

Recepción: 03 Junio 2019
Aprobación: 10 Diciembre 2019
Resumen: Con el propósito de conocer el estado de los terrenos aledaños al vertedero de basura del distrito de Santiago de Veraguas, en Panamá, de febrero a octubre de 2003, se tomaron muestras de suelos. Los suelos fueron clasificados, según sus características, en húmedo, herbazal con restos de basura, sabana de chumico, bosques secundarios y pedregoso. Se Realizaron 10 giras (5 en la estación seca y 5 en la estación lluviosa), obteniendo 50 muestras. De estas muestras se pesaron 25g y fueron realizadas diluciones decimales hasta 10-5, las cuales fueron sembradas en diferentes tipos de medios sólidos; para los aislamientos de hongos se utilizó agar sabouraud y para el recuento total se usó agar nutritivo. Los platos Petri fueron incubados a temperatura ambiente durante 4 días, para su posterior conteo. Una porción de suelos del primer muestreo fue enviado al laboratorio del IDIAP, en Divisa, para análisis físico-químicos. Los resultados mostraron que los suelos son ligeramente ácidos; y que, en general, los recuentos de microorganismos fueron más bajos de lo esperado para un suelo fértil. Los resultados de los análisis químicos y microbiológicos indicaron que no existen diferencias significativas entre los lugares muestreados, determinando que los suelos cercanos al vertedero presentan las mismas condiciones.
Palabras clave: tipos de suelos, hongos, bacterias aerobias, pH.
Abstract: In order to know the status of the land surrounding the garbage dump in the district of Santiago de Veraguas in Panama, from February to October 2003, soil samples were taken. The soils were classified according to their characteristics in humid, grassland with trash, chumicosavanna,secondary forestsand stony. There were 10 tours (5 in the dry season and 5 in the rainy season), obtaining 50 samples. 25g of the samples were weighed and decimal dilutions were made up to 10-5, which were sown in different types of solid media; Sabouraud agar was used for fungal isolates, and nutrient agar was used for the total count. The Petri dishes were incubated at room temperature for 4 days, for later counting. A portion of soils from the first sampling was sent to the IDIAP laboratory in Currency for physical-chemical analysis. The results showed that the soils are slightly acidic; and that, in general, microorganism counts were lower than expected for fertile soil. The results of the chemical and microbiological analyzes indicated that there are no significant differences between the sampled sites; determining that the soils near the garbage dump have the same conditions.
Keywords: soils types, fungi, aerobic bacteria, pH.
INTRODUCCIÓN
La contaminación de suelos por disposición inadecuada de desechos orgánicos, derrames accidentales de sustancias y productos, proviene de diversas actividades industriales, y estos cambios casi siempre son perjudiciales (Benavides López de Mesa; MSc et al., 2006; Infante, 2011). La microbiología y química de estos suelos puede afectarse y la relación entre ellas también.
Los microorganismos en los sistemas garantizan la sostenibilidad, contribuyendo a optimizar la calidad y la salud del suelo, limitar el aporte de nutrientes e incrementar los rendimientos. La actividad microbiana de la rizosfera es, en gran medida, responsable del funcionamiento del ecosistema y de la fertilidad de los suelos agrícolas (Bignell et al., 2012; Jaizme-Vega, 2008). La actividad microbiana se desarrolla en función de factores intrínsecos y extrínsecos al sistema suelo, por lo cual constituye un indicador de la dinámica del suelo y de la salud del recurso, pues una buena actividad microbiana puede ser el reflejo de óptimas condiciones físicas y químicas que permitan el desarrollo de los procesos metabólicos de bacterias, hongos, algas y actinomicetos y de su acción sobre los substratos orgánicos (Mora, 2006). En el suelo se puede encontrar una enorme cantidad de organismos diferentes, de tamaño y funciones muy variable. Son fundamentales para el desarrollo de la vida en el planeta, jugando un papel relevante en la formación y estructuración del suelo y en la movilización de nutrientes (Benintende & Sánchez, 2004; Parra, 2014). El papel más importante de los microorganismos del suelo es su función como agentes químicos para la mineralización del carbono orgánico, nitrógeno, azufre, fósforo y otros compuestos que son esenciales.
Las comunidades microbianas se relacionan de varios modos y tales interacciones pueden ser beneficiosas o perjudiciales. En muchos casos, las poblaciones interaccionan y cooperan en sus funciones nutricionales con los productos de desecho, derivados de las actividades metabólicas de algunas células sirviendo como nutrientes para otras. En un ambiente no contaminado, las bacterias, los hongos, los protistas, y otros microorganismos heterotróficos degradan constantemente la materia orgánica disponible, para obtener energía. En los suelos tropicales en los que la actividad humana ha sido muy agresiva se presenta un bajo contenido de materia orgánica, por lo que el objetivo para mejorarlos es el de la conservación de la materia orgánica que es esencial para la productividad de los suelos tropicales (Cortón & Viale, 2006; Moreira, Huising, & Bignell, 2012). La calidad y cantidad de materia orgánica que se aporta periódicamente al suelo incide en el desarrollo y actividad microbiológica del suelo, ya que la materia orgánica es el principal aporte de energía y de carbono que tienen los microorganismos (Varnero, 2010). Esto, en un ambiente normal, pero cuando se agregan sustancias contaminantes se afectan las poblaciones microbianas.
La densidad bacteriana promedio de un suelo oscila entre 106 y 109 células por gramo de suelo, lo que representa una biomasa bacteriana promedio de 2.500 kg/ha. En suelos áridos y semiáridos, la densidad bacteriana no pasa de 103 a 104 células por gramo de suelo en los primeros 20 cm. En general, se estima que la biomasa bacteriana es inferior a la biomasa fúngica, pero la densidad de las bacterias es alrededor de cien veces más elevada que la de los hongos (Varnero, 2010). Los suelos en la región central de Panamá se ven afectados por la deforestación y su uso en la ganadería, la cual causa un deterioro rápido de la calidad del suelo. Para determinar este deterioro se pueden hacer análisis físicos, químicos y microbiológicos. La cantidad de minerales, de materia orgánica y los distintos tipos de microorganismos dan una medida de la situación de la calidad del suelo (Zapata Martínez, Sánchez dePrager, & Massae Asakawa, 2003).
Una actividad que provoca daños de los suelos es su uso como vertederos; esta es una de las prácticas más habituales para la eliminación de los residuos generados como consecuencia de la actividad doméstica y comercial de ciudades y pueblos. Entre los desechos que se acumulan en estos figuran, tanto residuos domésticos como residuos industriales, que dan lugar a la acumulación, tanto en el suelo como en las aguas subterráneas, de compuestos nocivos (Infante, 2011; Pérez-Leblic et al., 2010).
El propósito de este trabajo fue el de determinar la calidad microbiológica y algunos aspectos físico-químicos de los suelos en las inmediaciones del vertedero de Santiago, ubicado en El Espino, Veraguas. Un sitio que ha sido utilizado como vertedero por muchos años, por parte de la ciudad de Santiago y poblaciones aledañas.
MATERIALES Y MÉTODOS
Este estudio se realizó en los terrenos de restauración forestal aledaños al vertedero de El Espino, el cual se encuentra ubicado en el distrito de Santiago, provincia de Veraguas, Panamá. Presenta una zona de vida según Holfdridge, bosque húmedo tropical, situándose entre las coordenadas geográficas 8°10, 59” y 8° 11, 27” latitud norte y 80° 59, 16” y 80° 59, 25” longitud occidental.
El clima de la región se caracteriza por presentar dos estaciones bien definidas; una seca con poca lluvia y otra lluviosa. La mayor precipitación es en octubre.
Los muestreos fueron realizados periódicamente desde febrero hasta octubre de 2003. Estos abarcaron un total de 10 giras (cinco en la estación seca y cinco en la estación lluviosa). El área muestreada fue dividida en cinco sectores que presentaban características diferentes, en cuanto a vegetación. Estos sectores se catalogaron como: húmedo, herbazal con restos de basura, bosque secundario, sabana de chumico y pedregoso.
Las muestras se recolectaron, con la ayuda de palas de jardinería debidamente esterilizadas, de la superficie de los suelos antes señalados hasta una profundidad de 10 cm. Cada muestra fue depositada en bolsas plásticas estériles etiquetadas por sitio y fecha de colecta. Estas se transportaron al laboratorio de microbiología del Centro Regional Universitario de Veraguas (CRUV). Parte de la primera colecta fue enviada al Instituto de Investigaciones Agropecuarias de Panamá (IDIAP) para su análisis y así comparar la calidad físico-química de los sitios.
Para el análisis microbiológico, de las muestras obtenidas en cada gira fueron pesados 25g de cada tipo de suelo directamente en bolsas plásticas estériles, luego se hizo una disolución con 225ml de agua peptonada estéril. De la disolución madre, se hicieron diluciones decimales seriadas hasta 105, para luego realizar el recuento total de aerobios, hongos y levaduras en platos Petri, con su respectivo medio de cultivo. A la dilución madre se le medía el pH con un pHmetro Cole Parmer, modelo 60714. Para hongos se utilizó el agar Sabouraud, y para el recuento total se usó agar nutritivo. Cada plato fue incubado de 2 a 4 días a temperatura ambiente (25 – 32 °C).
Para el análisis estadístico de los datos se utilizó el programa SPSS 20, con el que se aplicó un análisis de varianza a los datos.
RESULTADOS
Las muestras enviadas al IDIAP fueron analizadas químicamente. Estos análisis registraron valores bajos de fósforo, potasio, magnesio, aluminio y cobre (cuadro 1).

Los recuentos de hongos y levaduras, recuento total y del pH que se realizaron en el laboratorio de microbiología fueron analizados para determinar si eran semejantes en los diferentes sitios de muestreo. El análisis de normalidad de Kolmogorov-Smirnov determinó que los datos podían ser analizados paramétricamente.
Se comparó la concentración de hongos en la estación seca entre los diferentes tipos de suelos propuestos (Figura 1). La media de estos recuentos en la época seca fue de 258800 UFC / g de suelo para el sector denominado húmedo, 103400 para el herbazal, 128000 para la sabana de chumico, 3819400 para el bosque secundario y 148400 para el sector pedregoso. Estos resultados fueron analizados por un análisis de varianza que demostró una similitud en todos los sitios (P= 0.201).

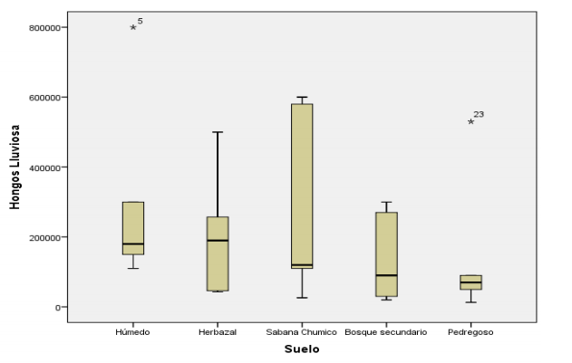
Los hongos en la época lluviosa tuvieron una media de 308000 UFC/g para el sector húmedo, 308000 para el herbazal, 207200 para la sabana de chumico, 287200 para el bosque secundario y 142000 para el sitio pedregoso. La distribución de los datos en cada sitio presentó, en apariencia, mayor cantidad que en la época seca (Figura 2), pero tampoco se determinó diferencia significativa entre los tipos de suelos (P = 0.690).

El recuento total de microorganismos en la época seca presentó medias de 490400 UFC/g para el sector húmedo, 615600 para el herbazal, 1015800 para la sabana de chumico,10513200 para el bosque secundario y 1634400 para el sitio pedregoso (Figura 3). Tampoco se detectó diferencia significativa entre los sectores analizados (P = 0.102).

En la época lluviosa las medias de los recuentos totales fueron de 15525600 UFC / g para el sector húmedo, 5425600 para el herbazal, 1822370 para la sabana de chumico, 3639200 para el bosque secundario y 584680 para el sitio pedregoso (Figura 4). En época de lluvia no se demostró una diferencia significativa entre los sitios (P = 0.570).

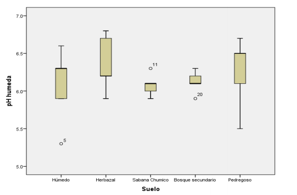
Los valores medios para el pH en la época seca fueron de 6.3 para el sector húmedo, 6.4 para el herbazal, 5.9 para la sabana de chumico, 6.3 para el bosque secundario y 5.8 para el sitio pedregoso (Figura 5). No hubo diferencias de pH entre los sitios en esta época (P = 0.417).

Las medias del pH para la época lluviosa fueron de 6.1 para el sector húmedo, 6.4 para el herbazal, 6.1 para la sabana de chumico, 6.1 para el bosque secundario y 6.3 para el sitio pedregoso (Figura 6). Tampoco se determinó diferencia significativa entre los sitios en la época lluviosa (P = 0.677).
Los resultados de hongos, recuento total y pH de los diferentes sitios fueron agrupados para distinguir si había diferencias entre las épocas del año, obteniendo dos grupos: época seca y época lluviosa, los cuales fueron comparados con una t de student. No se observó diferencias significativas entre las épocas seca y lluviosa para los recuentos de hongos (P = 0.278), recuentos totales (P = 0.471), y los valores de pH (P = 0.837).

DISCUSIÓN
Según los resultados de los análisis químicos realizados por el IDIAP, los suelos muestreados son pobres en los niveles de magnesio y fósforo, que son los elementos esenciales para la óptima productividad vegetal, igualmente el sondeo muestra que estos suelos presentan niveles de pH ácidos, específicamente en el sitio de suelo pedregoso, lo que no favorece el crecimiento microbiano y vegetal. Los resultados de pH observados, muestran que tanto en la estación seca como en la estación lluviosa, se mantiene un nivel de acidez para las cinco zonas muestreadas, lo que muestra un ambiente apto para la proliferación de hongos, sobre otros tipos de microorganismos.
Según Estrada et al., (2017), los valores mínimos para los suelos de calcio son 8 ppm, para fósforo 8 ppm, para magnesio 2 ppm y para potasio 0.2 ppm. Los valores detectados en las muestras de suelo en cuanto a calcio fueron muy bajos, de 0.33 a 0.62 ppm. Para el fósforo se observó un nivel muy alto en el área denominada herbazal (38 ppm) y niveles bajos, de 5 a 10 ppm en los otros cuatro sitios. Los valores de magnesio también fueron bajos, de 0.16 a 0.37 ppm. En el caso del potasio los niveles fueron superiores a lo esperado, estuvieron entre 3.9 y 110 ppm. Estos valores indican que la actividad humana ha afectado negativamente estos suelos.
El conteo de hongos, recuento total y los valores de pH fueron similares en todos los sitios de muestreo (P > 0.05), lo que indica que los cambios sufridos por este ecosistema han alterado de forma similar los suelos.
Para los recuentos totales, valor que da una idea de la cantidad total de microorganismos presentes, se observan cantidades que están en el límite de un suelo fértil, 106 UFC/g. Esto fue así para la mayoría de los tipos de suelos estudiados, con excepción del suelo caracterizado con el nombre de pedregoso que presentó un valor medio de 105 UFC/g. Para Varnero (2010), esta clasificación en cuanto a contenido microbiano, indica que estos suelen tienen un deterioro considerable, debido a las actividades que se han dado en ellos por años. El caso del suelo denominado pedregoso puede deberse a una mayor pendiente y menor protección de vegetación que presentaba en esas fechas.
En general, los recuentos de microorganismos fueron más bajos de lo esperado para un suelo fértil. La falta de estas concentraciones de microorganismos es fundamental para la salud de un suelo, ya que estos organismos, especialmente los hongos, favorecen una buena estructura pues estabilizan los agregados envolviéndoles con sus redes de micelios y evitando que sean arrastrados por el agua de lluvia u otros agentes responsables de la erosión (Parra, 2014). Mejorar estas comunidades traería grandes beneficios a estos suelos; y esto se puede conseguir, ya sea por selección directa de plantas, manipulación del crecimiento radical o mediante el manejo de las comunidades microbianas autóctonas y/o inoculaciones específicas para lograr interacciones simbióticas y asociativas eficientes (Pedraza et al., 2010).
CONCLUSIONES
Las concentraciones de elementos químicos analizados determinan alteraciones negativas para la calidad de los suelos estudiados. Las concentraciones de calcio, fósforo, magnesio fueron mucho menores de lo esperado. Las concentraciones de potasio muy altas.
Los recuentos de los microorganismos totales y de los hongos fueron inferiores a lo esperado para un suelo fértil y son un indicativo de que estos terrenos se encuentran permanentemente alterados, ya que no se encontró diferencias en los recuentos en la época seca y la lluviosa.
Los valores de pH fueron más ácidos de lo esperado, lo que también indica una alteración por la acción humana.
Los resultados muestran que los suelos cercanos al vertedero de basura del distrito de Santiago de Veraguas, han sido alterados negativamente por las actividades humanas.
REFERENCIAS
Benavides López de Mesa; MSc, J., Quintero, MSc, G., Guevara Vizcaíno, A. L., Jaimes Cáceres, D. C., Gutiérrez Riaño, S. M., & Miranda García, J. (2006). Bioremediación de suelos contaminados con hidrocarburos derivados del petróleo. Nova, 4(5), 82. https://doi.org/10.22490/24629448.351
Benintende, S., & Sánchez, C. (2004). Microorganismos del suelo. Cátedra de Microbiología Agrícola. FCA-UNER.
Bignell, D., Constantino, R., Csuzdi, C., Karyanto, A., Konaté, S., Louzada, J., … Zanetti, R. (2012). Manual de Biología de suelos tropicales. Macrofauna.
Cortón, E., & Viale, A. (2006). Solucionando grandes problemas ambientales con la ayuda de pequeños amigos: las técnicas de biorremediación. Ecosistemas, 15(3), 148–156. https://doi.org/10.7818/RE.2014.15-3.00
Estrada H, R., Hidalgo M, C., Guzmán P, R., Almaraz, J., Navarro G, H., & Etchevers B, J. D. (2017). Indicadores de calidad de suelo para evaluar su fertilidad. Agrociencia, 51(8), 813– 831.
Infante, C. (2011). Contaminación de suelos y biorremediación en Venezuela. Venesuelos, 11(1– 2), 25–30.
Jaizme-Vega, M. (2008). Integración de microorganismos benéficos (Hongos micorrícicos y bactérias rizosféricas) en agrosistemas de las Islas Canarias. Agroecología.
Mora, J. R. (2006). La actividad microbiana: un indicador integral de la calidad del suelo. Luna Azul.
Moreira, F. M. S., Huising, E. J., & Bignell, D. E. (2012). Manual de biología de suelos tropicales. Muestreo y caracterización de la biodiversidad bajo suelo. Instituto Nacional de Ecología, México. https://doi.org/10.1007/s13398-014-0173-7.2
Parra, A. (2014). Microorganismos del suelo y biofertilización. Crops for Better Soil.
Pedraza, R. O., Teixeira, K. R. S., Scavino, A. F., García De Salamone, I., Baca, B. E., Azcón, R., … Bonilla, R. (2010). Microorganismos que mejoran el crecimiento de las plantas y la calidad de los suelos. Revisión Microorganisms that enhance plant growth and soil quality. Review. Revista Corpoica -Ciencia y Tecnología Agropecuaria.
Pérez-Leblic, M. I., Rodríguez, J., Turmero, A., Hernández, M., Blánquez, A., Pastor, J., & Arias, M. E. (2010). Estudio de la diversidad microbiana en suelos de vertederos de residuos sólidos urbanos. Estudio Multidisciplinar de Vertederos Sellados. Caracterización y Pautas de Recuperación.
Varnero, M. T. (2010). Bacterias en Ambiente Terrestre. Diverisas de Especies.
Zapata Martínez, C. F., Sánchez dePrager, M., & Massae Asakawa, N. (2003). Indicadores de actividad biológica en suelos con diferentes grados de intervención en el Ecoparque Cerro de la Bandera. Acta Agronómica.
Notas de autor

