Artículos aceptados y expuestos en congresos del IAPUCo
Recepción: 29 Agosto 2021
Aprobación: 29 Agosto 2021

Resumen:
El artículo estudia los casos de empresas poliproductoras con restrictores comunes que estuvieren operando en óptimos de mercado con desaprovechamiento de capacidad productiva y/o comercial, focalizándose en proyectos de optimización de costos variables que permitan trasladar a precio una proporción de la reducción obtenida en búsqueda del triple objetivo: maximización de participación de mercado, maximización de utilidades y aprovechamiento de capacidad ociosa.
Forma parte del desarrollo de modelos cuadráticos de optimización de precios y mezclas de productos ante restricciones en contextos de mercados competitivos, en donde las funciones de ingresos tienen un comportamiento no lineal por la necesidad de reducir el precio para aumentar el volumen de ventas, considerando la elasticidad precio-demanda como una variable relevante del modelo.
La modelización se presenta en el plano teórico y práctico, sustentado por una planilla de cálculo con funciones de investigación operativa no lineal de uso generalizado.
Palabras clave: elasticidad, precios, investigación operativa no lineal, capacidad ociosa, participación de mercado.
Abstract:
The article studies the cases of poly-production companies with common restrictors that are operating in optimal market conditions with wasted productive and / or commercial capacity, focusing on variable cost optimization projects that allow a proportion of the reduction obtained to be transferred to price, in search of the triple objective: maximization of market share, maximization of profits and use of idle capacity.
It is part of the development of quadratic models for optimizing prices and product mixes in the face of restrictions in contexts of competitive markets, where income functions have a non-linear behavior due to the need to reduce price to increase the volume of sales, considering price-demand elasticity as a relevant variable of the model.
The modeling is presented at a theoretical and practical level, supported by a spreadsheet with widely used non-linear operational research functions.
Keywords: elasticity, pricing, non-linear operational research, idle capacity, market share.
Resumo:
O artigo estuda os casos de empresas de poli-produção com restrições comuns que estão operando em condições ótimas de mercado com desperdício de capacidade produtiva e / ou comercial, colocando o foco em projetos de otimização de custos variáveis que permitem uma proporção da redução obtida em busca do triplo objetivo: maximização da quota de mercado, maximização do lucro e utilização da capacidade ociosa.
Faz parte do desenvolvimento de modelos quadráticos para a otimização de preços e mix de produtos diante de restrições em contextos de mercados competitivos, onde as funções de renda têm um comportamento não linear devido à necessidade de reduzir o preço para aumentar o volume das vendas, considerando a elasticidade preço-demanda como variável relevante do modelo.
A modelagem é apresentada a nível teórico e prático, apoiada por uma planilha com funções de pesquisa operacional não linear, muito utilizadas.
Palavras-chave: elasticidade, precificação, pesquisa operacional não linear, capacidade ociosa, participação de mercado.
Résumé:
L’article aborde le cas des entreprises poli-productrices ayant des restricteurs communs qui opérent dans des marchés optimaux avec un manque de profit de la capacité productive et/ou commerciale, en priorisant des projets d’optimisation des coûts variables permettant de reporter sur le prix une proportion de la réduction obtenue dans la recherche d’un triple objectif: maximisation de la participation de marché, maximisation des avantages et profit de la capacité oisive.
Cela fait partie du développement des modèles quadratiques d’optimisation des prix et mélanges de produits face aux restrictions dans des contextes de marché compétitifs où les fonctions de revenus ont un comportement non linéaire face au besoin de reduire le prix afin d’augmenter le volume des ventes, considérant l’élasticité prix-demande comme une variable notable du modèle.
La modélisation se présente sur le plan théorique et pratique, soutenue par un tableau de calcul ayant des fonctions de recherche opérationnelle non linéaire à usage généralisé.
Mots clés: elasticité, prix, recherche opérationnelle non linéaire, capacité oisive, participation de marché.
1. Razón de ser
Es habitual que, en situaciones de crisis económica, la capacidad ociosa se incremente, con impacto negativo sobre múltiples stakeholders: los accionistas, los empleados, los proveedores, los clientes, el Estado y la sociedad en su conjunto. Sin ir más lejos, antes que comenzara la pandemia de 2020, la Argentina rondaba el 44% de capacidad industrial desaprovechada[3].
¿Pueden los proyectos de reducción de costos variables ayudar a resolver la problemática? ¿Es conveniente trasladar una proporción de la reducción obtenida al precio, cumpliendo en forma concomitante con el triple objetivo de maximización de mercado, reducción de capacidad ociosa y maximización de utilidad? Estas son las preguntas disparadoras del análisis teórico de esta ponencia, basada en los desarrollos de los trabajos «La Decisión de Cambio de Precios en Empresas Poliproductoras. Influencia de la Elasticidad Precio-Demanda» (Osorio y Farré, 1993) y «Modelización de decisiones en un contexto de restricciones» (Farré y Bordoli, 2002).
Finalmente, una vez respondidas las preguntas, la ponencia tiene por objetivo modelizar la solución sobre una planilla de cálculo con funciones de investigación operativa no lineal de uso generalizado, de manera análoga a la ponencia «Utilización de aplicativos de métodos cuantitativos para la resolución de modelos cuadráticos de optimización de precios y mezcla de producción y comercialización en mercados competitivos» (Farré y Ghezzi, 2017).
2. Casuística en análisis
La ponencia estudia los casos de empresas poliproductoras con restrictores comunes a más de un producto, que estuvieren operando en óptimos de mercado con desaprovechamiento de capacidad productiva y/o comercial, debido a que, de seguir produciendo precisarían una baja de precio no rentable para su colocación en el mercado.
Para los lectores familiarizados con la temática académica de determinación de mezclas óptimas de productos que utilizan uno o más recursos escasos en forma excluyente, esto se puede graficar como puntos óptimos internos del polígono de resolución que no se encuentren sobre los bordes (que representan los máximos de capacidad de los recursos comunes), como se observa en la gráfico 1.

A los fines analíticos, desplegamos un modelo determinista con objetivos económicos de maximización de utilidad, asumiendo el conocimiento de la elasticidad en base a estudios de mercado, que es única para el rango en análisis (comportamiento lineal de la función de cantidad en función de precio dentro de dicho rango). Se asume que, en dicho rango analítico los Costos Fijos (Estructurales y Operativos) se mantienen constantes, así como el costo variable unitario.
Siguiendo los supuestos citados ut-supra, en la situación base óptima de cada uno de los productos (a y b) los márgenes de contribución (mc0) son iguales a la inversa de la Elasticidad precio-demanda (e0) con signo contrario, fundamentados en el resultado nulo de la optimización de precios en mercados competitivos:
[Ecuación
1]Para cada uno de los productos, la situación óptima se puede representar, dentro del rango en análisis, con una curva cuadrática de ventas que netea de la recta de costos totales, determinando una utilidad también cuadrática, como se muestra en la gráfico 2. Se observa la situación base óptima, en la tangente nula de dicha curva.

Como se puede observar en la gráfico 1, en esta situación óptima desde el punto de vista de maximización de Utilidad no se estará aprovechando la capacidad máxima de los recursos comunes 1 y 2. La casuística elegida para esta ponencia asume la inexistencia de alternativas de aprovechamiento de la capacidad por incorporación de un nuevo producto o por segmentación de mercado, pero sí admite la alternativa de optimización de los costos variables, y con ello, el aumento del margen de contribución del momento base.
3. Impacto de la reducción de costos variables
Si la empresa logra una reducción de costos variables sin alterar calidad de producto ni incremento de otros costos, la nueva situación, a mismo precio, y por lo tanto mismo volumen significará un aumento de la Contribución Marginal Total (y obviamente de la utilidad).

Dicho aumento será igual al porcentaje de reducción multiplicado por el factor de propagación correspondiente: El factor de propagación sobre la Contribución Marginal será igual a la relación entre los costos variables y dicha Contribución Marginal (Osorio y Farré, 1991). Si lo expresamos en función del margen de contribución del momento base (0) y llamamos d al porcentaje de reducción y g al porcentaje de incremento de la Contribución Marginal,
[Ecuación
2]Si lo queremos expresar en función de la Elasticidad, conociendo que, en dicho óptimo base, es igual a la inversa del margen de contribución (con signo contrario).
[Ecuación
3]Ejemplificando en un caso de Elasticidad = -4 en el óptimo (margen de contribución de 25%), una reducción del 10% de los costos variables impactarán en un aumento del 30% del margen:

Si bien el incremento es importante, este punto deja de ser el óptimo, tal como se lo puede observar en la gráfico 3.
4. Traslado de una porción de la reducción a precio con capacidad para aprovechar los nuevos óptimos teóricos
Ahora el óptimo se encuentra a la derecha de la situación actual, con lo cual debemos reducir el precio si quisiéramos maximizar la utilidad, aumentando entonces las cantidades con el triple beneficio buscado: en el mercado ganaremos participación y en el plano de nuestras capacidades aprovecharemos los recursos subutilizados.
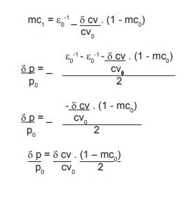
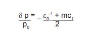
¿Qué parte de la reducción de costos variables debemos trasladar hacia nuestros precios? Si tuviéramos capacidad suficiente para los óptimos teóricos, debemos trasladar la mitad del valor absoluto ahorrado en costos variables unitarios. O, dicho en forma porcentual, la tasa de reducción de estos debe ser ponderada por la mitad de la diferencia de uno menos el margen de contribución del momento base:
[Ecuación
4]Este algoritmo se deduce de la fórmula de optimización de precio (Osorio y Farré, 1993), tomando la nueva situación como inicial (mc1):
[Ecuación
5]y sabiendo que :
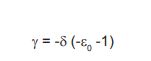
a) El nuevo margen de contribución (mc1) es igual al margen de contribución base (mc0) aumentado por la reducción de los costos variables.
[Ecuación
6]b) En el momento base original, la inversa de la Elasticidad era igual al margen de contribución base con signo contrario:
[Ecuación
7]Combinamos las expresiones V, VI y VII y llegamos al resultado buscado (que originalmente denominamos expresión IV):


Dada la elasticidad de -4 del momento base, resultaría un incremento del 15% del volumen físico, que, no sólo compensará la caída del precio, sino que adicionará contribución marginal total con respecto a la situación de incremento obtenida por la reducción de los costos.
[Ecuación
8]Gráficamente,

En valores absolutos, ejemplificando con una situación base de precio 100 $/u y volumen 100 unidades:

La variación de contribución marginal del 30% lograda por la reducción de costos variables se incrementa al 32,25% por la toma de decisión de reducir el precio para ganar mercado. En el cuadro 2 se explican los efectos que provocan ese incremento.

· La reducción monetaria de costos variables del 10% (1) representa un incremento de Contribución Marginal Total (CMT) del 30%
· La reducción monetaria de precio (2) del 3,75% representa un decremento de CMT del 15%
· El aumento de volumen del 15% representa un impacto del 15% directo (3), disminuido por un 2,25% del impacto combinado precio-volumen (4) y aumentado por un 4,50% del impacto combinado costo variable-volumen (5)
Volviendo al caso de poliproducción, de tener capacidad para operar en los nuevos óptimos calculados, la mezcla óptima se trasladará dentro del polígono de resolución como se ejemplifica en la gráfico 6.

5. Traslado de una porción de la reducción a precio sin capacidad para aprovechar los nuevos óptimos teóricos
En caso de no disponer de capacidad para operar en los nuevos óptimos teóricos en forma independiente producto a producto, deberemos utilizar los métodos desarrollados en las ponencias citadas ut supra para encontrar un punto de producción factible.
En la resolución gráfico, se obtendrá en la primera intersección entre las elipses de isocontribución marginal concéntricas a la mezcla óptima teórica y el polígono de resolución, tal como se observa en la gráfico 7.

En la resolución matemática, se utilizará el método cuadrático de investigación operativa no lineal, con el maximizador de la contribución marginal expresada en función del precio.
1. Formular la función objetivo Para cualquier Producto XX:
Pendiente de algoritmo

La función objetivo a maximizar seria la suma de los CMT de todos los productos a analizar.
2. Formular los algoritmos de las restricciones comerciales y productivas, por ejemplo:
Restricciones comerciales de mínimo
Restricciones comerciales de máximo
Restricciones de horas máquina
Restricciones de horas MOD
3. Resolver con alguna herramienta computarizada de programación cuadrática
6. Caso de comprobación práctica: situación base
Para sustentar la explicación en forma práctica, proponemos tomar el caso de producción y comercialización de dos productos, A y B, ambos en su punto óptimo, citado en la ponencia «Utilización de aplicativos de métodos cuantitativos para la resolución de modelos cuadráticos de optimización de precios y mezcla de producción y comercialización en mercados competitivos» (Farré y Ghezzi, 2017).
Dentro del rango analítico,
1. el mercado de A se comporta con una Elasticidad precio-demanda de -4 para la situación base de precio. Expresado en forma de algoritmo de cantidades en función del precio
QA. = 500 + (-5 . PA)
y en forma de algoritmo de Ventas en función del precio
VA= 500 PA + (-5 . PA2)
2. el costo variable unitario de A se mantiene constante en 60$/kg. Expresado en forma de algoritmo en función del precio
CVA = 30.000 – 300 . PA
3. Actualmente están operando con un precio óptimo de A de 80$/kg, a lo que el mercado reacciona comprando 100 kg mensuales. El margen de contribución, por tanto, es del 25% (mc = (80-60) $/kg / 80$/kg). Se comprueba que es equivalente a la inversa de la elasticidad (con signo cambiado), -1/4
Lo que determina el siguiente comportamiento de Ventas, Costos Variables totales y Contribución Marginal Total:

1. el mercado de B se comporta con una Elasticidad precio-demanda de -2,5 para la situación base de precio. Expresado en forma de algoritmo de cantidades en función del precio
QA = 700 + (-5 . PB)
y en forma de algoritmo de Ventas en función del precio
VB= 700 PB + (-5 PB2)
2. el costo variable unitario de B se mantiene constante en 60 $/kg. Expresado en forma de algoritmo en función del precio
CVB= 42.000 – 300 . PB
3. Actualmente están operando con un precio óptimo de B de 100 $/kg, a lo que el mercado reacciona comprando 200 kg mensuales. El margen de contribución, por tanto, es del 40% (mc = (100-60) $/kg / 100$/kg). Se comprueba que es equivalente a la inversa de la elasticidad (con signo cambiado), -1/2,5.
Lo que determina el siguiente comportamiento de Ventas, Costos Variables totales y Contribución Marginal Total:

Nota: No se informan los costos fijos Operativos y Estructurales por no ser diferenciales a los efectos de la toma de decisiones motivo de esta ponencia (Son constantes dentro del rango analítico).
1. Se presentan las siguientes restricciones del proceso industrial:
a. Existen dos recursos con capacidad limitada que pueden ser utilizados en forma excluyente por cada uno de ellos:
La máquina de procesamiento, que cuenta con una capacidad máxima factible mensual de 900 hs.
La mano de obra directa a ambos productos, que cuenta con una capacidad máxima factible mensual de 3.000 hs.
b. Se precisan:
2,5 horas máquina para procesar un kilogramo del producto A.
2 horas máquina para procesar un kilogramo del producto B.
5 horas de mano de obra directa para conseguir un kilogramo del producto A.
10 horas de mano de obra directa para conseguir un kilogramo del producto B.
Representando gráficamente, las restricciones definen un área de factibilidad marcada en el Gráfico 10, donde es factible realizar la mezcla actual óptima:

7. Caso de comprobación práctica: reducción de costos variables
En el proyecto de optimización de costos variables se obtienen las siguientes mejoras
Estos ahorros, si se mantiene la política de precios actual permitiría un aumento de la contribución marginal del orden de:




8. Caso de comprobación práctica: reducción de precio
Pero, de acuerdo a lo desarrollado teóricamente, si se llevara una proporción de dicha reducción al precio (la mitad de la reducción en términos absolutos), obtendremos

Para el producto A,


Dada la elasticidad -4 del momento base, resultaría un incremento del 30% del volumen físico, que, no sólo compensará la caída del precio, sino que adicionará contribución marginal total con respecto a la situación de incremento obtenida por la reducción de los costos. En este caso resulta un aumento de la contribución marginal del 69%.
Para el producto B,


Dada la elasticidad -2,5 del momento base, resultaría un incremento del 7,5% del volumen físico, que, no sólo compensará la caída del precio, sino que adicionará contribución marginal total con respecto a la situación de incremento obtenida por la reducción de los costos. En este caso resulta un aumento de la utilidad de 15.56%
9. Caso de comprobación práctica: solución utilizando el aplicativo «Solver» de una planilla de cálculo
Para ello deberemos construir la nueva función objetivo maximizadora de CMT.
1. El nuevo costo variable unitario de A (CVA) es 48$/kg. Expresado en forma de algoritmo en función del precio
CVA = 24.000 – 240 PA
2. La nueva CMT de A quedaría expresada como:
CMTA= -5 PA2 + 740 PA – 24.000
3. El nuevo costo variable unitario de B (CVB) es 54$/Kg. Expresado en forma de algoritmo en función del precio
CVB = 37.800 – 270 PB
4. La nueva CMT de B quedaría expresada como:
CMTB= -5 PB2 + 970 PB – 37.800
Ejemplificando con el uso de Solver del Excel, entrando a la opción Datos - Solver, se debe ingresar:

Figura 1a. Planilla de datos en Excel
Fuente: elaboración propia.

Figura 1b. Carga de datos en Solver
Fuente: elaboración propia.Ante el procesamiento de la función RESOLVER, en las celdas señaladas aparecerán los resultados buscados (precio de A=74$/kg y precio de B=97$/kg), y, dado que las fórmulas están interrelacionadas, cambiarán las cantidades (130kg. de A y 215kg. de B) y los consumos proyectados de los restrictores (755 horas máquina –determinando una capacidad ociosa de 145 hs.-; 2800 horas mano de obra directa – determinando una capacidad ociosa de 200 hs -).

10. Caso con múltiples productos y falta de capacidad para aprovechamiento de los óptimos teóricos
Al caso original le agregaremos los productos C y D, con los siguientes datos de situación óptima original:
Producto C:
· Costos variables unitarios iguales a 20$/kg en la situación base, obteniéndose una reducción del 5% de los costos variables.
· Algoritmo de demanda: Qc = 360 – (6 . Pc).
· Elasticidad precio-demanda = -2
· para la situación base óptima de precio = 40$/kg (Qc base=120kg).
Producto D:
· Costos variables unitarios iguales a 40$/kg en la situación base, obteniéndose una reducción del 10% de los costos variables.
· Algoritmo de demanda: Qd = 320 – (4 . Pd).
· Elasticidad precio-demanda = -3
· para la situación base de precio = 60$/kg (Qd=80kg).
Ambos productos comparten el mismo proceso productivo, precisándose:
· 2 horas máquina para procesar un kilogramo del producto c
· 2 horas máquina para procesar un kilogramo del producto d
· 2 horas de mano de obra directa para conseguir un kilogramo del producto c
· 4 horas de mano de obra directa para conseguir un kilogramo del producto d
Y cambiamos la capacidad máxima de los siguientes recursos:
· La máquina de procesamiento, que cuenta con una capacidad máxima factible mensual de 1.200hs.
· La mano de obra directa a ambos productos, que cuenta con una capacidad máxima factible mensual de 3350hs.
El resultado, si no se redujera el precio, se expresa en la figura 3:

Si redujéramos el precio de cada uno de los cuatro productos con la mitad del ahorro por costo variable unitario como se sugiere ut supra, necesitaríamos 3.398 horas de Mano de Obra, 48 horas más que la capacidad disponible y por lo tanto fuera del Área factible.

Deberemos buscar un nuevo óptimo factible, que cumplan con las restricciones:
A. Restricciones de horas máquina
Qa . 2.5 + Qb . 2 + Qc . 2 + Qd . 2 <= 1.200;
B. Restricciones de horas MOD
Qa . 5 + Qb . 10 + Qc . 2 + Qd . 4 <= 3.350;
Ejemplificando con el uso de Solver del Excel, entrando a la opción Datos - Solver, la resolución será superior a la alternativa de origen, aprovechando de la mejor manera la capacidad de 3.350 hs de mano de obra:

La solución sugiere establecer los precios en:
· 74,34$/kg para el producto a;
· 97,67$/kg para el producto b;
· 39,64$/kg para el producto c y
· 58,27$/kg para el producto d.
Dadas las elasticidades asumidas en el supuesto, se proyectan las siguientes cantidades:
· producto A: 128,32 kg (mejorando el share en un 28,3%)
· producto B: 211,63 kg (mejorando el share en un 5,8%)
· producto C: 122,19 kg (mejorando el share en un 1,8%)
· producto D: 86,92 kg (mejorando el share en un 8,7%)
Obteniendo un resultado (Contribución marginal total óptima) igual a $17.079,27. Este resultado es superior en 239,26$ al que se hubiera obtenido en el caso de reducir costos variables sin reducir precio alguno.
11. Conclusiones
En momentos en que recrudecen las crisis económicas a lo largo de todo el mundo, se incrementa la problemática de la capacidad ociosa, con su impacto negativo en todos los stakeholders de la Economía.
Es habitual que las empresas lleven a cabo proyectos de reducción de costos, pero no es tan frecuente la combinación de estos con decisiones de reducción de precio.
El desarrollo teórico demuestra que, dentro de la casuística analizada, el traslado a precio de una porción de lo ahorrado en los proyectos de optimización de costos variables permite obtener el triple objetivo de maximización de utilidades, aprovechamiento de la capacidad ociosa y aumento de participación de mercado.
El modelo permite definir el nuevo precio óptimo de los productos en análisis, que puede llegar a representar la mitad del monto unitario absoluto reducido del costo variable, si la capacidad sobrante lo posibilita.
La utilización de herramientas habituales de oficina como las planillas electrónicas con funcionalidad Solver de investigación operativa no lineal permite resolver estas situaciones de manera simple y sencilla, como lo demuestran los casos prácticos desarrollados.
Referencias Bibliográficas
Farré y Bordoli (2002). Modelización de decisiones en un contexto de restricciones. En XXV Congreso IAPUCo, realizado en la Universidad Católica Argentina, Buenos Aires, Argentina
Farré y Ghezzi (2017). Utilización de aplicativos de métodos cuantitativos para la resolución de modelos cuadráticos de optimización de precios y mezcla de producción y comercialización en mercados competitivos. En XL Congreso IAPUCo, realizado en la Universidad Nacional de Mendoza, Mendoza, Argentina.
Osorio y Farré (1991). Aplicaciones prácticas del Sistema de Equilibrio. En II Congreso Internacional de Costos, realizado por el Instituto para el estudio de la Contabilidad de Gestión en Paraguay, Asunción, Paraguay.
Osorio y Farré (1993). La Decisión de Cambio de Precios en Empresas Poliproductoras. Influencia de la Elasticidad Precio-Demanda. En III Congreso Internacional de Costos, realizado por la Asociación española de Contabilidad Directiva, Madrid, España.
Notas
pv: Precio de Venta
cv. Costo Variable Unitario
cmu: Contribución Margina Unitaria
mc: Margen de Contribución
q: Cantidad
CMT: Contribución Marginal Total

