

Artículos de Investigación
Análisis de Marketing integral basado en inteligencia artificial para estudiantes de Educación Superior
Comprehensive AI-Powered Marketing Analytics for Higher Education Students
Revista Científica Profundidad Construyendo Futuro
Universidad Francisco de Paula Santander, Colombia
ISSN: 2422-1783
ISSN-e: 2422-2518
Periodicidad: Semestral
vol. 23, núm. 23, 2025
Recepción: 14 marzo 2025
Aprobación: 27 junio 2025
Publicación: 01 julio 2025
Resumen: Este estudio presenta un análisis Integral del marketing basado en inteligencia artificial (IA) para los estudiantes de educación superior, con el fin de mejorar la manera en que las instituciones de educación superior se comunican con los estudiantes. Buscando identificar estrategias de marketing direccionadas a las nuevas preferencias y comportamientos de los clientes y que sean más efectivas y eficientes. El modelo propuesto se presenta como una estrategia retadora para optimizar las prácticas de captación, retención y fidelización estudiantil, mediante herramientas tecnológicas avanzadas. Esta investigación emplea una metodología cuantitativa, con un enfoque descriptivo, aplicando encuestas a una muestra representativa de 381 estudiantes. Los hallazgos destacan la necesidad de una comunicación personalizada, automatización de procesos, y una mejor experiencia educativa apoyada en IA, para evaluar como la Inteligencia Artificial (IA) puede optimizar mejor los procesos. El modelo final integra herramientas como sistemas de recomendación, chatbots, análisis predictivo y minería de datos, brindando una solución real a los retos del marketing educativo en modalidad virtual. Este enfoque innovador, centrado en el estudiante, aporta valor tanto a nivel institucional como en la calidad del servicio educativo ofrecido.
Palabras clave: Entornos Educativos, Innovar, Inteligencia Artificial, Marketing Integral, Retención.
Abstract:
This study presents a comprehensive analysis of artificial intelligence (AI)-based marketing for higher education students, aiming to improve how higher education institutions communicate with students. It seeks to identify marketing strategies aligned with the new preferences and behaviors of customers, making them more effective and efficient. The proposed model is introduced as a challenging strategy to optimize student recruitment, retention, and loyalty practices through advanced technological tools This research employs a quantitative methodology with a descriptive approach, using surveys applied to a representative sample of 381 students. The findings highlight the need for personalized communication, process automation, and an enhanced educational experience supported by AI, in order to evaluate how Artificial Intelligence (AI) can best optimize these processes. The final model integrates tools such as recommendation systems, chatbots, predictive analytics, and data mining, offering a real solution to the challenges of educational marketing in virtual modalities. This innovative, student-centered approach adds value both at the institutional level and in the quality of the educational services provided.
Keywords: Comprehensive Marketing, Educational Environments, Innovate, Artificial Intelligence, Retention..
1. Introducción
En el contexto actual de la transformación digital, las instituciones de educación superior están enfrentando desafíos retadores para adaptarse a los nuevos entornos competitivos, pensando en los estudiantes y la evolución de la tecnología en especial la Inteligencia Artificial (IA), ha abierto diferentes estrategias comerciales, buscando comprender las necesidades, expectativas y requerimientos de los estudiantes de acuerdo a (María del Carmen, Wellinton Danilo,et al., 2024), La inteligencia artificial se ha posicionado como una herramienta valiosa para mejorar el aprendizaje en la educación superior, especialmente a través de la personalización.
Es por lo anterior que el marketing Integral busca responder a las necesidades del mercado que actualmente está teniendo presencia en las generaciones actuales, caracterizado por la inmediatez, hiperactividad y las nuevas demandas.
2. Marco Teórico
El marco conceptual de esta investigación se fundamenta en teorías contemporáneas de marketing digital, inteligencia artificial y educación virtual. (Kotler & Keller, 2016), definen el marketing integral como un enfoque que unifica todas las áreas estratégicas y tácticas para generar valor al cliente. En este mundo cada vez digitalizado el comportamiento de los estudiantes de educación superior ha venido evolucionando, es por ello que “La inteligencia artificial (IA), en términos generales, se refiere a la habilidad de los sistemas computarizados para llevar a cabo tareas que esencialmente deberían ser elaboradas y pensadas por la inteligencia humana” ( Pérez Llaín, et al., 2025)el ámbito educativo, la IA permite una comunicación más efectiva, análisis de datos predictivos y personalización de contenidos, facilitando entornos de aprendizaje más eficientes (García- Peñalvo, 2023). El uso de chatbots, motores de recomendación, y minería de datos se ha vuelto cada vez más común en instituciones que buscan innovar y adaptarse a las exigencias de un entorno competitivo, especialmente en la educación superior virtual (Reyes Parra, et al., 2024).
3. Metodología
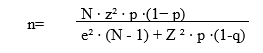
Se empleo una metodología de tipo descriptivo, con un enfoque cuantitativo cuyo objetivo principal fue aplicar una encuesta estructurada dirigida a estudiantes del programa virtual de Administración de Empresas de la Fundación Universitaria del Área Andina. La población total estuvo conformada por 42.750 estudiantes, y se determinó una muestra de calculó en 381 participantes con un margen de error del 5% y un nivel de confianza del 95%. El instrumento de recolección de datos constó de 15 preguntas divididas en cuatro bloques temáticos: características demográficas, percepción institucional, uso de herramientas digitales y expectativas frente a la inteligencia artificial. Los datos recolectados fueron procesados y analizados utilizando el software estadístico SPSS, lo que permitió obtener información clave para el diseño del modelo propuesto.
Se empleo la muestra para población finita teniendo en cuenta un nivel de confianza del 95 % y un margen de error del 5 %, lo cual es adecuado para estudios descriptivos en poblaciones numerosas garantizando precisión y representación en los resultados.
(1)
(2)Donde:
n: Tamaño de la muestra N: Población total (42.750)
Z: Nivel de confianza (1.96 para el 95%) p: Probabilidad de éxito (0.5)
q: Probabilidad de fracaso (0.5) e: Margen de error (0.05)
En consecuencia, el tamaño de la muestra fue de 381 estudiantes. Una cantidad estadísticamente suficiente para representar de manera fiable los intereses, percepciones y niveles de conocimiento de toda la población estudiantil del programa, permitiendo tomar decisiones fundamentadas para el diseño del modelo de marketing propuesto.
4. Resultados
Los resultados obtenidos muestran que el 80% de los estudiantes encuestados son mujeres, trabajadores de tiempo completo, en un rango de edad entre 26 y 36 años, y pertenecientes a los estratos 2 y 3. La principal motivación para elegir la modalidad virtual fue la flexibilidad horaria. En cuanto a las herramientas utilizadas, Moodle fue la plataforma más frecuente. Además, los contenidos preferidos fueron los videos explicativos y los casos prácticos. (Ver figura 1).

El 90% manifestó preferencia por recibir información académica clara, puntual y personalizada. Estos resultados evidencian la necesidad de un modelo de marketing educativo que integre tecnologías inteligentes para mejorar la experiencia del estudiante. (Ver figura 2).

| Herramienta / Tipo | Funcionalidad | Beneficios | Nivel de accesibilidad |
| Sistemas de recomendación académica | Analizan comportamientos pasados para sugerir programas, cursos o recursos mediante algoritmos de Machine Learning. | Personalización de la oferta educativa, aumento en la satisfacción y permanencia del estudiante. | Media (requiere integración técnica) |
| Chatbots con PLN (ej. Dialogflow, IBM Watson Assistant) | Responden automáticamente preguntas frecuentes usando procesamiento de lenguaje natural (PLN), disponibles 24/7. | Mejora la atención al usuario, reduce carga operativa y agiliza procesos administrativos. | Alta (fáciles de implementar en Sistema de Gestión del Aprendizaje. (LMS)) |
| Automatización de marketing (ej. HubSpot, Mailchimp IA) | Envía correos personalizados y segmentados según datos demográficos o intereses. | Incrementa tasas de apertura, fidelización de estudiantes y optimización del ciclo de vida educativo. | Alta (versiones gratuitas disponibles) |
| Minería de datos con IA (ej. RapidMiner, Orange) | Procesa grandes volúmenes de datos institucionales para identificar patrones y segmentar perfiles estudiantiles. | Mejora la toma de decisiones y permite campañas más precisas. | Media (requiere conocimientos técnicos) |
| Análisis predictivo (ej. Power BI + Azure ML, SPSS Modeler) | Predice comportamientos como deserción, riesgo académico o propensión a inscribirse. | Anticipa decisiones estratégicas y reduce tasas de abandono. | Media-alta (requiere modelos entrenados) |
| Plataformas CX con IA (ej. Salesforce Einstein, Zoho CRM) | Monitorean y ajustan en tiempo real la experiencia del usuario. | Aumentan retención y personalizan el recorrido del estudiante. | Media-alta (requiere inversión) |
| Generadores de contenido (ej. ChatGPT, Jasper) | Crean textos institucionales, publicaciones o respuestas automatizadas. | Ahorro de tiempo, coherencia en la comunicación y producción masiva de contenido. | Alta (uso gratuito básico) |
| Análisis de sentimiento (ej. MonkeyLearn, Lexalytics) | Analizan comentarios y redes sociales para medir la percepción del estudiantado. | Ajusta mensajes institucionales y previene crisis reputacionales. | Alta (fácil integración API) |
| LMS con IA (ej. Moodle + plugins IA, Canvas Studio) | Adaptan el contenido, evalúan el progreso y sugieren recursos adicionales. | Aprendizaje personalizado y mejora del rendimiento académico. | Media (requiere configuración previa) |
Con base en la información primaria, mediante las encuestas e información secundaria, se diseñó una propuesta de modelo de marketing integral orientado a la captación, retención y fidelización de estudiantes en la educación superior, incorporando herramientas de inteligencia artificial. Este modelo se estructura en tres fases: atracción, conversión-retención y fidelización. En la fase de atracción, se propone el uso de sistemas de análisis de datos y segmentación predictiva para generar campañas hiperpersonalizadas. En la etapa de conversión-retención, se recomienda la integración de chatbots con capacidades de NLP (procesamiento de lenguaje natural) para acompañar al estudiante durante su proceso de inscripción y adaptación. Finalmente, en la fase de fidelización, el modelo plantea el uso de análisis de sentimiento y minería de datos para detectar puntos críticos en la experiencia del estudiante y generar alertas tempranas ante posibles deserciones. Este modelo fue validado mediante entrevistas a expertos y obtuvo una valoración positiva en términos de viabilidad y aplicabilidad, siempre que se cuente con la capacitación y recursos adecuados para su implementación progresiva. (Ver tabla 2).
| Infraestructura tecnológica sugerida | ||||
| Area | Herramientas o plataformas sugeridas | Función | Pago | Gratuita |
| CRM & Lead Scoring | Hubspot con IA | Integra todos los datos de tus clientes, ofreciendo a tus equipos una visión unificada y completa de cada uno para impulsar el crecimiento de tu negocio (HubSpot , s.f.) | X | X |
| Selesforce Einstein | Un CRM poderoso cómo Salesforce Sales Cloud es esencial para lograr tu transformación digital optimizando tu proceso de ventas. (Softweb Solutions, 2024) | X | ||
| LMS con análitica | Moodle con plugins de IA | plataforma de aprendizaje en línea Moodle que ha sido extendida con complementos o plugins que integran funcionalidades de inteligencia artificial (IA) (Moodle, 2023) | X | |
| Blackboard Predict | una herramienta opcional para el análisis de los alumnos. Predict emplea un análisis longitudinal en función de los datos de Learn y del sistema de información de alumnos, junto con algoritmos analíticos predictivos, para ayudar a los educadores, los consejeros, los capacitadores y los tutores a identificar a los alumnos en riesgo e intervenir. (Blackboard, 2017) | X | ||
| Chatbot | ChatGPT API | Las API exponen determinadas funciones y datos de una aplicación a otras aplicaciones. (Nucleo, s.f.) | X | |
| ADA, la plataforma de chatbot de atención al cliente (Automated Digital Assistant) | Los Asistentes virtuales que usan lenguaje natural y conversan de forma automática e inteligente con los clientes sirven como un medio innovador para promocionar productos y servicios, distribuir premios y publicitar ofertas. (Ayala, 2024) | X | ||
| Landbot con NLP | Con el constructor sin código, puedes crear chatbots para tu sitio web y WhatsApp en minutos. También se usa a menudo para crear chats atractivos en sitios web, a veces como landing pages completas. (FinanEdi, s.f.) | X | X | |
| Publicidad | Meta ADA AI Tools | Meta AI es una potente herramienta de inteligencia artificial creada por Meta. Su principal objetivo es mejorar la interacción entre usuarios y plataformas digitales. (Vercheval, s.f.) | X | |
| Google Performarce Max | Máximo Rendimiento es una campaña basada en objetivos que permite a los anunciantes usar todo su inventario de Google Ads en una sola campaña. (Google ADS, s.f.) | X | X | |
| BI | Power BI con modelos predictivos + Azure ML | Es una herramienta de inteligencia de negocios (BI) y análisis de datos desarrollada por Microsoft. Sirve para conectar, transformar, analizar y visualizar datos de diversas fuentes en informes y paneles interactivos, permitiendo a los usuarios obtener información valiosa para la toma de decisiones. (Microsoft Ignite, s.f.) | X | |
5. Discusiones
Los resultados de este estudio demuestran una realidad a partir de los resultados, que muchas instituciones de educación superior pueden comenzar a comprender con mayor claridad: teniendo en cuenta que los estudiantes de hoy no solo demandan y exigen educación de calidad, sino también experiencias más cercanas, personalizadas y digitalmente integradas. Es por ello que la incorporación de la Inteligencia Artificial en las estrategias de marketing integradas no es solo algo de tendencia innovadora sino también dar repuestas necesarias con nuevas formas de interacción. Los resultados respaldan la hipótesis inicial: la aplicación de herramientas inteligentes puede fortalecer la captación, permanencia y fidelización en educación superior virtual, Esto concuerda con lo planteado por Rodríguez y Pérez (2024), quienes evidencian que el marketing digital apoyado en IA puede adaptarse mejor a las características cambiantes del estudiante virtual. En comparación con otros estudios similares, esta investigación propone una integración más profunda de soluciones de Inteligencia Artificial adaptadas al ciclo de vida del estudiante.
6. Conclusiones
El modelo de marketing integral basado en inteligencia artificial planteado en esta investigación representa una propuesta viable para optimizar los procesos de gestión educativa en la educación
superior. Al integrar tecnologías como sistemas de recomendación, análisis predictivo y automatización de la comunicación, se logra una mejora significativa en la experiencia del estudiante, en la toma de decisiones institucional y en el posicionamiento de la marca académica en entornos digitales.
7. Agradecimientos
La presente investigación se desarrolló con el respaldo de la Fundación Universitaria del Área Andina y del cuerpo docente del programa de Maestría en Gerencia de Marketing Digital. Agradecemos a los estudiantes que participaron en el proceso de recolección de datos y a los docentes asesores por su acompañamiento metodológico.
8. Referencias
García-Peñalvo, F. (2023). Transformación digital en educación superior.
Kotler, P., & Keller, K. (2016). Dirección de marketing (15ª ed.). Pearson Educación.
María del Carmen, J. G., Wellinton Danilo, A. C., Daniela Alejandra, Z. V., & Nicole Elizabeth, C. S. (2024). Impacto de la inteligencia artificial en la educación. Dialnet, 26.
Pérez Llaín, Y. Y., Durán Chinchilla, C. M., & Casadiegos Santana, M. H. (2025). La inteligencia artificial en la educación superior: un examen ético-jurídico de su perspectiva transformadora.Academica & Derecho.
Reyes Parra, G., Rozo García, J., & Buitrago Espitia, L. (2024). Personalización del aprendizaje y tecnología educativa.
Rodríguez, M., & Pérez, L. (2024). Marketing digital educativo con inteligencia artificial.

