

Artículos de Investigación
Estrategias de formación en busca de una Universidad socialmente responsable
Training strategies in search of a socially responsible University
Estratégias de formação em busca de uma universidade socialmente responsável
Pensamiento Americano
Corporación Universitaria Americana, Colombia
ISSN: 2027-2448
ISSN-e: 2745-1402
Periodicidad: Frecuencia continua
vol. 12, núm. 24, 2019
Recepción: 20 Septiembre 2018
Aprobación: 22 Diciembre 2018
Resumen: El objetivo del estudio es diseñar una estrategia de Responsabilidad Social (en adelante RS) basada en las expectativas de los estudiantes de grados superiores de distintos programas de una universidad privada en Barranquilla. A partir de un análisis de correlación y clusterización se analizan y clasifican las expectativas de los estudiantes sobre RS en la universidad. Entre los resultados más destacables, se demuestra la importancia de variables con alta correlación que deben ser priorizadas en el orden de las inversiones y mediciones, por su influencia con otras variables. El estudio provee una definición sobre la RS a partir del aporte teórico y datos empíricos obtenidos en la investigación, planteando además, una estrategia de Responsabilidad Social aplicable a una Universidad. Se exponen reformas curriculares, relacionamiento con la comunidad, apoyo al desarrollo de profesores y el desarrollo constante de procesos de evaluación y vigilancia con respecto a la Responsabilidad Social.
Palabras clave: Responsabilidad social Universitaria (RSU), Stakeholders, Ética y moral, Métodos Cuantitativos, Estrategia..
Abstract: The objective of the study is to design a strategy of Corporate Social Responsibility (hereinafter RS) based on the expectations of students in higher grades of different programs of a private university in Barranquilla. Based on a correlation and clustering analysis, students' expectations of SR in the university are analyzed and classified. Among the most noteworthy results, the importance of variables with high correlation that should be prioritized in the order of investments and measurements, due to their influence with other variables is demonstrated. The study provides a definition of SR f rom the theoretical contribution and empirical data obtained in the research, also proposing a Social Responsibility strategy applicable to a University. Curricular reforms, relationship with the community, support for the development of teachers and the constant development of evaluation and monitoring processes regarding Social Responsibility are exposed.
Keywords: Transformations, discourse, counterculture, 1968, representations, cinema, images, films.
Resumo: O objetivo do estudo é projetar uma estratégia de Responsabilidade Social (a seguir RS) com base nas expectativas de alunos do ensino superior de diferentes programas de uma universidade privada em Barranquilla. A partir de uma análise de correlação e agrupamento, as expectativas dos estudantes sobre RS na universidade são analisadas e classificadas. Dentre os resultados mais notáveis, é demonstrada a importância de variáveis com alta correlação, que devem ser priorizadas na ordem dos investimentos e mediações, devido a sua influência em outras variáveis. O estudo fornece uma definição de RS com base na contribuição teórica e nos dados empíricos obtidos na pesquisa, propondo também uma estratégia de Responsabilidade Social aplicável a uma Universidade. São expostas reformas curriculares, relações com a comunidade, apoio ao desenvolvimento de professores e desenvolvimento constante de processos de avalição e monitoramento de Responsabilidade Social.
Palavras-chave: Responsabilidade Social Universitária (RSU), Acionistas, Ética e moral, Métodos Quantitativos, Estratégia.
Introducción
La Responsabilidad social empresarial (en adelante RSE) es conocida hoy como tendencia mundial, debido en parte al grado de preocupación de la aldea global sobre el estado del medio ambiente o el desarrollo de prácticas de comercio más justas, así como la mitigación de las necesidades básicas de los menos favorecidos, entre otras. La Responsabilidad Social (en adelante RS) le apuesta a la mejora de las condiciones de vida de la comunidad de referencia, y crear valor social mediante acciones que son orientadas al entorno (Gutiérrez & Mendoza, 2012). Promueve en la empresa el deseo de comportarse de forma socialmente responsable; contribuyendo a partir de acciones y hechos a mejorar la vida de las comunidades que hacen parte del entorno de referencia (Fernández, 2005; Saravia, 2012). La RSC (Responsabilidad Social Corporativa) es un compromiso de la empresa con la sociedad por mantener un comportamiento corporativo autoexigente, conociendo las consecuencias del impacto de la empresa en la sociedad integrando las preocupaciones sociales y medioambientales (Pri- cewaterhouse Coopers, 2005). El impacto de las operaciones de la empresa sobre muchos factores humanos, haciendo que la seguridad y los derechos humanos se conviertan en temas prioritarios dentro del concepto de RS (D´Andreis, 2012).
Este artículo es un acercamiento a las expectativas de los estudiantes de una universidad privada en Barranquilla para conocer sobre su percepción, proponiendo el diseño de estrategias que promuevan reputación, compromiso social y calidad. Las universidades están dando pasos hacia la RS como mecanismo que refuerza su proyecto institucional y su misión. Es un compromiso constante con el desarrollo social. De acuerdo con AUSJAL (citado por Aldeanueva & Jiménez, 2013)
"no sólo Europa presenta la RSU con una relevancia clave en las universidades y otras instituciones de educación superior. En el Cono Sur Americano, las iniciativas son numerosas y abarcan diversos países” (p. 2). La RSU es una política de gestión universitaria que responde a los impactos organizacionales y académicos de la Universidad en la sociedad (Vallaeys, 2014).
Se exponen los resultados empíricos y el diseño de estrategias de formación que surgen del estudio de la percepción de los estudiantes de una universidad en Barranquilla sobre la ocurrencia de prácticas empresariales que giran en torno a la Responsabilidad Social Empresarial. Se desea identificar correlaciones entre las variables para proponer estrategias basadas en variables correlacionadas que faciliten la inversión de la Universidad para mejorar la calificación o índice de percepción de los estudiantes. Se pretende además conocer las similitudes en la manera de pensar de los estudiantes sobre las prácticas de RS de la Universidad a través de la técnica de clusterización, identificando grupos con similitudes en la percepción, pero al mismo tiempo, distintos de otros grupos.
La primera parte del artículo trata sobre la evolución de la RSE en las universidades. La segunda parte trata de la RSE y las alternativas para que las universidades incorporen ésta a su estrategia corporativa. A partir de la revisión del estado del arte que se hace, se logra la operacionalización de las variables que hacen parte del cuestionario Likert que se utiliza en la investigación; como instrumento la escala Likert permite medir variables psicológicas, económicas y sociales (Henríquez, Rada & Torrenegra, 2016). La tercera parte expone los aspectos metodológicos, métodos y materiales utilizados para realizar la investigación. El cuarto apartado expone los resultados y hallazgos realizados con base en estadística inferencial, bajo las técnicas de correlación de variables y clusterización. Una quinta par- te del artículo expone las conclusiones, recomendaciones y líneas futuras que ha dejado la investigación sobre la RS en la Universidad. A partir de las consideraciones metodológicas se desea dar respuesta a la pregunta:
¿Cómo debe ser el diseño de una estrategia de Responsabilidad Social para la Universidad privada?
2. Evolución de la Responsabilidad Social y sus beneficios para las Universidades
La responsabilidad Social es un tema de relevancia para las actuales prácticas de management que persigan modelos sostenibles en el tiempo y la legitimidad con la sociedad. De acuerdo a Cubillos, Montealegre y Delgado (2016) a pesar que cobra cada día más importancia, no existe una unificación o concepto único en lo que respecta a la RSE; en cambio, se encuentran muchas nociones sobre el tema. La RSE no es una práctica nueva, remontándose sus principios a cerca de dos siglos atrás. Según Montaño (2014) la RSC se inicia casi simultáneamente al surgimiento de las grandes empresas en Estados Unidos hacia finales de 1800, cuando estas comienzan a surgir como corporaciones por acciones.
Sobre la importancia de la RS, Arévalo (2014) indica que, a partir de finales del siglo XIX hasta la actualidad, la RSE surge y se mantiene como un factor fundamental para el desarrollo de las organizaciones, apareciendo como mecanismo para establecer un límite a los abusos de las empresas en el mercado laboral y proteger los derechos de los consumidores. Desde su aparición misma, la RS comienza su evolución en los años cincuenta donde se comienza a identificar en la literatura, esfuerzos de hombres de negocio en favor del bienestar de la sociedad (Bowen, 1953);
Además de la proporcionalidad de los hombres de negocios con la sociedad dependiendo su poder social (Davis, 1960); obligaciones de las empresas con la sociedad más allá de obligaciones impuestas por ley (Mc Guire, 1963); mejora de las relaciones con la comunidad considerando intervenciones que aportan a su bienestar (Heald, 1970); promoción de calidad de vida, preservación del medio ambiente, reducción de la pobreza y la satisfacción de necesidades con servicios y productos a la sociedad (Hay & Gray, 1974).
Se logra la destinación de recursos para hacer frente a las demandas sociales y formación de coaliciones con grupos externos para el manejo de temas de carácter social (Berg & Mayer, 1978); se alinea el desempeño social de las empresas a las expectativas que la sociedad tiene en lo que respecta a la parte legal, ética y económica (Carroll, 1979), y se logra el compromiso de la alta dirección en la toma de decisiones responsables escuchando la opinión de los trabajadores (Jones, 1980). La RS continúa su evolución planteando modelos en los que se incorporan responsabilidades éticas, legales y económicas apoyadas en un marco filantrópico (Carroll, 1991); se proponen alianzas con partes interesadas que generen beneficios mutuos siendo sostenibles en el tiempo no limitándose solo a donaciones (Austin, Herrero & Reficco, 2004); en la gestión se diseñan estructuras y herramientas organizativas que procuran un comportamiento responsable (Fernández, 2005); así como un alcance hacia aspectos y efectos sociales, ambientales y económicos (Correa, Flynn & Amit, 2004). La gestión de los recursos de la organización repercute en el desempeño de los miembros de su cadena de suministro (Hen- ríquez, Cardona, Rada-Llanos & Robles, 2018). Otros autores agregan a este proceso evolutivo, la voluntariedad y exigencia en las acciones, con un comportamiento corporativo autoexigente que reconozca el impacto de la empresa (Pricewaterhouse Coopers, 2005);
El contrato social que se “firma” debido a la pluralidad de agentes afectados por las acciones de la empresa (González, 2007) y la incorporación de la legitimidad en la dirección median- te una administración ética y moral (Cuevas, 2009); gestión caracterizada de conciencia moral, principio y valores universales compartidos (Barraza, 2010). Para Paz, Harris y Franco (2016) la RS representa un producto de la ética empresarial en la medida que afronta la gestión social de manera compartida, mientras enlaza los indicadores sociales en su planificación estratégica organizacional.
En este marco teórico se plantean acciones de liderazgo de la empresa en labores propias de la sociedad y su entorno interno y externo (Torres, 2011); obteniendo beneficios externos como imagen pública e internos como valores, motivación, entre otros (Ojeda, 2011); mientras se mejora la calidad de vida de una comunidad creando valor social (Gutiérrez & Mendoza, 2012); focalizando los esfuerzos en el entorno que rodea a la empresa mediante el desarrollo de acciones dirigidas a mejorar la calidad de vida de comunidades de referencia (Saravia, 2012); y el desarrollo de prácticas en el entorno social, medioambiental y económico (Salgado & González, 2013).
Con el paso de los años crecen las necesidades de los distintos grupos de interés alrededor de las empresas y la problemática actual en lo social, económico y ambiental de los mercados; con lo cual evoluciona la RS en varios campos del management como el empresarial, el educativo y el financiero. En este sentido, López (2014) explica su síntesis acerca de la evolución de la RSE en las sociedades de Estados Unidos y Europa, considerando que: 1) pasa de la filantropía a la filantropía estratégica; 2) evoluciona de la inversión a la inversión socialmente responsable; 3) se pasa de hablar de negocio a negocio social; 4) de los fondos de capital de riesgo se pasa a hablar de los fondos sociales de capital de riesgo;
5) evolucionan los másteres ofertados en Administración de Empresas a los MBA en RSE. Por su parte Henríquez (2013), sostiene que la RSE supone el reconocimiento y la integración en la gestión y operaciones de la organización con sus esfuerzos sociales y desarrollo interno, obligando a un análisis holístico de las actividades de la empresa si se desea responder a preocupaciones sociales, laborales, medioambientales, de respeto a consumidores y usuarios y a los derechos humanos. Con respecto a estos últimos, Molina, Higuera y Henríquez (2018) identifican que el plan nacional de acción sobre derechos humanos y empresas en Colombia contempla acciones que corresponden con aspectos de los pila- res de los principios rectores operativos sobre las empresas y los derechos humanos de las Naciones Unidas: El deber del Estado de proteger los Derechos Humanos (el nexo entre el Estado y las empresas, el fomento del respeto de los derechos humanos por las empresas en zonas afectadas por conflictos y la garantía de la coherencia política), la responsabilidad de las empresas de respetar los Derechos Humanos (el compromiso político de las empresas y la debida diligencia en materia de derechos humanos) y el acceso a mecanismos de remediación (los mecanismos judiciales estatales, los mecanismos extrajudiciales de reclamación del Estado y no estatales).
Entendida como estrategia para la gestión empresarial, Sepúlveda, Ordoñez y Prada (2014) afirman que la RSE es entendida por empresarios (de un sector económico en Colombia) como un modelo pull market donde los principales beneficios se encaminan al posicionamiento y el favorecimiento a empleados. Por lo anterior, puede afirmarse que las universidades podrían enfocar su estrategia hacia el desarrollo de su entorno en lo social y económico, con prácticas gerenciales éticas y el cumplimiento de las disposiciones legales que le generen legitimidad.
Es una manera de ganar reputación. La Universidad debe ser considerada un motor para el cambio social, proponiendo modelos educativos dinámicos que sean flexibles y estables para formar egresados que estén preparados para enfrentar los nuevos retos que trae la sociedad de la información y del conocimiento (Gómez, C. & Gómez, M., 2014). Los egresados deben responder así a las demandas sociales que le impone la comunidad, acercándose y conociendo sus demandas y expectativas de primera mano.
En la dimensión de filantropía, queda difícil al sector universitario apostarle a las acciones de donación para mitigación de necesidades básicas (fisiología); no obstante pueden aportar en la etapa de seguridad según la clasificación de Maslow (Jerarquia de las necesidades humanas), a partir de programas de educación de acceso gratuito que permitan mejorar habilidades o competencias en personas de la comunidad para mejorar su empleo o mantenerse más competitivo, o generar emprendimientos gracias al acompañamiento brindado en estos programas. La universidad debe buscar la manera de ser sostenible económicamente. Las organizaciones pueden apoyar con acciones responsables a la construcción de una sociedad, reestructurando su función económica a cambio de destinar inversión a indicadores de impacto social que favorezcan el bienestar de una sociedad sostenible (Paz, Harris y Franco, 2016).
La RSE se puede emplear como estrategia para generar ganancias y permitir sostenibilidad a las empresas disminuyendo costos e incorporando por ejemplo, personas de bajos recursos o de la localidad, a su cadena de suministro, utilizando como modelo de gestión los negocios inclusivos, proponiendo solución de necesidades en doble vía (empresa y stake- holders) y mutuos beneficios.
Según Rochlin (2005), la RSC puede ser muy rentable para la empresa y la sociedad, otorgando beneficios externos como reputación, construcción de marca, fidelidad de consumidores, retención de empleados y prácticas innovadoras de producción, así como conservación de licencias o contratos. Brinda fuentes de ventajas competitivas sostenibles (la RS) como aspecto emocional de la imagen y lealtad de marca (Martínez, Pérez & Rodríguez, 2014). La RS en la Universidad permite la mejora y el aprendizaje continuo de la Universidad como organización, además de gestionar el impacto de sus acciones en la sociedad,
La universidad, como cualquier empresa, debe tener una gestión dónde la ética esté de por medio, para generar un ambiente de trabajo propicio para los empleados, condiciones laborales estables y ser reconocidas como buenas ciudadanas ejemplares para adquirir reputación. Las piezas claves de esta gestión son los gerentes, debiendo ser éticos y responder a las expectativas de la sociedad para mantener su legitimidad como agentes en la sociedad (Jamnik, 2011).
La gestión ética reviste importancia, siendo considerada un tema importante para el desarrollo sustentable como una dimensión para ser responsables socialmente (Cuevas, 2009). En lo que se refiere a la dirección de la empresa, Cuevas le da mucha importancia a la legitimidad y la credibilidad a través de la ética, afirmando que a través de la ética de la empresa (EE) se logra discernir entre lo que es bueno, recomendable y correcto desde el punto de vista ético y moral, en la administración de las empresas capitalistas.
Cuevas (2009), agrupa la importancia de la gestión ética en los negocios (comportamiento moral del administrador, recursos humanos, recursos, relaciones con los stakeholders), el desarrollo sustentable
(cuidado del medio ambiente, eficiencia económica, empleo, justicia social, derechos del hombre, lucha contra la corrupción, salud) y la RSE (eficiencia económica, empleo, derechos del hombre, cuidado del medio ambiente, relaciones con los stakeholders, salud, cultura). El apostarle al desarrollo de una sociedad no es un tema fácil, y se debe ser muy íntegro y trasparente en el manejo de los recursos para poder alcanzar eficiencia en la gestión; teniendo en la investigación un bastión importante para el reconocimiento de las necesidades de la comunidad.
Para Viteri, Jácome, Medina y Piloto (2012), las instituciones de educación superior deben asumir los retos de ayudar a la transformación de la sociedad; involucrándose con la sociedad civil para contribuir al desarrollo humano sostenible como un factor de transformación social, impulsando la construcción de un entorno inclusivo, equitativo y sustentable. En las universidades, los rectores asumen la cabeza visible de la dirección y trazan junto a las estructuras de gobernanza de la entidad, los retos, definen funciones y propósitos para la Universidad: Generar beneficios, imagen de marca, tomar decisiones que permitan un mejor gobierno, legitimidad y credibilidad en la sociedad; promoviendo además prácticas para preservar el medio ambiente. Al direccionar una universidad, se debe pensar en las partes interesadas o Stakeholders, ya que son los grupos de personas que se ven afectadas o afectan a la Universidad. La gobernanza de la institución es muy importante toda vez que asigna los recursos y es percibida por los Stakeholders internos y externos; de su efectividad, transparencia y desempeño dependerá la gobernabilidad de la organización (Henríquez et al., 2018).
Para focalizar mejor sus estrategias de RSE, la universidad debe identificar a sus stakeholders. Según Saravia (2012). los principales stakeholders de una universidad, son aquellos que componen la comunidad universitaria, en la cual convergen miles de personas que encuentran sentido a parte de sus vidas, integrándose de maneras diversas de acuerdo a unas funciones que asumen en su marco institucional, sea en calidad de profesores, estudiantes en carrera o graduados, o como funcionarios. A estos grupos se les suma la sociedad, la cual espera de la universidad solución a problemas diversos a partir de sus funciones de extensión, docencia e investigación.
En su calidad de actor de una localidad, la Universidad debe impulsar proyectos de desarrollo para beneficio de la comunidad; mitigando el impacto que sus operaciones tienen en distintos grupos de personas; ya que como cualquier empresa sus operaciones pueden impactar en la cotidianidad de la comunidad. Al respecto, Mejía (2013) sostiene que como su operación impacta y es impactada por personas u organizaciones, desde las comunidades esperan comportamientos distintos a los que la ley obliga a la organización, más en un país con muchas necesidades básicas insatisfechas y problemas sociales de toda índole (Higuera & Molina, 2017a; 2017b).
La universidad puede obtener múltiples ventajas en el momento de desarrollar estrategias de RSE; además de beneficios como reposicionamiento de marca, acercamiento a segmentos estratégicos de mercado por el compromiso ambiental o social, diferenciándose a través del valor agregado mientras mantiene precios por encima de los competidores (Austin, Herrero & Reficco, 2004). En este orden de ideas, Vila y Gimeno-Martínez (2010) sostienen que, a través de la RSC, se logra en el consumidor influir en el conocimiento que tienen sobre la empresa y sus productos; en la actitud que despierta en el consumidor y en el comportamiento de compra que suscita.
En síntesis, se puede agregar que, la construcción de una idea clara sobre la importancia que reviste la RSE en la dirección estratégica de la universidad y el desarrollo sostenible de la comunidad, permitirá a la Universidad acceder a información primaria para tomar decisiones para mejorar su entorno y las expectativas de los estudiantes.
3. Metodología, métodos y materiales
El estudio es de corte descriptivo y explicativo. Basado en datos empíricos, surge como un ejercicio de investigación donde se determina como unidad de análisis a los estudiantes de semestres avanzados de diferentes programas en una Universidad privada de Barranquilla. Se escoge este perfil por la madurez que representa esta muestra y el acceso que se tiene a ella.
Al menos el 70% de los encuestados son personas que trabajan y han tenido contacto con empresas certificadas en sistemas de gestión de calidad, o sus empresas le apuestan de alguna forma a las prácticas de tipo ambiental para proponer el cuidado del medio ambiente, prácticas filantrópicas o estrategias de asocio con empresas menores que integran a su cadena de suministro y que permiten la sostenibilidad de ambas partes.
La segunda razón por la cual se han escogido los estudiantes de semestres avanzados, es que en su mayoría (80%) han cursado las asignaturas deporte y cultura, bioética y medio ambiente y ética profesional en semestres anteriores. Esto los habilita para el desarrollo de la encuesta, ya que manejan los conceptos básicos sobre la RSE y la temática propia de la investigación.
Los datos son analizados con la técnica de correlación de variables para describir y encontrar relaciones entre variables. Posteriormente se utiliza la técnica de clusterización para identificar grupos que realizan la medición en la distribución de manera parecida, y a la vez, diferente a los otros grupos. De acuerdo a Díaz, Díaz, González y Henao (2013), la técnica de clusterización tiene por objetivo la formación de grupos con base en un conjunto de elementos, resultando en la formación de grupos lo más parecido posible y a la vez, diferentes de los elementos de otros grupos.
3.1 Dimensionamiento de la muestra. Se ha utilizado el concepto de Serna (2006) sobre el muestreo no probabilístico de decisión tomando como referencia una definición clara de la población objeto de estudio, la cual ha sido determinada a través de los propósitos de la investigación, el acceso a esta muestra y las características de cada miembro. De acuerdo a Chao (1993) la estimación de la muestra para este estudio se realizó a través del muestreo intencional por criterio o subjetivo, donde la escogencia de la muestra se basa en la experiencia del investigador quien por criterio propio decide qué muestra es representativa. La muestra a la que se aplicó la encuesta, consistió en 63 estudiantes de una base de 83.
3.2. Cuestionario. La encuesta realizada obedece a criterios cuantitativos buscando relaciones entre variables y develar similitudes entre las expectativas de los estudiantes con relación a las prácticas que en conjunto forman la tendencia hacia la responsabilidad social empresarial. La encuesta es la aplicación de un cuestionario con aplicación personal, telefónica o por correo (Céspedes, 2012). Se aplicó de manera personal en el salón de clases, y la prueba piloto permitió corregir la variable de desarrollo sostenible, reemplazándola por prácticas para el cuidado del medio ambiente; ya que los estudiantes en esta prueba evidenciaron muchas deficiencias en el tema de desarrollo sostenible, su conceptualización y ejemplificación.
El cuestionario lo conforman seis bloques de preguntas tipo Likert con las que se pretende conocer cuáles son las expectativas de los estudiantes en lo referente a las prácticas de la Universidad en lo que se refiere a filantropía; prácticas que promueven el cuidado del medio ambiente, que promueven el desarrollo de negocios inclusivos con la comunidad; conocer la situación al interior de la universidad en derechos humanos, el respeto hacia las disposiciones legales y la ética de la universidad en sus negocios. La escala Likert brinda la ventaja de la unificación, permitiendo trabajar con palabras y expresiones, con observaciones y percepciones, pero tiene dificultades como la manera de reducir a un número del 1 al 5 lo que el encuestado pretende decir (Pérez & De Souza, 2013). Esta escala (Likert) permite opciones variadas al encuestado basado en su percepción; brindándole mayores oportunidades al escoger la escala que consideren apropiada entre varias opciones (Henríquez, Rada & Jassir, 2016).
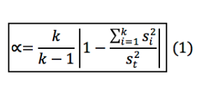
El instrumento se validó a través de la opinión de expertos en responsabilidad social, conformándose un panel de 3 expertos quienes ofrecieron sus opiniones sobre la encuesta. Además, se procedió con la aplicación del coeficiente de Cronbach para la encuesta empleada (encuestas de percepción con escala Likert). El coeficiente de Cronbach resulta muy útil en el proceso de comprobar el nivel de confiabilidad de un instrumento y es definido como un índice para medir la consistencia interna de una escala para evaluar la extensión en que se correlacionan los ítems de un instrumento (Da Silva et al., 2015). Para comprobar la confiabilidad de la encuesta, se procedió con muestra piloto de 20 encuestados, todos ellos, estudiantes de cualquier programa de la universidad donde se realiza el estudio. La fórmula 1, es la utilizada para hallar el índice o coeficiente de Cronbach.

A continuación, se explican las convenciones:
a) k, es el número de ítems (11 preguntas); b) s_i^2, corresponde a la varianza de cada item o sumatoria de las varianzas individuales;
c) s_t^2, es la varianza total del cuestionario. De acuerdo al coeficiente de Cronbach, si un instrumento tiene una calificación de 0,6 en adelante, puede ser utilizado para el estudio. Entre más calificación obtenga el instrumento en la prueba (0,6 a 0,99), mayor será la confiabilidad o fiabilidad del instrumento. Si el índice marca una calificación de 0,8 o más, puede afirmarse que es muy bueno en cuanto a su fiabilidad para los propósitos del estudio. En el caso de este ejercicio, en la fórmula 2 se muestra el resultado del coeficiente de Cronbach el cual es igual a 0,831; indicando una confiabilidad muy buena de la encuesta y la posibilidad de adelantar el estudio con ella.
4. Resultados y hallazgos
Los resultados de la encuesta revelan en primera instancia el desconocimiento de poco más de un cuarto de la población estudiantil encuestada, sobre la oferta educativa de la universidad y la falta de compromiso para diligenciar una encuesta marcando en algunos casos dos opciones por preguntas, no obstante que los investigadores impartieron instrucciones in-situ antes de la realización de la prueba, además de observar su realización para despejar dudas. Estas preguntas fueron anuladas.
La pregunta sobre formación gratuita en línea se hace para saber si existe algún tipo de esfuerzo filantrópico de parte de la Universidad orientado a beneficiar a personas de escasos recursos con capacitación en cursos de desarrollo por competencias gratuitos. Se pudo comprobar a través de la página web del centro educativo y en conversación con profesores y directivos, que la universidad no cuenta con esta oferta; sin embargo, algunos estudiantes marcaron la opción totalmente de acuerdo por lo que la encuesta fue desechada por carecer de veracidad en su contenido. Otras encuestas fueron eliminadas porque no fueron diligenciadas completamente. En la tabla 1 se puede observar el total de estudiantes encuestados, el número de encuestas que se anularon, las que se validan para el estudio y el total de estudiantes. Se validaron 47 encuestas, anulando las demás por errores al momento de responder en dos preguntas o más.
La tabla 2 presenta las dimensiones de la RSE a las cuales se refiere cada variable con las convenciones de estas últimas y sus respectivos promedios y aproximaciones. En la mayoría de las variables medidas, los estudiantes responden estar en desacuerdo o ni de acuerdo ni en desacuerdo, reflejado en las calificaciones de 2 y 3 en promedio. Solamente en PRIG la Universidad obtiene en promedio 4 (3,62 aproximado a 4), lo que significa que los estudiantes perciben entre todas las variables, estar de acuerdo solamente en esa, dejando ver la necesidad de mejorar en todas las demás.

Las de peor promedio son CGR, OBEN, PROIN, MEAE, APEP, POGE, PPU; en donde responden no estar en desacuerdo (2) o ni acuerdo ni desacuerdo (3).
Se ha realizado un análisis de tipo inferencial a través de las técnicas de correlación y clusterización de variables. Se determinan la correlación entre las variables del estudio según la escala planteada por Martínez, Tuya, Martínez, Pérez y Cánovas (2009) basada en el coeficiente de correlación de Spearman:
1) relación escasa o nula entre 0 y 0,25; 2) relación débil entre 0,26 y 0,5; 3) relación entre moderada y fuerte entre 0,51 y 0,75; y 4) relación entre fuerte y perfecta entre 0,76 y 1. La tabla 3 muestra la matriz de correlación.
El total de correlaciones que muestra la matriz es de 62, donde las variables PRIN, POGE y LAS son las más correlacionadas con 8 correlaciones cada una; la menos correlaciona- da es CGR con 3. Las variables que presentan al menos una correlación entre moderada y fuerte son PRIG (4), MEAE (3), LAS y MEAU (2),
POGE, PROIN y APEP (1). El análisis continúa con la clusterización de las variables agrupadas en un dendograma presentado en la figura 1.
Se ha decidido trabajar bajo el método del vecino más cercano para la agrupación a través de clúster. Este método permite de acuerdo a Uriel y Aldás (2005) agrupar los sujetos o variables de estudios en grupos por la cercanía que existe entre los miembros de este. El den- dograma permite la identificación gráfica de dos clústeres conformados de la siguiente manera:
Clúster 1: Estudiantes 1, 46, 16, 30, 31, 39, 47, 5,
32, 17, 42, 23, 13, 29, 6, 24, 15, 8, 9, 11, 12, 34, 43, 18,

20, 40, 36, 41, 22, 28, 7.
Clúster 2: Estudiantes 26, 44, 2, 35, 33, 38, 3, 4,
27, 10, 21, 45, 25, 19, 37, 14.
El grupo 1 está compuesto por estudiantes quienes en su mayoría responden que no están de acuerdo con la universidad en lo referente al desarrollo de obras de filantropía, beneficencia y el pago puntual a sus empleados (Variables APEP, OBEN y PPU). Este grupo reconoce los esfuerzos de la universidad en materia de inversiones y prácticas éticas, derechos humanos en lo que concierne a la libertad de asociación y promoción e igualdad de personas y la lucha de la discriminación (variables PRIN, LAS y PRIG). Sobre el resto de variables, en promedio responden ni acuerdo ni en desacuerdo, por lo que estas variables no representan mucho peso para el reconocimiento o nivel de expectativas del grupo. A este grupo se le ha denominado reconocedores de los primeros esfuerzos de la universidad en RSE en ética y derechos humanos.

El segundo grupo de estudiantes está conformado por un total de 16 estudiantes y es denominado críticos de las políticas de RSE de la universidad. Este grupo en promedio califica todas las variables con 2 o 3 (en desacuerdo y ni acuerdo ni en desacuerdo).
5. Conclusiones, recomendaciones y líneas futuras de investigación
Las expectativas de la mayoría de los estudiantes aún se encuentran muy lejos de lo que la universidad ofrece en cuanto a un modelo de RSE, ya que desconocen en promedio los esfuerzos de la Universidad en materia de RSE. Solamente la variable PRIG obtiene 4 en promedio de calificación (de acuerdo), por lo que se puede afirmar que las demás variables reflejan un vacío en las expectativas de los estudiantes encuestados. Un punto que preocupa es el escaso conocimiento del estudiantado en un semestre avanzado en el área de desarrollo sostenible, ya que es parte de las tendencias modernas que buscan preservar la armonía entre negocios con rentabilidad y el medio ambiente. Se propone incorporar en el contenido de las asignaturas Desarrollo Sostenible, así como Gestión Ambiental y Negocios Inclusivos en la Cadena de Suministro a manera de asignaturas básicas y no como electivas.
Con el fin de incrementar el índice de expectativas de los estudiantes en materia de RSE, la universidad debe invertir en estrategias de cuidado del medio ambiente y su promoción (MEAE), y la promoción de la igualdad de personas y prohibición de discriminación (PRIG), así como en la libertad de asociación de estudiantes (LAS); ya que estas variables tienen una significativa influencia con otras que pueden ayudar a mejorar los índices de las expectativas de los estudiantes entre estas variables y las políticas de gerencia y escucha de ideas de stakeholders (POGE).
En la figura 2 se propone un modelo de gestión responsable para la Universidad, teniendo en cuenta el repaso por la evolución de la RSE y los datos arrojados por el estudio. Lo anterior con el fin de gestionar cumpliendo con las expectativas de los estudiantes, mientras se plantean soluciones a problemas sociales y se logra la integración voluntaria de la RS en el ADN de la Universidad.
En este orden de ideas la Universidad debe ofrecer una educación de calidad que permita el reconocimiento de la imagen de parte del estudiante y el mercado; con el propósito que el estudiante y graduado aporten a la construcción de un mejor entorno creando en ellos conciencia y sensibilidad sobre sus acciones como profesionales en la sociedad.
La estrategia corporativa propuesta busca la intervención en la malla curricular; mejorar el acercamiento a los estudiantes y comunidad; la mejora de las funciones docencia e investigación; y la intervención en dos dimensiones que unen esfuerzos para lograr la legitimidad en las acciones y el conocimiento del marco normativo. Deben diseñarse otras estrategias de tipo táctico que apoyen la consecución de las siguientes metas:
las siguientes metas:

1) Currículo con componentes de RS y desarrollo de negocios inclusivos, 2) relaciones fluidas con estudiantes y comunidad, 3) calidad en Docencia e Investigación y 4) legitimidad y conocimiento de marcos normativos.
La retroalimentación debe hacerse de manera periódica a partir de indicadores GRI y de desempeño, encuestas o la auditoría de expertos temáticos en RS y educación. Se propone como definición de responsabilidad social el conjunto de acciones desarrolladas por la organización de manera voluntaria con altos niveles de autoexigencia, las cuales buscan el relacionamiento con los stakeholders y la mejora de la imagen de la organización; proponiendo estrategias más allá de la filantropía que permitan generar sostenibilidad económica del modelo, gobernabilidad de la gestión a través del uso de la ética y la generación de redes o alianzas de colaboración para impactar en el entorno micro y macro de la organización a nivel social, ambiental y en materia de valores.
Se recomienda desarrollar estrategias de filantropía basadas en educación, en donde el componente virtual permita llegar a la comunidad en general interesada por actualizarse a través de las Tecnologías de la información. No se estima conveniente que en un país como Colombia, con muchas personas con alto índice de NBI se retire el componente de la filantropía.
Se sugiere priorizar las estrategias para el acercamiento y relacionamiento con stakehloders considerando las variables PRIG (Promoción de igualdad de personas y prohibición discriminación) y MEAE (Cuidado Medio Ambiente Estudiantes); las cuales presentan un alto grado de correlación con otras variables, lo que en la teoría permitirá mejorar los índices de percepción de las variables que se correlacionan con estas dos.
Se recomienda el desarrollo de estrategias tácticas enfocadas en las variables PRIN (Prácticas Éticas e Inversiones), POGE (Políticas de Gerencia y escucha de ideas Stakeholders) y LAS (Libertad de asociación de estudian- tes-DDHH) para lograr credibilidad y reputación y gobernabilidad, ya que estas variables presentan un alto grado de correlación, lo que en teoría permitirá mejorar los índices de percepción de las variables correlacionadas con estas tres.
La estrategia debe ser medida a través de indicadores que aporten lucidez sobre el desempeño de la Universidad en sus diferentes áreas, recordando que los modelos de medición pueden ser adaptables dependiendo las necesidades de medición de la organización (Jassir, Domínguez, Paternina & Henríquez, 2018). Al propósito de medir y compartir información sobre los procesos logísticos de la Universidad y la manera como se gestiona en ellos los impactos, favorece la integración de las tecnologías de la información en el proceso, recopilando, sistematizando, procesando y permitiendo un análisis más rápido de los resultados mientras se comparten con los miembros y socios estratégicos de la Universidad (Cardona, Henríquez, Rada, Martínez y Bonnet, 2017).
La estrategia deberá proponer la mitigación o gestión de los impactos que la organización genera en el ambiente y sociedad con el fin de proponer la construcción de una sociedad en armonía con la naturaleza y en paz (Henríquez, Vallaeys & Garzón, 2018). En lo posible, la información sobre cómo mejorar el impacto positivo y disminuir el impacto negativo de las acciones de la Universidad, deberá compartirse entre los funcionarios de manera abierta, bajo una metodología que permita hacer la trazabilidad de la huella de las operaciones, acciones y proyectos sociales y ambientales que se desarrollan (Henríquez, Garzón, Mejía, Torrenegra & Rada, 2019).
Para el desarrollo de líneas de investigación futuras se propone realizar esta encuesta en otras universidades privadas de la ciudad en semestres avanzados para conocer las expectativas de sus estudiantes en materia de RSE, y formarse así una idea comparativa de lo que los estudiantes demandan de las universida des en Barranquilla sobre el tema.
Referencias
Aldeanueva, I. & Jiménez, J. (2013). Experiencias internacionales en materia de responsabilidad social universitaria. Revista Científica" Visión de Futuro", 17(1), 1-16.
Arévalo, R. (2014). Comunicación aplicada a la responsabilidad social empresarial desde las relaciones públicas. Razón y palabra, (87), 2-22.
Austin, J. E., Herrero, G. & Reficco, E. (2004). La nueva ruta: Alianzas sociales estratégicas. Harvard Business Review, 82(12), 30-40.
Barraza, F. (2010). Integración de la responsabilidad social empresarial en la toma de decisiones administrativas en la cooperativa de pensionados del terminal maríti- mo-Cooptermarit (tesis de Maestría). Universidad del Norte, Barranquilla, Colombia.
Berg, I. & Mayer, N. (1978). Business and Society. Annual Review of Sociology, 4, 115-143.
Bowen, H. (1953). Social responsibilities of the businessman. New York, Estados Unidos: Harper.
Cardona, D., Henríquez-Fuentes, G., Rada-Llanos, J., Martinez Ventura, M. & Bonnet, M. (2017). Endomárketing: Estrategia de innovación en las organizaciones el siglo XXI. Revista Espacios, 38(57), 26.
Carroll, A. (1979). A Three-Dimensional Conceptual Model of Corporate Performance. The Academy of Management Review, 4(4), 497-505.
Carroll, A. (1991). The pyramid of corporate social responsability. Business Horizons, 34, 39-48.
Céspedes, A. (2012). Investigación de mercados. Para una mejor toma de decisiones. Bogotá, Colombia: Ediciones de la U.
Chao, L. (1993). Estadística para las ciencias administrativas. Tercera edición (Castaño Jose María). Bogotá, Colombia: Mc Graw Hill Interamericana S.A.
Correa, M., Flynn S. & Amit A. (2004). Responsabilidad social corporativa en América Latina: una visión empresarial. División de Desarrollo Sostenible y Asentamientos Humanos. Santiago de Chile: CEPAL.
Cubillos, C., Montealegre, J. & Delgado, A. (2016). Responsabilidad Social Empresarial y Stakeholders en Or ganizaciones de Tamaños y Actividades Diferentes. Económicas CUC, 37(2), 115-136. DOI: http://dx.doi. org/10.17981/econcuc.37.2.2016.06
Cuevas, R. (2009). Ética y responsabilidad social de la em- presa: su concepción del hombre. Polis (Santiago), 8(23), 323-349.
D’Andreis, A. (2012). Los Derechos Humanos y la Responsabilidad Social Empresarial. Pensamiento Americano, 5(9), 9-17.
Da Silva, F.; Gonçalves, E.; Valdivia Arancibia, B.; Graziele Bento, G.; da Silva Castro, T.; Soleman Hernandez, S. & da Silva, R. (2015). Estimadores de consistencia interna en las investigaciones en salud: el uso del coeficiente alfa. Revista Peruana de medicina experimental y salud pública, 32(1), 129-138.
Davis, K. (1960). Can Business afford to ignore social responsibilities? California Management Review, 2(3), 70-76.
Díaz, M., Díaz, M., González, A. & Henao, A. (2013). Introducción al análisis estadístico multivariado aplicado. Experiencia y casos en el Caribe colombiano. Barranquilla, Colombia: Editorial Universidad del Norte.
Fernández Gago, R. (2005). Administración de la responsabilidad social corporativa. Madrid, España: Thomson Editores Spain.
Gómez, C. & Gómez, M. (2014). Retos y cambios en la organización universitaria. Hacia un nuevo modelo de enseñanza aprendizaje. Revista Internacional de Organizaciones, (13), 85-109. http://dx.doi.org/10.17345/ rio13.85-109
González, E. (2007). La teoría de los stakeholders. Un puente para el desarrollo práctico de la ética empresarial y de la responsabilidad social corporativa. Veritas, 2 (17), 205-224.
Gutiérrez, D. & Mendoza, J. (2012). La Responsabilidad social empresarial y estrategia social de las empresas. Un enfoque latinoamericano. En Uribe, A. & Cabello, L. (Eds), Responsabilidad social empresarial como estrategia competitiva. Un enfoque latinoamericano. Barranquilla, Colombia: Ediciones Universidad Simón Bolívar.
Hay, R. & Gray, E. (1974). Social Responsibilities of Business Managers. The Academy of Management Journal, 17(1), 135-143.
Heald, M. (1970). The social responsibilities of business: Company and community, 1900-1960. New York, United States: Transaction Publisher.
Henríquez, G. (2013). Diseño de modelo de responsabilidad social empresarial en la DIAN Barranquilla. Dictamen Libre, 11(12), 16-31.
Henríquez, G., Cardona, D., Rada-Llanos, J. & Robles, N. (2018). Medición de Tiempos en un Sistema de Distribución bajo un Estudio de Métodos y Tiempos. Revista Información Tecnológica, 29(6), 277-286. http:// dx.doi.org/10.4067/S0718-07642018000600277
Henríquez, G., Lombana-Coy, J., Gonzalez-Ariza, A., Hi- guera-Ojito, V., Landazury-Villalba, L., Rada-Llanos, J., Aragaki-Vilela, A. & Simancas-Trujillo, R. (2018). La gobernanza y su relación con la competitividad en una firma integrada a una cadena de suministro. Revista Espacios, 39(18), p. 27.
Henríquez, G., Rada, J. & Jassir, E. (2016). Análisis del comportamiento del consumidor: medición cuantitativa del servicio en estudiantes de administración de una Universidad acreditada en Barranquilla. Psicogente, 19(36), 266-283.
Henríquez, G., Vallaeys, F. & Garzón, M. (2018). El aprendizaje organizacional como herramienta para la universidad que aprende a ser responsable socialmente. Pensamiento Americano, 11(20), 116-140. http://dx.doi. org/10.21803%-2Fpenamer.11.20.499
Henríquez-Fuentes, G., Rada, J. & Torrenegra, A. (2016). Medición de variables psicológicas, económicas y sociales para identificar factores ocultos de los emprendedores en Barranquilla. Económicas, CUC, 37(1), 177-202. DOI: http://dx.doi.org/10.17981/econcuc.37.1.2016.08
Henríquez-Fuentes, G.; Garzón-Castrillón, M.; Mejía-Reáti- ga, C.; Torrenegra-Barros, A. & Rada-Llanos, J. (2019). Medición de impactos socioambientales y responsabilidad social organizacional. Dimensión Empresarial, 17(4). DOI: 10.15665/dem.v17i4.2111
Higuera, V. & Molina, M. (2017a). Pobreza: Índice de Pobreza Multidimensional (IPM) ajustado en el área rural dispersa del Atlántico. En V. Higuera (coordinador), Caracterización sociodemográfica de la población en el área rural dispersa del Atlántico. Barranquilla, Colombia: Sello Editorial Coruniamericana.
Higuera, V. & Molina, M. (2017b). Pobreza: Índice de Pobreza Multidimensional (IPM) ajustado en territorios de grupos étnicos del Atlántico. En V. Higuera (coordinador), Caracterización sociodemográfica de la población en territorios de grupos étnicos del Atlántico. Barranquilla, Colombia: Sello Editorial Coruniamericana.
Jamnik, A. (2011). The challenges of business ethics–management and the question of ethics. Tourism and Hospitality Management, 17(1), 141-152.
Jassir-Ufre, E., Domínguez Santiago, M., Paternina-Arbole-da, C. & Henríquez Fuentes, G. (2018). Impacto de los indicadores del modelo SCOR para el mejoramiento de la cadena de suministro de una Siderúrgica, basados en el ciclo cash to cash. Innovar, 28(70), 147-161. doi:https://doi.org/10.15446/innovar.v28n70.74454
Jones, T. (1980). Corporate social responsibility revisited, re-defined. California Management Review, 22 (2), 59-67.
López, I. (2014). El cambio climático, ¿reto para la Responsabilidad Social Empresarial? Revista Internacional de Organizaciones, (13), 39-53.
Martínez, P., Pérez, A. & Rodríguez, I. (2014). CSR influence on hotel Brand image and loyalty. Academia Revista Latinoamericana de Administración, 27(2), 267-283.
Martínez, R., Tuya, L., Martínez, M., Pérez, A. & Cánovas, A. (2009). El coeficiente de correlación de los rangos de Spearman. Caracterización. Revista Habanera de Ciencias Médicas, 8(2).
Mc Guire, J. (1963). Business and Society. New York, United Estates: Mc Graw Hill.
Mejía, C. (25 de abril de 2013). Responsabilidad social abre mercados para las empresas. Portafolio. Recuperado de: http://www.portafolio.co/portafolio-plus/respon- sabilidad-social-abre-mercados
Molina, M., Higuera, V. & Henríquez, G. (2018). El Plan Nacional de Acción sobre Derechos Humanos y Empresas en Colombia y sus acciones formuladas según los Principios Rectores sobre las empresas y los derechos humanos de las Naciones Unidas. En G. Henríquez, V. Higuera y E. Rosano (compiladores), La Responsabilidad Social en Organizaciones Educativas. Un aborda je desde Latinoamérica. Barranquilla, Colombia: Sello Editorial Coruniamericana.
Montaño, L. (2014). Responsabilidad social corporativa, go- bernanza e instituciones. Armando el rompecabezas. Revista Internacional de Organizaciones, (13), 9-38. http://dx.doi.org/10.17345/rio13.9-38
Ojeda, R. (2011). Responsabilidad social empresarial en el sector servicios de Mérida, Yucatán. Tec empresarial, 5 (3), 37-48.
Paz, A., Harris, J. & Franco, F. (2016). Responsabilidad social gestión compartida con el emprendedor social en empresas mixtas del sector petrolero. Económicas CUC, 37(2), 47-68. DOI: http://dx.doi.org/10.17981/econ- cuc.37.2.2016.03
Pérez, P. E. & de Souza Oliveira, A. C. (2013). Cómo cuanti- ficar los aspectos cualitativos en escalas de clasifica- ción de resultados NOC para etiquetas psico-socio- culturales. Revista da Escola de Enfermagem da USP, 47(3), 728-735.
Pricewaterhouse Coopers. (2005). La actitud del consumidor hacia la Responsabilidad Social Corporativa (RSC). Recuperado de: https://jussemper.org/Newsle- tters/Resources/Actitud_Consum_Esp_RSC.pdf
Rochlin, S. (2005). Llevar la responsabilidad corporativa al ADN de su empresa. Harvard Business Review, 83(8), 26-35.
Salgado, H. & González, M. (2013). Un índice de Responsabilidad Social Empresarial para la industria salmonicultura en Chile. Revista Interamericana de ambiente y Turismo, 9(2), 52-68.
Saravia, F. (2012). La Responsabilidad Social de la Universidad: La Experiencia de la Secretaría de Bienestar de la Facultad de Ciencias Económicas de la Universidad de Buenos Aires. Visión de futuro, 16(2). Recuperado de: https://www.redalyc.org/pdf/3579/357935612004. pdf
Sepúlveda, J., Ordoñez, F. & Prada, C. (2014). Perfil de responsabilidad social empresarial del sector hotelero de la ciudad de Bucaramanga – Colombia. Estudios y perspectivas en Turismo, 13, 23-39.
Serna, H. (2006). Servicio al cliente una nueva visión: clientes para siempre, Metodología y herramientas para medir la lealtad y satisfacción. Bogotá, Colombia: 3R Editores.
Torres, C. (2011). Responsabilidad Social Empresarial. Caso centro comercial Lago Mall. Revista de Ciencias sociales, XVII (2), 310-321.
Uriel, E. & Aldás, J. (2005). Análisis Multivariante Aplicado. Aplicaciones al Marketing, Investigación de Mercados, Economía, Dirección de Empresas y Turismo. Madrid, España: International Thomson editores.
Vallaeys, F. (2014). La responsabilidad social universitaria: Un nuevo modelo universitario contra la mercantilización. Revista Iberoamericana de Educación Superior, 5(12), 105-117.
Vila, N. & Gimeno-Martínez, C. (2010). Efectos de la RSC sobre el consumidor: Una aplicación al sector de transporte público terrestre. Revista Innovar Journal Revista de Ciencias Administrativas y Sociales, 20(38), 235-256.
Viteri-Moya, J., Jácome-Villacres, M. B., Medina-León, A. & Piloto-Fleitas, N. (2012). Índice integral para evaluar la responsabilidad social universitaria en Ecuador. Ingeniería Industrial, 33(3), 295-306.

