

Efecto del secado y manejo agronómico sobre propiedades físicas asociadas a la dureza del grano en híbridos de maíz
Effect of drying and crop management on physical properties associated with kernel hardness in maize hybrids
Tecnología y Ciencia
Universidad Tecnológica Nacional, Argentina
ISSN: 1666-6917
ISSN-e: 1666-6933
Periodicidad: Cuatrimestral
núm. 44, 2022
Recepción: 22 Marzo 2022
Aprobación: 06 Junio 2022
Resumen: Se evaluó el efecto de distintos tratamientos de secado (natural, 50 y 70 °C) y manejo agronómico (sin y con re-fertilización en pre-floración) sobre la dureza endospérmica en cuatro híbridos de maíz (AW 190, NK 940, Cóndor y Mill 522). La dureza se evaluó mediante peso hectolítrico (PH), test de flotación (TF) en NaNO. y CCl. y relación de molienda (RM). El ensayo se basó en un diseño factorial. Generalmente, altos valores de PH y RM y bajos de TF están asociados con maíces más duros. Se observó que el secado artificial (50 y 70 °C) disminuyó RM, aumentó TF y no produjo mayores cambios en PH, disminuyendo así la dureza. Los híbridos Cóndor (secado natural) y con re-fertilización (secado a 50 °C), Mill 522 (secado natural y a 50 °C) y en el manejo control (secado a 70 °C) lograron valores de dureza para calidad ‘Premium’. Las técnicas empleadas permitieron clasificar los híbridos por su dureza y evaluar el efecto de la temperatura de secado sobre la misma.
Palabras clave: maíz ’flint’, secado artificial, peso hectolítrico, índice de flotación, relación de molienda.
Abstract: The effect of different drying treatments (natural, 50 and 70 °C) and crop management (without and with re-fertilization at pre-silking) on the endospermic hardness in four hybrids maize (AW 190, NK 940, Condor and Mill 522) was studied. Hardness was assessed by test weight (TW), percent floaters (PF) in NaNO. and CCl., and milling ratio (MR). The trial was based on a factorial design. Generally, high TW and MR values, and low PF values are associated with flintier maizes. It was observed that artificial drying (at 50 and 70 °C) decreased MR, increased PF, and did not produce major changes in TW, thus decreasing hardness. Cóndor (natural drying) and with re-fertilization (drying at 50 °C), Mill 522 (natural drying and at 50 °C) and in the control management (drying at 70 °C) hybrids achieved hardness values for 'Premium' quality. The techniques used allowed to classify the hybrids by their hardness and to evaluate the effect of the drying temperature on it.
Keywords: ’flint’ maize, artificial drying, test weight, percent floaters, milling ratio.
1. Introducción
En la industria de la molienda seca resultan muy importantes ciertos parámetros de calidad como son la dureza endospérmica del grano y la relación de tamaños de partícula que resulta de la molienda, dando lugar a la obtención de ‘grits’ que serán destinados a la elaboración de copos para desayuno o a la industria cervecera, sémolas para alimentación humana (polenta) y harinas diversas. La calidad exigida fundamentalmente por esta industria es aquella que permite el rendimiento de grandes proporciones de fracciones gruesas (‘flaking grits’), inclinándose por el tipo de grano colorado duro (maíz ‘flint’ tipo “Plata”).
En algunas zonas, los acopios e industrias pagan sobreprecios a los productores por este tipo de maíz. Estas oportunidades de lograr mejores precios para el maíz, así como la de la exportación a Europa, contribuyen a mantener al maíz dentro de la rotación agrícola, con sus beneficios reconocidos sobre la sustentabilidad de los sistemas de producción y lo fortalecen en la disputa por el uso de la tierra con el cultivo de soja.
En las últimas décadas, sólo unos pocos híbridos se encuadraron dentro del tipo original “Plata”, aunque con limitadas posibilidades de competir, en productividad, con los híbridos dentado. Actualmente, existen en el mercado de semillas de maíz nuevos híbridos de tipo colorado, que compiten en rinde con los dentados, aunque su calidad puede a veces resultar insuficiente comparada con la de los colorados duros típicos tradicionales (Cirilo, 2002).
La dureza endospérmica de los granos de maíz puede ser estimada mediante la medición de propiedades físicas asociadas a la misma tales como: peso hectolítrico (PH), test de flotación (TF) y relación de molienda gruesos/finos (RM). Valores altos de PH y RM y bajos de TF están generalmente asociados con maíces más duros, ya que el endosperma córneo es más denso y presenta un mayor contenido de zeínas (Wichser, 1961; Pomeranz et al., 1986; Kljak et al., 2018). Los límites establecidos en la Norma XXIX de la Res. Nº 757/97 (SAGPyA, 1997) para clasificar un maíz como ‘flint’ son PH ≥ 76 kg/hl y TF ≤ 25% (en una mezcla líquida de NaNO3 de densidad 1,250 g/cm., a 35 °C), no estableciéndose límites para la RM. Por otra parte, según Serignese and Pescio (1995), un maíz colorado duro debería tener un PH ≥ 79 kg/hl conjuntamente con un TF ≤ 12% (en una mezcla líquida de CCl. y kerosene, de densidad 1,305 g/cm., a 25 °C) y una RM ≥4 para alcanzar la calidad de molienda ‘Premium’. El secado artificial poscosecha disminuye la dureza del grano, descendiendo el PH y aumentando el TF (Hall and Hill, 1972) y reduciendo la RM (Peplinski et al., 1982). Dado que el tipo de híbrido determina el grado de alteración de las propiedades físicas determinantes de la dureza, el daño producido por el secado artificial a elevada temperatura sería menor en híbridos más duros (Kirleis and Stroshine, 1990).
Debido al uso del secado artificial que se realiza en plantas de acopio en la Región Pampeana Argentina (particularmente el SE bonaerense, con otoños húmedos), resulta interesante estudiar el uso alternativo del secado natural como tratamiento poscosecha de maíz colorado duro. Un secado natural a temperatura ambiente produce valores altos de PH y RM, y bajos de TF dependiendo la dureza del híbrido (Peplinski et al., 1975; Peplinski et al., 1989). El secado artificial contribuye a la reducción del valor comercial e industrial del grano, con la consecuente elevación del costo de procesamiento poscosecha. Por ello, resulta valioso generar el conocimiento que permita incorporar, a la tecnología de secado de maíz, los ajustes necesarios para obtener granos con la calidad requerida por la industria.
El objetivo del presente trabajo fue evaluar el efecto de distintos tratamientos de secado sobre las propiedades físicas asociadas a la dureza endospérmica en maíces comerciales con distintos manejos agronómicos.
2. Materiales y métodos
2.1. Híbridos
Se utilizaron cuatro híbridos de maíz seleccionados por su diferente dureza: uno tipo dentado (AW 190), uno semi-‘flint’ (NK 940) y dos tipo ‘flint’ (Cóndor y Mill 522), sin y con re-fertilización nitrogenada y azufrada (N+S) en pre-floración, cosechados en la red de ensayos de la EEA Balcarce - INTA durante la campaña agrícola 2010-2011.
2.2. Humedad
El contenido de humedad fue determinado de acuerdo al Standard ASAE (ASAE, 2003), secando 10 g de maíz en una estufa de aire forzado a 103 °C por 72 h. La técnica se realizó por triplicado. Las muestras fueron cosechadas con contenidos de humedad que oscilaron entre 20,7 y 22,6% b.h. (base húmeda) y se secaron artificialmente a 50 y 70 °C en un horno a convección con control de temperatura y naturalmente a temperatura ambiente, en bandejas plásticas de trama perforada, en un galpón con convección natural. Las experiencias de secado artificial y natural se realizaron hasta alcanzar un contenido de humedad entre 13,6 y 15% b.h.
2.3. Proceso de secado
El secado artificial se realizó en un secador eléctrico de capa delgada con flujo de aire forzado a 50 y 70 °C, diseñado por la Facultad de Ingeniería (UNCPBA), y compuesto por: (i) una cámara de secado cilíndrica con una bandeja de 0,0232 m., y (ii) un ventilador para impulsar el aire a través de una tubería de 0,043 m de diámetro interno hacia un sistema de calefacción (Gely and Santalla, 2007). Las pruebas se llevaron a cabo a una velocidad de aire constante de 0,43 m/seg. Las temperaturas de bulbo seco y húmedo del aire se registraron mediante un psicrómetro de aspiración (Papst modelo ZP 611). Se utilizó la carta psicrométrica electrónica Akton Psychrometric Chart Version (Akton Associates Incorporated, 2011) para determinar las propiedades del aire de secado. Las condiciones de secado se estabilizaron durante 60 min antes de completar cada experimento. En cada corrida se colocaron aproximadamente 60 g de granos en una bandeja circular perforada formando una monocapa de granos (Ordóñez et al., 2012).
El secado natural se realizó en bandejas plásticas rectangulares perforadas (35 x 25 cm) en galpón con flujo de aire natural, las cuales contenían 1 kg de cada muestra de campo, distribuidas en una capa delgada. La altura de la masa de granos fue de ≈1 cm.
Ambos experimentos se realizaron por triplicado en todas las muestras (considerando las tres repeticiones de las muestras de campo). Posteriormente, los granos fueron almacenados en una cámara frigorífica a ≈5 °C a la espera del análisis de las propiedades físicas asociadas a la dureza del grano. Previo al inicio de las pruebas, se retiraron de la cámara frigorífica las cantidades de muestra necesarias, a fin de permitir que alcanzaran el equilibrio con la temperatura ambiente.
Las determinaciones experimentales se realizaron por triplicado a ≈14,5% bh y se informó el promedio.
2.4. Determinación de las propiedades físicas asociadas a la dureza del grano
2.4.1. Peso hectolítrico
El PH se determinó en muestras de aproximadamente 500 g usando un instrumento Tripette & Renaud TR-400. Valores de peso hectolítrico más altos están generalmente asociados con maíces más duros (Watson, 1987). Los valores se expresaron en kg/hl.
2.4.2. Test de flotación
El TF se determinó por dos métodos diferentes en muestras de 100 granos enteros y sanos. El primero se realizó según Norma 29 descripta en la Res. Nº 757/97 (SAGPyA, 1997). Los granos se colocaron en un vaso de precipitado de 250 ml conteniendo una solución acuosa de NaNO. con una densidad (δ) de 1,250 g/cm. en un baño termostático a 35 °C. El segundo método se realizó según Lepes et al. (1976), por modificación del método de Wichser (1961), en el que se utilizó una mezcla de CCl. y kerosén (δ = 1,305 g/cm. a 25 °C). Los granos se agitaron brevemente con una varilla de vidrio y se contabilizaron los granos que flotaban. En ambos métodos, cuanto menor es el número de granos que flotan, mayor es la dureza. Los valores se expresaron en porcentaje (%).
2.4.3. Relación de molienda
La RM se midió según Pomeranz et al. (1986) para la relación de peso gruesos/finos (g/f). Muestras de 50 g de granos enteros y sanos se molieron durante 12 seg en un molino de laboratorio tipo Stein. Los granos molidos fueron tamizados a velocidad máxima por 1 min en un tamizador mecánico Chopin Rotachoc equipado con tamices circulares de 1 y 0,5 mm de apertura de malla. El material grueso, retenido por el tamiz de 1 mm, y el material fino, que pasó a través del tamiz de 0,5 mm, se pesaron con una precisión de 0,1 g. La relación entre los pesos de las respectivas fracciones es la relación gruesos/finos, expresada en g/g y es más alta para los maíces más duros.
2.5. Análisis estadístico
Se trabajó sobre un diseño experimental factorial, considerando los siguientes niveles para cada una de las siguientes variables o factores: secado (SEC: natural, 50 y 70 °C), híbrido (HIB: AW 190, NK 940, Cóndor y Mill 522) y manejo agronómico (MAN: sin y con re-fertilización en pre-floración). La combinación de los tres factores mencionados (SEC, HIB y MAN) y sus tres repeticiones dio un total de 72 muestras.
Los datos fueron procesados usando el programa estadístico InfoStat mediante análisis de varianza, test de Tukey (α = 0,05), matriz de correlación entre variables y análisis de componentes principales (ACP) (Di Rienzo et al., 2021). En el Análisis de Componentes Principales (ACP) se seleccionaron dos componentes para describir la proporción de la variabilidad total explicada (Esmaeili and Shokoohi, 2011; Saavedra et al., 2013).
3. Resultados y discusión
3.1. Análisis de la Varianza
En la Tabla 1 se muestran los resultados del análisis de varianza (a = 0,05; n = 72) (ANOVA), realizado para evaluar la influencia de los factores individuales y combinados. Se observó un efecto significativo de la temperatura de secado (SEC), del híbrido (HIB) y del manejo agronómico (MAN) en el PH (p < 0,004; n = 72). Las restantes variables, TF (NaNO3), TF (CCl4) y RM, sólo fueron influenciadas por los factores temperatura de secado (SEC) e híbrido (HIB) (p < 0,0002; n = 72). El TF (NaNO3) y la RM fueron influenciados por la interacción SEC*HIB (p < 0,002; n = 72); en cambio, el PH por la interacción SEC*MAN (p < 0,03; n = 72) y la RM por la interacción HIB*MAN (p < 0,04; n = 72).
Los resultados mostrados en la Tabla 1 indican que todos los híbridos, secados a las tres temperaturas, presentaron valores de PH por encima del mínimo requerido para ser clasificados como ‘flint’ (PH ≥76 kg/hl; p<0,0001; n=72). Pero, el valor de PH resultó creciente con la dureza del híbrido (77,2; 78,1; 79,0 y 79,5 kg/hl; para AW 190, NK 940, Cóndor y Mill 522, respectivamente), tal como se ha registrado en trabajos previos (Pomeranz et al., 1986; Wu, 1992, Blandino et al., 2010; Sharma et al., 2017). El PH fue menor en la re-fertilización respecto del manejo control (78,3 vs. 79,6 kg/hl, respectivamente) sólo en el secado a 50 °C (p<0,03; n=72); aunque se esperaba que fuese menor en este último. En cambio, en el secado a 70 °C el PH registró valores promedio de 78,3 kg/hl para ambos manejos agronómicos, al igual que en el secado natural, pero en este último sin los resultados esperados. Actis et al. (2020) evidenciaron que el efecto de la re-fertilización sobre el incremento del PH disminuyó por el aumento de la temperatura de secado, ya que el secado artificial conduce a cambios en las características de empaquetamiento de los granos, modificando el PH (Kirleis and Stroshine, 1990; Peplinski et al., 1989; Peplinski et al., 1994).
Los valores de TF (NaNO3) para todos los híbridos sometidos a secado natural se encontraron por debajo del máximo requerido para clasificarlos como ‘flint’ (TF ≤25%; p<0,0001), excepto para el AW 190 en el manejo control (TF =27%). Este mismo híbrido presentó valores mayores a los mínimos requeridos por la SAGPyA (1997) cuando se lo secó a 50 y 70 ºC, sin y con re-fertilización (TF=51 y 45, y 65 y 63%, respectivamente). Por el contrario, NK 940, Cóndor . Mill 522 secados artificialmente no presentaron incrementos significativos de TF (NaNO3), conservando su clasificación como ‘flint’. En el secado natural no hubo diferencia significativa en los valores de TF (NaNO3) entre los cuatro híbridos evaluados; en cambio, en el secado artificial (a 50 y 70 ºC) AW 190 registró el mayor valor de este parámetro de calidad (48 y 64%, respectivamente, a tales temperaturas), diferenciándose del resto de los híbridos.
Los valores de TF (CCl4) se incrementaron para AW 190 y NK 940 con ambos manejos en ambos tratamientos de secado (natural, y artificial a 50 y 70 °C; p<0,0002; Tabla 1) superando el valor mínimo exigido para un maíz de calidad ‘Premium’ (TF ≤12%). Además, Cóndor con manejo control (secado a 50 °C) y con ambos manejos (secado a 70 °C), y Mill 522 con re-fertilización (secado a 70 °C) también superaron dicho valor de calidad. En concordancia con estas observaciones, Paulsen et al. (1983) demostraron que el secado artificial aumenta los valores del TF en varios híbridos; es decir, que un alto número de granos que flotan indican una densidad del grano relativamente baja o granos menos duros. Los valores de TF (CCl4) entre el secado natural y a 50 ºC no difirieron significativamente (27 vs. 29%, respectivamente); pero el obtenido a 70 ºC difirió de ambos (38%). Por otro lado, el hibrido dentado AW 190 alcanzó el mayor valor (con el 80%) diferenciándose de NK 940 (con el 24%) y de ambos ‘flint’ (Cóndor y Mill 522, con el 14 y el 7%, respectivamente) que no tuvieron diferencia significativa entre sí.
La RM no presentó efectos significativos como consecuencia de la temperatura de secado (p<0,002); es decir, que no se obtuvieron valores de RM ≤4 en los cuatro híbridos, con ambos manejos, observándose que los valores de esta variable descendieron entre 0,5 y 1 g/g en el secado artificial (a 50 y 70 °C) respecto del natural, dependiendo del híbrido y su manejo agronómico. Por el contrario, Brekke et al. (1973) y Kirleis and Stroshine (1990) encontraron que la calidad de la molienda seca disminuía linealmente con el aumento de la temperatura del aire de secado. A su vez, estos últimos autores, hallaron que el híbrido más duro mostró el menor porcentaje de disminución en la calidad de molienda. En los tres tratamientos de secado el híbrido dentado AW 190 registró el menor valor (entre 4,3 –secado artificial- y 4,9 -secado natural-), diferenciándose del semi-‘flint’ NK 940 y Cóndor (entre 5,1 -secado artificial- y 6,3 -secado natural-, para ambos híbridos) y del ‘flint’ más duro Mill 522 (entre 6,0 -secado artificial- y 7,3 -secado natural-). Por otro lado, la RM difirió significativamente entre el manejo control (4,4) y la re-fertilización (4,7) sólo en el híbrido dentado AW 190; en cambio, en los otros tres híbridos no hubo diferencia significativa, entre los manejos agronómicos, pero los valores fueron más altos debido a la dureza de los mismos, obteniéndose valores promedio para ambos manejos de 5,5 para NK 940 y Cóndor, y de 6,5 para Mill 522.
El parámetro C detallado en la Tabla 1 determina el grado de dureza alcanzado de cada híbrido luego de los distintos tratamientos de secado, considerando las tres variables en su conjunto; es decir, para que un maíz sea ‘flint’ (PH ≥ 76 kg/hl y TF (NaNO3) ≤ 25%), y para que un maíz tenga calidad de molienda ‘Premium’ (PH ≥ 76 kg/hl, TF (CCl4) ≤ 12%, y RM ≥ 4). El híbrido que no se categorizó como ‘flint’, de acuerdo a los tratamientos de secado y manejos agronómicos, fue AW 190 con manejo control (secado natural) y con ambos manejos (secado a 50 y 70 °C), debido únicamente a sus valores de TF (NaNO3) ≥ 25%. Los híbridos que se categorizaron como ‘flint’, debido a los factores mencionados anteriormente, fueron AW 190 con re-fertilización (secado natural), NK 940 con ambos manejos (en los tres tratamientos de secado), y Cóndor con manejo control (secado a 50 y 70 °C) y con re-fertilización (secado a 70 °C), a causa únicamente de sus valores de TF (CCl4) ≥ 12%. Los híbridos que se categorizaron con calidad de molienda ‘Premium’ fueron Cóndor y Mill 522 con ambos manejos agronómicos (secado natural); y también ambos híbridos, excepto los casos de Cóndor con manejo control (secado a 50 °C) y Mill 522 con manejo control (secado a 70 °C), debido a sus valores de TF (CCl.) ≤ 12%. Si bien, estas categorías de dureza fueron determinadas por ambos ensayos de TF (NaNO3 y CCl4), los valores de PH fueron ≥76 kg/hl en los maíces definidos como ’flint’, y ≥ 79 kg/hl en los maíces definidos con calidad de molienda ‘Premium’, además de los valores de RM ≥ 4.
| Secado | Híbrido | Manejo agronómico | PH (kg/hl) | TF (NaNO3) (%) | TF (CCl4) (%) | RM (g/g) | C (parámetro de calidad) |
| Natural | AW 190 | Control | 76,9 | 27 | 75 | 4,6 | No ‘Flint’ |
| Re-fertilización | 76,5 | 17 | 78 | 5,1 | ‘Flint’ | ||
| NK 940 | Control | 77,4 | 8 | 22 | 6,2 | ‘Flint’ | |
| Re-fertilización | 78,1 | 7 | 13 | 6,5 | ‘Flint’ | ||
| Cóndor | Control | 78,6 | 14 | 11 | 6,2 | ‘Premium’ | |
| Re-fertilización | 79,0 | 4 | 9 | 6,2 | ‘Premium’ | ||
| Mill 522 | Control | 80,5 | 17 | 5 | 7,5 | ‘Premium’ | |
| Re-fertilización | 79,2 | 1 | 2 | 7,0 | ‘Premium’ | ||
| 50 °C | AW 190 | Control | 79,1 | 51 | 81 | 4,2 | No ‘Flint’ |
| Re-fertilización | 77,5 | 45 | 66 | 4,6 | No ‘Flint’ | ||
| NK 940 | Control | 79,0 | 13 | 33 | 5,0 | ‘Flint’ | |
| Re-fertilización | 78,1 | 14 | 15 | 5,1 | ‘Flint’ | ||
| Cóndor | Control | 79,9 | 7 | 14 | 5,1 | ‘Flint’ | |
| Re-fertilización | 78,6 | 6 | 11 | 5,1 | ‘Premium’ | ||
| Mill 522 | Control | 80,4 | 5 | 5 | 6,4 | ‘Premium’ | |
| Re-fertilización | 78,9 | 7 | 7 | 6,2 | ‘Premium’ | ||
| 70 °C | AW 190 | Control | 76,8 | 65 | 90 | 4,3 | No ‘Flint’ |
| Re-fertilización | 76,7 | 63 | 87 | 4,3 | No ‘Flint’ | ||
| NK 940 | Control | 78,3 | 20 | 32 | 5,0 | ‘Flint’ | |
| Re-fertilización | 77,6 | 21 | 27 | 5,3 | ‘Flint’ | ||
| Cóndor | Control | 79,2 | 7 | 21 | 5,0 | ‘Flint’ | |
| Re-fertilización | 78,9 | 11 | 18 | 5,2 | ‘Flint’ | ||
| Mill 522 | Control | 79,3 | 8 | 9 | 5,9 | ‘Premium’ | |
| Re-fertilización | 78,9 | 9 | 16 | 6,1 | ‘Flint’ | ||
| ANOVA | |||||||
| SEC | (0,5) a,** | (7)*** | (6)*** | (0,2)*** | |||
| HIB | (0,7)*** | (8)*** | (8)*** | (0,2)*** | |||
| MAN | (0,4)** | ns | ns | ns | |||
| SEC*HIB | ns | (15)*** | ns | (0,4)** | |||
| SEC*MAN | (0,6)* | ns | ns | ns | |||
| HIB*MAN | ns | ns | ns | (0,2)* | |||
| Referencias C: Calidad o carácter determinado por el tratamiento de secado. a : Valor de Tukey (DMS) para α ≤0,05. Significancias estadísticas para efectos principales e interacciones al *5%, **1%, and ***0.1%. ns: no significativo | |||||||
3.2. Matriz de Correlación entre Variables y Análisis de Componentes Principales (ACP)
Las propiedades físicas relacionadas con la dureza del grano se asociaron entre sí de diferente manera (Tabla 2).
El PH se asoció positivamente con la RM (r = 0,48; p < 0,0001); en relación a esto, Kirleis and Stroshine (1990) hallaron que el PH tuvo una alta asociación con el Factor de Evaluación de Molienda (FEM; r = 0,87; p < 0,0001). Éste es un índice numérico que refleja los rendimientos en ‘grits’ (rendimiento de fracciones gruesas en la molienda) y de endosperma total. Se calcula a partir de la suma del porcentaje en peso de endosperma molido, retenido por tres tamices de diferente trama y multiplicado por el porcentaje en peso total de endosperma molido. Además, la densidad del grano y el PH combinados mejoraron la predicción de dicho factor. El PH dependería del peso, tamaño, forma y grado de compacidad de los granos (De Dios et al., 1990); trabajos previos han demostrado que esta variable está asociada principalmente con la densidad del grano (Paulsen et al., 1983; Kirleis and Stroshine, 1990). Es decir, que granos con mayor PH tendrían mayor dureza (Peplinski et al., 1992), que se asocia con el contenido proteico del grano, más específicamente las proteínas de reserva denominadas zeínas (Robutti et al., 2000). Éstas se correlacionan positivamente con el rendimiento en ‘grits’ (Mestres and Matencio, 1996) que es un parámetro análogo a la RM.
El PH se correlacionó negativamente con el TF (r = -0,49 en NaNO3 y r = -0,62 en CCl4; p < 0,0001). Paulsen et al. (1983) determinaron que cuando el TF en CCl. se incrementaba, el PH de los granos disminuía (r = -0,93; p<0,05); es decir, que granos más densos, con mayor contenido proteico determinante de su dureza, flotaban menos. En el mismo sentido, Mc Donough et al. (2004) hallaron que la densidad del grano, asociada positivamente con el PH, se correlacionó negativamente con el TF en NaNO3 (r= -0,97; p<0,05).
La RM también se asoció negativamente con el TF (r= -0,61 en NaNO. y r= -0,73 en CCl.; p<0,0001). Del mismo modo, Peplinski et al. (1989) determinaron que el TF (en NaNO3) correlacionó negativamente con el rendimiento en ‘grits’. Estos investigadores hallaron que el aumento en el TF fue a una tasa mayor (de hasta el 20%) en comparación con la disminución del rendimiento en ‘grits’ (del 1 al 7%), en función del aumento de la temperatura de secado (de 25 a 60 °C), lo que determinaría que el TF sería una prueba más sensible, al igual que ha sido observado en el presente trabajo.
| PH | TF (NaNO3) | TF (CCl4) | |
| TF (NaNO3) | -0,49 *** | --- | |
| TF (CCl4) | -0,62 *** | 0,81 *** | --- |
| RM | 0,48 *** | -0,61 *** | -0,73 *** |
Nota: Significancias estadísticas para los coeficientes de correlación (r) al ***0,1%.
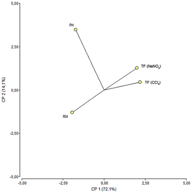
El Análisis de Componentes Principales (ACP) permite analizar la interdependencia de variables y encontrar una representación gráfica óptima de la variabilidad de los datos. Algebraicamente, los componentes principales son combinaciones lineales de las variables. Este tipo de análisis trata de encontrar, con pérdida mínima de información, un nuevo conjunto de variables no correlacionadas que expliquen la estructura de variación en los datos. En este caso, el análisis ACP devuelve los resultados que se muestran en la Figura 1 (biplot) y la Tabla 3.
Los resultados observados en la Figura 1 evidencian que con los dos primeros componentes principales es posible explicar el 86% de la variación total de los datos (Tabla 3).
En la Figura 1 se observa, que la RM se asoció negativamente con ambos TF (NaNO3 y CCl4), ya que los vectores se encuentran ubicados en sentido opuesto. En cambio, el PH mostró un ángulo aproximado de 90° con RM, pero los CP1 de tales variables tienen carga negativa, lo que demuestra que se asocian positivamente y se ubican en el segundo y tercer cuadrante del biplot, respectivamente. El PH también mostró un ángulo aproximado de 90° con ambos TF (NaNO3 y CCl4), pero los CP1 de tales variables tienen carga opuesta, lo que demuestra que se asocian negativamente, y se ubican en el segundo y primer cuadrante del biplot, respectivamente. Estos resultados son consistentes con los de la matriz de correlación (Tabla 2).

| Variables | CP1 | CP2 |
| PH | -0,75 | 0,66 |
| TF (NaNO3) | 0,87 | 0,24 |
| TF (CCl4) | 0,94 | 0,08 |
| RM | -0,83 | -0,25 |
4. Conclusiones
Todos los híbridos alcanzaron valores de PH ≥ 76 kg/hl y de RM ≥ 4 en los distintos tratamientos de secado. El TF en NaNO3, determinante del carácter de maíz ‘flint’, superó el límite del 25% sólo en AW 190 con manejo control (secado natural) y con ambos manejos (secado a 50 y 70 °C). Las propiedades asociadas a la dureza del grano para calidad ‘Premium’ (es decir, valores de TF en CCl4 ≤ 12%) se lograron en Cóndor con ambos manejos (secado natural) y con re-fertilización (secado a 50 °C), y en Mill 522 con ambos manejos (secado natural y a 50 °C) y con manejo control (secado a 70 °C).
El TF fue la prueba más sensible seguida del PH y RM. Utilizando las tres técnicas los híbridos estudiados pudieron clasificarse por su dureza y pudo medirse el efecto de la temperatura de secado en la calidad comercial de los mismos. El estudio del comportamiento de las variedades comerciales de maíz frente al acondicionamiento, junto con la evaluación de diferentes parámetros mediante las técnicas comúnmente empleadas para su clasificación, es de importancia en el desarrollo de un sistema que diferencie la calidad y aporte al agregado de valor en la producción primaria de origen nacional. Por otro lado, a partir del ACP se pudo concentrar la información en los dos primeros componentes principales, teniendo el CP1 carga positiva sobre TF (NaNO3) y TF (CCl4), y negativas sobre PH y RM, determinando así asociación inversa entre tales variables.
Agradecimientos
Los autores agradecen a UIB (INTA - FCA, UNMdP) y a la FIO - UNCPBA por el apoyo financiero a través de los Proyectos PNCER-024022 (INTA-Pergamino), AEAI-274420 (INTA-Balcarce) y 03/E143 - 03/E157 - 03/E171 - 03/E187A (FIO-UNCPBA), respectivamente; y a la Comisión de Investigaciones Científicas de la Provincia de Buenos Aires (CICPBA), Argentina.
Agradecimientos
Los autores agradecen a UIB (INTA - FCA, UNMdP) y a la FIO - UNCPBA por el apoyo financiero a través de los Proyectos PNCER-024022 (INTA-Pergamino), AEAI-274420 (INTA-Balcarce) y 03/E143 - 03/E157 - 03/E171 - 03/E187A (FIO-UNCPBA), respectivamente; y a la Comisión de Investigaciones Científicas de la Provincia de Buenos Aires (CICPBA), Argentina.
Referencias
Actis, M.; Ordoñez, M.; Gely, C.; Pagano, A. (2020). Effect of drying temperature on physical properties of flint maize hybrids with different crop managements. International Journal of Postharvest Technology and Innovation, 7, 271-294.
Akton Associates Incorporated. (2011). Akton Psychrometric Chart. Industrial Psychrometric Software Engineers, Oklahoma, USA.
ASAE. (2003). Moisture Measurement – Unground Grain and Seeds. S352.2. FEB03. ASAE Standards, Standards Engineering Practices Data. ASAE, St. Joseph, MI.
Blandino, M., Ciro Mancini, M., Peila, A., Rolle, L., Vanara, F., Reyneri, A. 2010. Determination of maize kernel hardness: comparison of different laboratory tests to predict dry-milling performance. J. Sci. Food Agric. 90, 1870-1878.
Brekke, O.L.; Griffin, E.L., Jr.; Shove, G.C. (1973). Dry milling of corn artificially dried at various temperatures. Transactions of the ASAE, 16, 761-765.
Cirilo, A.G. (2002). Maíz colorado duro: el manejo del cultivo y la calidad comercial. EEA Pergamino-INTA. <http://www.inta.gov.ar/balcarce/info/documentos/agric/cereales/maiz/sis/cirilo.htm>. (Accedido el 11 de Noviembre de 2012).
De Dios, C.A.; Puig, R.C.; Robutti, J.L. (1990). Caracterización de la calidad del maíz argentino. Informe Técnico N° 241, INTA E.E.A. Pergamino, Argentina. pp. 12.
Di Rienzo, J.A.; Casanoves, F.; Balzarini, M.G.; González, L.; Tablada, M.; Robledo, C.W. (2021). InfoStat versión 2021. Centro de Transferencia InfoStat, Universidad Nacional de Córdoba, Argentina.
Esmaeili, A.; Shokoohi, Z. (2011). Assessing the effect of oil price on world food prices: application of principal component analysis. Energy Policy, 39, 1022-1025.
Gely, M.C.; Santalla, E.M. (2007). Moisture diffusivity in quinoa (Chenopodium quinoa Willd.) seeds: effect of air temperature and initial moisture content of seeds. Journal of Food Engineering, 78, 1029-1033.
Hall, G.E.; Hill, L.D. (1972). Test weight of shelled corn and soybean during drying. En: Proc. Grain Damage Symp., Ohio State University, Columbus, OH.
Kirleis, A.W.; Stroshine, R.L. (1990). Effects of hardness and drying air temperature on breakage susceptibility and dry-milling characteristics of yellow dent corn. Cereal Chemistry, 67, 523-528.
Kljak, K.; Duvnjak, M.; Grbeša, D. (2018). Contribution of zein content and starch characteristics to vitreousness of commercial maize hybrids. Journal of Cereal Science, 80, 57-62.
Lepes, I.T.; Mohito, R.M.; Cedro, A.V.; Ruegg, O.E. (1976). Test de flotación con maíces duros argentinos. I Congreso Nacional de Maíz. Pergamino, Bs. As., Argentina. pp. 287-298.
Mc Donough, C.M.; Floyd, C.D.; Waniska, R.D.; Rooney, L.W. (2004). Effect of accelerated aging on maize, sorghum, and sorghum meal. Journal of Cereal Science, 39, 351-361.
Mestres, C.; Matencio, F. (1996). Biochemical basis of kernel milling characteristics and endosperm vitreousness of maize. Journal of Cereal Science, 24, 283-290.
Ordóñez, M.R.; Gely, M.C.; Pagano, A.M. (2012). Estudio de las propiedades físicas y de la cinética de secado de granos de maíz colorado duro. Avances en Ciencia e Ingeniería, 3, 153-171.
Paulsen, M.R.;Hill, L.D.; White, D.G.; Sprague, G.F. (1983). Breakage susceptibility of corn-belt genotypes. Transactions of the ASAE, 26, 1830-1841.
Peplinski, A.J.; Anderson, R.A.; Brekke, O.L. (1982). Corn dry milling as influenced by harvest and drying conditions. Transactions of the ASAE, 25, 1114-1117.
Peplinski, A.J.; Brekke, O.L.; Griffin, E.L.; Hall, G.; Hill, L.D. (1975). Corn quality as influenced by harvest and drying conditions. Cereal Foods World, 20, 145-154.
Peplinski, A.J.; Paulsen, M.R.; Anderson, R.A.; Kwolek, W.F. (1989). Physical, chemical, and dry-milling characteristics of corn hybrids from various genotypes. Cereal Chemistry, 66, 117-120.
Peplinski, A.J.; Paulsen, M.R.; Bouzaher, A. (1992). Physical, chemical and dry-milling properties of corn varying density and breakage susceptibility. Cereal Chemistry, 69, 397-400.
Peplinski, A.J.; Paulis, J.W.; Bietz, J.A.; Pratt, R.C. (1994). Drying of high-moisture corn: changes in properties and physical quality. Cereal Chemistry, 71, 129-133.
Pomeranz, Y.; Hall, G.E.; Czuchajowska, Z.; Lai, F.S. (1986). Test weight, hardness and breakage susceptibility of yellow dent corn hybrids. Cereal Chemistry, 63, 349-351.
Robutti, J.L.; Borrás, F.S.; Ferrer, M.E.; Bietz, J.A. (2000). Grouping and identification of Argentine maize races by chemometric analysis of zein RP-HPLC data. Cereal Chemistry, 77, 91-95.
Saavedra, J.; Córdova, A.; Gálvez, l.; Quezada, C.; Navarro, R. (2013). Principal Component Analysis as an exploration tool for kinetic modeling of food quality: A case study of a dried apple cluster snack. Journal of Food Engineering, 119, 229-235.
SAGPyA. (Secretaría de Agricultura, Ganadería, Pesca y Alimentación de la República Argentina). (1997). Norma XXIX de Resolución Número 757. Boletín Oficial, 17 de Octubre de 1997. Buenos Aires, Argentina, pp. 17. http://www.infoleg.gov.ar. Accedido el 5 de abril de 2019.
Serignese, A.D.; Pescio, F.E. (1995). Maíz colorado duro. Una alternativa interesante. Serie Divulgación N° 1. Dirección de Producción Agrícola Secretaría de Agricultura, Ganadería y Pesca. pp. 1-36.
Sharma, V., Basu, S., Lal, S.K., Anand, A., Hossain, F., Munshi, A.D. 2017. Comparison of physical and physiological properties of specialty maize inbred lines. Chem. Sci. Rev. Lett. 6, 1758-1763.
Watson, S.A. (1987). Measurement and maintenance of quality. En: Watson, S.A., Ramstad, P.E., Eds. Corn: chemistry and technology. American Association of Cereal Chemists: St. PauI, MN. pp. 125-183.
Wichser, W.R. (1961). The world of corn processing. American Miller and Processor, 89, 29-31.
Wu, Y.V. (1992). Corn hardness as related to yield and particle size of fractions from a micro hammer-cutter mill. Cereal Chemistry, 69, 343-347.

