizaje significativo en los estudiantes de décimo año del Colegio Técn. Santa Cruz: Universidad Latina de Costa Rica. https://repositorio.ulatina.ac.cr/handle/20.500.12411/210
Universidad del Bío-Bío. (2020a). Comunicado de Rectoría [Tweet]. https://twitter.com/ubbchile/status/1239231822128713729/photo/1 [Consultado en enero de 2025]
Universidad del Bío-Bío. (2020b). UBB inició un nuevo año académico marcado por el impacto de la crisis sanitaria. Noticias UBB. Acontecer Universitario. http://noticias.ubiobio.cl/2020/04/20/ubb-inicio-un-nuevo-ano-academico-marcado-por-el-im-pacto-de-la-crisis-sanitaria/ [Consultado en enero de 2025]
Universidad del Bío-Bío. (2020c). UBB impulsa modalidad virtual para asegurar continuidad formativa de estudiantes. Noticias UBB. Acontecer Universitario. http://noticias.ubiobio.cl/2020/03/16/ubb-impulsa-modalidad-vir-tual-para-asegurar-continui-dad-formativa-de-estudiantes/?print=print [Consultado en enero de 2025]
Universidad del Bío-Bío. (2022). Rectoría Comunicados. https://ubiobio.cl/rectoria/comunicados.php [Consultado en enero de 2025]
Vásquez Montoya, O. P. y Correa Sánchez, J. H. (2024). Estrategias didácticas en la formación superior y su relación con los resultados de aprendizaje. Revista Visión Contable, 29. https://doi.org/10.24142/rvc.n29a2
Villarroel, V., Pérez, C., Rojas-Barahona, C. y García, R. (2021). Educación remota en contexto de pandemia: caracterización del proceso educativo en las universidades chilenas. Centro de Información Tecnológica, 14(6). http://dx.doi.org/10.4067/S0718-50062021000600065
Información adicional
Sugerencia de citación: Morales, F., Alarcón, S., Muñoz, N. (2025). Percepción de los estudiantes de Contador Público y Auditor de la Universidad del Bío-Bío, sede Concepción, respecto a la modalidad de clases online y su influencia en su futuro profesional. Revista Visión Contable, 31, pp 73-96. https://doi.org/10.24142/rvc.n31a4

