

Dosier La vida trastocada por el COVID 19. Estudios y reflexiones situadas desde las Ciencias Sociales
La pandemia y el empleo registrado privado en Argentina. Un análisis de la desigualdad salarial en clave regional y sectorial
The pandemic and private registered employment in Argentina. An analysis of wage inequality on a regional and sectoral level
Cuestiones de sociología
Universidad Nacional de La Plata, Argentina
ISSN: 2346-8904
Periodicidad: Semestral
núm. 26, e132, 2022
Recepción: 01 Noviembre 2021
Aprobación: 01 Diciembre 2021
Publicación: 01 Febrero 2022

Resumen: La crisis económica y social provocada por la pandemia COVID-19 ha marcado intensos cambios en el mercado de trabajo argentino, profundizando los efectos adversos de la “crisis pre-pandemia”. Los impactos en términos de salarios y empleo han sido notables; sin embargo, esta tendencia no ha sido homogénea en las distintas regiones del país ni por ramas de actividad. Con objeto de contribuir a una caracterización de la dinámica de ingresos laborales en Argentina, esta investigación se centra en el impacto de la crisis del covid-19 en la desigualdad salarial regional de empleados registrados privados, tomando en cuenta, además, el aporte que realizan las disparidades sectoriales dentro de cada región. Para ello se recurrirá al Índice estadístico de Theil. Esta indagación se realiza en el marco del Proyecto PISAC-COVID-19-00085 “Programa de Investigación Regional Comparativa: Cambios recientes en la estructura social argentina: trabajo, ingresos y desigualdad social en tiempos de pandemia y post-pandemia”.
Palabras clave: Desigualdad salarial regional, Sectores económicos, COVID-19, Argentina.
Abstract: The economic and social crisis caused by the COVID-19 has marked intense changes in the Argentine labor market, deepening the adverse effects of the “pre-pandemic crisis”. The impacts in terms of wages and employment have been notable, however, this trend has not been homogeneous in the different regions of the country or by branches of activity. To contribute to a characterization of labor income dynamics in Argentina, this research focuses on the impact of the COVID-19 crisis on the regional wage inequality of private registered employees, also considering the contribution of the sectoral disparities within each region. For the measurement and analysis, we will use the Theil statistical Index. This investigation is carried out within the framework of the PISAC-COVID-19-00085 Project “Comparative Regional Research Program: Recent changes in the Argentine social structure: work, income and social inequality in times of pandemic and post-pandemic”.
Keywords: Regional wage inequality, Economic sectors, COVID-19, Argentina.
Introducción
El arribo inesperado del virus SARS-CoV2 (popularizado como Covid-19) hacia fines de 2019 en algunos países del mundo, y a inicios de 2020 en Argentina, dio lugar a una parálisis y crisis económica y social de envergadura mundial, con un sinnúmero de consecuencias en materia económica, social y política. La pandemia desatada no tuvo entonces únicamente secuelas sanitarias, por lo que algunos autores la denominaron un hecho social total y global (Assusa y Kessler, 2020). Los países latinoamericanos no solo no han sido la excepción, sino que América Latina ha sido la región del mundo con mayores consecuencias en materia de incremento de la desigualdad económica (Filgueira, Galindo, Giambruno, y Blofield, 2020). La dinámica de su mercado laboral, caracterizada por una masiva presencia de trabajadores no registrados, desprotegidos de la seguridad social, ha sido interpretada como un factor que agudizó el impacto en términos de desigualdad. Este tipo de inserciones, sumamente significativas en los mercados laborales latinoamericanos, sufrieron la mayor caída de ingresos durante la pandemia (OIT, 2020), a pesar de las políticas implementadas para el sector (Arcidiácono y Gamallo, 2020; Beccaria y Maurizio, 2020), exacerbando la desigualdad económica estructural. Gran parte de los estudios desarrollados hasta el momento se han centrado en esta explicación. Sin embargo, poco se ha indagado sobre lo que ha generado la crisis desatada por la pandemia al interior de la clase trabajadora registrada, y cómo ha repercutido en el heterogéneo y extenso territorio nacional, caracterizado por una población concentrada en pocos grandes centros urbanos y áreas económicas locales con realidades antagónicas.
En ese sentido, ¿puede pensarse, a priori, que el movimiento general de la desigualdad de ingresos se reprodujo de la misma manera entre trabajadores asalariados formales privados que se desenvuelven en distintas regiones y sectores económicos a lo largo del país? ¿Es posible encontrar que, aun en este “privilegiado” universo, las condiciones laborales asociadas a distintas ramas de actividad puedan cumplir un papel relevante en la explicación de la desigualdad salarial?
El presente artículo se propone indagar el impacto de la pandemia en la desigualdad existente entre trabajadores asalariados registrados del sector privado que viven y trabajan en distintas regiones y provincias de la Argentina. En lo que respecta al análisis empírico, se analiza la desigualdad salarial mediante el uso del Índice estadístico de Theil, que permite la descomposición por subgrupos de trabajadores, buscando identificar los aportes a la desigualdad de cada uno de ellos.
Estas indagaciones son parte del proyecto PISAC-COVID “Programa de Investigación Regional Comparativa (PIRC): Cambios recientes en la estructura social argentina: trabajo, ingresos y desigualdad social en tiempos de pandemia y post-pandemia”.1 Nos proponemos analizar procesos de desigualdad/igualdad de la estructura social argentina resultantes de la crisis económica, la pandemia y las medidas de aislamiento y prevención posteriores, caracterizando a las clases sociales y los grupos socio-ocupacionales afectados durante el período según su diversidad regional y de género. Para ello la investigación se propone abordar particularmente las dinámicas del mundo del trabajo y la distribución del ingreso en distintos sectores económicos y los efectos de la intervención estatal, a fin de elaborar recomendaciones de política pública para el escenario post-pandemia.
El texto se encuentra organizado en cuatro apartados. En el primero ofrecemos precisiones metodológicas, donde justificamos el problema a indagar y explicitamos las bases de datos procesadas y el indicador de desigualdad analizado. En el segundo aludimos brevemente a las principales tendencias del mercado laboral en el período pre-pandemia (2016-2019), a fin de caracterizar la desigualdad salarial a mediano plazo. Luego nos centramos en el análisis del impacto de la pandemia en el mercado laboral y específicamente sobre la desigualdad salarial territorial y sectorial, haciendo referencia al período 2020-2021. Finalizamos el texto explicitando en qué medida la pandemia impactó en la desigualdad interregional y señalando nuevas líneas de indagación a partir de los hallazgos obtenidos.
1. Precisiones metodológicas
El análisis de las secuelas de la pandemia en nuestro país, a partir del impacto que ha generado en el trabajo asalariado registrado privado, teniendo en cuenta la variable territorial y sectorial, se fundamenta en dos motivos principales.
En primer lugar, a pesar de tratarse de una porción de la fuerza de trabajo cada vez más reducida (alrededor del 38 % de los ocupados), la decisión de concentrarnos en este grupo de la fuerza de trabajo responde a la necesidad de comprender cómo la pandemia afectó también a quienes se encuentran en situaciones laborales más acomodadas y estables. Sabemos por indagaciones previas, que la desigualdad salarial regional, y más aún la sectorial, no necesariamente se comporta de la misma manera que la desigualdad global (Barrera Insua, 2018).
Ante el parate económico que supuso la emergencia sanitaria, el Estado nacional también se vio ante la necesidad de implementar políticas dirigidas a este segmento de la economía, a pesar de haber instrumentado medidas redistributivas orientadas principalmente a los sectores más desprotegidos (como el Ingreso Familiar de Emergencia, entre otras). Entre las políticas más relevantes para el sector privado formal se observan: Programa de Asistencia de Emergencia al Trabajo y la Producción (ATP), Programa de Recuperación Productiva 2 (REPRO 2), salario complementario para asalariados privados (50 % a cargo del Estado), préstamos a MiPYMES y créditos a tasa 0 para autónomos y monotributistas. Estas medidas, que en principio parecieran haber atenuado el impacto económico sobre este segmento, no lograron impedir consecuencias, tal como veremos en este artículo.
En segundo lugar, los impactos desatados desde el segundo trimestre de 2020 parecieran tener características diferenciales en distintos puntos del país, profundizando desigualdades estructurales. Dichas disparidades regionales responden a un proceso de conformación territorial históricamente desigual, asociado al “grado de penetración, implantación y difusión del sistema de relaciones sociales capitalistas en el espacio nacional” (Manzanal y Rofman, 1989, p. 11). Ello ha configurado mercados de trabajo dispares, asociados a la distribución espacial de la población y a las ramas y sectores de actividad que se congregan en distintos puntos del país, por lo cual, tanto el empleo registrado como el no registrado presentan distribuciones claramente heterogéneas a lo largo y ancho del país. El empleo registrado privado es proporcionalmente más relevante en la región patagónica y en el AMBA (siendo CABA su epicentro) y con menor incidencia en las economías regionales del norte, donde se cuenta con menor desarrollo tecnológico e industrial. En ese sentido consideramos que las desigualdades territoriales deben ser leídas en relación a la dispar distribución (y concentración) espacial de las distintas ramas de actividad.
1.I. Acerca del indicador de desigualdad y los datos utilizados.
Para evaluar los cambios en la desigualdad al interior del universo de asalariados registrados del sector privado, se utilizará el Índice de Theil. A continuación presentamos una sucinta descripción de dicho estadístico, dado que es un indicador de desigualdad utilizado con menor frecuencia.
El índice de Theil es una medida basada en la distribución total del ingreso y permite trabajar con datos agrupados, siempre y cuando los miembros de la población puedan ser clasificados en grupos mutuamente excluyentes y completamente exhaustivos. A su vez, al permitir el análisis de salarios provenientes de registros administrativos,2 no se incurre en problemas relativos al error estadístico proveniente de los datos de encuestas.
En el presente artículo analizaremos el Índice de Theil a partir de su componente “entre grupos” o between. Este representa la desigualdad entre los subgrupos de la población bajo estudio y se calcula a partir de datos de ingresos agregados para cada uno de ellos, ponderados por su importancia relativa en términos de empleo (es decir, el tamaño de cada subgrupo). Específicamente, calculamos dos indicadores: uno que expresa la desigualdad entre sectores productivos y otro que alude a la desigualdad salarial entre las diferentes jurisdicciones. En este sentido, tanto las variaciones en los salarios como en el volumen de empleos serán variables que impactarán en el valor del indicador. Por ello, se tendrán en cuenta los cambios en las participaciones de las poblaciones de los subgrupos y los cambios en el ingreso medio relativo de cada subgrupo respecto del ingreso medio total, a la hora de analizar la evolución temporal del componente “entre grupos” del índice de Theil.
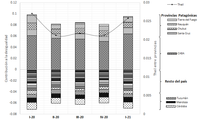
A su vez, el estadístico permite determinar la contribución de cada elemento (en este caso una provincia o un sector de actividad) a la desigualdad de ingresos mediante su descomposición en sus elementos constitutivos (Conceição y Galbraith, 2012). Así, la contribución de cada elemento a la desigualdad se puede apreciar mediante la visualización de los elementos individuales de Theil en un gráfico de barras apiladas. Esta información ofrecida en el gráfico 4 permite leer qué provincias “ganaron” y “perdieron” en términos de aportes a la desigualdad de un momento a otro.
Como se mencionó, la desigualdad “entre grupos” no solo será abordada a partir de la variable territorial (provincias), sino también de las ramas de actividad. Estas últimas se han analizado a nivel de grandes sectores del PBI: 1) Agricultura, ganadería, caza, silvicultura y pesca; 2) Explotación de minas y canteras; 3) Industria manufacturera; 4) Suministro de electricidad, gas y agua; 5) Construcción; 6) Transporte, almacenamiento y comunicaciones.
El índice de Theil fue calculado en base a los datos publicados por el Observatorio de Empleo y Dinámica Empresarial (OEDE) dependiente del Ministerio de Trabajo, Empleo y Seguridad Social, correspondientes a los registros administrativos de la seguridad social provenientes del Sistema Integrado Previsional Argentino (SIPA). Los datos corresponden al universo de 6,5 millones de trabajadores asalariados del sector privado,3 que se desempeñan en empresas de los sectores de industria, comercio y servicios radicadas en todo el país. Para la clasificación del empleo por provincia, se consideran las zonas donde las empresas declaran que trabajan sus empleados. Los datos procesados son trimestrales y corresponden al período comprendido entre el 1er. trimestre 2016 y el mismo trimestre de 2021.
En vista a contextuar el análisis presentaremos las principales características del mercado laboral tanto para el período pre-pandemia (2016-2019), como para el de la pandemia (2020-2021), a partir de datos provenientes de la Encuesta Permanente de Hogares (EPH-INDEC) y del OEDE-MTEySS.
2. El período pre-pandemia (2016-2019)
La pandemia arriba a nuestro país en el contexto de un cambio de gobierno y con un mercado laboral muy golpeado. En los últimos años el mercado de trabajo vivenciaba un leve pero sostenido incremento del desempleo, el subempleo, el empleo formal precario y el informal, mientras que paralelamente se observaba una reducción considerable de los salarios reales, al compás de un sostenido incremento de precios(Barrera Insua y Pérez, 2019). Este período (2016-2019) dio lugar a lo que denominamos crisis pre-pandemia (Dalle y Actis Di Pasquale, 2021).
Los cambios más relevantes de la crisis pre-pandemia generaron un impacto regresivo sobre el mercado de trabajo (Actis Di Pasquale y Gallo, 2020), aunque este período estuvo signado por dos momentos diferentes. En el primero, que va hasta el cuarto trimestre de 2017, la tasa de empleo creció alcanzando el máximo registrado en el período analizado. Luego, el número de ocupados se mostró en descenso desde 2018 para ubicarse hacia 2019 en niveles similares a los observados en 2015. No obstante, la mejora en la tasa de empleo no significó una creación significativa de puestos de trabajo de calidad. En efecto, esta crisis afectó centralmente al empleo registrado asalariado: mientras que el empleo total creció un 5 % entre 2016 y 2019, el empleo asalariado se redujo en un 1 %, observándose un incremento del 12 % en el número de asalariados/as informales y del 13 % de no asalariados/as. Este hecho se asocia a un proceso de desalarización a escala internacional y local.
En nuestro país la disminución del empleo asalariado registrado de 51 % a 48 % se debió fundamentalmente a la retracción del empleo en la industria y de actividades de servicios asociadas. La contracara de este proceso ha sido el incremento de la inserción laboral de mujeres en edad activa, las cuales recurrieron al mercado laboral para cubrir o complementar los ingresos del hogar, insertándose en trabajos precarios o informales (Dalle y Actis Di Pasquale, 2021).
En lo que respecta a los ingresos de este grupo de trabajadores, la trayectoria del salario medio real presentó menores oscilaciones que las del conjunto de los trabajadores y trabajadoras asalariadas. Por un lado, esto significa que durante el año 2016, las y los trabajadores privados ya habían conseguido revertir la caída del poder de consumo de inicios del gobierno de Cambiemos, mientras que para el total de los asalariados este proceso demoró hasta fines de 2017. Asimismo, aunque la caída general del poder de consumo comienza antes, presenta una pendiente más suave que hace que, entre 2017 y 2019, el retroceso para los primeros sea de 13 puntos porcentuales –nada poco–, mientras que ese valor se eleve a 20 puntos para los últimos (Gráfico 1).

En cuanto a la trayectoria de la desigualdad de los salarios de empleados registrados del sector privado, durante los años 2016-2019, se observa un comportamiento que acompaña los registros de los indicadores del mercado laboral. Mientras que durante el primer año exhibe cierta estabilidad en niveles, la desigualdad regional y sectorial mejora durante el año 2017, para luego mostrar un fuerte crecimiento cuando las variables macroeconómicas y del mercado laboral entran en una clara contracción. Es decir, mientras que en los primeros años del gobierno de Cambiemos, donde los indicadores del mercado de trabajo exhibieron algunas mejoras (Barrera Insua y Pérez, 2019), la desigualdad salarial de empleados registrados del sector privado presentó una disminución, en el resto del período se aprecian retrocesos evidentes en materia de desigualdad llegando a los niveles más altos durante el 2019 (Gráfico 2).

Vale la pena destacar que durante los años 2016-2019 la evolución de las curvas de las dimensiones analizadas es muy semejante y que, además, se condice con lo sucedido para el conjunto de la población si se compara con la distribución del ingreso per cápita de los hogares.4
Por otra parte, si analizamos dichas dimensiones en términos de niveles, la desigualdad provincial representa un 40 % de la desigualdad sectorial, en promedio para el período analizado. De allí la relevancia de pensar ambas como parte de una misma configuración productiva y territorial que las vincula.
El escenario descrito muestra que la pandemia trajo consigo una crisis que se posó sobre una crisis ya existente. El empeoramiento de las condiciones de vida durante el gobierno de Cambiemos afectó al conjunto de los trabajadores y trabajadoras. Sin embargo, el impacto difirió según el ámbito laboral y las condiciones de empleo: quienes se desempeñaban en el sector privado registrado se vieron más afectados por la contracción de los puestos de trabajo, y menos en la caída de su salario real promedio (aunque, como vimos, la caída también fue elevada).
Por último, en términos de las dimensiones de desigualdad analizadas, de la lectura de los datos se desprende que la desigualdad salarial del empleo registrado formal presenta un comportamiento fluctuante en los últimos años, coincidente con lo que sucedió para el conjunto de la población. Este hecho, tal como veremos en detalle a continuación, no se mantuvo a partir del impacto del COVID-19 en Argentina.
3. El impacto de la Pandemia (2020-2021)
El primer impacto de la pandemia sobre el mercado laboral argentino fue similar a otros países latinoamericanos y de otras regiones del mundo: una significativa caída de la ocupación y el incremento de la desocupación, acompañados por un fuerte crecimiento de la inactividad, es decir, de gente que ni siquiera salía a buscar trabajo, lo cual amortiguó el impacto en la tasa de desocupación (Weller, 2020). La salida del mercado de trabajo fue entonces la alternativa que miles de personas encontraron frente a un mundo laboral restringido y a una economía paralizada. Las ocupaciones más afectadas fueron en primer lugar aquellas no registradas.
Ello se observa claramente en el segundo trimestre de 2020, en el contexto de las medidas de Aislamiento Social Preventivo y Obligatorio (ASPO) más estrictas, donde se registra una caída importante en el número de ocupados/as, que pasó de 12 millones en el primer trimestre a 9,5 millones (-20 %).5 La caída fue sensiblemente mayor entre los/as trabajadores/as asalariados/as no registrados/as (-43 %) y no asalariados/as (-6,3 %), aunque también tuvo repercusiones en asalariados/as formales (-0,23 %) (Cuadro 1).

Luego del abrupto parate de la economía y el consecuente impacto en el mercado laboral, la ocupación comenzó a recuperarse a medida que se fue reactivando la situación económica, alcanzando en el primer trimestre de 2021 los 12 millones de personas ocupadas, con una tasa de ocupación cercana a la de la pre-pandemia. Entre los primeros trimestres de 2020 y 2021, la caída total en el número de ocupados fue del 0,8 %. No obstante, hubo un importante cambio en la composición del mismo: el empleo en los sectores asalariado formal y el no asalariado creció en un 1,7 % y 6,2 %, respectivamente; mientras que el empleo asalariado informal se contrajo en un 12,5 %. En ambos períodos de crisis (pre-pandemia y pandemia) se observó un incremento en el peso relativo del empleo por cuenta propia de tipo informal, y específicamente en los primeros meses de 2020 se registró un importante incremento de la inactividad laboral. La población económicamente activa se redujo drásticamente, con una caída del 12 % en relación a 2019, afectando en particular a las mujeres jóvenes, quienes presenciaron una reducción de la actividad en un 17 %, (según se desprende del procesamiento de base de datos de la EPH-INDEC).
Al interior del empleo registrado privado, ya se observaba una tendencia decreciente desde mediados del año 2018 hasta 2019. A partir de la declaración de la pandemia por COVID-19, se observaron caídas interanuales más pronunciadas en la cantidad de trabajadores/as registrados/as. Durante el primer trimestre del año 2020 se observó una leve reducción interanual del 0,6 % (-73 mil puestos de trabajo), mientras que en el segundo trimestre la disminución del empleo implicó la pérdida de 325 mil puestos de trabajo, registrándose el máximo en términos de caída interanual para el período analizado, en el orden de -2,6 %. A partir de allí, se observa una desaceleración en la pérdida de empleos, registrándose caídas del 2,3 % y el 1,8 % en el tercer y cuarto trimestre, respectivamente.
Con la irrupción de la emergencia sanitaria, crecieron solo tres modalidades de empleo registrado: monotributistas en un 0,3 % para diciembre de 2020 respecto al mismo mes de 2019, y asalariados/as del sector público en un 0,8 % en dicho período. El resto de las modalidades registraron importantes contracciones interanuales en todos los trimestres del año, cerrando el 2020 con caídas de 5,7 % para autónomos, 4,9 % para asalariadas de casas particulares, 3,4 % para monotributistas sociales y 3,3 % para asalariados del sector privado. Al respecto, Manzanelli y Calvo (2020), señalan que la estabilización del empleo privado registrado no solo responde a las medidas de prohibición de despidos sino también al Plan ATP impulsado desde el Estado Nacional, que buscaba sostener el trabajo registrado. En este contexto, señalan que el mecanismo de ajuste fueron las suspensiones.
Como consecuencia de esta evolución diferencial en las diferentes categorías, la composición del empleo registrado se modificó cerrando el 2020 con el 48,9 % de trabajadores/as asalariados/as del sector privado (5,8 millones de personas), el 27,1 % del sector público (3,2 millones), el 13,8 % de monotributistas (1,6 millones) y el 10,2 % integrado por el resto de las modalidades (1,2 millones). En síntesis, se puede observar que tuvo lugar una caída de los empleos en el sector privado, y un incremento en la participación de asalariados/as del sector público y principalmente en las formas de trabajo independiente, las cuales generalmente implican menores niveles de protección social.
El parate de la actividad sin duda afectó el nivel de ocupación del mercado laboral, la composición del empleo y los ingresos, que exhibieron distintas trayectorias dependiendo del grupo de trabajadores analizado. Sin embargo, tal como se mencionó antes, el gobierno no puede quedar excluido dado que lanzó un paquete de medidas con la intención de contener la crisis, y en algún caso, incluso con anterioridad.
A poco de asumir el gobierno, Fernández avanzó con distintas medidas que buscaban fijar nuevos pisos para la negociación salarial. A través del Decreto 56/2020 para el sector público nacional y trabajadoras de casas particulares, el Decreto 14/20 para el sector privado, y la Resolución 1/2020 de la Comisión Nacional de Trabajadores Agrarios, para los trabajadores rurales, se fijaron sendos reajustes salariales. Estos marcaron el pico de incremento que se ve durante el mes de enero de ese año tanto en el sector privado registrado como en el índice de salarios totales6 –traccionado por el primero– (Gráfico 3). Además, aquel momento es prácticamente el único donde los trabajadores privados registrados obtienen un incremento en términos reales desde diciembre de 2019 a esta parte (solo se repite dos veces más sobre 16 meses comprendidos).

En un análisis abierto por ámbito institucional y condiciones de trabajo, se puede ver que, desde el cambio de gobierno, el salario privado registrado venía obteniendo el mayor aumento, que empujaba la suba del índice total. Sin embargo, con la declaración de las medidas de aislamiento obligatorio, los salarios privados tuvieron una baja considerable –incluso con variaciones negativas en abril y mayo–, lo que podría relacionarse con el acuerdo celebrado entre la Unión Industrial Argentina y la Confederación General del Trabajo (Resolución 397/2020, 29 de abril), en la que ambas entidades pactaron la posibilidad de pagar hasta el 75 % de los salarios para los trabajadores suspendidos durante la pandemia (lo que ya venía sucediendo y el acuerdo no hacía más que regularizar). Esta resolución fue extendida hasta fines de julio, mes en el que empieza a verse una recuperación salarial.
A su vez, las medidas impuestas por la pandemia modificaron la dinámica habitual de las paritarias. A diferencia de años anteriores, donde la inflación y los valores de actualización salarial acordados por los sindicatos más grandes funcionaban como guía para los restantes sectores, la característica que prevalece en la ronda de paritarias 2020 es la diversidad de acciones. Ladispersión exhibió desde gremios que mantuvieron el esquema habitual de aumentos porcentuales de las escalas por el término de un año, otros con incrementos salariales menores a través de sumas fijas o porcentaje, y finalmente, aquellos que hacia octubre no habían iniciado las negociaciones salariales a pesar de tener vencidos sus respectivos acuerdos salariales (MTEySS, 2020).
Podría pensarse, entonces, que estos factores combinados incidieron en que el sector que tradicionalmente lidera los cambios favorables –y que menos pierde frente a la inflación– sea el de peor desenvolvimiento entre los meses de marzo y agosto, dentro del universo de trabajadores asalariados (Gráfico 3).
3.I La desigualdad salarial entre privados registrados
El comportamiento del índice salarial nos invita a analizar algo que se presentaba como una obviedad, es decir, que en el segundo trimestre de 2020, donde fueron más estrictas las restricciones de circulación, la desigualdad de ingresos se vio incrementada –tanto respecto del trimestre anterior como de igual período de 2019–. Sin embargo, ese resultado esperado para el conjunto de trabajadores y trabajadoras –asalariados, no asalariados, privados y públicos, formales e informales–, y patrones, no se replicó entre quienes tenían empleos protegidos y bien remunerados (en relación al conjunto de la fuerza de trabajo).
En primer lugar observamos que, lejos de incrementarse las desigualdades de ingresos entre asalariados registrados del sector privado, observamos que la pandemia implicó una reducción de dichas disparidades. Particularmente en los trimestres 2 y 3 del 2020 se observa una baja considerable que comienza a revertirse a medida que se recuperan los niveles de actividad económica a inicios del 2021 (Ver Gráfico 4, donde la altura de las barras representa el índice de Theil).7 La caída que se registra en el segundo trimestre de 2020 se mantiene relativamente constante el resto del año, volviendo a valores cercanos a la pre-pandemia a inicios de 2021.

Este resultado, que a priori pareciera ser contraintuitivo, se puede explicar a través del análisis particular de los elementos del Theil (provincias y sectores). En primer lugar, a pesar de que los 25 territorios nacionales (24 provincias y CABA) contribuyen a la desigualdad salarial, algunos lo hacen por recibir salarios medios por encima de la media nacional (gráficamente, se observan contribuciones por encima de cero), mientras que la amplia mayoría de las provincias aportan a la desigualdad dado que los salarios de sus trabajadores se encuentran por debajo del promedio (gráficamente, se observan contribuciones por debajo de cero).
En segundo lugar, buena parte de la reducción de la desigualdad se explica principalmente por lo que ocurre en los territorios con mayor nivel salarial: Santa Cruz, Chubut, Neuquén y CABA. Sin embargo, otras tres provincias, Córdoba, Mendoza y Tucumán (que se encuentran graficadas en los extremos inferiores de las barras), también hacen un aporte significativo. Por un lado, los ingresos laborales empeoran en la Patagonia y en CABA, territorios tradicionalmente favorecidos en la estructura salarial, ya que tienen ingresos medios más altos que la media nacional. Asimismo, la Patagonia, y en menor medida CABA, presentan caídas en el empleo superiores a lo sucedido a nivel nacional, por lo tanto reducen su participación en el empleo total. De conjunto, esto hace que se reduzcan las contribuciones a la desigualdad que hacían cada uno de estos territorios. Por otro lado, los territorios mencionados de la región centro y norte (Córdoba, Mendoza y Tucumán), se vieron menos afectados por las medidas tempranamente decididas por el gobierno nacional con la intención de contener el avance inicial de la pandemia.
Dos impactos diferenciados aparecen entremezclados: mientras que Tucumán es un caso excepcional, en el que crece el empleo, en las provincias de la región centro la mejora se explica por incrementos en los salarios por encima de la media nacional. Por tanto, dado que estas provincias presentaban ingresos inferiores a la media nacional, el que mejoraran también redujo la desigualdad.
Tal como señalamos, esta caída de la desigualdad salarial regional puede encontrar explicación a partir de la heterogénea distribución territorial de las distintas ramas de actividad, y del impacto diferencial que ha tenido la pandemia y las medidas de aislamiento implementadas sobre ellas.
En las provincias destacadas de la región Patagonia (Chubut, Neuquén y Santa Cruz), tiene un alto impacto la caída nominal (-15 % promedio) del salario de las y los trabajadores de Minas y Canteras, un sector que representa alrededor del 20 % del empleo. Por el contrario, sectores atrasados en la escala salarial como Agricultura y Ganadería, Enseñanza y, en menor medida, Salud, obtienen los mayores incrementos entre un trimestre y otro (32 %, 16 % y 19 %, respectivamente). En el mismo sentido operan los cambios en el empleo: sectores atrasados en la escala salarial regional sufren fuertes ajustes, viendo reducidos de manera muy significativa los empleos registrados en dichos sectores. Estos son los casos de Hotelería y Restaurantes (-19 %), Agro y Ganadería (-14 %), y Construcción (-9 %).
En CABA –territorio que mayor aporte hace a la desigualdad–, destacan las caídas en los salarios nominales de sectores de altos ingresos como Intermediación financiera (-7 %), Electricidad, gas y agua (-14 %), y Minas y Canteras (-19 %) –este último sector con una presencia menor–. Asimismo, aparece una fuerte contracción del empleo en sectores de salarios bajos como Construcción (-15 %), y Hotelería y Restaurantes (-12 %).
Al momento de comentar los aportes a la reducción de desigualdades de las provincias con salarios por debajo de la media, aquí ya no importan tanto las caídas de ingresos de los estratos altos de trabajadores, sino los aumentos de salarios en los sectores tradicionalmente relegados. Tanto en Córdoba, como en Mendoza y Tucumán, aparecen algunos rasgos coincidentes: los principales incrementos se encuentran en Agricultura, ganadería, caza y silvicultura, Enseñanza, y Servicios Inmobiliarios, empresariales y de alquiler. A su vez, estos sectores tienen una participación relevante en el empleo de cada una de estas provincias –lo que amplifica las reducciones en la desigualdad–: en Tucumán 4 de cada 10 trabajadores pertenecen a las mencionadas ramas de actividad, mientras que en las restantes la proporción es 3 de 10. Al mismo tiempo, se destaca nuevamente la caída en los salarios nominales en Minas y Canteras (superiores al 15 %), con excepción de Córdoba, donde se mantienen constantes.
Por otra parte, para completar lo referido al empleo provincial, Construcción y Hotelería y Restaurantes son los sectores que más ven reducidos los empleos registrados en el sector privado, aunque con distintas magnitudes: con ajustes promedio del orden del 20 % en Córdoba, del 10 % en Tucumán y del 4 % en Mendoza.
En resumen, la significativa disminución de la desigualdad salarial se explica, en principio, por dos procesos yuxtapuestos: mientras en las regiones del país con mejor nivel salarial, principalmente Patagonia y CABA, se observa una caída de los ingresos salariales más altos, en el conjunto del país se evidencia una disminución del volumen de empleos registrados de los sectores asociados a menores niveles de ingreso, junto a un incremento del salario de algunos sectores que se encontraban por debajo de la media. En el primer caso, en relación a lo sucedido en particular en los sectores Minas y Canteras, Intermediación financiera y Electricidad, gas y agua, en el segundo caso vinculado los sectores Construcción y Hotelería y Restaurantes, y en el tercer caso asociado a Agricultura, ganadería, caza y silvicultura, Enseñanza, y Servicios Inmobiliarios, empresariales y de alquiler.
4. Comentarios finales
Explicar la complejidad del impacto de la pandemia COVID-19 requiere no solo miradas de conjunto, que hagan foco en aspectos macroeconómicos y sociales, sino también buscar entender trayectorias diferenciadas, incluso de quienes son percibidos en principio como sectores más protegidos o privilegiados. En ese sentido el texto aporta una lectura de la dinámica del mundo del trabajo privado formal en Argentina, y complementa los textos que, con mayor frecuencia, han aludido al impacto de la pandemia sobre la desigualdad económica con el acento en las disparidades entre trabajadores registrados y no registrados, o entre sector público y privado.
El impacto de la pandemia llegó a este sector mediado por acuerdos entre las cámaras empresarias y la CGT (refrendados por el gobierno), como así también por una batería de políticas que lo tuvieron como destinatario. Sin embargo, el parate económico repercutió de manera directa sobre salarios y también sobre puestos de trabajo. El acuerdo entre empresarios y el movimiento obrero organizado pareciera haber motorizado la velocidad del ajuste en los salarios, lo cual puede ser también leído como un proceso que ya se había desencadenado antes del acuerdo a nivel nacional, y que se expresaba de facto en suspensiones y recortes salariales. Dichas medidas parecieran haber logrado frenar la caída de empleo en determinadas ramas, aunque no corrió la misma suerte en todos los sectores de actividad, por lo que tuvo incidencias regionales diferenciadas. Una clave interpretativa indicaría que las suspensiones y los ajustes en salarios se dieron en sectores de menor precariedad, salarios altos y mayor organización sindical, mientras que los ajustes en empleo coinciden con sectores con menores niveles de organización sindical, salarios bajos y mayores niveles de precariedad (uno a otro se refuerzan).
Es decir, durante la pandemia la disminución de la desigualdad salarial al interior del universo del trabajo asalariado registrado privado pareciera responder a dos formas diferentes de imposiciones del capital. Por un lado, en los sectores de salarios altos y más sindicalizados, hay una concesión por parte de los trabajadores en términos de ver reducido sus ingresos frente a la amenaza de despidos. Por otro lado, en los sectores de actividad con menor nivel salarial y asociado a niveles más bajos de sindicalización se multiplicaron situaciones de suspensiones y cesantías. Ambas situaciones se concentraron territorialmente, distribuyéndose de manera inequitativa por el territorio nacional. Ello propició la disminución de la desigualdad salarial entre empleados del sector privado.
Solo es posible comprender dicha situación a la luz de la heterogénea realidad económica de nuestro país, atravesada por una profunda y estructural desigualdad social y económica, donde las ramas y sectores de actividad se distribuyen de forma disímil por el territorio nacional. En ese sentido, y para finalizar, entendemos que el texto aporta una mirada particular sobre la realidad laboral argentina, dando cuenta de la amplitud y diversidad del país, con realidades económicas disímiles, lo que impone agudizar las miradas sobre la estructura productiva diversificada y heterogéneamente distribuida en el amplio territorio nacional.
Referencias bibliográficas
Actis Di Pasquale, E. y Gallo, M. E. (2020). La reconfiguración del mercado de trabajo de Mar del Plata en tiempos de cambio macroeconómico (2011-2019). FACES, 26(55), 9-34.
Arcidiácono, P. y Gamallo, G. (2020). El Ingreso Familiar de Emergencia. Respuestas inmediatas y debates futuros. Serie Debates Número 2. Buenos Aires: Grupo Derechos Sociales y Políticas Públicas.
Assusa, G. y Kessler, G. (2020). Reactivación de desigualdades y vulneración de derechos en tiempos de pandemia. En J. P. Bohoslavsky (comp.), Covid-19 y derechos humanos: la pandemia de la desigualdad. Argentina: Biblos.
Barrera Insua, F. (2018). Salarios Desiguales: Entre la valorización del capital y la acción sindical. Buenos Aires: Miño y Dávila Editores.
Barrera Insua, F., y Pérez, P. E. (2019). Como comer y descomer: flexibilización laboral y baja salarial durante el gobierno de Cambiemos. En P. Belloni y F. Cantamutto (Eds.), La economía política de Cambiemos: Ensayos sobre un nuevo ciclo neoliberal en la Argentina. CABA: Batalla de Ideas.
Beccaria, L. y Maurizio, R. (2020). Los impactos inmediatos de la pandemia: cuando la diferencia es entre quienes continúan percibiendo ingresos y quienes los perdieron. Alquimias económicas. Recuperado de https://alquimiaseconomicas.com/2020/04/24/los-impactos-inmediatos-de-la-pandemia-cuando-la-diferencia-es-entre-quienes-continuan-percibiendo-ingresos-y-quienes-lo-perdieron/
Conceição, P., y Galbraith, J. K. (2012). Constructing Long, Dense Time Series of Inequality Using the Theil Index. En J. Galbraith y M. Berner (Eds.), Inequality and Industrial Change (pp. 263-279). Cambridge: Cambridge University Press.
Dalle, P. y Actis Di Pasquale, E. (2021). El impacto de la doble crisis de la prepandemia y la pandemia en las tendencias ocupacionales en Argentina (2003-2020). Tramas, 15, 30-48.
Filgueira, F., Galindo, L. M., Giambruno, C. y Blofield, M. (2020). América Latina ante la crisis del COVID-19: Vulnerabilidad socioeconómica y respuesta social. Serie Políticas Sociales N° 238. Santiago: Comisión Económica para América Latina y el Caribe (CEPAL).
Manzanal, M. y Rofman, A. (1989). Las economías regionales de la argentina. Crisis y políticas de desarrollo. Buenos Aires: Centro Editor de América Latina-CEUR.
Manzanelli, P. y Calvo, D. (2020). De la reactivación a la crisis: la industria argentina durante el ciclo de gobiernos kirchneristas. Sociedad y economía, 40, 119-142.
MTEySS (2020). Panorama mensual del trabajo registrado. Datos a agosto y septiembre 2020. Recuperado de http://www.trabajo.gob.ar/downloads/estadisticas/reportelaboral/panorama_del_trabajo_registrado_2011.pdf.
OIT (Organización Internacional del Trabajo) (2020). Panorama Laboral 2020. Lima: Oficina Regional para América Latina y el Caribe.
Weller, J. (2020). El impacto de la crisis sanitaria del COVID-19 en los mercados laborales latinoamericanos. En Documentos de Proyectos (LC/TS.2020/90). Santiago: Comisión Económica para América Latina y el Caribe (CEPAL).
Notas

