

Artículos
Factores que inciden en la intención de adopción de compra para adquirir vehículos eléctricos en cercado Cochabamba
Factors that affect the purchase adoption intention to acquire electric vehicles in cercado Cochabamba
Fatores que incidem na intenção de adoção da compra para aquisição de veículos elétricos no Cercado de Cochabamba
Revista Fundamentos
Universidad Nacional de Río Cuarto, Argentina
ISSN-e: 2545-6318
Periodicidad: Semestral
núm. 2, 2025
Recepción: 08 abril 2025
Aprobación: 21 julio 2025
Autor de correspondencia: rodrigo.ruiz@ucb.edu.bo
Resumen: La adopción de compra de los clientes potenciales a la hora de adquirir vehículos eléctricos está influenciada por factores como el costo, la ansiedad por la autonomía, las preocupaciones ambientales y las políticas gubernamentales. Este estudio tiene por objetivo determinar los factores que inciden en la intención de adopción para la compra de vehículos eléctricos en la ciudad de Cochabamba – Cercado. Se encuestó a un total de 288 elementos en la ciudad de Cochabamba y posteriormente se realizó el análisis de datos obtenidos. Los resultados de la encuesta ayudaron a responder las 9 hipótesis planteadas por el mismo autor, para dicho análisis se aplicó la técnica de modelo de ecuaciones estructurales PLS SEM, mediante el programa SMART PLS. Una vez concluido el análisis de resultados, y tras afirmar las hipótesis, se evidencia que la variable fiabilidad si depende de las variables tiempo de carga, infraestructura y gama. También, se puede observar que la variable actitud depende de las variables reputación social y preocupación ambiental y no así de del precio y de los incentivos.
Palabras clave: Vehículos eléctricos, comportamiento, actitud, adopción.
Abstract: Potential customers' purchasing adoption when purchasing electric vehicles is influenced by factors such as cost, range anxiety, environmental concerns, and government policies. This study aims to determine the factors that influence the adoption intention for the purchase of electric vehicles in the city of Cochabamba – Cercado. A total of 288 elements were surveyed in the city of Cochabamba and subsequently the analysis of the data obtained was carried out. The results of the survey helped to answer the 9 hypotheses raised by the same author. For this analysis, the PLS SEM structural equation modeling technique was applied, using the SMART PLS program. Once the analysis of results is concluded, and after affirming the hypotheses, it is evident that the reliability variable does depend on the variables of charging time, infrastructure and range. It can also be observed that the attitude variable depends on the variables social reputation and environmental concern. and not so much of the price and the incentives.
Keywords: Electric vehicles, behavior, attitude, Adoption.
Resumo: A adoção de veículos elétricos por parte de consumidores potenciais é influenciada por fatores como custo, ansiedade relacionada à autonomia, preocupações ambientais e políticas governamentais. Este estudo tem como objetivo determinar os fatores que influenciam a intenção de adoção para a compra de veículos elétricos na cidade de Cochabamba – Cercado. Foram entrevistados 288 indivíduos na cidade de Cochabamba, e posteriormente foi realizada a análise dos dados obtidos. Os resultados da pesquisa ajudaram a testar as 9 hipóteses propostas pelo autor. Para essa análise, foi aplicada a técnica de modelagem de equações estruturais PLS-SEM, utilizando o software SmartPLS. Uma vez concluída a análise dos resultados e após a confirmação das hipóteses, evidenciou-se que a variável "confiabilidade" depende das variáveis "tempo de carga", "infraestrutura" e "gama" (alcance). Além disso, observa-se que a variável "atitude" depende das variáveis "reputação social" e "preocupação ambiental", mas não depende das variáveis "preço" e "incentivos".
Palavras-chave: Veículos elétricos, comportamento, atitude, adoção.
Introducción
La creciente tendencia de los gobiernos y las industrias hacia la sustentabilidad y la necesidad de reducir las emisiones de gases de efecto invernadero, la dependencia de los combustibles fósiles carbono ha logrado que se tilde a los vehículos eléctricos como hidrogeno verde, cuya tecnología se basa en sistemas fotovoltaicos que requieren de baterías recargables que deben enchufarse a una toma de corriente. Sin embargo, los clientes todavía tienen varias preocupaciones y consideraciones que influyen en sus decisiones de adopción de compra. (Obaya, 2021). Tales preocupaciones pueden resumirse en representativos constructos de investigación que en términos generales abordan la gama limitada de vehículos, fiabilidad, tiempo de carga, altos precios, incentivos del gobierno, conciencia ambiental aspectos que en su conjunto definen las percepciones y actitudes hacia el producto.
Para obtener una comprensión más profunda de los factores que afectan la intención de compra de los vehículos eléctricos, la investigación se basa en la investigación y los conocimientos de los principales expertos en el campo. La discusión contará con contribuciones de autores estimados que han realizado investigaciones sobre este tema, brindando información valiosa sobre los factores que influyen en la adopción de vehículos eléctricos.
La presente investigación pretende plantear un modelo SEM que significa Structural Equation Modeling (Modelado de Ecuaciones Estructurales, en español) que es una técnica estadística utilizada para examinar relaciones complejas entre variables y la obtención del modelado estructural mediante mínimos cuadrados que en su conjunto permitirán tomar decisiones concernientes a los factores que inciden en la intención de adopción de compra para adquirir vehículos eléctricos en Cochabamba – Cercado.
Materiales y Métodos
Antecedentes
Los vehículos eléctricos representan una alternativa tecnológica que permitirá la paulatina transformación del parque automotor de los vehículos convencionales con motor de combustión interna. La tecnología central de los vehículos eléctricos consiste en un motor propulsado mediante una fuente de energía eléctrica que se transforma en energía cinética cuya propulsión comúnmente parte de una batería de litio, lo que ha dado lugar a un mejor rendimiento, una mayor autonomía, una mejor infraestructura de carga y un menor impacto ambiental.
El mercado de los vehículos eléctricos se ve constantemente afectado por la gama limitada de productos que oferta debido a la asociación que existe entre la producción y el avance de la tecnología. Al observar el comportamiento de la demanda se identifican clientes que adquieren el producto por su bajo precio y practicidad para utilizarlo en recorridos cortos de baja exigencia, empero existen otros tipos de clientes que compran un vehículo eléctrico como un bien de lujo y lo requieren para viajes largos, estos últimos lo adquieren a un precio elevado. En términos de oferta se observa que el tema tecnológico conlleva elevados costos de producción que exigen grandes inversiones, esto se asocia a una limitada infraestructura de carga y un mercado saturado.
Otro factor de importancia a considerar es el tiempo de carga que para un cliente significa limitaciones en términos de conveniencia y practicidad debido a que constantemente se enfrentan a situaciones que requieren horarios apretados o viajes largos, estos aspectos son definitivos en la percepción referente a la fiabilidad de los vehículos eléctricos.
Un análisis de entorno referente a las actitudes que asume el consumidor hacia la tecnología automotriz se asocia al precio y la percepción de exclusividad que genera actitudes polarizadas en el cliente ya que cuando dichas percepciones son reales el cliente se siente beneficiado y asume una actitud positiva, caso contrario canaliza sentimientos negativos reflejados en ver a un automóvil eléctrico como un producto de elite y exclusividad cuyo costo no refleja los beneficios esperados.
El gobierno como ente protector ha proporcionado beneficios a los usuarios que optan por tecnologías limpias, tales como estímulos financieros representados por los incentivos monetarios que en general son subsidios directos, extensiones, créditos entre otros. Estos aspectos se traducen en un impacto significativo en la actitud hacia el producto vehículos eléctricos, que permite ver la relación entre un estado que motiva a asumir actitudes beneficiosas para la sociedad y un consumidor responsable.
El gobierno como ente protector ha proporcionado beneficios a los usuarios que optan por tecnologías limpias, tales como estímulos financieros representados por los incentivos monetarios que en general son subsidios directos, extensiones, créditos entre otros. Estos aspectos se traducen en un impacto significativo en la actitud hacia el producto vehículos eléctricos, que permite ver la relación entre un estado que motiva a asumir actitudes beneficiosas para la sociedad y un consumidor responsable.
Sin embargo, existen otros aspectos importantes que son recurrentes a la hora de analizar el producto vehículos eléctricos tales como: La autonomía, la calidad de construcción, el rendimiento y la durabilidad de la batería, la satisfacción general del cliente con la experiencia de conducción y propiedad del vehículo.
Revisión de la literatura
El vehículo eléctrico está cada vez más demandado debido a la toma de conciencia sobre el cambio climático, la disminución de las emisiones de gases contaminantes y a las diversas ventajas que ofrece. No obstante, se debe considerar que es una tecnología que se encuentra aún en pleno desarrollo confrontando serios retos como la capacidad de las baterías y la autonomía, aspectos clave que le permitirán competir con vehículos convencionales (González. 2019). Además, el mantenimiento de los vehículos eléctricos suele ser menos costoso en comparación con los vehículos de combustión interna, debido a que los motores eléctricos tienen menos piezas móviles y no requieren cambios de aceite ni de filtros de aire. Sin embargo, algunos servicios de mantenimiento en los vehículos eléctricos pueden ser más costosos debido a la tecnología utilizada y la necesidad de mano de obra especializada (Pérez Tinizhagnay et al., 2023)
Por otro lado, la disponibilidad limitada de infraestructura de carga para vehículos eléctricos se ha convertido en un desafío para su comercialización, pues es un hecho que desalienta al consumidor en el momento de realizar una compra. Se observa que el factor de autonomía del vehículo evoluciona en forma directa con la infraestructura de carga escenario que denota un lento crecimiento y en consecuencia una constante contracción del mercado de estos productos, de solucionarse la carencia referente a infraestructura de carga se perfila que exista una mayor adopción por parte del consumidor (Lim et al. 2014).
Así mismo la falta de información y conocimiento sobre los vehículos eléctricos es un tema importante en la industria del transporte y la movilidad sostenible. Muchos consumidores aún no están al tanto de los beneficios de los vehículos eléctricos y desconocen las mejores alternativas de transporte disponibles en el mercado (Gutierréz, 2022).
Constructos de Investigación
Los constructos de la presente investigación poseen una estrecha relación con la actitud de compra que se traduce en nueve hipótesis que permitieron aprobar el modelo teórico, las mismas están descritas a continuación:
Hipótesis 1 (H1). La gama limitada de vehículos influye en la fiabilidad percibida del producto
Hipótesis 2 (H2). La baja disponibilidad de estaciones de carga para los vehículos influye en la fiabilidad percibida del producto.
Hipótesis 3 (H3). El tiempo de carga de las baterías influye en la fiabilidad percibida del producto.
Hipótesis 4 (H4). La confiabilidad percibida del producto influye en la actitud hacia el producto.
Hipótesis 5 (H5). El alto precio de los vehículos tiene una influencia en la formación de actitudes hacia la nueva tecnología.
Hipótesis 6 (H6). Los incentivos monetarios del gobierno influyen en la actitud hacia el producto.
Hipótesis 7 (H7). La preocupación ambiental de los consumidores potenciales influye en la actitud hacia el producto.
Hipótesis 8 (H8). La percepción positiva de que conducir un vehículo eléctrico tiene un impacto en la reputación social influye en la actitud.
Hipótesis 9 (H9). Las actitudes favorables hacia el producto influyen en la intención de adoptar.
Contextualización de variables
A continuación, se contextualizará los conceptos de las variables del modelo en el cual se basa el estudio.

Reforzando el escenario contextual será útil mencionar los tres motivos principales que definen la adquisición de un coche eléctrico. El primero de ellos es el relativo al aspecto financiero de las personas donde todos los adquirentes elijen aquella opción que maximice su utilidad en términos de sus preferencias y presupuesto (Roche 2012). El segundo motivo para tener en cuenta hace referencia a razones no financieras especialmente relacionadas con la energía y el medio ambiente, que pueden influir directamente en las decisiones de los consumidores a la hora de adquirir un coche eléctrico. (Roche 2012). El tercero hace referencia a los valores ambientales que pueden ser utilizados como predictores de las acciones de determinados consumidores, influyendo positivamente la voluntad de preservar el medio ambiente (Oliver, 2010)
Factores tecnológicos
La literatura científica destaca que los consumidores son muy sensibles a una autonomía limitada de los vehículos eléctricos (Egbue et al. 2017) que está representada aproximadamente por una distancia 400 Km en contraste, con un vehículo de combustión interna que puede cubrir una distancia de 800 km con un motor de gasolina. Diferentes autores han identificado esta diferencia como una de las principales barreras a la adopción (Kumar & Thakur, 2020; Lim et al. 2014). Incluso tras la experiencia de disponer de un vehículo eléctrico por un período, la mayoría de los usuarios mostraron su preocupación respecto a la autonomía (Jensen, 2013).
El tiempo de carga es otra de las barreras que influye en la adopción de vehículos eléctricos (Zhu, 2016). Para los usuarios la carga es compleja debido a los largos tiempos de carga (Graham-Rowe et al. 2012). Mientras que los vehículos de combustión interna se pueden repostar en cuatro minutos aproximadamente, los vehículos eléctricos requieren al menos de 15 minutos en una estación de carga rápida y hasta 8 horas para cargar en una toma de corriente de menor voltaje (Glerum, 2013).
Factores medioambientales
Dentro de las ventajas que se pueden encontrar a la hora de adquirir los coches eléctricos esta la conciencia ambiental por parte de los usuarios, que influye muy positivamente en el querer conservar la naturaleza (Oliver, 2010), estos valores se verán reflejados en la adquisición de un vehículo ecológico, ya que simboliza las ideas relacionadas con el compromiso social. Según (Kahn, 2007) en un estudio referente a las compras de vehículos eléctricos y por tanto ecológicos, en Los Ángeles se demostró que las personas ecologistas son más propensas a adquirir un vehículo con estas características que las personas que no se preocupan por el medio ambiente (Oliver, 2010).
Así mismo, se encontró que las preferencias sociales en lo relativo a preservación del medio ambiente y seguridad energética eran factores más determinantes que el aumento del precio de los combustibles o los incentivos fiscales, a la hora de adquirir vehículos que preserven el medio ambiente (Gallagher, 2004).
Todo lo anterior significa que el comportamiento llevado a cabo para adoptar coches eléctricos se puede calificar como ecológico. Por ello, la literatura para adoptar coches eléctricos ha examinado los valores, creencias y normas ecológicas y su relación con la intención de compra. (Gallagher, 2004). Estas variables resultan fundamentales en la decisión adoptada a la hora de comprar un vehículo eléctrico ya que la protección del medio ambiente actúa como una motivación positiva. Además, el conocimiento de todos los problemas medioambientales se trata de otro factor que motiva la posible compra de los coches eléctricos (Gallagher, 2004).
Factores sociales
La aceptación social es un factor muy importante a la hora de tomar decisiones, esto significa que, si un consumidor percibe que las acciones realizadas tienen una aceptación positiva por parte de su entorno, hará lo posible para comportarse de la misma manera. (Fishbein, 2011) Se confirma este comportamiento a través de un estudio donde la propiedad de un vehículo eléctrico dentro de un determinado grupo social hace que su aceptación vaya creciendo en dicho entorno, aumentando el conocimiento y el significado simbólico del coche eléctrico entre el resto (Rezvani, 2015).
Factores contextuales
En primer lugar, el alto precio de compra es una de las barreras más importantes para la compra ya que los consumidores no están dispuestos a pagar grandes cantidades de dinero (Larson 2014). Diferentes autores señalan que reduciendo el precio se podría aumentar la disposición de compra (Junquera et al. 2016) y su competitividad (Feng & Figliozzi, 2013). Por tanto, el alto coste que el potencial comprador esté dispuesto a pagar se convierte en una de las principales preocupaciones de los consumidores (Rezvani et al. 2015), siendo un factor que influye en la decisión de compra (Fang, 2010), por lo que, el alto precio de compra constituye una gran desventaja (Heyvaert et al. 2015).
| Gama |
| Siento que el rango de conducción de un E&HV no es satisfactorio. |
| Siento que el rango de conducción de un E&HV no es suficiente para mis necesidades de movilidad en la vida cotidiana. |
| Infraestructura |
| Siento que es difícil encontrar una estación donde se pueda cargar un E&HV. |
| Siento que es difícil encontrar un taller de reparación de automóviles que preste servicios a un automóvil eléctrico. |
| Tiempo de carga |
| Me importaría que se tarde más en cargar las celdas de la batería que en repostar un tanque de gasolina. |
| Siento que no se pude integrar la carga de los acumuladores en mi vida cotidiana sin ningún problema. |
| Fiabilidad |
| Puedo confiar en la nueva tecnología de E&HV |
| Siento que los E&HV son confiables. |
| Siento que puedo confiar en un E&HV para que me lleve de manera confiable cada vez de un lugar a otro. |
| Precio |
| Los E&HV son caros. |
| Los E&HV son costosos. |
| El precio de los E&HV es más alto que el de los coches de gasolina correspondientes. |
| Incentivos |
| La compra de un E&HV es más rentable cuando existen incentivos monetarios. |
| Preocupación ambiental |
| Me preocupa la conservación de la energía y la protección del medio ambiente. |
| Me esfuerzo por fomentar la conservación de la energía y la protección del medio ambiente. |
| Creo que el escape de un vehículo contribuye en gran medida a la cuestión de la contaminación del medio ambiente. |
| Reputación social |
| Estaría orgulloso de que me vieran conduciendo un E&HV. |
| Está bien si mis amigos me ven con un E&HV. |
| Actitud |
| A largo plazo, creo que comprar un E&HV es más rentable que poseer un vehículo convencional. |
| Comprar un E&HV reducirá el problema del cambio climático. |
| Creo que comprar un E&HV es una buena decisión. |
| Intención de adoptar |
| La próxima vez que compre un automóvil, consideraré comprar un E&HV. |
| Espero conducir un coche E&HV en un futuro próximo. |
| Tengo la intención de conducir un E&HV en un futuro próximo. |

Metodología
Se utilizará el tipo de investigación exploratorio - descriptiva, direccionada a describir las características y funciones del mercado. La investigación descriptiva se realiza por las siguientes razones: 1) Describir las características de grupos pertinentes, como compradores potenciales 2) Calcular el porcentaje de unidades de una población específica que muestran cierta conducta, 3) Determinar la percepción de las características de productos. 4) Determinar el grado en que las variables de marketing están asociadas, 5) Hacer predicciones específicas. (Malhotra, 2016).
Los estudios exploratorios sirven para preparar el terreno y, por lo común, anteceden a investigaciones con alcances descriptivos, correlacionales o explicativos. Por lo general, los estudios descriptivos son la base de las investigaciones correlacionales, las cuales a su vez proporcionan información para llevar a cabo estudios explicativos que generan un sentido de entendimiento y están muy estructurados. (Hernández et al. 2014).
Las investigaciones que se realizan en un campo de conocimiento específico pueden incluir diferentes alcances en las distintas etapas de su desarrollo, es posible que una investigación se inicie como exploratoria, después puede ser descriptiva y correlacional y terminar como explicativa (Hernández et al. 2014).
Se preparó el diseño muestral para la recolección de la información primaria de los clientes potenciales en Cercado Cochabamba, las características sociodemográficas de la muestra aparecen en la tabla 1, esto con el fin de identificar el perfil de los consumidores con mayor predisposición hacia el producto.
| Característica | Categoría | Porcentaje |
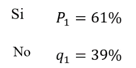
| Sexo | Hombre | 61 |
| Mujer | 39 | |
| Edad | 18 - 25 | 37 |
| 26 - 35 | 23 | |
| 36 - 45 | 21 | |
| 46 - 55 | 15 | |
| 56 - 65 | 4 | |
| Mas de 65 | 1 | |
| Nivel de educación | Escolaridad | 23 |
| Profesional | 30 | |
| Licenciatura | 35 | |
| Postgrado | 12 | |
| Situación laboral | Desempleado | 3 |
| Estudiante | 30 | |
| Empleado | 32 | |
| Jubilado | 1 | |
| Independiente | 34 | |
| Ingresos mensuales | Sin ingresos | 17 |
| Menos de 2160 | 13 | |
| de 2161 a 5000 | 34 | |
| de 5001 a 8000 | 15 | |
| Más de 8000 | 13 |
Cálculo del tamaño de muestra
El cálculo del tamaño de la muestra se realizó utilizando la fórmula correspondiente a una población infinita, dado que, según el marco muestral proporcionado por el Instituto Nacional de Estadística, la población objetivo supera los cien mil elementos.
Se llevó a cabo una prueba piloto con 40 personas que completaron la encuesta a través de la plataforma Microsoft Forms. El cuestionario fue enviado únicamente a individuos que cumplían con los criterios de selección establecidos. Posteriormente, se procedió al análisis de los resultados obtenidos, los cuales se presentan a continuación.
¿Cuenta con un vehículo?

Primer filtro que se utilizó para determinar el tamaño de la población llegando a 333.099 elementos.
¿Sabías sobre la existencia de los vehículos eléctricos?

Segundo filtro que se utilizó para determinar el tamaño de la población llegando a 326.437 elementos.
¿Está contemplado la compra de un vehículo eléctrico?

Tercer filtro que se utilizó para determinar el tamaño de la población llegando a 143.632 elementos.
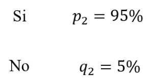
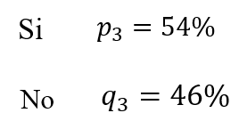
Para estimar las probabilidades de éxito y fracaso, se calculó un promedio de los porcentajes obtenidos en las respuestas a las preguntas incluidas en la prueba piloto. Estas preguntas indagaban si la persona posee un auto eléctrico, si conoce qué es un auto eléctrico y si está considerando adquirir uno. El propósito fue identificar a aquellos individuos con mayor predisposición a convertirse en potenciales clientes, ya sea porque actualmente poseen un vehículo eléctrico, desean tener uno o manifiestan la necesidad de adquirir un automóvil. Estas tres condiciones permiten perfilar a los posibles compradores, por lo que sus respuestas se consideraron como indicadores de una proporción de éxito. Para reducir el sesgo y obtener una estimación más equilibrada, los resultados se sumaron y promediaron, integrando así diversos factores que reflejan una intención de compra más representativa.


La fórmula para poder aplicar el tamaño de muestra es la siguiente:

n= Tamaño de muestra a calcular
K2= Nivel de confianza
P = probabilidad de éxito
q = Probabilidad de fracaso
e2= Error absoluto muestral
α= 5%
Cálculo del tamaño muestral con la fórmula de la población infinita al 95% de confianza.

Cabe destacar que, además del enfoque tradicional para el cálculo del tamaño de muestra, se utilizó la calculadora estadística desarrollada por Daniel Soper, específicamente diseñada para estudios que emplean modelos de ecuaciones estructurales (SEM). Esta herramienta permite estimar el tamaño mínimo de muestra requerido tanto en función del efecto anticipado como de la complejidad estructural del modelo, considerando el número de variables latentes y observadas, así como los niveles deseados de significancia y poder estadístico.
Tamaño del efecto anticipado (Anticipated effect size): 0.1, lo que indica un efecto pequeño, comúnmente aceptado en estudios sociales y de comportamiento cuando se espera una relación sutil entre las variables.
Nivel de poder estadístico deseado (Desired statistical power level): 0.8, valor estándar que refleja una probabilidad del 80 % de detectar un efecto si realmente existe, minimizando el riesgo de error tipo II.
Número de variables latentes (Number of latent variables): 10, correspondiente a los constructos teóricos no observables directamente, pero inferidos a través de otras variables.
Número de variables observadas (Number of observed variables): 25, las cuales se recolectan directamente a través del instrumento de medición (ítems del cuestionario).
Nivel de significancia (Probability level): 0.05, que representa un nivel de confianza del 95 %, estándar en la mayoría de las investigaciones científicas.

De acuerdo con el modelo de ecuaciones estructurales, el total a encuesta a aplicar es de 288 elementos.
La selección de las personas a encuestar y entrevistar se realizará por el muestreo no probabilístico por juicio, ya que es una técnica de muestreo en la cual el investigador selecciona las muestras basadas en un juicio subjetivo en lugar de hacer la selección al azar, totalmente competente a este caso. (Malhotra, 2016).
Resultados y discusión
Una vez recabados los datos de los clientes potenciales de vehículos eléctricos, gracias a la aplicación de una encuesta mediante el uso de una escala de Likert con el rango de 1 a 7, se procedió con la evaluación sistemática de los resultados por medio del software Smart PLS 4.
SmartPLS 4, "Smart" sugiere que el software está diseñado para ser intuitivo y eficiente la sigla "PLS" significa "Partial Least Squares" (Mínimos Cuadrados Parciales, en español). Este método estadístico es utilizado para llevar a cabo análisis de ecuaciones estructurales (SEM), SEM son las siglas de Structural Equation Modeling (Modelado de Ecuaciones Estructurales, en español) que es una técnica estadística utilizada para examinar relaciones complejas entre variables.
SmartPLS es una popular herramienta de software que se utiliza para el análisis estadístico avanzado en el campo de la investigación y el análisis de datos, proporciona a los investigadores un conjunto completo de herramientas para analizar relaciones y modelos complejos en ciencias sociales, negocios y otras disciplinas relacionadas. (Becker, 2015).
El modelado estructural mediante mínimos cuadrados parciales se utiliza para explorar y predecir, y su aplicación se recomienda en las etapas tempranas del desarrollo de la teoría, ya que permite probar y validar modelos exploratorios, además de que apoya en la explicación de constructos endógenos. (Henseler, 2009).
La modelización PLS-SEM es un enfoque causal-predictivo apto para la predicción de modelos estadísticos cuyas estructuras están diseñadas para proporcionar explicaciones causales, Concretamente, PLS es una herramienta estadística adecuada para distintos tipos de investigación, entre ellos, la confirmatoria. (Henseler, 2018).
La fiabilidad individual de cada ítem se examina sobre la base de las correlaciones simples de los indicadores con sus respectivas variables. El valor recomendado debe alcanzar 0,7. Esto supone que la varianza compartida entre el constructo y sus indicadores es mayor que la varianza del término de error. (Barclay, 1995).
La fiabilidad individual de cada uno de los ítems se valora examinado las cargas (λ, o loading), o correlaciones simples, de los indicadores con su respectivo constructo. Existe discrepancia sobre el valor que debe arrojar para ser aceptada, por un lado, (Falk y Miller, 1992) indican que se aceptan λ ≥ 0,55, y, por otro lado, (Carmines y Zeller, 1979) aseguran que se aceptan λ ≥ 0,707, para ambos casos, todos los valores superan los límites recomendados por la literatura.
También se utilizó la varianza extraída para evaluar la validez convergente. En este sentido, la varianza media extraída (AVE) revela la cantidad de varianza que un constructo obtiene de sus indicadores, en relación con la cantidad de varianza causada por el error de medición. El valor mínimo propuesto por la literatura es 0,5 (Fornell & Larcker, 1981).
También se evaluó el cuadrado del coeficiente de correlación múltiple (R2), ya que sirve como un indicador confiable de la cantidad de varianza de constructo explicada por el modelo. Falk y Miller (1992) postulan que un valor adecuado debe ser mayor o igual a 0.1. En el caso del presente estudio, el valor de R2 con respecto a la intención de adoptar es de 0,58, por lo que se supera suficientemente el umbral recomendado.
Otro estadístico que se analizo fue el coeficiente de fiabilidad que valora la consistencia de la escala entera, el alfa de Cronbach, que es la medida más extensamente utilizada. El acuerdo general sobre el límite inferior para al alfa de Cronbach es de 0,70, aunque puede bajar a 0,60 en la investigación exploratoria. (Hair, 1999).
Un aspecto en la valoración del alfa de Cronbach es su relación positiva con el número de ítems de la escala. Debido a que, al aumentar el número de ítems, incluso con el mismo grado de intercorrelación, se incrementará el valor de la fiabilidad, los investigadores deben imponer requisitos más restrictivos para escalas con un mayor número de ítems. (Hair, 1999).
Para la valoración de los pesos factoriales de los indicadores y su significación, se debe ejecutar un proceso de remuestreo o bootstraping, donde si los indicadores tienen una significancia mayor a 0.05 deben ser eliminados. No obstante, al eliminar un indicador formativo, es necesario verificar que no se pierda el significado del constructo. (Hair, 1999).
Así, Roberts y Thatcher (2009) recomiendan incluir el indicador en el modelo. En este mismo sentido, Hair, sugiere una postura flexible si los pesos factoriales son mayores a 0.05 para no perder el significado del constructo que se está midiendo. (Hair, 1999).

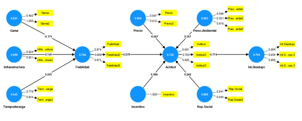
En el gráfico anterior se evalúa como primer análisis del coeficiente de determinación (R cuadrado) con sus cargas factoriales, estos indicadores muestran el porcentaje de explicación que se tiene con las muestras y demás variables latentes, además de identificar la fiabilidad individual con los constructos del modelo.
Según los resultados del coeficiente de determinación (R cuadrado), se observa que existe un 58% de intención de adopción para la compra en función a incentivos, precios, preocupación ambiental, actitud y todo lo que conlleva la fiabilidad.
Las cargas factoriales de la variable gama son de 0,49 y 1, de la variable infraestructura sus cargas son de 0,924 y 0,921, las cargas factoriales de la variable tiempo de carga son de 0,779 y 0,824, las cargas de la variable fiabilidad son de 0,87, 0,90 y 0,87, la carga factorial de la variable precio es de 0,88 y 0,91. De la variable preocupacion ambiental es de 0,84, 0,83, 0,81, de la variable actitud sus cargas son de 0,86, 0,79, 0,89 de la variable incentivos es de 1 y reputacion social es de 0,941 y 0,943, finalmente las cargas de la variable intencion de adopción es de 0,85 , 0,90 y 0,906, cumpliendo lo requerido minimo de la teoria para el análisis de fiabiliad individual siendo el mínimo de 0,70.
A continuación se muestra la tabla con los indicadores de fiabilidad y consistencia del modelo.

Se puede observar que el constructo análisis de fiabilidad, el indicador más importante, vale 0,784 con lo que se puede afirmar que cumple con los criterios de la teoría, superando el requisito mínimo que es de 0,7.

Se observa el análisis de fiabilidad compuesta en una gráfica de barras, cumpliendo el valor mínimo requerido por la teoría y siendo este análisis el más importante para valorar el modelo.

Para identificar la consistencia del modelo, se debe analizar la varianza media extraída (AVE), esta medida aplica solo para las variables latentes conformadas por modelos reflectivos, diferentes autores sugieren que el mínimo del AVE tiene que ser de 0,5, por lo cual se tienen los siguientes resultados.
Para la variable latente gama, se tiene un valor de 0,62, para la variable infraestructura se tiene un valor de 0,85, para la variable tiempo de carga se tiene un valor de 0,64, y para la variable fiabilidad se tiene un valor de 0,82, seguido de la variable precio que tiene un valor de 0,80 y la variable preocupación ambiental que tiene un valor de 0,69, la variable reputación social tiene un valor de 0,88 y por último la variable intención de adopción tiene un valor de 0,90, por lo cual SE PUED podemos decir que nuestro modelo es consistente y cumple con todos los valores mínimos requeridos por la teoría.
A continuación, se muestra una tabla de la validez discriminante

El criterio de Fornell-Larcker evalúa específicamente si la varianza compartida entre dos constructos a través de sus indicadores es mayor que la varianza compartida dentro de cada constructo. En otras palabras, examina si los indicadores de un constructo están más fuertemente asociados con ese constructo que con otros constructos, para esto se verificará la diagonal principal y se observará que los valores no han sido superados por los demás constructos, cumpliendo este criterio de validez discriminante.

En la tabla nos muestra el análisis de validez discriminante – Cross loandings, por lo cual el cruce de las mismas variables debería ser mayores con respecto a las otras variables, lo cual se cumple y se llega a la conclusión que si existe discriminación entre las variables.
El siguiente análisis que se hará, es el de bootstrapping para poder predecir las hipótesis.

Para el análisis del bootstrapping, se toma en cuenta que los valores deberían ser menores al 0,05, lo cual en la gráfica anterior cumple con el requisito, y se podría decir que se puede comprobar mis hipótesis excepto 2 de ellas que se debería rechazar, ya que no cumple con los anteriores requisitos mencionados que son las hipótesis H2 y H5.
Conclusiones
Se confirmó que la gama limitada de los vehículos eléctricos influye negativamente en la fiabilidad percibida del producto (β = 0.552; p < 0.001), lo que indica que más del 55% del efecto en la percepción de fiabilidad puede ser atribuido a esta variable. Esto refleja una alta sensibilidad del consumidor ante las restricciones técnicas del producto.
La baja disponibilidad de estaciones de carga y el tiempo prolongado de carga también afectan negativamente la percepción de fiabilidad (β=0.017), mostrando que la infraestructura es un factor determinante para el desarrollo del mercado de electromovilidad.
El constructo actitud tuvo una relación significativa con la intención de adopción (β = 0.774; p < 0.001), lo cual indica que actitudes favorables hacia los vehículos eléctricos incrementan notablemente la probabilidad de adopción, explicando un 59.9% del efecto directo.
Contrario a lo esperado en la hipótesis H5, el alto precio no influye de forma significativa en la formación de actitudes hacia la nueva tecnología (p > 0.05). Esto sugiere que el consumidor cochabambino potencial está dispuesto a tolerar precios elevados si percibe beneficios en sostenibilidad o status, lo que podría interpretarse como una ruptura parcial con modelos tradicionales de comportamiento económico racional.
El hecho de que el alto precio no influye en forma significativo tiene implicaciones teóricas relevantes, ya que refuerza la importancia de factores como la reputación social y la preocupación ambiental, por encima de consideraciones estrictamente económicas, en el modelo de adopción de tecnologías sostenibles. Esta evidencia apoya teorías como el modelo ABC (Actitud – Comportamiento – Contexto), donde el contexto social y simbólico pesa más que el costo objetivo del producto.
El modelo PLS-SEM presenta un valor de R² = 59.9% para la variable “intención de adopción”, lo cual indica una capacidad explicativa robusta, cercana al 60%. Esto valida la pertinencia del modelo
REFERENCIAS BIBLIOGRÁFICAS
Aasness, M. A., & Odeck, J. (2015). The increase of electric vehicle usage in Norway—incentives and adverse effects. European Transport Research Review, 7(4). https://doi.org/10.1007/s12544-015-0182-4
Adnan, N., Nordin, S. M., Rahman, I., Vasant, P. M., & Noor, A. (2017). A comprehensive review on theoretical framework-based electric vehicle consumer adoption research. In International Journal of Energy Research (Vol. 41, Issue 3, pp. 317–335). John Wiley and Sons Ltd. https://doi.org/10.1002/er.3640
Adner, R. (2002). When are technologies disruptive? A demand-based view of the emergence of competition. Strategic Management Journal, 23(8), 667–688. https://doi.org/10.1002/smj.246
Barth, M., Jugert, P., & Fritsche, I. (2016). Still underdetected - Social norms and collective efficacy predict the acceptance of electric vehicles in Germany. Transportation Research Part F: Traffic Psychology and Behaviour, 37, 64–77. https://doi.org/10.1016/j.trf.2015.11.011
Bonisoli, L., & Román-Córdova, Y. M. (2023). Relacionando innovación y conciencia ambiental. Análisis de la adopción de los vehículos eléctricos en Ecuador. Revista Geográfica Venezolana, 64(1), 58-72. https://doi.org/10.53766/RGV/2022.64.01.02
Calle, M., & Torres, C. (2023). Impacto de la calidad y valor percibidos sobre la intención de compra: sector automotriz. Revista de Ciencias Sociales y Económicas, 7(1), 12–23. https://doi.org/10.18779/csye.v7i1.645
Carley, S., Krause, R. M., Lane, B. W., & Graham, J. D. (2013). Intent to purchase a plug-in electric vehicle: A survey of early impressions in large US cites. Transportation Research Part D: Transport and Environment, 18(1), 39–45. https://doi.org/10.1016/j.trd.2012.09.007
Consumidor La Adopción De, D. E., Higueras Castillo Director, E., & Liébana Cabanillas, F. (n.d.-a). MODELIZACIÓN DEL COMPORTAMIENTO. http://hdl.handle.net/10481/66725
Consumidor La Adopción De, D. E., Higueras Castillo Director, E., & Liébana Cabanillas, F. (n.d.-b). MODELIZACIÓN DEL COMPORTAMIENTO. http://hdl.handle.net/10481/66725
De Empresas, A. (n.d.). UNIVERSIDAD POLITÉCNICA SALESIANA SEDE QUITO Tesis previa a la obtención del título de: INGENIERO COMERCIAL.
Dominguez-Jimenez, J. A., & Campillo, J. (2020). Increasing driving range for electric vehicles at sub-zero temperatures by optimizing a hybrid storage configuration using supercapacitors. Journal of Physics: Conference Series, 1448(1). https://doi.org/10.1088/1742-6596/1448/1/012014
El País. (2025, enero 8). Por qué Noruega vende ya el 90% de coches eléctricos: exención de IVA, peajes gratis e impuestos para los de combustión. Recuperado de https://elpais.com/clima-y-medio-ambiente/2025-01-08/por-que-noruega-vende-ya-el-90-de-coches-electricos-exencion-de-iva-peajes-gratis-e-impuestos-para-los-de-combustion.html
El País. (2025, enero 8). Chile pisa el acelerador en la compra de automóviles eléctricos: sus ventas aumentaron en 183% en un año. Recuperado de https://elpais.com/chile/2025-01-08/chile-pisa-el-acelerador-en-la-compra-de-automoviles-electricos-sus-ventas-aumentaron-en-183-en-un-ano.html
Huaihai Global. (2023). Modelo de intención de adopción de vehículos eléctricos en Indonesia. Recuperado de https://es.huaihaiglobal.com/guide/adoption-intention-model-of-electric-vehicle-in-indonesia/
Egbue, O., Long, S., & Samaranayake, V. A. (2017). Mass deployment of sustainable transportation: evaluation of factors that influence electric vehicle adoption. Clean Technologies and Environmental Policy, 19(7), 1927–1939. https://doi.org/10.1007/s10098-017-1375-4
Explicativos, F., Visionado De Peliculas En, D., De, S., Rodríguez, D., & Benito, R. (n.d.). PROCESO DE DECISIÓN DEL CONSUMIDOR. www.tesisenxarxa.net
García Bernal, N. (2019). Electromovilidad Tendencias y experiencia nacional e internacional Autor.
Goh, Y. N., & Wahid, N. A. (2015). A review on green purchase behaviour trend of Malaysian consumers. Asian Social Science, 11(2), 103–110. https://doi.org/10.5539/ass.v11n2p103
González, D., Tutor, P., & Barreiro, P. (n.d.). PRINCIPIOS BÁSICOS DEL VEHÍCULO ELÉCTRICO Autor: Departamento de Tecnología Electrónica.
He, X., & Zhan, W. (2018). How to activate moral norm to adopt electric vehicles in China? An empirical study based on extended norm activation theory. Journal of Cleaner Production, 172, 3546–3556. https://doi.org/10.1016/j.jclepro.2017.05.088
Henseler, J. (2018). Partial least squares path modeling: Quo vadis? In Quality and Quantity (Vol. 52, Issue 1). Springer Netherlands. https://doi.org/10.1007/s11135-018-0689-6
Henseler, J., Ringle, C. M., & Sarstedt, M. (2016). Testing measurement invariance of composites using partial least squares. International Marketing Review, 33(3), 405–431. https://doi.org/10.1108/IMR-09-2014-0304
Hines, J. M., Hungerford, H. R., & Tomera, A. N. (1987). Analysis and synthesis of research on responsible environmental behavior: A meta-analysis. Journal of Environmental Education, 18(2), 1–8. https://doi.org/10.1080/00958964.1987.9943482
Kollmuss, A., & Agyeman, J. (2002). Mind the Gap: Why do people act environmentally and what are the barriers to pro-environmental behavior? Environmental Education Research, 8(3), 239–260. https://doi.org/10.1080/13504620220145401
La, O., Área, P., Economía, D. E., Gerencia, Y., & Paz -Bolivia, L. (2004). UNIVERSIDAD ANDINA SIMÓN BOLÍVAR.
Lane, B., & Potter, S. (2007). The adoption of cleaner vehicles in the UK: exploring the consumer attitude-action gap. Journal of Cleaner Production, 15(11–12), 1085–1092. https://doi.org/10.1016/j.jclepro.2006.05.026
Li, F., Ou, R., Xiao, X., Zhou, K., Xie, W., Ma, D., Liu, K., & Song, Z. (2019). Regional comparison of electric vehicle adoption and emission reduction effects in China. Resources, Conservation and Recycling, 149, 714–726. https://doi.org/10.1016/j.resconrec.2019.01.038
Li, W., Long, R., Chen, H., & Geng, J. (2017). A review of factors influencing consumer intentions to adopt battery electric vehicles. In Renewable and Sustainable Energy Reviews (Vol. 78, pp. 318–328). Elsevier Ltd. https://doi.org/10.1016/j.rser.2017.04.076
Stern, P. C. (n.d.-a). What Psychology Knows About Energy Conservation.
Stern, P. C. (n.d.-b). What Psychology Knows About Energy Conservation.
Wang, S., Fan, J., Zhao, D., Yang, S., & Fu, Y. (2016). Predicting consumers’ intention to adopt hybrid electric vehicles: using an extended version of the theory of planned behavior model. Transportation, 43(1), 123–143. https://doi.org/10.1007/s11116-014-9567-9
Notas de autor
rodrigo.ruiz@ucb.edu.bo

