

Artículos de Investigación
Desarrollo financiero y crecimiento económico en el Perú: 1990-2022
Financial development and economic growth in Peru: 1990-2022
Revista Científica Profundidad Construyendo Futuro
Universidad Francisco de Paula Santander, Colombia
ISSN: 2422-1783
ISSN-e: 2422-2518
Periodicidad: Semestral
vol. 22, núm. 22, 2025
Recepción: 08 julio 2024
Aprobación: 11 octubre 2024
Publicación: 01 enero 2025
Resumen: El crecimiento económico es un aspecto fundamental del progreso de una economía de cualquier país, que permite articular de forma eficiente los factores productivos necesarios e indispensables para producir los bienes y servicios que requieren los diversos mercados, un pilar necesario y decisivo de ese crecimiento es el sistema financiero, que canaliza los recursos de los agentes superavitarios hacia las inversiones productivas del sector real de la economía, la finalidad del presenta estudio es estimar como el desarrollo financiero del Perú ha contribuido de forma favorable a lograr mayores tasas de crecimiento durante los últimos 32 años, tomando en cuenta el programa que estabilizó la economía y la adopción de una economía pro mercado, así como de apertura comercial. Para lo cual se ha tomado como indicador para medir el desarrollo financiero considerando el grado de utilización del crédito a las empresas privadas, el producto bruto interno y como variables de control la inversión privada, exportaciones y el grado de apertura comercial, usando el método de estimación un modelo de series de tiempo (ADRL), a través del cual se analizará la relación entre el crecimiento económico y el desarrollo financiero. Podemos concluir la existencia de una relación de cointegración de largo plazo entre el crédito por empresa, la inversión, así como la exportación, el grado de apertura comercial y el crecimiento económico.
Palabras clave: Apertura comercial, crecimiento económico, desarrollo financiero, inversión privada..
Abstract: Economic growth is a fundamental aspect of the progress of an economy of any country, which allows the efficient articulation of the necessary and indispensable productive factors to produce the goods and services required by the various markets. A necessary and decisive pillar of this growth is the financial system, which channels the resources of surplus agents towards productive investments in the real sector of the economy. The purpose of this study is to estimate how the financial development of Peru has contributed favorably to achieving higher growth rates during the last 32 years, taking into account the program that stabilized the economy and the adoption of a pro-market economy, as well as trade openness. For which it has been taken as an indicator to measure financial development considering the degree of use of credit to private companies, the gross domestic product and as control variables private investment, exports and the degree of trade openness, using the estimation method a time series model (ADRL), through which the relationship between economic growth and financial development will be analyzed. We can conclude the existence of a long-term cointegration relationship between credit per company, investment, as well as exports, the degree of trade openness and economic growth.
Keywords: Economic growth, financial development, private investment, trade openness.
1. Introducción
En el ámbito de la economía, el desarrollo financiero y el crecimiento económico son dos aspectos fundamentales que están estrechamente relacionados y despiertan un gran interés entre los investigadores. El desarrollo financiero se refiere a la evolución y fortaleza del sistema financiero de un país, mientras que el crecimiento económico se centra en la expansión y desarrollo de la actividad económica en términos de producción, ingresos y empleo.
En este contexto, el siguiente estudio busca como fin establecer la relación entre el desarrollo financiero, medido por medio del crédito al sector privado, y el crecimiento económico, evaluado mediante el Producto Bruto Interno (PBI) en el caso peruano durante el periodo comprendido entre 1990 y 2022.
Perú, como una economía emergente y en constante transformación, ha experimentado cambios significativos en su sistema financiero y en su desempeño económico a lo largo de las últimas décadas. Durante este periodo, el país ha llevado a cabo importantes reformas y ha enfrentado diversos desafíos que han impactado tanto en su desarrollo financiero como en su crecimiento económico.
El indicador seleccionado para medir el desarrollo financiero es el crédito al sector privado, el cual refleja la disponibilidad de financiamiento para las empresas y los individuos en la economía. Por otro lado, el PBI peruano, que es ampliamente utilizado como indicador del crecimiento económico, captura el comportamiento de la producción total de bienes y servicios en el país.
En conclusión, esta investigación busca contribuir al conocimiento y comprensión del papel del desarrollo financiero en el crecimiento económico peruano, analizando la evolución del crédito al sector privado y su relación con el PBI a lo largo del periodo 1990-2022. A través de este análisis, se espera obtener indicadores que puedan servir como base para la formulación de políticas y estrategias destinadas a promover un desarrollo financiero sostenible y un crecimiento económico robusto en el país.
2. Marco Teórico
2.1 Bases teóricas
El crecimiento económico es un concepto que hace referencia al aumento en ciertas magnitudes que se usan para medir el comportamiento global de la economía, ingreso nacional, producto nacional bruto, Así mismo se mide el crecimiento económico por medio de variables más específicas que se usan para demostrar la existencia de una fase de crecimiento (empleo, inversión, producción de determinados rubros).
Como punto inicial son las teorías del crecimiento, están los modelos desarrollados en la escuela de crecimiento neoclásico. De acuerdo con Aghion y Howitt (2009) el modelo clásico de Solow considera como factor la acumulación de capital intenta demostrar que el crecimiento económico puede ser estable y mantener el pleno empleo, para ello descarta la relación fija de capital - producto (como sostenían Harrod-Domar), y la reemplaza por una relación variable de capital – producto. Ante ello, la función de producción Cobb-Douglas le permitía dicha relación variable.
Para Solow (1956), la producción puede ser designada por Y(t). En tanto, una fracción del producto se consume y lo que sobra se ahorra, siendo la proporción de ahorro igual a “s”, por lo que el ahorro es designado como: sY(t), el stock de capital se denota como K(t), mientras que, la inversión neta es justo la tasa a la que aumenta el stock de capital, es decir, igual a o , de tal manera que la identidad básica en cada momento del tiempo quedaría como: .

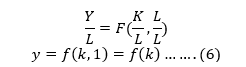
Expresando la función de producción en su forma intensiva o en términos per cápita (es decir, dividiendo la función entre la fuerza laboral L), se tiene el resultado:

La ecuación 6 corresponde a la función de producción per cápita. Luego, sustituimos las ecuaciones de ahorro e inversión bruta en la condición de equilibrio:

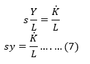
Dividimos la expresión anterior entre L, para conseguirla en términos per cápita:

El término de la expresión anterior se puede obtener a partir de la definición del capital per cápita, quel se muestra a continuación:

Aplicando logaritmos en ambos lados de la expresión se tiene:

Diferenciando con respecto al tiempo se obtiene lo siguiente:

Dado que
y
, entonces reemplazando se obtiene lo siguiente:

Por lo tanto, tenemos:

Sustituimos la expresión obtenida anteriormente en la ecuación (7) y resulta lo siguiente:

Despejando
se tiene:

Por lo tanto, sustituyendo la función de producción per cápita, nos da la ecuación fundamental de Solow de acumulación de capital:

Dicha ecuación fundamental de Solow señala que la acumulación de capital de una economía obedece positivamente de la tasa a la que ahorran los individuos, y de forma negativa de la tasa de crecimiento poblacional. Así, una mayor tasa de ahorro conllevaría a un mayor crecimiento del capital y de la economía, mientras que una mayor tasa de crecimiento poblacional implicaría un menor crecimiento. Además, se puede observar que el crecimiento del capital depende negativamente del stock de capital, lo cual se explica por los rendimientos decrecientes, pues mayores niveles de capital la productividad es cada vez menor. Esto último, genera uno de los casos particulares, en los que el término es mayor a , en dicho punto se da un crecimiento negativo o una pérdida de capital.
2.2 Evidencia Empírica
A nivel internacional, se encuentran diferentes investigaciones y estudios que a continuación describimos en la siguiente Tabla:
| Kaleemuddin y Masih (2017) | Modelo de rezagos distribuido autorregresivo (ARDL) | PIB real per cápita, proxy de crecimiento (G); Gasto del Gobierno (variable de control) (E); Comercio (variable de control) (T); Crédito Interno al Sector Privado, proxy de desarrollo financiero (B); Inversión Extranjera Directa – Entradas Netas (variable de control) (I). | 1960 – 2013 India | Relación directa y positiva | ||
| Sumarni (2019) | Modelo de rezagos distribuido autorregresivo (ARDL) | Ln 𝐺𝐷𝑃: logaritmo natural del Producto Interno Bruto a precio constante de 2010, ln 𝐹𝐶: logaritmo natural del crédito financiero de los bancos, ln 𝐹𝐴: logaritmo natural de los activos financieros de la banca comercial, ln 𝑇𝐹𝑃: logaritmo natural de los créditos de la banca terceros depósitos. | Q1:2005 – Q4:2016 Indonesia | Relación directa y positiva | ||
| Fathima y Mohamed (2021) | Técnica de cointegración de rezago distribuido autorregresivo (ARDL) de raíz unitaria de panel | PIB: Producto Interno Bruto, PRVT: Crédito al Sector Privado; GFC: Formación Bruta de Capital Fijo; TRD: Comercio; IPC: Índice de Precios al Consumidor; LF: Fuerza Laboral | 1990 – 2018 Sri Lanka | Relación directa y positiva | ||
| Musakwa y Odhiambo (2022) | Enfoque ARDL y la prueba de causalidad de Granger | Índice de Instituciones Financieras (FII), Índice de Mercado Financiero (FMI), 𝑋1 es la educación medida por la matrícula bruta en la escuela primaria (EDU); 𝑋2 es el crecimiento económico (EG); 𝑋3 es la apertura comercial (TOP); 𝑋4 es la inflación (INFL); 5 es formación bruta de capital fijo (GFC); | 1980 – 2020 Botswana | No tienen relación | ||
A nivel latinoamericano, se ´presenta una serie de investigaciones sobre la materia que se muestra a continuación en la tabla No 02:
| Becerra y Flores (2023) | Técnica de datos de panel | Crecimiento económico, desarrollo financiero, inversión extranjera directa, inflación, formación bruta de capital, y ahorro. | 1980 – 2020 Brasil, Chile, Perú, Ecuador y Argentina | Relación direccional |
| Kirikkaleli et al. (2021) | Modelo de rezagos distribuido autorregresivo (ARDL) | Crecimiento económico, desarrollo financiero, consumo de energía renovable, | 1970 - 2020 Chile | Resultados mixtos |
| Villareal (2021) | Modelo de rezagos distribuido autorregresivo (ARDL) | IPC: Índice accionario de la Bolsa Mexicana de Valores; K: capitalización del mercado; O: volumen de operaciones; | Q1:1993 – Q2:2018 México | Relación bidireccional. |
| Wang et al. (2021) | Modelo ARDL-PMG | Consumo de energías renovables; desarrollo financiero; Crecimiento económico. | 1997 – 2017 China | Causalidad unidireccional desde el desarrollo financiero hasta el consumo de energía renovable |
| Relación directa y significativa | ||||
| Quevedo y Rocaba (2016) | Modelo de rezagos distribuido autorregresivo (ARDL) | PIB: Producto Interno Bruto; GOB: gasto público; INV: formación bruta de capital fijo del sector privado; EXP: exportaciones, TI: los términos de intercambio y FD: medida del desarrollo del sistema financiero | Q1:1991 – Q1:2015 Bolivia | Relación directa y significativa |
| Cortez (2010) | Regresión MCO | Crecimiento del PBI real (PROD), crédito bancario (CRED), Inversión bruta de capital fija (INBF), Ahorro financiero (AHOI) | 1998 – 2008 Perú | Relación directa |
3. Metodología
o Enfoque de la investigación: El estudiose basa en un enfoque explicativo – cuantitativo
o Diseño de la investigación: En este sentido, esta investigación se enmarca en un diseño no experimental.
o Nivel: explicativo mediante un análisis econométrico (serie de tiempo).
o Tipo: Esta investigación será del tipo aplicada y longitudinal de serie de tiempo, haciendo uso de un modelo de serie temporal (en específico un modelo ADRL).
o Métodos y procedimientos
i. Tratamiento previo de los datos
La investigación, utilizará variables expresadas en dólares del 2010 (es decir, a precios constantes). Por otro lado, el resto de las variables estarán expresadas en su unidad correspondiente, así la variable grado de apertura comercial (GAC), estará expresada en porcentajes, ya que es un ratio (X+M/PBI).
ii. Modelo econométrico
En base al modelo teórico de crecimiento económico de Solow que incorpora el desarrollo financiero dentro de la productividad total de los factores, y considerando, además, las variables inversión privada per cápita (
), grado de apertura comercial (GAC), y exportaciones per cápita (
), se formula el siguiente modelo teórico matemático que se empleará en esta investigación:
Dónde:
: Producto Bruto Interno per-cápita, en dólares de 2010.
: Crédito interno al sector privado otorgado por los bancos, en términos per cápita, en dólares de 2010.
: Inversión privada per cápita, en dólares de 2010.
: Exportaciones per cápita, en dólares de 2010.
: Grado de apertura comercial
En términos econométricos, se utilizará la metodología ADRL (Autorregresivo de Rezagos Distribuidos) para estimar el modelo planteado, teniendo así el siguiente modelo:

Donde es una variable de error, y
representa los estados o periodos de tiempo. Asimismo, es una variable dummy, que toma el valor de 1 en aquel año en el que hubo crisis económica por pandemia de la covid-19.
b. Técnicas e instrumentos
i. Técnica de recolección de datos
Los datos a utilizar se recolectarán mediante páginas web de estadísticas como la del Banco Mundial, Banco Central de Reserva de Perú (BCRP), Datos económicos de la Reserva Federal (FRED), entre otros. Este proceso de recolección se efectúa de la siguiente manera:
ii. Técnica de procesamiento de datos
La información será recolectada y almacenada en una hoja de cálculo de Excel, donde se utilizará el software EViews,
4. Resultados
Análisis previo de las variables
Como análisis priori a la estimación del modelo ARDL, se verificó si las variables tienen raíz unitaria, es decir, se consideró la estacionalidad de las variables incluidas dentro del modelo. Así también se analizó, el orden de integración de dichas variables, verificando si tales variables son integradas de orden 0 o 1, es decir, si son I(0) o I(1). Esto permitirá incluir adecuadamente las variables, ya que dada la metodología de los modelos ARDL, estos suelen incluir variables que son I(1) o una combinación de variables I(1) e I(0).
En ese sentido, se utilizó los tests de raíz unitaria de Dickey-Fuller Aumentado (ADF) y el de Phillips-Perrón (PP), aplicado tanto a las variables en niveles (en logaritmos) como a las variables en primeras diferencias (primera diferencia del logaritmo de la variable). Ambos test consideran como hipótesis nula la existencia de raíz unitaria. En base a ello se obtuvieron los resultados que se muestran en la siguiente tabla:
| Variables | Variable en niveles | Variables en primeras diferencias | Orden de integración | |||
| ADF test | PP test | ADF test | PP test | |||
| LOG_PBIpc | -1.6128 (0.7653) | -1.8708 (0.646) | -5.5650 (0.0001) | -5.5650 (0.0001) | I(1) | |
| LOG_CREpc | -4.2890 (0.0099) | -1.8897 (0.6365) | -3.0804 (0.0386) | -3.4294 (0.0174) | I(1) | |
| LOG_IPpc | -3.8876 (0.0275) | 0.6365 (0.5543) | -4.6986 (0.0007) | -4.7200 (0.0007) | I(1) | |
| LOG_Xpc | -1.7576 (0.7014) | -1.9078 (0.6272) | -5.7029 (0.0000) | -5.7136 (0.0000) | I(1) | |
| LOG_GAC | -1.7894 (0.6863) | -1.8350 (0.664) | -6.3265 (0.0000) | -6.2706 (0.0000) | I(1) | |
Las variables están expresadas en logaritmos, y de acuerdo con la Tabla04, el test ADF indica existencia de raíz unitaria (no estacionariedad) para el PBI per cápita, las exportaciones per cápita y el grado de apertura comercial (probabilidad mayor al 5% que permite aceptar la hipótesis nula); mientras que el crédito per cápita y la inversión privada per cápita, no tienen raíz unitaria. No obstante, en el test PP se obtuvo un p-value mayor al 5% para todas las variables, por lo que todas presentan raíz unitaria (es decir, no son estacionarias).
Análisis de las estimaciones:
Para la estimación del modelo ARDL se debe especificar la cantidad de rezagos óptima, así, considerando el criterio de información de Schwarz, se encontró que el rezago óptimo para la variable endógena es 1, mientras que para las variables independientes es 1 solo para la variable inversión privada per cápita, mientras que, para el resto de las variables exogenas, no considera rezagos. El modelo ARDL estimado se muestra en la Tabla 5.
| Variable | Coeficiente | Error estándar | t-estadístico | Probabilidad |
| LOG_PBIpc(-1) | 0.6734 | 0.0870 | 7.7432 | 0.0000 |
| LOG_CREpc | 0.0308 | 0.0148 | 2.0879 | 0.0476 |
| LOG_IPpc | 0.3031 | 0.0292 | 10.3926 | 0.0000 |
| LOG_IPpc(-1) | -0.2275 | 0.0427 | -5.3266 | 0.0000 |
| LOG_Xpc | 0.1589 | 0.0548 | 2.9010 | 0.0078 |
| LOG_GAC | -0.1716 | 0.0818 | -2.0968 | 0.0467 |
| DD | -0.0406 | 0.0125 | -3.2458 | 0.0034 |
| C | 1.5701 | 0.4362 | 3.5994 | 0.0014 |
De acuerdo con la tabla 5, se obtuvo que la significancia estadística del efecto inmediato o contemporáneo del crédito per cápita sobre el PBI per cápita no es concluyente, ya que, si se considera el p-value como tal (0.0476) se podría decir que es menor a 5% y por lo tanto es significativo, y por lo tanto no es posible rechazar la hipótesis nula. Pese a ello, es rescatable mencionar, que el efecto del crédito per cápita sobre el PBI per cápita es positivo, lo que es un buen indicio para el posterior análisis de cointegración. En ese sentido, se tiene que un incremento del crédito per cápita en 1% conllevaría a un incremento promedio del PBI per cápita de 3.08% (esto es, la elasticidad del PBIpc con respecto al crédito en el corto plazo es de 0.0308).
Así también, se obtuvo que la inversión privada per cápita tiene un resultado contemporáneo positivo y estadísticamente significativo en el PBI per cápita. De acuerdo con los resultados, un incremento en 1% de la inversión privada per cápita, conlleva a un aumento del PBI per cápita en 30.31%. Por su parte, las exportaciones tienen un impacto positivo y significativo en el PBI per cápita, en tanto cuando hay un aumento de 1% de las exportaciones per cápita, induce a un aumento del PBI por habitante de 15.89%.
Por su parte, el grado de apertura comercial tiene un resultado negativo sobre el PBI per cápita, aunque dicho efecto no es estadísticamente significativo. No obstante, esto implica que una mayor apertura comercial (un incremento de 1% de su indicador) reduce el PBI per cápita en 17.16% en el periodo inmediato.
La variable dummy incorporada en el modelo indica un efecto negativo y estadísticamente significativo en el PBI per cápita. Esto, tiene sentido bajo el hecho de que dicha variable dummy recoge 2 sucesos importantes como son la crisis financiera internacional del 2008 y la pandemia de la Covid-19 en el 2020 (años en las que la variable dummy toma el valor de 1), es importante señalar que el modelo tiene un ajuste bastante cercano a 1 (es decir, un R-cuadrado igual a 0.9985). Este indicador, señala que las variables incorporadas explícitamente en el modelo explican en conjunto el 99,85% de los cambios en la variable dependiente (PBI per cápita)
Además del análisis económico y estadístico (bajo los cuales, el modelo cumple con los signos esperados y con la significancia estadística individual y global, así como un R-cuadrado adecuado); también es preciso realizar un análisis econométrico del modelo. En ese sentido se aplicó el test LM de correlación serial y el test de Breusch-Pagan-Godfrey para verificar heteroscedasticidad (presentados en el ¡Error! No se encuentra el origen de la referencia.). Los resultados (p-value menor al 5% en ambos casos) permiten concluir que los residuos del modelo estimado no muestran problemas de correlación serial ni heteroscedasticidad.
Análisis del modelo de largo plazo y de corto plazo (Modelo de Corrección de Errores – MCE).
La ecuación de largo plazo que relaciona a las variables es la que se detalla en la siguiente tabla:
| Ecuación de largo plazo | ||||
| Variable dependiente: LOG_PBIpc | ||||
| Variable | Coeficiente | Error estándar | t-estadístico | Prob. |
| Log_CREDpc | 0.0943 | 0.0430 | 2.1930 | 0.0382 |
| Log_IPpc | 0.2315 | 0.0746 | 3.1030 | 0.0049 |
| Log_Xpc | 0.4865 | 0.0710 | 6.8568 | 0.0000 |
| Log_GAC | -0.5255 | 0.1483 | -3.5427 | 0.0017 |
| Intercepto | 4.8080 | 0.2791 | 17.2262 | 0.0000 |
Los resultados mostrados en la tabla anterior, se obtuvo que las variables consideradas en esta investigación tienen un efecto significativo en el largo plazo sobre el PBI per cápita (como indicador del crecimiento económico), ya que los p-value de cada variable es menor al 5%. Asimismo, la ecuación de largo plazo obtenida se puede expresar de la siguiente manera:
La ecuación anterior (al igual que la tabla 7) muestra los efectos de largo plazo que tienen las variables en el crecimiento económico (medido a través del PBI per cápita). En ese contexto, se encontró un ajuste positivo y estadísticamente significativo hacia el equilibrio de largo plazo entre el crédito per cápita, la inversión privada per cápita, las exportaciones per cápita y PBI per cápita. Por su parte, el grado de apertura comercial tiene un ajuste negativo hacia el equilibrio de largo plazo con el PBI per cápita.
5. Discusión de resultados
El estudio abordado tuvo como fin principal explicar el impacto del desarrollo financiero sobre el crecimiento económico del Perú durante el periodo 1990-2022. Para esto se recurrió a la estimación de un modelo econométrico de series de tiempo, en específico un modelo ARDL. Así, dado que las variables son integradas en orden 1 fue factible estimar dicho modelo, y además, tras aplicar el test de limites (Bound test), se halló que existe una relación de largo plazo o cointegración entre las variables de estudio, evidenciándose un efecto de largo plazo positivo y estadísticamente significativo del crédito per cápita hacia el PBI per cápita. Este resultado es congruente con los hallazgos de Bist y Bista (2018), quienes estimaron también un modelo ARDL, encontrando que el desarrollo financiero tiene un efecto positivo y significativo en el crecimiento económico tanto a largo como a corto plazo.
Se evidenció que el PBI per cápita presenta un ajuste relativamente lento hacia su equilibrio de largo plazo, dado que el coeficiente de ajuste fue de 32%. No obstante, dado el efecto positivo del crédito per cápita sobre el PBI per cápita (0.0943) en el largo plazo, permite inferir que el crecimiento económico responde positivamente a choques de crédito., coincidiendo con los hallazgos de Fathima y Mohamed (2021), quien identificó que el crédito al sector privado y el PIB muestran una relación significativamente positiva con el crecimiento económico.
Así también los resultados encontrados coinciden con Bandura y Dzingirai (2019) cuyos hallazgos evidencian una conexión en forma de U entre el desarrollo financiero y el crecimiento, indicando que más financiamiento impulsa el crecimiento en la región. No obstante, difieren de los resultados hallados por Landa (2019), quien evidenció una conexión negativa entre el apalancamiento del sector privado y la tasa de crecimiento económico, lo que muestra que un aumento del 1% en el nivel de crédito produce una contracción media del PBI de 0.27%.
Por otro lado, se encontró que la inversión privada per cápita tiene un resultado positivo y significativo en el largo plazo en el crecimiento económico, en tanto que, un incremento de 1% de la inversión privada incrementaría en promedio 23.15% al PBI per cápita. Este hallazgo es similar al encontrado por Fathima y Mohamed (2021), quien identificó una relación significativamente positiva entre la formación bruta de capital fijo con el crecimiento económico, evidencia coincidente también con Moyo et al. (2018). Esto permite corroborar la hipótesis planteada en esta investigación de que la inversión privada tiene un efecto positivo sobre el crecimiento económico del Perú durante el periodo 1990-2022.
Asimismo, se evidenció que la elasticidad del PBI per cápita con respecto a las exportaciones es 0.4865, indicando un efecto positivo de largo plazo de las exportaciones sobre el crecimiento económico, en tanto que el aumento de la exportación en 1% incrementaría el PBI per cápita en 48%. Este resultado coincide con Quevedo y Rocaba (2016) que utilizaron como indicador a las exportaciones, identificando una relación directa y significativa en la estimación, ocasionando un efecto de crecimiento económico de 2,3%, ante una variación del 1% de las exportaciones.
Por otra parte, se encontró que el grado de apertura comercial tiene un resultado negativo en el largo plazo en el crecimiento económico, resultado que coincide con Bist y Bista (2018) quien encontró para Nepal un vínculo negativo con el crecimiento económico a largo plazo, sin embargo, en el corto plazo, el resultado muestra un efecto positivo entre la apertura comercial y el crecimiento. De hecho, se encuentra que la magnitud del impacto positivo de la apertura comercial en el corto plazo es mayor que la magnitud de su impacto negativo en el largo plazo.
6. Conclusiones
La revisión de la literatura, tanto teórica como empírica, permitieron corroborar y justificar los hallazgos de esta investigación, principalmente los resultados obtenidos de la estimación del modelo econométrico ARDL, esto permitió llegar a las siguientes conclusiones:
El resultado del desarrollo financiero, medido por medio del crédito per-cápita, sobre el crecimiento económico del Perú en el periodo 1990 – 2022, fue 3.08% ante el incremento de 1% en el CREpc, fue significativo al 5% de significancia estadística. Mientras que, en el largo plazo, él se encontró un ajuste positivo y estadísticamente significativo hacia el equilibrio de largo plazo en las variables, donde un cambio porcentual de 1% en el crédito per cápita el PBI per cápita se incrementaría en 9.43%
El efecto de la inversión privada sobre el crecimiento económico del Perú en el periodo 1990 – 2022, fue de 30.31% ante el incremento en 1% en el IPpc, fue significativo al 5% de significancia estadística. De igual forma en el largo plazo, se encontró un efecto positivo, donde un incremento de 1% en la inversión conllevaría a que el PBI per cápita varie al alza 23.15%.
El resultado de las exportaciones sobre el crecimiento económico del Perú en el periodo 1990 – 2022, fue de 15.89% ante un incremento en 1% en las Xpc, y fue significativo al 5% de significancia estadística. En el largo plazo, de igual forma se encontró un efecto positivo, donde 1% de las exportaciones se esperaría que el PBI per cápita se incremente en 48.65%
El efecto del grado de apertura comercial sobre el crecimiento económico del Perú en el periodo 1990 – 2022, tuvo un efecto adverso de -17.16%, y fue significativo al 5% de significancia estadística. De igual forma en el largo plazo se encontró un efecto negativo y significativo; sin embargo, puede explicarse porque las importaciones son mayores a las exportaciones.
7. Referencias
Aghion, P., & Howit, P. (2009). The economics of growth. Massachusetts Institute of Technology. Obtenido de https://edisciplinas.usp.br/pluginfile.php/4103753/mod_resource/content/1/AghionHowitt-Economics%20of%20Growth%202009.pdf
Banco Mundial. (2023). Datos Perú. Obtenido de https://datos.bancomundial.org/pais/peru
Becerra, J., & Eduardo, J. (2023). El nexo entre el desarrollo financiero y el crecimiento económico: evidencia para economías sudaméricanas. Revista Cuestiones Económicas, 33(1), 72-99. Obtenido de https://acortar.link/wbxG05
Fathima, K., & Mohamed, A. (2021). Nexus between Financial Development and Economic Growth: Evidence from Sri Lanka. The Journal of Asian Finance, Economics and Business, 165-170. Obtenido de https://koreascience.or.kr/article/JAKO202106438543237.page
Hernández Sampieri, R., Fernández Collado, C., & Baptista Lucio, M. d. (2014). Metodología de la Investigación (6ta ed.). México: McGraw-Hill.
Jaramillo, M. (2014). El modelo de la caja municipal en Perú. Grade. Obtenido de https://www.grade.org.pe/publicaciones/13151-el-modelo-de-la-caja-municipal-en-peru/
Kaleemuddin, M., & Masih, M. (2017). Does financial development drive economic growth ? an ARDL approach. Munich Personal RePEc Archive, 19(11076). Obtenido de https://mpra.ub.uni-muenchen.de/110716/1/MPRA_paper_110716.pdf
.Kirikkaleli, D., Güngör, H., & Adebayo, S. (2021). Consumption-based carbon emissions, renewable energy consumption, financial development and economic growth in Chile. Business Strategy and the Environment, 31(3), 1123-1137. Obtenido de https://onlinelibrary.wiley.com/doi/abs/10.1002/bse.2945
Landa, H. (2019). Restricción financiera y crecimiento económico en México. Departamento de Economía de la Universidad Autónoma, 27-57. Obtenido de https://www.scielo.org.mx/pdf/ineco/v78n309/0185-1667-ineco-78-309-27.pdf
Musakwa, M., & Odhiambo, N. (2022). Financial development and economic growth in Botswana: New evidence from disaggregated data. Croatian Review of Economic, Business and Social Statistics, 8(2), 1-17. Obtenido de https://hrcak.srce.hr/file/416368.
Quevedo, O., & Rocabado, T. (2016). En búsqueda de una relación de largo plazo entre crecimiento económico y desarrollo del sistema financiero. Revista de Análisis del Banco Central de Bolivia, 25, 191-219. Obtenido de https://www.bcb.gob.bo/webdocs/publicacionesbcb/revista_analisis/ra_vol25/articulo_5_v25.pdf
Solow, R. M. (1956). A Contribution to the Theory of Economic Growth. Oxford Journals - The Quarterly Journal of Economics, 70(1), 65-94. Obtenido de https://www.jstor.org/stable/1884513
Sumarni, L. (2019). Financial development and economic growth in Indonesia: an ARDL-Bounds testing approach. Economic Journal of Emerging Markets, 11(1), 89-96. Obtenido de https://www.proquest.com/openview/7e9458eaa9700efb5d95ead3f3243a68/1?pq-origsite=gscholar&cbl=4424412
Villareal, J. (2021). Desarrollo del mercado accionario y crecimiento económico en México: un examen mediante los enfoques ARDL y No causalidad. Contaduría y Administración, 66(3), 1-23. Obtenido de https://www.scielo.org.mx/pdf/cya/v66n3/0186-1042-cya-66-03-00003.pdf

