Resumen:
Contextualización: el departamento del Caquetá concentra el quinto mayor inventario bovino de Colombia, pero el desarrollo de esta actividad en la Amazonia ha generado diversos cuestionamientos sobre su impacto en la conservación de los recursos naturales. La caracterización y tipificación de sistemas de producción son necesarias para el desarrollo y gestión de proyectos acertados considerando las características de estos.
Vacío de conocimiento: los estudios desarrollados para caracterizar y tipificar los sistemas ganaderos en Caquetá han tenido limitaciones por su área geográfica y la precisión respecto al número de agroecosistemas caracterizados, además no han incluido aspectos que permitan conocer la adopción de prácticas de producción sostenibles.
Propósito: el objetivo del presente artículo es caracterizar y tipificar agroecosistemas ganaderos que han implementado prácticas de producción sostenible en el departamento del Caquetá.
Metodología: el estudio se desarrolló en nueve municipios del departamento del Caquetá en la Amazonia colombiana; fueron seleccionados 376 agroecosistemas ganaderos donde se desarrolló un proyecto para el establecimiento de sistemas silvopastoriles (SSP) y división de praderas. La información fue recopilada mediante encuesta estructurada considerando las dimensiones de la sostenibilidad y fue analizada empleando estadística multivariada con Análisis de Correspondencias Múltiples (ACM), Análisis de Componentes Principales (ACP), Análisis de Conglomerados y Análisis Multivariado de la Varianza.
Resultados y conclusiones: los agroecosistemas ganaderos en promedio tienen un área de 68 hectáreas, 76% cubiertas por pasturas, 22% por bosques y menos del 2% en cultivos, y 85 bovinos; tanto en el ACM y ACP se evidenció agrupación de los agroecosistemas por municipios, coincidente con el análisis de conglomerados que generó tres grupos con diferencia significativa (p<0,0001), el primer grupo son los agroecosistemas con mayor área agrícola y mayor productividad de leche por vaca, el segundo grupo destaca por la mayor área en conservación, mayor producción de leche, pero menor productividad por vaca y el tercer grupo tiene mayores áreas en sistemas silvopastoriles y mayor reconversión productiva. En conclusión, en el departamento del Caquetá se distinguen tres tipos de agroecosistemas, evidencian adopción de prácticas sostenibles como sistemas silvopastoriles y división racional de praderas, a mayor adopción de prácticas sostenibles, mayor incremento en la producción y productividad de leche.
Palabras clave: análisis de sistemas,clasificación,explotaciones ganaderas,manejo del suelo,mejora de pastizales,tipología de granjas (AGROVOC).
Abstract:
Contextualization: The Caquetá department harbors the fifth-largest cattle inventory in Colombia; however, the development of this activity in the Amazon has raised various questions regarding its impact on sustainability and the conservation of natural resources. The characterization and typification of production systems are necessary for the implementation and management of successful projects, considering they selves characteristics.
Knowledge gap: the studies conducted to characterize and typify livestock systems in Caquetá have been limited by their geographical focus and the precision concerning the number of characterized agroecosystems. Furthermore, they have not included aspects that allow for understanding the adoption of sustainable production practices.
Purpose: This article aims to characterize and typify cattle farms that have implemented practices of sustainable production in the Caquetá state.
Methodology: The study was development in nine municipalities of the Caquetá in the Colombian Amazon; 376 dual-purpose cattle agroecosystems were selected, where a project to stablished silvopastoral (SPS) systems and pasture division was developed. The information was taken trough a structured survey considering the dimensions of the sustainability, and was analyzed using multivariate statistic with Multiple Correspondence Analysis (MCA), Principal Components Analysis (PCA), Cluster Analysis and Analysis Multivariate of Variance.
Results and conclusions: the livestock agroecosystem on average have an area of 68 hectares, 76% covered by pastures, 22% by rainforest, and less of 2% in crops, and 78 bovines; in both MCA and PCA was evidenced association of the agroecosystems per municipalities coincide with the cluster analysis; the cluster analysis generated three groups with statistical difference (p<0,0001), in the first group largest farming area and largest milk yield per cow was evidenced, the second group stand out by the largest area in conservation, largest milk production per farm, but minor milk yield per cow, and the third group stand out by the largest areas in silvopastoral systems and the largest productive reconversion. In conclusion, in the Caquetá department three types of agroecosystems are distinguished, they show adoption of sustainable practices such as silvopastoral systems and rational division of grasslands, the greater the adoption of sustainable practices, greater was the increase in milk yield and productivity.
Keywords: classification, farms typology, pasture improvement, systems analysis, livestock farms, soil management (AGROVOC).
ÁREA PECUARIA
CARACTERIZACIÓN Y TIPIFICACIÓN DE AGROECOSISTEMAS GANADEROS CON PRÁCTICAS DE PRODUCCIÓN SOSTENIBLE EN CAQUETÁ, AMAZONIA COLOMBIANA
CHARACTERIZATION AND TYPIFICATION OF LIVESTOCK AGROECOSYSTEMS WITH SUSTAINABLE PRODUCTION PRACTICES IN CAQUETÁ, COLOMBIAN AMAZON
Recepción: 21 julio 2024
Aprobación: 10 diciembre 2024

Uno de los principales desafíos que enfrentan los proyectos de desarrollo rural para la generación y apropiación de tecnologías y conocimientos adecuados es la heterogeneidad de características socioeconómicas, ambientales, culturales, acceso a servicios e infraestructura que determinan los agroecosistemas (Sánchez-Olaya y Suárez-Salazar, 2014; Cáceres y Julca, 2018). Una adecuada clasificación de agroecosistemas productivos es una herramienta óptima para orientar el diseño y gestión de estrategias o metodologías de intervención del territorio, facilitando la transferencia de tecnología y conocimientos de acuerdo con la dinámica territorial y posibilita la realización de proyectos mediante decisiones informadas para mejoramiento del sector agropecuario considerando la realidad del territorio y los agroecosistemas (Arrieta-González et al., 2022; Motta-Delgado y Ocaña-Martínez, 2018). En tal sentido, la tipificación permite agrupar los agroecosistemas de acuerdo con sus principales diferencias y relaciones, se busca maximizar la homogeneidad dentro del grupo y la heterogeneidad entre grupos (Holguín et al., 2015; Mora, 2014). La creación de tipologías es una ruta para sintetizar la gran heterogeneidad de los sistemas de producción agropecuario en unos pocos tipos de agroecosistemas, este proceso permite la clasificación, descripción, comparación, interpretación o explicación de un conjunto de elementos sobre la base de criterios seleccionados (Alvarez et al., 2018).
Para tipificar primero se debe caracterizar, por tanto, la caracterización consiste en la descripción de las principales características o variables y las múltiples interrelaciones de los agroecosistemas, mientras que la tipificación se refiere al establecimiento y construcción de posibles grupos basados en los caracteres observados en la realidad (Bolaños, 1999; Garcia et al., 2016); en consecuencia, la caracterización y tipificación de los agroecosistemas, es el punto de partida en la investigación con enfoque de sistemas (Cleves-Leguizamo, 2020). La caracterización de agroecosistemas permite comprender sus limitaciones funcionales, su potencial y las áreas de oportunidad de desarrollo en las condiciones donde se establecen (Arrieta-González et al., 2022), por otro lado, la tipificación permite agrupar a productores con características de manejo, producción y técnicas similares, algunos incluso pueden estar ubicados en zonas geográficas delimitadas (Rocha-Rodriguez et al., 2016). Las tipologías resultado de la tipificación permite mejorar la comprensión sobre los comportamientos de toma de decisiones y las trayectorias de desarrollo estratégico de los agroecosistemas, como por ejemplo la elaboración de estrategias de desarrollo específico para cada tipología de agroecosistema, o el comportamiento del uso de la tierra y los recursos, siendo útiles para describir motivaciones, comportamientos y decisiones de los productores agropecuarios generando hipótesis sobre su comportamiento (Weltin et al., 2017).
Existen diferentes procedimientos para la caracterización y tipificación de agroecosistemas, entre los que destacan los métodos estadísticos multivariados como el análisis de correspondencias múltiples, análisis de componentes principales y el análisis de conglomerados, donde los dos primeros tienen como objetivo resumir un conjunto grande de variables relacionadas en un pequeño conjunto de variables sintéticas con mínima pérdida de información (Garcia et al, 2016; Valerio et al., 2004), mientras el tercero permite la generación de grupos homogéneos. Las técnicas multivariadas como el análisis de componentes principales (ACP), reduce las dimensiones de las tablas de contingencia y genera una representación gráfica de las tablas, además que las categorías similares de diferentes variables aparecen más cercanas, permitiendo detectar los factores o dimensiones que mejor caracterizan los agroecosistemas, de esta manera los individuos se pueden agrupar en grupos homogéneos mientras los grupos son heterogéneos. De otro lado la medición de distancias genera dendrogramas que muestran similitud o disimilitud entre grupos definidos (Rodriguez-Polanco et al., 2022).
En el departamento del Caquetá la ganadería bovina es una actividad económica de gran importancia, genera el mayor desarrollo socioeconómico frente a las demás actividades productivas, al igual que un alto impacto ambiental (Fajardo et al., 2014). Caquetá tiene un total de 20.267 agroecosistemas ganaderos que albergan una población bovina de 2.144.406 cabezas, de las cuales 668.475 son hembras en etapa productiva (ICA - Instituto Colombiano Agropecuario, 2024), de éstas se obtiene una producción diaria superior a 1.873.482 kg de leche por día, consolidando al departamento como la tercera cuenca lechera más importante de Colombia (Motta-Delgado et al., 2020).
Varios estudios para la caracterización de agroecosistemas ganaderos y generación de línea base han sido desarrollados en el departamento del Caquetá por Garcia et al., 2002; Gutiérrez et al., 2019; Motta-Delgado y Ocaña-Martínez, 2018; Ocaña-Martínez, 2010; y Pallares-Villegas, 2014, sin embargo, solo un estudio focalizado en el municipio de Florencia ha caracterizado y evaluado la adopción de sistemas agroforestales como propuesta de manejo sostenible de los suelos (Ramírez et al., 2012). En este contexto, el objetivo del presente artículo es caracterizar y tipificar cambios en agroecosistemas ganaderos que han implementado prácticas de producción sostenible en el departamento del Caquetá desde el año 2014 hasta 2019 para generar un insumo que oriente decisiones informadas para futura intervenciones en la región.
Área de estudio
La investigación se desarrolló en nueve municipios del departamento del Caquetá, ubicado al sur de Colombia y al noroeste de la Amazonia colombiana, entre los 00°42’17” de latitud sur y 02°04´13” de latitud norte, y los 74°18´39” y 79°19´35” de longitud oeste de Greenwich, tiene una extensión 88.965 km2 y está divido administrativamente en 16 municipios (Motta-Delgado et al., 2019a); los municipios incluidos en el estudio fueron: Albania, Cartagena del Chairá, El Doncello, El Paujil, La Montañita, Milán, Puerto Rico, San José del Fragua y San Vicente del Caguán (Figura 1), los cuáles acumulan 16.119 agroecosistemas ganaderos que sostienen una población bovina de 1.835.230 semovientes, representando el 85,56% del inventario bovino del departamento.

El departamento del Caquetá tiene tres pisos térmicos: frio, templado y cálido; en el clima cálido que cubre la mayor área del departamento se ubican los agroecosistemas estudiados, la precipitación promedio es de 3800 mm por año, sin estación seca bien definida (sin embargo, las precipitaciones más bajas se registran entre diciembre y enero y las mayores entre marzo a noviembre), el índice de erosividad (EI30) multianual es de 2750 tm/cm/ha/h valor tres veces mayor a las otras regiones del país, la humedad relativa es superior al 80%, con fluctuaciones entre 64 a 93%, temperatura en un rango entre 18 a 36 °C con promedio anual de 25 °C característico de un régimen isohipertérmico; la evapotranspiración potencial es de 1435 L/m2/año, la radiación solar promedio es de 1800 hora/año y la intensidad de 268 cal/m2/día (Motta-Delgado y Ocaña-Martínez, 2018); el clima del área de estudio es característico de una zona de vida de bosque húmedo tropical (BhT) según la clasificación de Holdridge.
Tamaño de la muestra
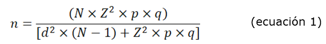
El tamaño de la muestra se estableció mediante un diseño muestral aleatorio simple sin reemplazo, considerando las recomendaciones de Aguilar-Barojas (2005), en investigaciones de tipo cualitativo para determinar para el tamaño muestral a partir de una población conocida como se muestra en la ecuación 1.

Donde, n= tamaño de la muestra, N= tamaño de la población (16.119 agroecosistemas ganaderos), Z = nivel de confianza (p<0,05), p= probabilidad de éxito (0,5), q = probabilidad de error (0,5) y d= precisión (máximo error permitido en términos de estimación del 5%), de esta manera se estimó un tamaño mínimo de muestras de 375 agroecosistemas a analizar.
Selección de los agroecosistemas
Los agroecosistemas ganaderos fueron seleccionados de la base de datos del proyecto implementación y validación de modelos alternativos de producción ganadera en el departamento del Caquetá, tomando una muestra de 376 agroecosistemas dedicados a la producción bovina de doble propósito, distribuidos en los nueve municipios del departamento del Caquetá en donde se desarrolló el proyecto y en donde se establecieron prácticas de producción bovina sostenible durante el mismo, para la inclusión de los agroecosistemas fueron considerados los criterios propuestos por Yamamoto et al. (2007), empleados por (Motta-Delgado y Ocaña-Martínez, 2018), pero modificados para la presente investigación: a) tamaño de los agroecosistemas menores a 506 hectáreas y b) disponibilidad para participar.
Recopilación de información
Teniendo en cuenta el marco general de la sostenibilidad SAFE (Sustainability Assessment of Farming and the Environment Framework – por sus siglas en Inglés) donde se puede medir tanto la estabilidad como armonía social, económica y ecológica de los agroecosistemas (Motta-Delgado et al., 2019b), la información fue recopilada a través de una encuesta semiestructurada con 77 variables de medición que abarcó las dimensiones ambiental (43%), social (28%) y productiva (29%), la cual fue aplicada entre mayo a julio de 2019, se desarrolló mediante diagnóstico participativo al productor y su familia siguiendo las recomendaciones de los métodos mixtos de aproximación a productores rurales desarrollado por Mwongera et al. (2017), la cual permitió recabar información sobre las características biofísicas y ambientales, aspectos sociales y aspectos productivos o económicos de los agroecosistemas ganaderos como se detalla a continuación. La comparación del cambio de valores en algunas variables se realizó con información de línea base de los mismos agroecosistemas recabada en el año 2014 y se comparó con los valores recopilados de los datos del año 2019, donde los porcentajes de incremento se obtuvieron dividiendo el valor final del valor inicial y multiplicado por 100.
En la dimensión ambiental las variables analizadas se incluyeron en indicadores como: a) usos del suelo evaluando los siguientes aspectos: extensión del agroecosistema, área en pasturas, área en sistemas silvopastoriles, área en bosques, área de bosques riparios, área de bancos forrajeros, área de cultivos agrícolas; B) fuentes de agua: número de fuentes o cuerpos de agua como ríos, quebradas, nacimientos, represas, humedales; C) modelos de reconversión ganadera: área de pasturas desnudas reconvertidas a sistemas silvopastoriles (SSP), número de árboles sembrados, área en SSP sembrada, área en SSP por sucesión vegetal, número de divisiones de praderas antes y después del proyecto, longitud (m) de la red hídrica para el ganado, longitud (m) en caminos adecuados para los bovinos, y área de cada pradera; d) manejo de residuos sólidos del agroecosistema: se botan en cualquier lugar, se queman, se entierran, entrega a empresa servicios públicos e) manejo del estiércol: se bota en cualquier lugar, se procesa en abono orgánico, se aplica fresco a cultivos o praderas, f) manejo de agroquímicos: se realiza triple enjuague o se perfora el recipiente del agroquímico.
En la dimensión social fueron considerados indicadores como la a) seguridad social si estaba afiliado a algún régimen de salud; b) adopción de los SSP por la comunidad vecina mediante el número de vecinos que han adoptado el modelo de reconversión, número de productores que han visitado el agroecosistema y el número de personas que han mostrado interés por el proyecto; c) seguridad alimentaria (cultivos anuales como yuca y/o plátano, huerta casera, gallinas ponedoras, aves de corral, peces y si produce algún producto aparte de la leche para autoconsumo); d) integración generacional caracterizando edad del ganadero, si los hijos estudian carreras agropecuarias, y si cree que la familia continuará con la actividad ganadera, se evaluó el manejo de medicamentos veterinarios indagando el conocimiento sobre los perjuicios de las trazas a la salud del consumidor, el respeto de tiempos de retiro de medicamentos, el uso de dosis adecuadas y si los medicamentos aplicados eran recetados por un médico veterinario.
En la dimensión económica/productiva fueron tenidos en cuenta los siguientes indicadores: a) distribución del hato ganadero: total bovinos, vacas en producción, crías hembras y machos, vacas secas, novillas de levante, novillas de vientre, toros; b) producción de carne: número de animales en ceba, carga animal por hectárea, c) producción de leche: leche/agroecosistema/día, leche agroecosistemas al inicio (2014) y al final del proyecto (2019), incremento en la producción de leche y porcentaje de vacas en ordeño; d) comercialización de productos del agroecosistema: presentación para la venta de leche y tipo de comprador del producto.
Análisis de la información
La información fue tabulada en una hoja de cálculo y posteriormente se realizó el procedimiento propuesto por Valerio et al., (2004), para la caracterización y tipificación de agroecosistemas ganaderos; para la caracterización fueron seleccionadas variables cuantitativas, empleando estadística descriptiva que permite determinar las variables con un coeficiente de variación superior al 70%, a las cuáles se les realizó tabla de correlación, eliminando una de las variables con coeficientes de correlación superior al 65%.
Posteriormente, para la tipificación se empleó estadística multivariada empleando la metodología abordada por Carrillo et al. (2011) y Motta-Delgado y Ocaña-Martínez (2018), empleando análisis de correspondencias múltiples (ACM) para variables nominales y análisis de componentes principales (ACP) para variables cardinales, así mismo se utilizó la metodología de conglomerados para la tipificación de los agroecosistemas empleando las variables cardinales, clasificando por cada municipio evaluado mediante el método de Ward y distancia euclídea al cuadrado, y generación de tres grupos diferenciados a un nivel de corte del 50%. El análisis de datos nominales o categóricos según Molina-Romero et al. (2020), es un análisis que no sólo es aplicado a una sola tabla de contingencia, sino a una tabla disyuntiva completa en la que una variable categórica asigna a cada individuo o caso de una población una modalidad en la que particiona de manera disyuntiva y exhaustiva, a los individuos de una población.
Para el análisis multivariado de datos cardinales se siguieron las recomendaciones de Alvarez et al. (2018); Cleves-Leguizamo (2020) y Rivera-Clavijo (2017), pero modificada para para el presente análisis con la inclusión de análisis multivariado de la varianza; el análisis de componentes principales (ACP), permitió reducir cada conjunto de datos a unas pocas variables sintéticas, es decir, los primeros componentes principales que retenían más del 70% de la varianza acumulada de los datos, posteriormente, se realizó una agrupación jerárquica por aglomeración utilizando el método de varianza mínima de Ward, que se aplicó a los resultados del ACP para identificar los grupos; el método de Ward para determinar la distancia euclidiana minimiza la variación dentro de los conglomerados (maximiza la homogeneidad entre grupos) al comparar dos conglomerados utilizando la suma de cuadrados entre los dos conglomerados, sumados sobre todas las variables; el número de conglomerados es decir los tipos de agroecosistemas, se definió utilizando las recomendaciones de Alvarez et al. (2018) y Espinosa-García et al. (2018), empleando el gráfico del dendrograma mediante el método de Ward y distancia euclídea al cuadrado a partir del índice de similitud (altura de corte al 50%) y posteriormente, los grupos definidos fueron interpretados considerando los resultados del ACP y ACM.
Finalmente, se aplicó análisis multivariado de la varianza (ANAVAM) por el método de Hotelling con nivel corregido por Bonferroni a un nivel de significación del 95%, donde las categorías de clasificación fueron los conglomerados generados en el paso anterior; el análisis estadístico se desarrolló en el paquete estadístico Infostat® versión 2017 (Di Rienzo et al., 2017).
Fueron recopiladas y analizadas 77 variables, de las cuales 42 fueron cuantitativas (ordinales) y 35 cualitativas (nominales). Realizado el procedimiento de depuración de variables ordinales se identificó 34 con coeficiente de variación mayor al 70% (tabla 1) y luego por análisis de correlación fueron seleccionadas 16 variables; en términos generales en el departamento del Caquetá los agroecosistemas ganaderos tienen un área promedio de 68,68 hectáreas, con un alto coeficiente de variación (80%), donde se pueden encontrar extensiones desde 1,25 hectáreas hasta 506 hectáreas, sin embargo, alrededor del 70% de los agroecosistemas se distribuyen en la curva de distribución normal entre 13,57 a 123,79 hectáreas; además el área en pasturas desnudas representa cerca del 59% del agroecosistema más un área aproximada del 17% en sistemas silvopastoriles, lo que equivale que cerca del 76% de los agroecosistemas ganaderos están destinados al pastoreo de los semovientes bovinos, de igual manera el área en conservación (bosques primarios, secundarios y riparios) representa aproximadamente el 22% de los agroecosistemas, mientras que el área agrícola solo equivale al 2% del terreno, lo cual indica una alta inclinación a la producción ganadera y tendencia positiva a la conservación de bosques.

Respecto al componente animal, los agroecosistemas ganaderos tienen un promedio de 85 semovientes bovinos, de los cuáles alrededor de 18 son vacas de ordeño, 10 vacas en periodo seco, 15 animales de levante y vientre, y una proporción de 22 vacas por toro, con una capacidad de carga de 1,01 unidades gran ganado por hectárea, una productividad de leche por vaca de 3,77 litros por día pero llegando en algunos casos a 12,5 litros, con una producción de alrededor de 70 litros de leche al día por agroecosistema, que representa un incremento de la producción de leche del 35% con la implementación de prácticas sostenibles de producción como sistemas silvopastoriles, evidenciando que para el periodo de análisis cerca al 25% de las pasturas desnudas fueron convertidas a sistemas silvopastoriles, además de un incremento del 178% en la división de praderas, lo cual corrobora que existe una disposición adecuada a la implementación de prácticas sostenibles para la producción ganadera en el departamento.
Considerando el tamaño del inventario bovino por cada agroecosistema, esta cifra concuerda con Torrijos (2022), quien reporta que el 68,3% de los agroecosistemas ganaderos en el departamento del Caquetá tienen menos de 100 bovinos, del igual forma, de acuerdo con Motta-Delgado y Ocaña-Martínez (2018), pueden ser considerados como medianos productores por tener más de 80 semovientes, no obstante, respecto al promedio del área de los agroecosistemas cumplen el requisito de ser clasificadas como unidades agrícolas familiares (UAF) o de agricultura familiar, más aún, si se considera que por producir menos de 100 litros de leche al día son pequeños productores, por lo tanto, es pertinente clasificarlos como agroecosistemas ganaderos de agricultura familiar.
En el análisis de correspondencias múltiples (figura 2) se puede apreciar una discriminación y categorización entre los municipios, donde los agroecosistemas de Cartagena del Chairá y San Vicente del Caguán están más relacionados con la producción y venta de queso, así como al desarrollo de lechería y ceba, los residuos sólidos se entierran y queman (RS Ent+quema), además con el estiércol se produce abono (Est Abo) o se destina a cultivos (Est. Cult+Abo). En un segundo grupo se aprecian los agroecosistemas de los municipios de Milán, La Montañita y Albania; en Milán hay más productores que venden la leche fría que era acopiada por Nestlé. La venta de leche jarreada es más común en La Montañita y Albania, además este grupo presenta una menor seguridad alimentaria (SAN No); un tercer grupo conformado por los agroecosistemas de los municipios de El Doncello, El Paujil, Puerto Rico y San José del Fragua están más relacionados con manejo inadecuado de medicamentos veterinarios (MMV No), baja adopción de la prácticas productivas por parte de los vecinos (Vec Adop No), bajo manejo del estiércol (Est sin manejo) o que se lleva fresco a los cultivos (Est frescoCult) y tendencia a menor continuidad de la actividad ganadera (Con Gan No), siendo este último aspecto más evidente en Albania y San José del Fragua.

En los agroecosistemas ganaderos con familias que tienen seguridad social subsidiada (SS Subsid) hay mayor relación con los hijos que estudian una carrera agropecuaria (HcarAgro Si) y son quienes realizan mejor uso o manejo de medicamentos veterinarios (MMV si), así como una mejor seguridad alimentaria a partir de la producción de alimentos para autoconsumo, en este aspecto Albania y Milán tienen el desempeño más bajo. Los agroecosistemas con familias sin seguridad social (Sin SS) tienen alta compatibilidad con el inadecuado manejo de medicamentos veterinarios (MMV No) e inadecuado manejo del estiércol, y son agroecosistemas donde la adopción de prácticas productivas por parte de los vecinos fue baja (Vec adop No), lo cual puede estar influenciado por la deficiencia tanto en acceso a educación como a salud, por lo cual se puede inferir que en procesos de transferencia de tecnologías este tipo de agroecosistemas ganaderos no son los adecuados para liderar o ser demostrativos.
Se evidenció mayor tendencia a la continuidad de la actividad ganadera por parte de miembros del grupo familiar en los municipios de Cartagena del Chairá, La Montañita y San Vicente del Caguán; en todos los municipios no se evidencia diferencia entre los hijos que estudian carreras agropecuarias y los que no, no obstante, se pudo observar que en los agroecosistemas que tienen seguridad social contributiva o paga (SS Contrib) los hijos de la familia no estudian carreras agropecuarias (HcarAgro No), también tienen mejores condiciones de seguridad alimentaria (SAN Si), por otro lado, los agroecosistemas ganaderos que venden la leche sin refrigeración están más relacionados con la venta del producto a la industria láctea regional denominadas quesilleras.
En cuanto a la venta de leche a la industria láctea regional la cual está relacionada con los agroecosistemas ganaderos de la mayoría de los municipios, mientras la venta de leche fría es más común en Milán y La Montañita principalmente a Nestlé, estos datos son concordantes con las cifras del Comité Departamental de Ganaderos del Caquetá, donde se estipula que Nestlé solo acopia el 4% de la leche producida a nivel departamental, mientras la industria láctea regional acopia y transforma el 51% de la producción de leche departamental, equivalente a más de 950.000 litros al día, y el restante 44% equivalente a 837.000 litros son destinados a la producción de queso picado salado a nivel del agroecosistema ganadero (Torrijos, 2022), último dato coincidente con lo identificado en este estudio para los municipios de San Vicente del Caguán y Cartagena del Chairá que tienen mayor relación con la producción de queso y son estos dos municipios en donde se encuentra el 50% del hato bovino departamental.
En el Análisis de Componentes Principales ejecutado para las 16 variables obtenidas luego del proceso de depuración empleado, se generaron dos componentes principales que explican el 71,2% de la variabilidad total de las observaciones, este presentó una correlación cofenética de 0,941; se puede apreciar una clara segregación entre los municipios de San Vicente del Caguán y Cartagena del Chairá respecto a los demás analizados, los primeros presentan las mayores áreas de los agroecosistemas, de áreas en bosque, área de sistemas silvopastoriles por sucesión vegetal, la mayor proporción en conservación, mayor número total de animales, de vacas en producción de leche, mayor capacidad de carga, más árboles establecidos y más área reconvertida a sistemas productivos sostenibles, así mismo, son los municipios donde además de producción de leche también se realiza ceba de bovinos, mientras que en los demás municipios destacando Milán y la Montañita se presentó mayor proporción del área reconvertida con sistemas silvopastoriles y división de pasturas, así como los agroecosistemas con las mayores áreas sembradas en sistemas silvopastoriles, de igual manera, La Montañita, San José del Fragua y Puerto Rico evidenciaron el mayor incremento en praderas y en la producción de leche respecto al inicio del proyecto. El Paujil, San José del Fragua, El Doncello y Albania son los municipios que presentaron mayor proporción de área agrícola, y El Doncello, Albania y San Vicente del Caguán presentaron la mayor proporción de pasturas en los municipios analizados (figura 3).

Los dos componentes principales obtenidos explican el 71,2% de la variación existente, valor aceptable considerando que para las áreas de ciencias sociales se considera a partir del 60% de la varianza total (Vélez et al., 2016), siendo un valor similar al obtenido por Espinosa-García et al. (2018) y superior a los reportados por Rivera-Clavijo en 2017 y Vélez et al., en 2016.
Mediante análisis de conglomerados fueron encontrados tres grupos bien definidos con significación estadística (p<0,0001), grupo 1: Albania, El Doncello, San José y Puerto Rico, grupo 2: Cartagena y San Vicente, y grupo 3: Milán, La Montañita y El Paujil (figura 4).

Según el análisis de la varianza multivariado, se encontró diferencia estadística significativa (Lawley-Hotelling p<0,0001), los agroecosistemas ganaderos de mayor extensión corresponden al grupo 2 (Cartagena y San Vicente del Caguán), en este grupo los agroecosistemas tienen el mayor porcentaje de área conservada o en bosque, el mayor número de vacas en producción, y por tanto, la producción de leche por agroecosistema es la más alta, pero la productividad por vaca es la más baja respecto a los otros grupos. El grupo 3 (Milán, Montañita y Paujil) tienen las mayores áreas de sistemas silvopastoriles y mayor porcentaje de reconversión productiva siendo el doble que el grupo 2, además de mayor incremento en división de praderas, mayor capacidad de carga y mayores incrementos en la producción de leche. El grupo 1 tiene la mayor proporción de área agrícola, el mayor número de fuentes hídricas, la mayor longitud de acueducto ganadero y la mayor productividad de leche por vaca respecto a los otros dos grupos. Todos los grupos tienen una adecuada proporción de vacas por toro, siendo bajas en los grupos 1 y 3, así mismo, el porcentaje de vacas en ordeño es bueno, pero no óptimo (75%) (Tabla 2).

Respecto al número de semovientes total, no se observa diferencia para los grupos 3 y 1 que presentan valores similares, mientras que los agroecosistemas del grupo 2 tienen 1,55 veces la cantidad de los otros grupos, lo cual es congruente con el área de los agroecosistemas que también es superior y cercano el doble para el grupo 2. Por otro lado, en un estudio desarrollado en México por Espinosa-García et al., en 2018, para la tipificación de agroecosistemas ganaderos de doble propósito, evidenciaron dos grupos de ganaderos bien diferenciados, no obstante, no se halló diferencia en la edad de los productores la cual fue de 51 y 52 años, edades similares a las encontradas en el presente estudio para los tres grupos identificados, lo cual indica un envejecimiento de los productores que se dedican a laboras de ganadería no sólo en Caquetá sino que se puede inferir que en América Latina.
Según Ramírez (2002), los agroecosistemas ganaderos en la Amazonia colombiana se pueden clasificar en tres grupos de acuerdo con el tamaño: pequeños con menos de 100 hectáreas, intermedios entre 101 a 500 y mayores con más de 500 hectáreas. Los agroecosistemas ganaderos estudiados y vinculados a la implementación de modelos ganaderos alternativos, se caracterizaron por ser menores a las 100 hectáreas de extensión, con un promedio de 85 animales y una producción total de leche inferior a los 100 litros por día, por lo cual se pueden catalogar como agroecosistemas ganaderos de agricultura familiar teniendo en cuenta las consideraciones de Motta-Delgado y Ocaña-Martínez (2018), esto no significa que la agricultura familiar tenga que ser de subsistencia (Organización de las Naciones Unidas para la Alimentación y la Agricultura – FAO & Federación Panamericana de Lechería – FEPALE, 2012).
De acuerdo con la Organización de las Naciones Unidas para la Alimentación y la Agricultura – FAO y la Federación Panamericana de Lechería – FEPALE (2012), en América Latina y el Caribe el sistema denominado de doble propósito está caracterizado por agroecosistemas de pequeño tamaño, con razas no definidas, con bajos niveles de adopción de tecnologías específicas y también una integración débil con los circuitos comerciales más formales, no obstante para el presente estudio los agroecosistemas ganaderos de doble propósito tienen una adecuada adopción de tecnologías como los sistemas silvopastoriles integrados a manejo como el pastoreo racional Voisin mediante división de pasturas, además de estar integrados al mercado formal de la leche ya sea a través de la industria regional o de la megaindustria como Nestlé.
De acuerdo con la Organización de las Naciones Unidas para la Alimentación y la Agricultura – FAO et al., (2018), en los departamentos de Caquetá, Meta, Putumayo y Guaviare correspondientes a la Amazonia, el 70% de las áreas de bosque deforestadas son transformadas a pastos limpios o enmalezados. En este sentido, Gutiérrez et al. (2019), mencionan que respecto a la cobertura de bosques y pastos en el trópico, un área con una cobertura de bosque inferior al 30% es catalogada como una zona de alta intervención, las zonas de mediana intervención tendrán proporciones similares entre bosques y pastos mientras que las zonas con cobertura superior al 70% se considera zona de baja intervención, en este sentido, los agroecosistemas evaluados en las tres tipologías o conglomerados se ubican en zonas de alta intervención. Por otro lado, las pasturas desnudas representan en promedio el 57,97% del área del agroecosistema variando entre el 49 al 63% y los sistemas silvopastoriles el 17,37% variando entre el 11,3 al 26,85%, por tanto, las pasturas (desnudas y arboladas) representan en promedio el 75,34% de los agroecosistemas siendo un valor similar al reportado por Motta-Delgado y Ocaña-Martínez (2018) y Ocaña-Martínez (2010).
Respecto a la capacidad de carga animal se ha encontrado para el municipio de Cartagena del Chairá en agroecosistemas denominados como Ganadería empresarial (GaE) donde las pasturas representan el 50% del área, la carga animal es de 1,0 UA/ha (Gutiérrez et al., 2019), mientras que Motta-Delgado y Ocaña-Martínez (2018), hallaron una carga animal de 0,73 UA/ha en cinco municipios del departamento del Caquetá, así mismo la Federación Colombiana de Ganaderos – FEDEGAN (2018), menciona que la capacidad de carga promedio en Colombia es de 0,62 cabezas por hectárea, siendo valores inferiores a los hallados en el presente estudio, además es evidente que en los agroecosistemas del conglomerado 3 correspondiente a los municipios de El Paujil, Milán y La Montañita el incremento en el número de praderas, es decir, donde se presentó más división y planificación del pastoreo, es el grupo que presenta la mayor capacidad de carga animal para el departamento.
En un estudio que caracterizó la adopción de sistemas agroforestales en el departamento del Caquetá, Ramírez et al. (2012), encontraron que en los agroecosistemas con adopción de sistemas silvopastoriles el área de estas fue de 65 hectáreas, la proporción de bosques del 4,7%, las pasturas el 51%, la capacidad de carga de 0,3 UA por hectárea con una producción de 2,0 litros/vaca/día, siendo valores inferiores a los hallados en el presente estudio, a excepción del área del agroecosistema que fue superior respecto a los grupos 1 y 3; por otro lado, en el contexto de los cambios y desafíos ambientales y socioeconómicos a los que se enfrenta la ganadería y en consecuencia sus sistemas de producción, es indispensable conocer la conformación de éstos y sus limitantes, que permitan el desarrollo una gestión integral en las unidades productivas, donde por ejemplo los agroecosistemas ganaderos con sistemas silvopastoriles se caracterizan por tener una adopción tecnológica más alta, que les permite una mayor capacidad productiva (Solís-Vázquez et al., 2023), siendo coincidente con los hallazgos del presente estudio para la tipología del tercer grupo de agroecosistemas, donde se evidenciaron mayores cambios en incremento de la producción.
Cuéllar (2010), realizó un estudio en el departamento del Vaupés ubicado en la Amazonia Colombiana, quien clasificó como pequeños productores a quienes poseían menos de 20 cabezas de ganado, medianos productores entre 21 y 40 cabezas y grandes productores para poseedores de más de 40 semovientes, estudio que contrasta en gran medida con el aquí presentado, sin embargo, se debe tener en cuenta que el Caquetá es el departamento amazónico con mayor inventario bovino y el quinto departamento a nivel nacional por lo cual las condiciones de producción ganadera entre estos dos departamento amazónicos son diferentes. Además, en la Amazonia la actividad ganadera presenta diferentes escalas, según las cuáles varía su producción, en cuanto mayor es el hato ganadero existe mayor especialización del producto y es mayor la extensión que ocupa la práctica destinada principalmente a la cría y levante del ganado, mientras que la actividad ganadera en pequeña y mediana escala se destina a la producción de lácteos y carne (SINCHI, 2014).
En un estudio de caracterización realizado en la región Amazónica de Ecuador encontraron que 46,7% de los sistemas productivos no cuenta con reemplazo generacional que pueda sustituir cualquier ausencia temporal o total del grupo familiar (Bravo et al., 2015), valor que contrasta con el 14,4% de agroecosistemas ganaderos del presente estudio que manifiesta que no hay miembros de la familia que den continuidad a la actividad ganadera. Otro estudio desarrollado en la Amazonia Ecuatoria evidenció que en agroecosistemas con sistemas silvopastoriles la rentabilidad es superior a los sistemas tradicionales, dado a la mayor productividad de leche de las primeras 6,29 versus 3,72 litros/vaca/día del sistema tradicional (Ochoa y Valerazo, 2014), lo cual se explica por una mayor especialización en la producción de leche, en tal sentido, la incorporación de tecnologías sostenibles contribuye al mejoramiento del manejo de praderas, la división de las mismas y por tanto al incremento en la producción de leche y carne, como se evidenció en el presente estudio donde hubo un incremento del 43,7% de la productividad de leche con respecto al inicio del proyecto, lo cual se ratifica con lo descrito por Solís-Vázquez et al. 2023, quienes señalan que aunque los productores pertenezcan a una misma zona, no cuentan con las mismas circunstancias sociales, económicas y tecnológicas para el desarrollo de actividades agropecuarias y por lo tanto su caracterización permite la proyección de políticas públicas contextualizadas.
Por otro lado, como lo proponen Alvarez et al. (2018), es necesario involucrar a las partes interesadas a nivel local para hacer que las tipologías sean más significativas y utilizadas, y no solo una herramienta más de investigación que no se suele emplear, por lo tanto, se deben involucrar iterativamente a los actores locales y guiarse por una hipótesis (percepciones o teoría) sobre las características y criterios para diferenciar los agroecosistemas en análisis. De igual forma, Vargas-Leitón et al. (2013), sugieren que las tipologías pueden servir de base para dirigir políticas de extensión rural, tanto del sector público como privado, al identificar las principales limitaciones que enfrentan los sistemas de producción pertenecientes a cada grupo o tipología identificados. De acuerdo con Arrieta-González et al. (2022), la caracterización tecnológica del agroecosistema ganadero ha permitido identificar las áreas tecnológicas que mayor atención requieren y a su vez la delimitación de estrategias para el desarrollo agrícola y ganadero; además, Alonso-Vásquez et al. (2020), refieren que a partir de las insuficiencias detectadas en las diferentes unidades, es posible revisar o reelaborar las estrategias de desarrollo, para así promover sistemas de producción pecuarios eficientes, capaces de elevar sus niveles productivos En este sentido, al identificarse tres tipos de agroecosistemas ganaderos de doble propósito en Caquetá con adopción de prácticas de producción sostenible, es posible desarrollar estrategias de intervención acordes a las características de cada tipología y permitir una reconversión ganadera pertinente a las condiciones y realidades identificadas en el territorio de los nueve municipios del departamento del Caquetá.
La caracterización de los agroecosistemas ganaderos en el departamento del Caquetá permitió identificar que en general se pueden clasificar como de agricultura familiar y campesina, con área promedio de 68 hectáreas destinadas principalmente a la cobertura de pasturas (59% pasturas desnudas y 17% en sistemas silvopastoriles), con moderada cobertura boscosa que representan el 22% del total, e insignificantes áreas agrícolas (menor al 2%), las pasturas soportan hasta 85 semovientes bovinos, con una capacidad de carga de 1,01 unidades animales por hectárea, tienen 18 vacas en ordeño, con una productividad de 3,77 litros por vaca por día y producción de 69 litros de leche por día por agroecosistema, con evidencia positiva a la implementación de prácticas sostenibles como la implementación de sistemas silvopastoriles y división de pasturas.
En cuanto a la tipificación fueron identificados tres grupos homogéneos: en el primero se ubican agroecosistemas ganaderos con implementación intermedia de prácticas sostenibles y mayor área agrícola, el segundo grupo corresponde a agroecosistemas de mayor área, menor adopción tanto de prácticas sostenibles e intensificación productiva e inclinación a la producción de queso picado salado, y el tercer grupo agroecosistemas de mayor reconversión productiva y adopción de prácticas sostenibles; el grupo uno correspondiente a los municipios de Puerto Rico, San José del Fragua, El Doncello y Albania, tienen la mayor proporción de pasturas y de área agrícola, la menor área de conservación, la mayor productividad de leche por vaca, y tendencia intermedia a implementar prácticas sostenibles, y menor posibilidad de continuación de la actividad ganadera por parte de los hijos; el segundo grupo corresponde a los agroecosistemas ubicados en los municipios de Cartagena del Chairá y San Vicente del Caguán, presentan la mayores áreas tanto predial como en conservación, el mayor número total de bovinos y de vacas en producción de leche, con inclinación a la producción de queso picado salado y la ceba, menor afinidad de adopción de prácticas sostenibles por parte de los vecinos, menor proporción de sistemas silvopastoriles pero mayor tendencia al establecimiento de estos por sucesión vegetal y evidencia de continuidad de la actividad ganadera por los hijos; mientras que el grupo tres corresponde a los agroecosistemas de los municipios de El Paujil, La Montañita y Milán con mayor reconversión por sistemas silvopastoriles por siembra, mayor incremento de praderas y del incremento de la producción de leche, y la más alta adopción de prácticas sostenibles por parte de los vecinos.
Finalmente, el incremento del número praderas y del área en sistemas silvopastoriles tiene alto impacto sobre el incremento en la producción y productividad de leche, por lo cual los programas o proyectos de reconversión productiva deberían considerar tanto la implementación de sistemas silvopastoriles como la división de praderas.
CÓMO CITAR: Rojas-Vargas, E., Osorio, L., Herrera, W. y Motta-Delgado, P. (2025). Caracterización y tipificación de agroecosistemas ganaderos con prácticas de producción sostenible en Caquetá, Amazonia Colombiana. Revista de Investigación Agraria y Ambiental, 16(2), 169 - 193. https://doi.org/10.22490/21456453.8302
CONTRIBUCIÓN DE LA AUTORÍA: Primer autor: diseño herramientas de muestreo (metodología), recopilación de datos en campo, investigación, redacción del borrador preliminar, aprobación de la versión final. Segundo autor: recopilación de datos en campo, investigación, escritura, revisión, edición y aprobación de versión final. Tercer autor: Administrador del proyecto, aporte de ideas para orientar la investigación, análisis estadístico e interpretación de los datos, aporte a redacción de la discusión, revisión y edición de la versión final. Cuarto autor: supervisión de la ejecución de la investigación, recopilación de datos en campo, diseño del análisis estadístico, análisis de datos, escritura, revisión, edición y aprobación de la versión final del manuscrito.
CONFLICTO DE INTERESES: Los autores declaran no tener ningún conflicto de intereses.
https://hemeroteca.unad.edu.co/index.php/riaa/issue/archive (html)
https://hemeroteca.unad.edu.co/index.php/riaa/issue/archive (pdf)
Los autores agradecen el apoyo para el desarrollo de esta investigación a la gobernación del Caquetá como ejecutor y a Misión Verde Amazonia como operador del proyecto Implementación y validación de modelos alternativos de producción ganadera en el departamento del Caquetá identificado con el código BPIN 2013000100164, financiado con recursos del Fondo de Ciencia, Tecnología e Innovación del Sistema General de Regalías y a los ganaderos vinculados por su disposición a brindar información. Agradecen también a Ricardo Alberto Martínez por sus aportes en la elaboración de herramientas de muestreo y en la revisión del manuscrito, también a los pares evaluadores y los editores por sus comentarios y contribuciones para mejorar este trabajo.








