

Artículos de Investigación
How Do Investments in Financial Assets Affect the Financial Performance of Pension Firms? Evidence from Nigeria
¿Cómo afectan las inversiones en activos financieros al rendimiento financiero de las empresas de pensiones? Evidencia de Nigeria
Revista Científica Profundidad Construyendo Futuro
Universidad Francisco de Paula Santander, Colombia
ISSN: 2422-1783
ISSN-e: 2422-2518
Periodicity: Semestral
vol. 22, no. 22, 2025
Received: 31 July 2024
Accepted: 25 October 2024
Published: 01 January 2025
Abstract: Pension Fund Administrators (PFAs) are essential for the management of pension funds that “guarantee retirees’ comfortability and welfare after life of active service years. The PFAs constantly encounter problems associated with investment decision making and optimization of financial performance of their invested assets classes to provide good returns for the payment of pension benefits. This paper analyses the impact of investment securities on the financial performance of pension funds in Nigeria. We considered a theoretical construct that demonstrate how assets holding drives the financial performance of pension funds. We examine each security invested in the portfolio of the PFAs – money market securities (MMS), federal government securities (FGS), mutual funds (MTF) and private equity fund (PEF) – incentivize return on investment (ROI) of the PFAs. We applied the autoregressive distributive lag on published information of National Pension Commission covering 2007 to 2021. The findings revealed that investment in money market securities have a positive impact on short-term ROI (10.223, p value < 0.01) but a negative impact in the long run (-10.798, p < 0.01). Investment in FG security does not significantly affect ROI in either the short run or long term. Private equity fund investments exhibit no significant short-term impact but positively influence long-term ROI (1.460, p< 0.01). The mutual fund investments negatively impact short-term returns (-1.054, p< 0.01) but have a positive effect on long-term ROI (1.463, p< 0.01). This suggest that the money market securities yield short-term gains, while the private equity and mutual funds indicates a potent long-term investment tool for long-term growth. However, the FG securities appear not to show a significant influence on financial performance. This outcome, evidently, underscores the need for policy and regulations to investment make the PFAs more strategically position to improve retirees’ welfare. We offer that the PFAs should ensure more investment in money market assets with effective switching strategies, to target potential short-term gains, manage long-term risks by promoting mutual funds and private equity funds investments for improved long-term performance and” ensure portfolio diversification to include securities may guarantee sustainable long-term returns.
Keywords: Pension Fund Administrators, Money market assets, Federal government security, Mutual funds, Private equity fund, Return on investment.
Resumen: Las Administradoras de Fondos de Pensiones (AFP) son esenciales para la gestión de los fondos de pensiones que «garantizan la comodidad y el bienestar de los jubilados tras años de servicio activo». Las AFP se enfrentan constantemente a problemas relacionados con la toma de decisiones de inversión y la optimización del rendimiento financiero de sus clases de activos invertidos para proporcionar buenos rendimientos para el pago de las prestaciones de pensiones. Este trabajo analiza el impacto de los valores de inversión en el rendimiento financiero de los fondos de pensiones en Nigeria. Consideramos un constructo teórico que demuestra cómo la tenencia de activos impulsa el rendimiento financiero de los fondos de pensiones. Examinamos cada valor invertido en la cartera de las AFP - valores del mercado monetario (MMS), valores del gobierno federal (FGS), fondos de inversión (MTF) y fondo de capital privado (PEF) - incentivan el rendimiento de la inversión (ROI) de las AFP. Aplicamos el rezago distributivo autorregresivo sobre información publicada de la Comisión Nacional de Pensiones que abarca de 2007 a 2021.Los resultados revelaron que la inversión en valores del mercado monetario tiene un impacto positivo en el ROI a corto plazo (10,223, valor p < 0,01), pero un impacto negativo a largo plazo (-10,798, valor p < 0,01). La inversión en valores FG no afecta significativamente al ROI ni a corto ni a largo plazo. Las inversiones en fondos de capital riesgo no muestran un impacto significativo a corto plazo, pero influyen positivamente en el ROI a largo plazo (1,460, p < 0,01). Las inversiones en fondos de inversión afectan negativamente a la rentabilidad a corto plazo (-1,054, p< 0,01), pero tienen un efecto positivo en la rentabilidad a largo plazo (1,463, p< 0,01). Esto sugiere que los valores del mercado monetario producen ganancias a corto plazo, mientras que los valores privados y los fondos de inversión indican una potente herramienta de inversión a largo plazo para el crecimiento a largo plazo. Sin embargo, los valores de FG no parecen mostrar una influencia significativa en el rendimiento financiero. Este resultado, evidentemente, subraya la necesidad de políticas y normativas de inversión que sitúen a las AFP en una posición más estratégica para mejorar el bienestar de los jubilados. Proponemos que las AFP garanticen una mayor inversión en activos del mercado monetario con estrategias de cambio efectivas, para apuntar a posibles ganancias a corto plazo, gestionen los riesgos a largo plazo promoviendo las inversiones en fondos mutuos y fondos de capital privado para mejorar el rendimiento a largo plazo y« garanticen la diversificación de la cartera para incluir valores que puedan garantizar rendimientos sostenibles a largo plazo».
Palabras clave: Administradoras de Fondos de Pensiones, Activos del mercado monetario, Seguridad del gobierno federal, Fondos de inversión, Fondo de capital privado, Rendimiento de la inversión.
1. Introducción
Pension firms play a critical role in safeguarding the financial futures of retirees by managing and growing their contributions through prudent investment strategies. In Nigeria, the pension industry has experienced substantial reforms over the past two decades, particularly following the implementation of the Pension Reform Act of 2004 and its subsequent revisions. These reforms aimed to increase transparency, ensure sustainability, and enhance the performance of pension fund administrators (PFAs). Central to achieving these goals is the effective investment of pension assets in diverse financial instruments. However, despite increasing asset accumulation in the Nigerian pension sector, questions remain about how these investments translate into tangible financial performance for pension firms.
The international labor law makes provision for an employee who has rendered his services “for a stipulated amount of time to be compensated immediately after retirement and afterward, receive a sum on monthly basis for sustenance till death (International Labour Organization (ILO), 2021). The pension funds serve as an alternative source of income for the aged onee and are the most common form of social protection for the elderly in the world, with 77.5 percent of people above retirement age receiving some form of old-age pension (ILO, 2021). Pension payments are applicable to retirees of both government and privately owned organizations. Aside being a source of income to the retirees, the funds are often mobilized in the domestic capital markets for infrastructure development, thus having direct effect on fiscal sustainability, increase in productivity as well as support economic growth and development for many countries (Fisnik & Simon, 2022; Nyang & Njenga, 2022; Ndum & Okoye, 2022; Udeh & Igwebuike, 2019; Bojana et al., 2019). The pension programs lead to significant reductions in the poverty gap ratio among the elderly and are also important in protecting against the socio-economic risks and vulnerabilities associated with older age (Juergens & Galvani 2020).
Globally, the pension system has experienced evolution with the emergence of privately managed and employer-based schemes, especially, due to pension reforms since the early 2000s, which has resulted in a shift from Defined Benefit to Defined Contribution schemes (Irving, 2020).
In Nigeria, the contributory pension scheme (CPS) also called the defined contributory pension Scheme was adopted in 2004. Prior to the pension act reform in 2004, the public sector pension funds (defined benefit, Pay As You Go scheme) was always subject to budgetary allocations, non-contributory and not fully funded, which resulted to bottlenecks, deficits, issue of allocated funds diversion and presence of ineligible pensioners on the payroll. The new reform was patterned to ensure that the employee contributes 8% and the employer contributes 10% that is reviewed thereafter to a PFA who will on behalf of the retiree, invest the fund and provide the funds and returns upon retirement as a pension.
The Pension Reform Act 2004 was amended in 2014 due to its shortfall, it only enclosed employees of the Federal government, Staff of the Federal Capital Territory as well as private sector employees (Section 1(2) of PRA: 2004) and excluded employees of States and Local Governments. Hence by implication, the Act granted States and Local governments the latitude to evolve independent schemes that were in tune with their norms and values. With its main objectives as to ensuring that each individual who has worked in the public and private service of the federation receives their entitlement as at when due and ensuring adherence to a uniform set of rules, regulations and standards of administration in payment of retirement benefits, among others, the defined contributory pension scheme of 2004 replaced the former pension scheme, defined benefit (Pay As You Go), these objectives were to correct the anomalies and fill the space identified in the former pension scheme in Nigeria (Egolum & Ndum, 2021).
Because the pension funds are long-term in nature, they are exposed to risks, hence, investing them in a variety of securities can help to spread and reduce their risk exposure. Therefore, the pension funds are managed by the pension scheme, which hope to guarantee retirees’ welfare after life of active services. To ensure this, the Pension Fund Administrators (PFAs) must ensure the best possible management of the pension funds by ensuring they are safe and comfortably available to the retirees. There is evidence that the performance of pension funds may be greatly affected by the securities in which they are invested in and are so inter-connected that investment securities are critical to pension funds’ performance (Ogungbade et al., 2022; Kennedy 2021; Zwan et al., 2019; Nduruhu, 2019; Zwan et al., 2019). Nduruhu (2019) show that investment management, financial control, and financial reporting practices had a significant influence on the sustainability of PFAs in Kenya. Ogungbade et al. (2022) found out that the accumulation of assets by the PFAs has an impact on the financial performance of the pension funds in Nigeria. Kennedy (2021) note that investments in real estate fixed income and equity had a positive and significant effect on the performance among pension funds in Kenya.
The financial performance of PFAs in Nigeria can vary significantly depending on their investment strategies and portfolio composition. Some PFAs have consistently outperformed the industry average, while others have underperformed. Hence, PFAs that are economically efficient by investing in securities that provide diversification benefits helps to reduce the risk of the pension fund. Therefore, impacting positively on investment income which increases the total contributions available to the retirees at the time of drawing as after employment benefits (Omiete, 2023). Diversification entails investing in a variety of asset classes, sectors, and geographical location, spreads risk across different types of investments and reduces the impact of any negative events on the performance of the fund.
Most previous studies carried out on investment securities and financial performance of the PFAs primarily focused on other countries, such as Kenya (Kennedy, 2021; Mungai & Ochieng, 2018; Kinyua et al. (2022). Specific studies in the Nigerian context, Ogungbade et al. (2022), are limited to investment only in long-term securities, including ordinary shares, real estate properties, corporate debt. Because short-term securities have also experience growth, especially with inflow of funds from the PFAs, the paper attempts to apply available data based on the different types of investment securities to examine their impact on the PFAs’ financial returns. Examining this offers a more comprehensive understanding of the relationship between investment securities and the performance of PFAs in Nigeria.
This study seeks to fill that gap by examining how investments in various financial asset classes impact the financial performance of pension firms in Nigeria. By leveraging firm-level financial data and evaluating the investment strategies employed by PFAs, the research aims to uncover patterns and causal relationships that inform both policy and practice. Ultimately, the study contributes to a deeper understanding of how well pension firms are managing the balance between growth, risk, and fiduciary responsibility in the context of a developing economy.
This paper analyses the impact of investment securities on the financial performance of pension funds in Nigeria. We demonstrate how investment securities, including money market securities, federal government securities, mutual fund and private equity fund influence the return on investment of the pension funds administrators. We found that investment in money market has a positive impact on return on investment in the short run but has a negative impact on return on investment in the long run. The investment in FG securities does not have significant impact on return on investment both in the short and long runs. The investment in private equity does not have significant impact on return on investment in the short run but has a positive impact on return on investment in the long run. Investment in mutual funds has a negative impact on return on investment in the short run but has a positive impact on return on investment in the long run. This outcome, evidently, underscores the need for policy and regulations to investment make the PFAs more strategically position to improve retirees’ welfare. We offer that the PFAs should ensure more investment in money market assets with effective switching strategies, to target potential short-term gains, manage long-term risks by promoting mutual funds and private equity funds investments for improved long-term performance and ensure portfolio diversification to include securities may guarantee sustainable long-term returns. The following is how the other sections are presented: Section 2 surveys the body of literature, section 3 gives the method, section 4 the outcomes and section 5 closes.
2. Literature Review
The relationship between investments in financial assets and the financial performance of pension firms has been extensively examined across various economies, with a growing body of literature focusing on emerging markets such as Nigeria. Several empirical studies have highlighted that prudent asset allocation plays a pivotal role in determining the financial outcomes of pension fund administrators (PFAs), especially in volatile economic environments.
In the Nigerian context, studies have shown mixed results regarding the efficacy of investment strategies adopted by pension firms. For instance, empirical research conducted using time-series data from the National Pension Commission (PenCom) has demonstrated a statistically significant relationship between returns on financial assets—particularly government securities and corporate bonds—and the profitability indicators of PFAs, such as return on assets (ROA) and return on equity (ROE). These findings suggest that conservative investments, especially in low-risk instruments like treasury bills and FGN bonds, tend to contribute positively to financial performance, largely due to their predictable income streams and regulatory favorability.
Several reviews have examined how investment in securities affect the financial performance of pension firms. The evidence, from Balteș and Jimon (2020), Fisnik and Simon (2022), Qing and Haijie (2019), Zwan et al. (2019), and others, shows that many studies from developed countries agreed that such investment improves the financial performance of pension funds. Balteș and Jimon (2020) examined the financial performance of mandatory private pension funds between Romania and Slovakia. The paper presents the multi-pillar structure, evolution and performance of the pension funds implemented, and concluded that the managed pension funds remain an optimal means to provide resources to the elderly population during retirement. Fisnik and Simon (2022) investigated how pension asset drives economic growth of non-Organization for Economic Co-operation and Development (non-OECD) countries. They concluded that investments in pension fund have positively impacted the growth of non-OECD countries.
Crawford (2022) use survey research to develop an endogenous solution to the pension fund crisis by exploring pension fund governance structures, behaviors of fund managers, asset allocation and risk for the U.S. Public Pension Underfunding Crisis. The study found out that to eradicate imprudent investing strategies, pension funds should consider instituting a long-term view among investment staff, delegating risk as well as ensures a functional asset allocation within this group. This finding may not be applicable to all pension funds due to variations in fund size, structure, and jurisdictional regulations. The lack of information about the sample and its characteristics further limits the ability to generalize the findings to a broader context. Qing and Haijie (2019) use the cohort component population- and stochastic projection models to analyse sustainability of Urban Public Pension System in China with the aim of forecasting the pension gap of the public system. The study found out that the pension gap continues to exist from 2017 and keeps expanding until 2070 without any policy reform. Moreso, from the sensitivity evaluated, wider pension coverage with lower threshold is likely to face larger long-term system gap. Zwan et al. (2019) identify considerable variation in the joint regulatory incentives identified as supportive of sustainable investment with Netherlands, Denmark, and Germany respectively, as active, modest and little regulatory support of the sustainable investment.
Studies conducted in developing and Emerging countries, including Nduruhu (2019), Bojana et al. (2019), Mungai and Ochieng (2018), Ibish et al. (2020)Krishna (2020) and others, examine the different issues on the research matter. Afari (2022) adopted the quantitative research design to investigate the role of fixed income in pension scheme investment in Ghana. They note that the dynamics pension scheme investment can vary significantly between countries due to regulations, economic conditions, and institutional differences. They found that when liabilities are considered, the one bonds is the best matched liabilities. The minimum investment required also increases as the solvency level increases.
Nduruhu (2019) investigated the influence of financial management practices on the sustainability of pension funds administrative institutions (PFAIs) in Kenya. The findings show that funding management, investment management, financial control, and financial reporting practices had a positive and significant influence on the sustainability of PFAIs in Kenya. The authors suggest that policymakers, pension fund managers, and investors interested in improving the sustainability of PFAIs should put strong financial management practices in place. Mungai and Ochieng (2018) examine the effect of alternative investments on the financial performance of Pension Funds in Kenya and found out that most pension schemes had the largest allocation in fixed income and government securities and quoted equity, with the least allocation in private equity and venture capital and real estate investment trusts.
Bojana et al. (2019) examined the performance of pension funds in Croatia and discovered that efficiency of pension system has significant impact on economic growth and social cohesion. The paper only focused on the technical efficiency of mandatory pension funds and fail to consider other factors that may influence the performance of pension funds. Ibish et al. (2020) examine the evaluation of the financial performance of pension funds in Kosovo, Albania and North Macedonia. They paper revealed that increase in gross domestic product (GDP) and return on investment have positively influenced the performance of pension funds for the countries. Krishna (2020) examined the performance of the listed PFAs in India using the Sharpe, Treynor and Jensen’s alpha as risk-adjusted measures. They found that the pension funds ltd has dominated and performed better than other PFAs under Sharpe ratio & Jensen’s performance measures.
Benedictus (2020) examined the factors that hinder pension fund investment in infrastructure in Namibia. He discovered that the lack of expertise, regulation and financial instrument and asset that march pension fund are the barriers to pension fund investment in infrastructure. Kennedy (2021) examined the effect of real estate investments on the financial performance of pension funds in Kenya and found that investments such as real estate fixed income and equity had a positive and significant effect on the performance among pension funds.
Studies on specific to Nigeria, including, Udeh and Igwebuike (2019), Ojiaku et al. (2020), Orbunde et al. (2019), Udeh and Igwebuike (2019), Ikwor and Egbunike (2021), Ndum and Okoye (2022), Lawal et al. (2022), Ogungbade et al. (2022) and others. Orbunde et al. (2019) utilized the least square model to investigate the impact of pension fund investment on capital market performance and found a significant relationship between capital market performance and pension fund investment. They also discovered that pension fund net asset value has significant positive impact on market capitalization. Udeh and Igwebuike (2019) examined stock market and pension fund and concluded that pension fund assets to GDP had positive significant effect while stock capitalization to GDP had positive but no significant effect on economic growth.
Ojiaku et al. (2020) attempted to predict customer loyalty based on the dialogue, access, risk assessment and transparency (DART) model of co-creation for a cross-sectional survey involving 364 clients of pension service firm across MDAs. The study found out that the DART dimensions of co-create significantly predicts customer loyalty. Ikwor and Egbunike (2021) examined contributory pension scheme from 2005 to 2019. They discovered that the performance of the portfolio, involving both the retirement savings account (RSA) and the closed PFA (CPFA) does not have significant effect on GDP growth rate.
Ndum and Okoye (2022) assessed the relationship between pension fund asset investment and economic growth utilizing time series data spanning for a twelve-year period, from 2006 to 2017 and revealed a significant positive relationship between pension fund assets, pension fund contribution, pension fund investment and gross domestic product at 5% level of significance. Lawal et al. (2022) examined the relationship between retained earnings and growth of companies. The study concluded that retained earnings are essential for financing the PFAs operations. Ogungbade et al. (2022) access likely significant difference between the asset classes and the components of investment income and found out that the accumulation of assets by the PFAs has an impact on the financial performance of the pension funds”. The assets held by PFAs are crutial in terms of their financial performance.
3. Methods
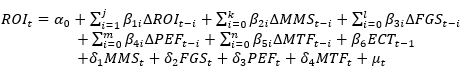
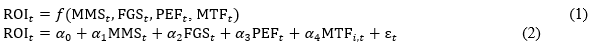
The conceptual framework shows how the investment in securities (independent variable) connects with the PFAs’ financial performance (dependent variable). “The securities considered include the money market securities, federal government securities, mutual funds and private equities, while the financial performance is measured by the return on investment, which directly depicts efficiency of the asset utilization. Figure 1 depicts a simple conceptual connection for the investment-performance relationship of the PFAs.

The paper applies the theoretical construct to guide the empirical specification that achieves paper’s aims. We adapt the model from Ogungbade et al. (2022), as depicted by both equation 1 (theoretical form) and equation 2 (econometric specification).
(1)(2)
Table 1 presents the description for the variables. The analytical specification, from (2), analyses how the assets holding (right hand sides) affects financial performance (left hand size) of PFAs in Nigeria. The model specifies the relationship between investment securities proxy by (money market securities, FG securities, mutual fund and private equity fund) and financial performance of pension funds proxy by (return on investment). The
are the coefficients of each variable,
and
is error term. The apriori expectation is that each
supposing the increase in each coefficient would increase return on investment.
The model is estimated according to the autoregressive distributive lag (ARDL) method, considered as a workhorse in dynamic single-equation. The ARDL model shows how a dependent variable,
is explained by its own pasts
and current,
and past,
of regressors. The general form is provided as
, as depicted by equation (3)
(3)Where
is the model’s disturbances or stochastic error term. The estimates of the long-run connection between
and
i.e.,
), from (3)is obtained as:

Before the estimation, we confirm the characterisation of variables based on the Augmented Dickey-Fuller (ADF) test to confirm inherent unit root. The test verifies the stationarity by assuming that
(i.e.,
) follows a DGP as:

Where,
and
, are respectively, the lag length and Gaussian white noise. The equation, estimated based on the least square, helps to obtain the statistic:
and its
to test null (
of non-stationarity of
) against the alternative (
, i.e.,
, of stationarity of
, ).
The procedure aligns with a cointegration bounds test approach, from Pesaran et al. (2001), who proposed two sets of critical value bound (CVB) consistent to the polar cases of
as purely
or
, where d is order of integration. We complete the cointegration test, based on the bound method, to verify if an equilibrium or cointegration exists amongst the variables. The ARDL bounds test is suitable under the existence of combinations of different order of integration in the series. Pesaran et al. (2001) introduce two (bounds) tests for cointegration: an F-test on the joint null that the coefficients on the level variables are jointly equal to zero or a t-test on the lagged level dependent variable. The bounds test examines the null
is no cointegration exist. We estimate the statistic,
, from (3)and compare with CVB. If
> Upper C.V.B., the null is rejected (cointegration exists).
After this, we estimate the specific ARDL model, which analyses the impact of investment securities on the financial performance of pension funds, is offered by equation (5):

ECT is the error correction term with
as its adjustment speed. The terms in change form (
) and summations of lagged terms are short run terms.
to
(
to
) are the parameters for short-run (long-run) influence of the variables. j is the optimum lag for ROI, while k, l, m, and n are optimum lag for MMS, FGS, PEF, and MTF. The data, from PENCOM, covers the period of 2007 to 2021. The considered period marks the era in which the pension industry has rapid growth, both in the number of registered administrators and in increase in assets under management. Two post-estimations, autocorrelation and heteroskedasticity tests are carried out. The autocorrelation (heteroskedasticity) follows the Durbin-Watson (Breusch-Pagan) procedure. The tests are necessary to guarantee that the results are accurate and reliable for possible generalization.
| Variables | Measurements | Sources | Apriori* |
| Money Market Securities (MMS) | Ratio of investment in money market securities to total asset. | Ogungbade et al. (2022) | |
| Federal Government Securities (FGS) | Ratio of investment in federal government securities to total asset. | Ogungbade et al. (2022) | |
| Private Equity Fund (PEF) | Ratio of investment in private fund equity to total asset. | Ogungbade et al. (2022) | |
| Mutual fund (MTF) | Ratio of investment in mutual fund to total asset. | Ogungbade et al. (2022) | |
| Financial Performance (ROI) | Return on investment. | Ibish et al. (2020)Wambui (2021)Ogungbade et al. (2022) | NA |
4. Resultados
Incluirán sólo los datos e información relacionada con el tema. Se presentarán en una secuencia que apoyen la hi4.1. Results
Table 2 presents the outputs of the stationarity verification, examined at various levels of significance. Return on investment (ROI) has an ADF statistic (τ_μ) value of -4.021 and a p-value of 0.005. The p-value is less than 0.01, hence the test is significant at 1%, supposing that the ROI series is stationary at its level series. Investment on money market securities (MMS) has an ADF statistic (τ_μ) value of -2.657 and a p-value of 0.097. The p-value is less than 0.1, hence the test is significant at 10%, supposing that the MMS series is stationary at its level series. Federal government security (FGS) has an ADF statistic (τ_μ) value of of 1.220 and a p-value of 0.997. The p-value is greater than 0.1, hence the test is not significant, supposing that the FGS series is non-stationary at its level series. However, its statistic became significant at first difference with a statistic of -4.252 and p-value of 0.003. The FGS series is differenced stationary and integrated of first order. Investment on private equity fund (PEF) has an ADF statistic value of -11.75 and p-value of 0.000, which is significant at 1% and hence, the PEF series is stationary at its level series. Investment on mutual funds (MTF) has an ADF statistic value of -9.251 and p-value of 0.000, which is significant at 1%, as such the MTF series is stationary at its level series.
Table 3 presents the outcome for the cointegration bounds tests. At 5%, the I(0) and I(1) bounds level are 2.86 and 4.01, respectively. With the F-statistic of 1562.50 greater than the I(1) bound, this indicates that the test is significant and the null cannot hold. Evidently, the outcome supposes the existence of a long-run relationships for the series in the ROI’s model of equation (2). Table 4 presents the ROI model’s regression coefficients for the short (long) run in Panel A (B). The F-statistic outcome shows that the entire model is significant, judging from its p-value (0.000) less than 5%. This signifies that the model is in good fit. The F-statistic better measures the goodness of fit relative to the R-squared (R^2), since usually, the empirical outcomes may be misled by a high R^2 due to the inclusion of the lagged terms of explanatory variables.
The short run analysis shows that first period lag of the error correction term is negative and significant. Its coefficient of 0.72 indicates that the model exhibit long run convergence. With about 72 percent of disequilibrium likely addressed in one period, supposing that the model adjusts back to equilibrium in less than two periods. The investment in money market securities and investment in mutual funds have significant coefficients while investment in FG securities and investment in private equity fund do not have significant coefficients. These are shown by the coefficients of the former variables (10.223 and -1.054 respectively) having p-values (0.000) that are less than all significance levels and the coefficients of the latter variables (-0.419 and 0.002) having p-values (0.120 and 0.942) that are greater than the highest significance level (i.e. 10%). With the coefficient of investment on money market securities (10.223) being positive, its impact on return on investment is positive. This implies that a percent increase in the growth of investment on money market securities yields an increase in the growth of return on investment by 10.223%. The coefficient of investment on mutual funds of -1.054 impacts the return on investment negatively, showing a percent increase in investment on mutual funds yields a decline in the growth of return on investment by 1.054%. This short run effect may be due to early stages of investment which may involve due diligence, acquisition and strategic planning. During this phase, the impact on ROI may not be realized.
The long run analysis indicates that the coefficients of 1.460, -10.798, and 2.926 on private equity, investment in the money market, mutual funds, respectively, are significant. The money market security has a negative impact on the investment returns in the long run. A percent increase in the money market securities will lead to a long-run decline in the by 10.798%. The coefficient on private equity funds (mutual funds) has a positive impact on returns in the long run. This implies that a percent increase in private equity funds (mutual funds) will yield a long-run rise in return on investment by 1.460 (2.926) percent. With a positive coefficient of 0.600 and a p-value of 0.517, the investment in FG securities does not have” a significant coefficient.pótesis o contesten la pregunta planteada en la introducción. Con frecuencia los resultados se presentan a través de tablas y figuras. La información que se debe incluir es:


| Variable | Est. | S.e. | -stat | ) |
| Panel A: ROI’s Short Run Error Correction Model | ||||
| D(MMS) | 10.223*** | 0.047538 | 215.065472 | 0.0000 |
| D(FGS) | -0.419 | 0.257938 | -1.627361 | 0.1201 |
| D(PEF) | 0.002 | 0.029635 | 0.072774 | 0.9427 |
| D(MEF) | -1.054*** | 0.023214 | -45.427871 | 0.0000 |
| ECT(-1) | 0.720*** | 0.018574 | 38.806198 | 0.0000 |
| Panel B: ROI’s Long Run Coefficients | ||||
| Intercept | 1.463 | 0.038463 | 38.038383 | 0.0000 |
| MMS | -10.798*** | 0.200699 | -53.803175 | 0.0000 |
| FGS | 0.600 | 0.909041 | 0.660281 | 0.5170 |
| PEF | 1.460*** | 0.088806 | 16.441137 | 0.0000 |
| MTF | 2.926*** | 0.038851 | 75.315596 | 0.0000 |
| Statistic | ||||
| F-statistic (p-value) | 1542.5*** | 0.0000 | ||
). S.e. is standard error of estimate,
-stat and
) are the t- statistics, and p-value using
. *p
1%; **p
; ***p
10%.
The results are subjected to post regression diagnostics – heteroscedasticity and the autocorrelation tests. Table 5 presents outcome for the heteroskedasticity and autocorrelation tests for the residual of the estimated model. Heteroscedasticity confirmation, according to the Breusch-Pagan-Godfrey approach confirms that the
(of 1.953) and F-statistic (of 0.152) have p-values of 0.9922 and 0.9967, respectively, supposing no sufficient evidence to reject the null of constant variance of residuals. Moreso, with a Durbin-Watson (DW) statistic of 2.313, the evidence supposes absence of autocorrelation problem.
| Statistic | Stat. value | p-value |
| Heteroskedasticity (Breusch-Pagan-Godfrey) Test: | ||
| F-statistic | 0.152485 | 0.9967 |
| 1.953559 | 0.9922 | |
| Autocorrelation (Durbin-Watson (DW)) Test | ||
| DW statistics | 2.313035 | |
is Obs*R-squared.
5. Discussions
The findings revealed that in the short run investment in money “market securities has a positive impact on return on investment in the short run but has a negative impact on return on investment in the long run. Investment in FG securities do not have significant impact on return on investment both in the short and long runs. Investment in private equity funds does not have significant impact on return on investment in the short run but has a positive impact on return on investment in the long run. Investment in mutual funds has a negative impact on return on investment in the short run but has a positive impact on return on investment in the long run.
First, we revealed that the PFAs’ investment in money market securities is a relevant factor that influences their financial performance. Given that the impact is positive in the short run, it implies that their financial performance improves in relation to increase in investment in money market securities, like commercial papers, as it allows the PFAs to maintain stable and predictable streams of income for their pension contributors. The findings are consistent with the findings of Wambui (2021) and Orbunde et al. (2019). However, the negative impact of money market securities in the long run implies that an increase it will adversely affect financial performance of PFAs. The finding supports Ogungbade et al. (2022), and Musa et al. (2021). The reason for this can be linked to FG securities being stable, risk-free investments and could be suitable for capital preservation. However, since they do not influence financial performance, administrators may not rely heavily on them for generating substantial returns.
Second, the evidence supposes that the PFAs’ investment in FG securities is not an important investment channel that can promote their financial performance. The implication is that an increase in FG securities has no significant impact on ROI in short and long run. FG securities could be used as a safe haven but may not yield high return as other forms of investments. The finding is contrary to Mungai and Ochieng (2018), and this may be due to the distinguished characteristics of pension scheme in different economies since the study was carried out in Kenya.
Third, the result reveals that the PFAs’ investment in private equity fund is a relevant factor that influences their financial performance. Given that the impact is positive in the long run, this implies that their financial performance improves in the long run in relation to increase in investment in private equity fund. This further implies that private equity investments align with the long-term nature of pension funds and may offer substantial returns over the long term, especially in sectors like technology, agriculture, and infrastructure. The finding was in line with the modern portfolio theory but inconsistent with findings by Mungai & Ochieng (2018) which may be as a result in distinguished characteristics of pension scheme in different economies since the study was carried out in Kenya.
Lastly, the outcome reveals that the PFAs’ investment in mutual fund is an important investment channel that can promote their financial performance in the long run. Given that the impact is positive at the long run which corroborate with the apriori expectation of the study, this implies that increase in mutual funds will increase ROI at long run. By increasing the percentage investment in a mutual fund, PFAs gain exposure to a wide range of assets which could help spread risk and reduce the impact of poor-performing assets on the overall portfolio. Mutual funds can provide PFAs with a diversified investment option, thereby having a positive effect on long term return. The finding is supported by the finding of Mungai & Ochieng (2018), Musa et al. (2021), and Ogungbade et al. (2022).
6. Conclusions
Prior to the pension act reform in 2004 that led to the adoption of the contributory pension scheme, the public sector pension funds in Nigeria were always subject to budgetary allocations and non-contributory and not fully funded schemes. The scheme was faced with several bottlenecks, deficits, the issue of allocated funds diversion and presence of ineligible pensioners on the payroll. The new reform was patterned to ensure that the employee contributes 8% and the employer contributes 10% that is reviewed thereafter to a PFA who will on behalf of the retiree, invest the fund and provide the funds and returns upon retirement as a pension. The pension funds are typically long-term investors and are therefore exposed to risks, investing in a variety of securities can help to spread risk and reduce exposure to one particular security or asset class. To improve their financial performance, PFSAs in Nigeria need to invest in a various range of securities that are appropriate for the risk tolerance of their clients. Performance of pension funds may be greatly affected by the securities in which they are invested in and are so inter-connected that investment securities are critical to pension funds’ performance (Fisnik & Simon, 2022; Balteș & Jimon, 2020; Zwan et al., 2019).
This paper analyses the impact of investment securities on the financial performance of pension funds in Nigeria. According to the agency theory followed, we considered a theoretical construct to which we applied an analytical specification, that demonstrates how assets holding drives the financial performance of pension funds. Specifically, we examine the relationship between investment securities, including money market securities, federal government securities, mutual fund and private equity fund influence the return on investment of the pension funds administrators. Following preliminary scrutiny, we applied the ARDL on published information on the considered variables according to available from PENCOM covering 2007 to 2021.
The study found that investment in the money market has a positive impact on return on investment in the short run but has a negative impact on return on investment in the long run. The investment in FG securities does not have a significant impact on return on investment both in the short and long runs. Investment in private equity does not have significant impact on return on investment in the short run but has a positive impact on return on investment in the long run. Investment in mutual funds has a negative impact on return on investment in the short run but has a positive impact on return on investment in the long run. According to the findings, we offer recommendations. First that more investment in money market securities should be made for short-term improvement in return on investment of PFAs. The increment should follow a switching strategy of alternating the investment to mitigate the long-term threats from investment in money market securities. Second that the allocation of investments in FG securities should be reviewed by PENCOM, as the current level seems ineffective in enhancing financial performance. Third that investment in private equities should be employed as a long-term strategy to boost the PFAs’ returns. Fourth that investment in mutual funds should be encouraged among PFAs for them to have improved return on investment in the long run. Lastly the diversification of investment should include all four securities in the investment portfolio can help avoid over-reliance on one, as they may not provide” sustainable long-term returns.
7. Referencias
Afari, K. B. (2022). The role of fixed income in pension scheme investment in Ghana: A possible adoption for the United States economy. Research Journal of Finance and Accounting, 13(14), 27–39. https://doi.org/10.7176/RJFA/13-14-04
Balteș, N., & Jimon, Ș. A. (2020). Financial performance of mandatory private pension funds in countries of Central and Eastern Europe: A comparative study between Romania and Slovakia. Ovidius University Annals, Economic Sciences Series, 20(1), 829–837.
Benedictus, M. (2020). Pension fund investment and infrastructure development in Namibia (Master's thesis, University of Cape Town). http://hdl.handle.net/11427/32809
Bojana, O. D., Hodžić, S., & Maradin, D. (2019). The efficiency of mandatory pension funds: Case of Croatia. The South East European Journal of Economics and Business, 14(2), 82–94.
Crawford, V. (2022). Addressing the U.S. public pension underfunding crisis: A survey of governance structures and asset allocation behavior. Journal of Pension Economics and Finance, 21(3), 456–478.
Egolum, U. C., & Ndum, N. B. (2021). The 2014 Pension Reform Act and pension fund administration in Nigeria: A prognostic analysis. University of Nigeria Journal of Political Economy, 9(2), 157–170. https://unjpe.com/index.php/UNJPE/article/view/32
Ibish, I., Morina, F., & Curraj, E. (2020). Evaluation of the financial performance of pension funds: Empirical evidence from Kosovo, Albania, and North Macedonia. European Journal of Sustainable Development, 9(1), 161–171. https://doi.org/10.14207/ejsd.2020.v9n1p161
Ikwor, O. C., & Egbunike, F. C. (2021). Contributory pension scheme and economic growth in Nigeria: 2005–2019. Nigerian Journal of Economic and Social Studies, 63(1), 89–105.
International Labour Organization. (2021). World Social Protection Report 2020–22: Social protection at the crossroads – in pursuit of a better future. International Labour Office. https://www.ilo.org/global/publications/books/WCMS_817572/lang--en/index.htm
Irving, P. (2020). The evolution of global pension systems: Transitioning from defined benefit to defined contribution schemes. Global Pension Trends, 12(1), 1–20.
Juergens, F., & Galvani, F. (2020). The impact of pension programs on poverty reduction among the elderly. Journal of Social Policy, 49(3), 1–15.
Kennedy, K. (2021). Effect of real estate investments on financial performance of pension funds in Kenya (Master's thesis, University of Nairobi). http://erepository.uonbi.ac.ke/handle/11295/160245
Kennedy, M. N. (2021). The effect of investment in real estate, fixed income, and equity on the performance of pension funds in Kenya. African Journal of Finance and Management, 13(2), 1–18.
Kinyua, J. M., et al. (2022). Investment strategies and financial performance of pension funds in Kenya. Journal of Finance and Investment Analysis, 11(1), 1–20.
Krishna, K. (2020). Performance evaluation of pension fund administrators in India using risk-adjusted return measures. Asian Journal of Finance & Accounting, 12(1), 134–147.
Lawal, A. I., Olayemi, A. A., & Adebayo, O. S. (2022). Retained earnings and growth of companies: Evidence from pension fund administrators in Nigeria. African Journal of Business Management, 16(3), 45–53.
Mungai, L. M., & Ochieng, D. E. (2018). Effect of alternative investments on financial performance of pension funds in Kenya. International Journal of Economics, Commerce and Management, 6(4), 212–228.
Musa, A. S., Yakubu, I. N., & Bello, M. A. (2021). Investment portfolio diversification and financial performance of pension fund administrators in Nigeria. Journal of Finance and Investment Analysis, 10(2), 67–81.
Ndum, V. C., & Okoye, L. U. (2022). Pension fund asset investment and economic growth in Nigeria: A time series analysis. Journal of Economics and Sustainable Development, 13(4), 112–121.
Nduruhu, D. K. (2019). Financial management practices and sustainability of pension funds administrative institutions in Kenya (Doctoral dissertation, Jomo Kenyatta University of Agriculture and Technology).
Ogungbade, O. K., Adegbite, T. A., & Oladipo, O. (2022). Asset classes and investment income: Implications for the financial performance of pension funds in Nigeria. Journal of Finance and Investment Analysis, 11(1), 33–47.
Ogungbade, O. K., Akinola, A. A., & Olayemi, O. O. (2022). Investment securities and financial performance of pension fund administrators in Nigeria. Nigerian Journal of Economic and Financial Research, 10(1), 1–20.
Ojiaku, O. C., Nwatu, B. C., & Aghara, V. N. (2020). Using the DART model of value co-creation to predict customer loyalty in pension fund administration in Nigeria. British Journal of Management and Marketing Studies, 2(3).
Omiete, V. O. (2023). Pension assets investments in the Nigerian economy. Saudi Journal of Economics and Finance, 7(3), 115–125. https://www.researchgate.net/publication/369402019_Pension_Assets_Investments_in_the_Nigerian_Economy
Orbunde, J. O., Okwu, A. T., & Uche, M. (2019). Pension fund investment and capital market performance in Nigeria. Journal of Finance and Investment Analysis, 8(3), 15–28.
Udeh, F. N., & Igwebuike, A. K. (2019). Pension fund administration and economic growth in Nigeria. International Journal of Academic Research in Business and Social Sciences, 9(2), 1–14.
Udeh, F. N., & Igwebuike, F. (2019). Stock market and pension fund: Implications for economic growth in Nigeria. International Journal of Financial Research, 10(2), 45–55.
Wambui, L. W. (2021). Effect of investment diversification on the financial performance of pension funds in Kenya (Master’s thesis, University of Nairobi).

