

Artículos
Evaluación de la presencia de microplásticos en arenas de tres playas turísticas al noreste de Venezuela
Evaluation of the presence of microplastics in sands of three tourist beaches in northeast Venezuela
Ciencia e Ingeniería
Universidad de La Guajira, Colombia
ISSN-e: 2389-9484
Periodicidad: Semestral
vol. 13, núm. 1, e17853343, 2026
Recepción: 27 julio 2025
Aprobación: 01 diciembre 2025
Publicación: 02 enero 2026
Autor de correspondencia: aocque@gmail.com

Resumen: La contaminación por microplásticos en arenas de playa representa una creciente preocupación global debido a su ubicuidad y a la diversidad de formas, tamaños y composición polimérica, lo que complejiza su gestión. En Venezuela, se ha documentado la presencia significativa de microplásticos en ambientes costeros, con potenciales implicaciones para los ecosistemas marinos y la salud humana debido a su persistencia y bioacumulación. Este estudio evaluó la abundancia, distribución y características de los microplásticos en la arena de tres playas turísticas del noreste de Venezuela, muestreadas durante los períodos de sequía, transición y lluvia, siguiendo el protocolo de la OIEA (Organismo Internacional de Energía Atómica). Los microplásticos se separaron, usando una lupa estereoscópica, y se clasificaron por su forma y color, contabilizando 511 partículas durante el periodo de estudio. En cuanto a la variación espacial de la densidad no se encontraron diferencias significativas en las tres playas estudiadas, sin embargo playa Venalum presentó diferencias significativas con respecto a los periodos climáticos, en cuanto a forma y color. Los microplásticos más abundantes fueron las fibras transparentes, constituidas químicamente por nilón, luego las fibras azules, negras y finalmente las blancas y rojas estas dos últimas de polipropileno. La predominancia de nilón y polipropileno sugiere posibles fuentes relacionadas con actividades pesqueras y domésticas, subrayando la necesidad de estrategias de mitigación específicas para las costas venezolanas.
Palabras clave: nilón, polipropileno, arena de playas.
Abstract: Microplastic pollution in beach sand is a growing global concern due to its ubiquity and the diversity of shapes, sizes, and polymer composition, which complicates its management. In Venezuela, the significant presence of microplastics in coastal environments has been documented, with potential implications for marine ecosystems and human health due to their persistence and bioaccumulation. This study evaluated the abundance, distribution and characteristics of microplastics in the sand of three tourist beaches in northeastern Venezuela, sampled during dry, transition, and rainy periods, following the IAEA (International Atomic Energy Agency) protocol. The microplastics were separated using a stereoscopic magnifying glass and classified by shape and color, with 511 particles counted during the study period. In terms of spatial variation in density, no significant differences were found at the three beaches studied. However, Venalum Beach showed significant differences in shape and color between the climatic periods. The most abundant microplastics were transparent fibers, chemically composed of nylon, followed by blue and black fibers, and finally white and red fibers, the latter two made of polypropylene. The predominance of nylon and polypropylene suggests possible sources related to fishing and domestic activities, highlighting the need for specific mitigation strategies for the Venezuelan coast.
Keywords: nylon, polypropylene, beach sand.
INTRODUCCIÓN
El creciente consumo de plástico, motivado al desarrollo económico, ha generado una importante cantidad de residuos de estos materiales, una gran parte de los cuales termina en el mar (Lebreton et al., 2017; Nguyen et al., 2025). Se estima que existen 62 millones de ítems de macro basura navegando en el océano, especialmente en el hemisferio norte, debido a la alta concentración de países con alto y mediano ingreso, donde la producción y consumo de materiales plásticos es mayor (Bueno, 2019; Tekman, 2022). Es importante destacar que el aumento demográfico, sumado a los modelos económicos de consumo lineal y a las prácticas deficientes en la gestión de residuos plásticos, especialmente en naciones en desarrollo, han ocasionado una problemática ambiental que afecta a todos los ecosistemas. Como resultado, estos contaminantes han alcanzado incluso las regiones más distantes del planeta, como las zonas polares y las fosas oceánicas (Crawford & Quinn, 2017; Gross, 2021; Kaza et al., 2018; PlasticsEurope, 2019; Vishnuvardhan et al., 2019).
La composición química de los plásticos incluye aditivos, conservantes y plastificantes diseñados para conferirles propiedades como resistencia, maleabilidad y durabilidad; sin embargo, estas mismas sustancias son consideradas una alerta tóxica para la salud (GESAMP, 2016). Esto se debe a que son clasificados como disruptores endocrinos, lo que puede perjudicar el desarrollo y la función adecuada del sistema hormonal. Además, estos aditivos se han identificado como precursores de enfermedades como el cáncer, lo que ha impulsado la implementación de regulaciones y normativas de uso y prohibición en varias naciones europeas (Sagot, 2022).
El ciclo de degradación de los residuos plásticos conduce a problemas ambientales severos, ya que estos materiales se microagrietan en la superficie por condiciones y mecanismos mediados por microbios y la intemperie, como la luz ultravioleta (UV) y la hidrólisis, por lo que son progresivamente fragmentados en pequeñas partículas conocidas como microplásticos (Andrady 2011; Auta et al. 2017). Los microplásticos son todas aquellas partículas plásticas ≤ 5 mm (GESAMP, 2016), que se han convertido en una fuente de preocupación a escala mundial debido a su vasta presencia (Abbas, 2021; Desforges et al., 2015).
Una arista de este contaminante es su capacidad de adsorber contaminantes químicos del agua, acumulándolos en su superficie (Alvarez-Zeferino et al., 2020). Su afinidad por xenoestrógenos y otros compuestos orgánicos los convierte en fuentes, sumideros y medios de dispersión de sustancias como plaguicidas, hidrocarburos aromáticos polinucleares (HAPs), bifenilos polibrominados (PBDEs) y policlorados (PCBs), con concentraciones que llegan a ser hasta un millón de veces superiores, comparadas con el medio circundante (Fisner et al. 2013; Xu et al., 2020). Debido a su naturaleza inerte y gran durabilidad, estos materiales actúan como vectores o huéspedes, permitiendo que sustancias peligrosas como metales tóxicos, microorganismos, toxinas, virus y fármacos se fijen a sus superficies, permaneciendo activos en el ambiente durante periodos extensos (Smith, 2018). Lo anterior se suma a que al fragmentarse, terminan liberando contaminantes, como ácidos orgánicos que contribuyen a la acidificación (Chen et al., 2022).
Entre los impactos negativos se puede mencionar su ingesta por parte de especies marinas como peces, moluscos y aves marinas, causando obstrucciones, úlceras, desnutrición y un descenso en las tasas de crecimiento y fertilidad, así como en la supervivencia y un aumento de la mortalidad (Cole et al., 2015; Jeong et al., 2016). Se pueden mencionar trabajos como el de Grillo et al. (2021), quienes analizaron el consumo de microplásticos del coral Porites porites y el López-Marcano et al. (2023), quienes determinaron la presencia de microplásticos dentro del contenido estomacal y branquias de las sardinas. Por otra parte, los microplásticos pueden ser incorporados por organismos de niveles tróficos superiores mediante la depredación, un proceso que resulta en la bioacumulación de estas partículas (Crawford & Quinn, 2017; Wright, 2013) y que incluye la bioacumulación en el organismo humano (GESAMP, 2016).
Numerosos estudios han reportado la presencia de estos contaminantes en la arena de playas a nivel mundial, García (2016) en la bahía de Chetumal, México; Rodríguez et al. (2020) en la costa atlántica de Uruguay; o los trabajos realizados en Perú de Iannacone et al. (2019), en la zona de marea alta y supra litoral en una playa arenosa del litoral costero, Besley et al. (2017), en las playas de Lima; y Zarate y Iannacone (2021), quienes evaluaron microplásticos en tres playas arenosas de la costa central. En esa misma línea de investigación, en Venezuela, López-Monroy & Fermín (2019) elaboraron una revisión bibliográfica donde caracterizaron el problema de la contaminación por microplásticos en el ambiente marino. Gamboa et al. (2022), evaluaron la basura plástica y microplásticos emergentes presentes en sedimentos de una playa urbana del oriente venezolano, hallando macro, meso y microplásticos. Balladares et al. (2023), estudiaron la presencia de 14 formas de microplásticos en arenas de la playa Las Garzas (Estado Sucre).
Dado que en las playas los microplásticos son particularmente comunes, llegando a estas a través de las corrientes marinas, mareas, el viento y las actividades humanas, es relevante conocer y estimar los valores de la densidad de microplásticos en la arena en tres playas turísticas al noreste de Venezuela, con el fin de generar una base sólida de investigaciones relacionadas con este contaminante que a su vez posibilite conocer el nivel de impacto en las playas estudiadas, comparar con futuras investigaciones, y desarrollar estrategias que permitan reducir el impacto de estos contaminantes.
MATERIALES Y MÉTODOS
Área de estudio
Las tres playas estudiadas son: Petare (:10°26´31.15´´N; 63°51´15.53´´O), Venalum (10°26´27.95´´N; 63°50´5.37´´O) y Espín (10°26´27.50.80´´N; 63°43´39.95´´O) ubicadas en las costas del mar Caribe al noreste de Venezuela, estado Sucre (Figura 1). Son playas de interés turístico, paralelas a la troncal N˚ 9, la primera está bajo la jurisdicción del municipio Bolívar y las dos siguientes del municipio Mejía. Estas están sometidas al mismo régimen de lluvia y viento, pero la influencia antropogénica es distinta en cada una de ellas.
Playa Petare posee arenas de granos fino a medio, con una energía variable, a escasos metros de la orilla y de manera paralela a esta se levantan decenas de casas multifamiliares cuyos jefes de familia son principalmente pescadores, la falta de planificación urbanística trae consigo que muchos de los desechos familiares terminen en la playa, mientras que playa Venalum es del tipo disipativa con arenas de grano fino, aguas someras y con mayor transparencia, con un río en el límite oeste que discurre a través de la comunidad que le da su nombre “Tarabacoa”. Esta playa se encuentra bajo la administración de la cooperativa turística desarrollada por la empresa metalúrgica Venalum, con cabañas, restaurante y espacios de esparcimiento, recibe grupos de personas en planes vacaciones durante las temporadas altas, la poca energía de la misma le permite actuar como trampa de todo el material arrastrado por el viento y las corrientes superficiales en la orilla. Finalmente, Playa Espín es la de mayor energía de las tres, expuesta a un mayor oleaje y rodeada de casas con fines turísticos, pero en menor medida que playa Petare, sin embargo, posee los restos de un antiguo cultivo de bivalvos cuya madera, cuerdas y flotadores son erosionados continuamente por el sol, vientos y el oleaje, arrojando los restos de estos a la orilla.

Etapa de campo
Se diseñó la captación de muestras siguiendo el protocolo del proyecto para el muestreo del microplástico en arena de playa, sugerido por la Organización Internacional de Energía Atómica (OIEA): Realizado para establecer y posicionar una red de vigilancia y respuesta para ayudar a las autoridades nacionales competentes, en la sostenibilidad de los entornos marinos y costeros del Gran Caribe. (RLA: 7022). Se recolectó la muestra de arena en una superficie de 0,25 m2, dentro de una cuadrata de 50x50 cm, sobre la línea de más alta marea (pleamar), realizando el mismo proceso cada 25 m de distancia entre cada cuadrata, hasta alcanzar una línea de playa de 100 m (5 puntos de muestreo). Se realizaron los muestreos en las etapas de sequía (enero), transición (mayo) y lluvia (noviembre) durante el año 2019, periodos que fueron establecidos siguiendo el criterio expuesto por López-Monroy y Troccoli-Ghinaglia (2014). Las muestras se depositaron en envases de vidrio ya rotulados y se trasladaron al laboratorio de análisis de microplásticos del Instituto Oceanográfico de Venezuela donde fueron analizados (Figura 2).

Etapa de laboratorio
La solución salina saturada se preparó disolviendo en un litro de agua desmineralizada 359,6 g de NaCl agitando 8 horas a 600 rpm y temperatura de 60 ˚C. Se filtró con papel filtro de 0,45 μm, utilizando un equipo de filtración y una bomba de vacío. Hay que resaltar que la densidad de la solución saturada de NaCl es de 1,2 g·cm-3, por lo que, polímeros con densidad superior son excluidos en el proceso de extracción (Hidalgo-Ruz et al., 2012). Las muestras de arena fueron secadas en estufa a una temperatura de 60 °C (para evitar el reblandecimiento de los plásticos), por 24 horas en bandejas de aluminio, después fueron tamizadas con una batería de 2 tamices metálicos de 5 y 1 mm. El material retenido en el tamiz de 1 mm se colocó en un Beaker y se agregó solución salina saturada, hasta alcanzar los 200 mL superior al volumen de la arena, y se agitó a 600 rpm durante 2 min con un agitador magnético. Se dejó reposar al menos 2 h, se filtró el sobrenadante, con papel filtro de 0,45 μm, utilizando un equipo de filtración y una bomba de vacío, lavando las paredes del embudo antes de retirar el filtro, para recuperar las partículas que puedan estar en las paredes y eliminar los posibles restos de precipitado de sal que pudieran haberse formado durante el proceso. El proceso de extracción se repitió tres veces para cada muestra. Los papeles de filtro se almacenaron en placas de Petri, para proceder a la evaluación visual y caracterización de los microplásticos (MP). Para prevenir la contaminación cruzada, los equipos se enjuagaron con agua desmineralizada y filtrada con papel de filtro de 0,45 μm (Masura et al., 2015; Besley et al., 2017).
Las muestras se caracterizaron morfológicamente tomando registros numéricos de abundancia, forma (fibra “plástico delgado o fibroso, y recto”, fragmento “partícula de plástico duro e irregular”, film “plástico endeble plano y delgado” o pellet “partícula de plástico duro y redondeado” (Sruthy y Ramasamy 2017) y color. Para evitar una identificación errónea de los microplásticos, se siguieron criterios publicados para distinguirlos de otros materiales, como conchas, partes de animales, algas, vidrio, entre otros; los criterios incluyen: (1) sin estructura celular u orgánica adherida, (2) color homogéneo, y (3) homogeneidad en toda su longitud en el caso de las fibras (Bosker et al., 2018; Hidalgo-Ruz et al., 2012).
Para la identificación química, mediante espectroscopía infrarroja con transformada de Fourier (FTIR), modelo Perkin-Elmer 3000, por los costos y limitaciones del equipo, se analizaron tres muestras mayores a 3,5 mm del tipo de morfología de MP más común encontrado. Las medidas se realizaron en modo Reflexión Total Atenuada (ATR) con un rango desde 400 hasta 4000 cm-1 con 35 escaneos a una resolución de 10 cm-1. Se compararon los espectros resultantes con la base de datos de acceso abierto disponible en ZENODO (Villegas-Camacho et al., 2024) y la base de datos del repositorio publicada por Primpke et al., 2018, para reconocer el o los polímeros que conforman la pieza estudiada (Hidalgo-Ruz et al., 2012; Piñon-Colin et al., 2018), aunque las limitaciones de esta prueba dificultan una mayor comprensión sobre los tipos de polímeros presentes.
En el área de trabajo se mantuvo una placa de Petri descubierta, con agua destilada, esta cumplió la función de blanco y fue revisada todos los días al terminar los análisis, el tipo de microplástico encontrado, fue excluido del conteo general de ese día basados en similitud (forma y color). (López-Marcano et al., 2023; Lusher y Hernandez-Milian, 2018). Además, en el área de evito la exposición a corrientes de aire, el uso de ropa sintética con fibras poco compactas y las muestras se mantuvieron aisladas para evitar la contaminación exógena.
Análisis estadísticos
Se empleó el análisis Kruskal-Wallis, para detectar posibles diferencias entre las playas y las épocas, con respecto a la cantidad de microplásticos encontrados. Se aplicaron pruebas no paramétricas, ya que la mayoría de las variables no cumplían las condiciones subyacentes de normalidad (prueba Kolmogorov-Smirnov) y homogeneidad de varianzas (prueba de Levene). Para conocer en qué pares específicos de subgrupos hay diferencias significativas (p<0,05), se aplicó el test de Dunn con ajustes en el nivel α, asumido por la corrección de la prueba de Bonferroni, lo que permite contrastar el aumento en la tasa de error tipo I, debido a estar realizados sobre unos mismos datos de una serie de contrastes de hipótesis (Sokal & Rohlf, 1995). Para la construcción y manejo de las bases de datos se utilizó el programa Excel del paquete Microsoft Office de Windows. Las pruebas estadísticas, modelos, gráficos exploratorios desarrollaron utilizando el Software libre R v4.2.2, bajo la interfaz gráfica R Studio (R Core Team, 2016).
RESULTADOS Y DISCUSIÓN
Playa Petare
En total se contabilizaron 128 partículas de microplásticos (MP) durante el estudio. En términos de densidad el promedio fue de 8,93 MP·kg-1 de arena. En la época de sequía se contabilizaron 38 MP y se obtuvo una densidad promedio de 8,11 MP·kg-1 de arena, en la época de transición se contabilizaron 26 MP y se obtuvo una densidad promedio de 5,34 MP·kg-1 de arena y en la época de lluvia 64 MP y una densidad promedio de 13,34 MP·kg-1de arena.
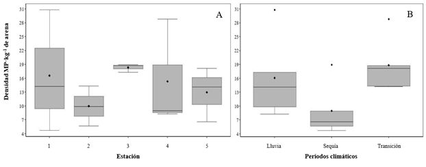
El análisis de Kruskall-Wallis demostró que no existen diferencias significativas de las cantidades de microplásticos encontrados en cada punto de muestreo (Figuras 3A), ni entre los periodos climáticos respectivamente (Figura 3B) (K-W=1,1667 p= 0,8836 K-W= 5,58 p=0,06142).

En cuanto a la forma de los microplásticos las fibras presentaron la mayor abundancia con de 103 MP (6,87 MP·kg-1), los foam o espumas 15 MP (1 MP·kg-1) y el menor valor reportado fue de 10 partículas (0,67 MP·kg-1) para la forma de film (Figura 4A). Con respecto a la forma y color de los microplásticos los más abundantes fueron, las fibras blancas durante el periodo de sequía con un 28,94 % (11 MP), en el periodo de transición fueron los foam blanco con un 30,76 % (8 MP) y durante el periodo de lluvia, las fibras transparentes con un 53,13 % (34 MP). Sin embargo, la sumatoria de los tres periodos permite afirmar que las fibras transparentes 29,68% (38 MP) fueron en total la forma y color más abundante en todo el muestreo quedando en segundo lugar las fibras azules 17,96% (23 MP) y en tercero las espumas blancas 10,93 % (14 MP) (Figura 4B).

Playa Venalum
En total se contabilizaron 186 partículas de microplásticos en el periodo de estudio. En términos de densidad el promedio fue de 13,59 MP·kg-1de arena. En la época de sequía se contabilizaron 32 MP y se obtuvo una densidad promedio de 7,24 MP·kg-1 de arena, en la época de transición se contabilizaron 37 MP y se obtuvo una densidad promedio de 8,53 MP·kg-1 de arena y en la época de lluvia 117 MP y una densidad promedio de 24,99 MP·kg-1 de arena.
El análisis de Kruskall-Wallis demostró que no existen diferencias significativas de las cantidades de microplásticos encontrados con respecto a los puntos de muestreo (K-W= 1,5667 p=0,8148, Figura 5A). Sin embargo, con respecto a los periodos climáticos si mostró una diferencia significativa K-W= 9,38 p= 0,009187 (Figura 5B). La prueba posterior determino la formación de un grupo entre la época de transición y sequía, mientras que la época lluviosa fue diferente a las otras dos (Tabla 1).

| Lluvia | Sequía | |
| Sequía | 0,022 | -- |
| Transición | 0,027 | 1,000 |
En cuanto a la forma de los microplásticos las fibras presentaron la mayor abundancia con un total 165 MP (11 MP·kg-1), los films 19 MP (1,27 MP·kg-1), mientras que el menor valor reportado fue 2 partículas (0,13 MP·kg-1) para la forma de foam o espuma (Figura 6A). Con respecto a la forma y color de los microplásticos, las fibras transparentes resultaron ser las más abundantes en todos los periodos climáticos estudiados; durante el periodo de sequía 37,5 % (12 MP), en transición 45,94 % (17 MP) y finalmente el periodo de lluvia con un 41,88 % (49 MP), representando un total durante todo el estudio de 41,93 % (78), seguido de las fibras negras con 13,79 % (26) y finalmente las fibras rojas con el 10,21 % (19) (Figura 6B).

Playa Espín
En esta playa se contabilizaron 197 partículas de microplásticos durante el estudio. En términos de densidad, se obtuvo un promedio de 14,65 MP·kg-1 de arena. En la época de sequía se contabilizaron 39 MP y se obtuvo una densidad promedio de 8,95 MP·kg-1 de arena, en la época de transición se contabilizaron 84 MP y se obtuvo una densidad promedio de 18,86 MP·kg-1 de arena y en la época de lluvia 74 MP y una densidad promedio de 16,10 MP·kg-1 de arena.
El análisis de Kruskall-Wallis demostró que no existen diferencias significativas entre las cantidades de microplásticos encontrados en cada punto de muestreo, ni entre los periodos climáticos respectivamente (K-W= 3 p=0,5578; K-W=4,56 p=0,1023 Figuras 7A y 7B).

En cuanto a la forma de los microplásticos las fibras presentaron la mayor abundancia con un total 176 MP (11,73 MP·kg-1), los films 17 MP (1,13 MP·kg-1), mientras que el menor valor reportado fue 4 partículas (0,27 MP·kg-1) para la forma de foam o espuma (Figura 8A). Con respecto a la forma y color de los microplásticos, las fibras blancas resultaron ser las más abundantes durante el periodo de sequía con 41,02 % (16 MP), en el periodo de transición y lluvia las fibras transparentes fueron las más abundantes con 32,14 % (27 MP) y un 50 % (37 MP), respectivamente. La sumatoria de los tres periodos, permite reconocer que las fibras transparentes, fueron en total la forma y color más abundante en todo el muestreo 36,54 % (72 MP), quedando en segundo lugar las fibras azules 16,24 % (32 MP) y en tercero las espumas blancas 10,15 % (20 MP) (Figura 8B).

Finalmente, el análisis de Kruskall-Wallis demostró que no existen diferencias significativas entre las cantidades de microplásticos encontrados en las diferentes playas (K-W=4,1002 p=0,1287 Figura 9).

Esta investigación confirma la presencia generalizada de microplásticos (MP) en las tres playas evaluadas en la costa sur del Golfo de Cariaco, con una clara predominancia de fibras transparentes. Si bien la abundancia promedio de MP no presentó diferencias significativas entre las playas, un análisis detallado de cada una revela que esta aparente homogeneidad es el resultado de una confluencia de distintas fuentes de contaminación, tanto puntuales como difusas, que varían en intensidad y temporalidad. Los niveles de contaminación encontrados, aunque relevantes para el contexto local, son relativamente bajos en comparación con los reportados en playas europeas (72-1512 MP·kg-1) por Lots et al. (2017), o incluso en otras playas del Caribe (261 MP·kg-1) por Bosker et al. (2018). Además, es importante señalar que la baja densidad de MP puede estar influenciada por la particularidad de la metodología aplicada, en términos de la densidad de los polímeros presentes en estas playas, no obstante, los polímeros más comunes si entran en el rango de detección (Hidalgo-Ruz et al., 2012).
Las fuentes de MP identificadas son diversas y su impacto depende de las características de cada localidad. En playa Petare, la contaminación parece ser un proceso constante y crónico, sin variaciones estacionales significativas. Esto sugiere un aporte continúo derivado de la densa población costera, principalmente a través de aguas de desecho urbano sin tratar, un vehículo conocido para las fibras generadas por el lavado de ropa doméstica (Dodson et al., 2020) y del desgaste de artes de pesca artesanales por la radiación UV y el uso (Auta et al., 2017). Este patrón de contaminación constante por la interacción de múltiples factores coincide con lo observado por García et al. (2023) en la cercana playa Cachamaure, apuntando a una problemática regional.
En contraste, playa Venalum exhibió diferencias temporales significativas, vinculadas directamente con actividades humanas y factores climáticos. En primer lugar, la desembocadura del río Tarabacoa actúa como un conducto principal de desechos terrestres. Durante la estación lluviosa, el incremento exponencial de su caudal aumenta su competencia de arrastre, transportando una carga masiva de basura plástica desde la comunidad homónima hacia la costa. Los ríos son reconocidos como las principales arterias de transporte de plásticos hacia el océano, con estimaciones de hasta 2,41 millones de (Lebreton et al., 2017). En el estado Sucre, Medina Faull et al. (2024), encontraron un comportamiento similar en muestras obtenidas de aguas del Golfo de Cariaco cuyas mayores concentraciones de MP estaban siendo influenciadas por la boca del río Manzanares. Adicionalmente, la presencia de material plástico se ve magnificado por la afluencia de turistas a través de planes organizados durante la temporada alta, cuyas ropas y equipamiento de playa (sombrillas, trajes de baño) liberan fibras (Chen & Chen, 2020). Este fenómeno es consistente con los hallazgos de Peralta-Peláez et al. (2023) en Perú, quienes demostraron un incremento superior al 40 % de MP asociado a los visitantes. Sumado a todo lo anterior, es importante mencionar a los vientos de noreste que viajan paralelos a la costa arrastrando consigo gran cantidad de material plástico (García et al. 2023).
Por su parte, playa Espín, a pesar de su escaso urbanismo, presentó la mayor densidad de MP. Este hallazgo contradice la relación directa entre población y contaminación propuesta por Piñon-Colin et al. (2018) y subraya la importancia de las fuentes "heredadas" o industriales. El factor clave en esta playa parece ser un antiguo cultivo de bivalvos, cuyas estructuras (cuerdas y flotadores) se han degradado con el tiempo, liberando una cantidad considerable de micropartículas plásticas (Alvarez-Zeferino et al., 2020). Su ubicación geográfica, cercana al saco del Golfo de Cariaco, probablemente favorece la acumulación de estos y otros residuos transportados por los vientos predominantes del noreste.
La forma y composición de los MP corroboran las fuentes identificadas. La predominancia significativa de fibras (especialmente transparentes y negras) en todas las playas es un claro indicador de su origen en textiles y artes de pesca. Este resultado es similar a los de Gamboa et al. (2022) en otras playas del estado Sucre, aunque ellos reportaron una mayor proporción de fragmentos. López-Marcano et al. (2023), dentro del contenido estomacal y branquias de sardinas en el nor-oriente venezolano, encontraron en 800 ejemplares estudiados, un total de 2.459 partículas de microplásticos, de las cuales 2 402 fueron fibras clasificadas dentro del espectro multicolor. Siendo las fibras de color negro las más abundantes dentro de todo el periodo de muestreo (947 ítems), caracterización física de los MP similar a las encontradas en esta investigación. Murphy et al. (2016), describen que otra posible fuente de microfibras plásticas pueden ser las descargas de efluentes de plantas de tratamiento de aguas residuales.
Caracterización química
Dada la cantidad de partículas de microplásticos encontradas (511 MP) se debió priorizar el análisis de infrarrojo con transformada de Fourier, restringiendo así las muestras a las formas y colores más abundantes, siendo las fibras la forma más abundante (444 MP) con el siguiente orden de colores transparente (188 MP), azul (71 MP), negro (51MP), rojo (43) y finalmente blanco (40 MP). De estas solo pudieron ser analizadas las fibras transparentes, rojo y blanca debido a limitaciones del equipo para trabajar con muestras muy pequeñas (<3,5 mm). En el caso de las fibras transparentes el análisis mostró que están constituidas por nilón (Figura 10 A y B), mientras que las fibras blancas y rojas por polipropileno (PP) (Figura 10 C y D y Figura 10 E y F respectivamente).
El primer espectro que corresponde al nilón exhibe un pico pronunciado y característico del estiramiento C=O del grupo amida aproximadamente a 1.630 cm-1 acompañado de una deformación N-H más el estiramiento C-N alrededor de los 1.540 cm-1, también se observó bandas características del estiramiento asimétrico y simétricos del C-H en grupos CH2 estos alrededor de 2.930 cm-1 y 2.860 cm-1 aproximadamente. Con respecto al segundo espectro que corresponde a la fibra blanca el polipropileno observado aquí con unas bandas distintivas en la región de estiramiento C-H (2.800-3.000 cm-¹) con cuatro picos visible, también se puede distinguir entre 1456 cm-¹ un pico definido correspondiente a la deformación de tijereteo (bending) del grupo metileno (CH₂) y deformación asimétrica del metilo (CH₃) y por último un pico agudo observado alrededor de 1375 cm-¹ (deformación simétrica del metilo). Finalmente el espectro correspondiente a la fibra roja también corresponde al polipropileno se pueden observar los picos característicos mencionados anteriormente, adicionalmente en este espectro se observa los estiramientos simétricos y asimétricos de los grupos metilo (-CH₃) y grupos metileno (-CH₂), descritos en 2.950-2.960 cm-¹ como estiramiento asimétrico del grupo metilo (CH₃). Seguidamente 2.915-2.920 cm-¹ en estiramiento asimétrico del grupo metileno (CH₂), de igual forma ubicado en 2.870-2.875 cm-¹: el estiramiento simétrico del grupo metilo (CH₃) y finalmente en el intervalo de 2.840-2.845 cm-¹ correspondiente al estiramiento simétrico del grupo metileno (CH₂).
El análisis FTIR, aunque limitado a partículas >3,5 mm por restricciones de equipo, identificó polipropileno (PP) y nilón (poliamida, PA). Estos polímeros son consistentes con los materiales usados masivamente en la industria pesquera (redes, cuerdas) y textil, como han reportado Mazariegos-Ortíz et al. (2021); Purca y Henostroza (2017), quienes asociaron específicamente el nilón a artes de pesca abandonadas.

Finalmente, es crucial abordar las limitaciones metodológicas. La falta de un protocolo estandarizado a nivel global para el estudio de MP dificulta las comparaciones directas entre investigaciones (Besley et al., 2017). Si bien en este estudio se siguió la metodología del OIEA para permitir una mayor comparabilidad regional, la limitación en el análisis FTIR de las partículas más pequeñas representa una subestimación potencial de la diversidad polimérica. Por ello, se subraya la necesidad de avanzar hacia un consenso metodológico que permita una evaluación más robusta y global de la contaminación por plásticos y se recomienda que futuras investigaciones en la zona se centren en los posibles impactos ecológicos de estos polímeros en la biota local.
CONCLUSIONES
Esta investigación se alinea con el patrón de evidencia global, confirmando la presencia generalizada de microplásticos (MP) en las playas de Petare, Espín y Venalum, en la costa sur del Golfo de Cariaco. La contaminación por plásticos se ha consolidado como un marcador antropogénico definitorio de la era actual, con MP presentes en prácticamente todos los ecosistemas marinos investigados.
El hallazgo más notable es la significativa predominancia de fibras como morfología principal, un resultado consistente con un origen ligado a la degradación de textiles y actividades pesqueras. A pesar de que las densidades promedio de MP no arrojaron diferencias estadísticamente significativas entre las tres localidades, un análisis de las fuentes potenciales y las condiciones locales sugiere que esta aparente homogeneidad es en realidad producto de la superposición de procesos de aporte y transporte distintos y específicos para cada sitio. No obstante, el análisis de las dinámicas de acumulación reveló un patrón de contraste temporal significativo en la playa Venalum, con una mayor concentración durante la estación lluviosa.
La caracterización química de las fibras predominantes según su forma y color reveló la prevalencia de nilón y polipropileno; estos posiblemente provenientes de las actividades pesqueras, acuícolas y turísticas.Esta caracterización por lo limitado de las muestras evaluadas aporta un resultado inicial sobre el tipo de polímeros encontrados en estas playas.
Agradecimientos
Agradecemos al Dr. Luis Ernesto Medina Faull, por permitirnos realizar esta investigación dentro del proyecto coordinado por el titulado: “Sources and Dynamics of Microplastics in the South Caribbean Sea”, financiado por la Fundación Nathional Geographics. Agradecemos al Laboratorio de Polímeros del IIBCAUDO, coordinado por la Dra. Blanca Rojas de Gascue y al Lcdo. Valentín Brito, por permitirnos utilizar sus equipos e instalaciones y brindarnos asesoría en la identificación de los polímeros.
LITERATURA CITADA
Abbas, N. (2021). Que son los microplásticos: definición y tipos. Ecología verde. https://www.ecologiaverde.com/que-son-los-microplasticos-definicion-y-tipos-1543.html
Alvarez-Zeferino, J. C., Cruz Salaz, A., Vázquez-Morillo, A. y Ojeda Benítez, S. (2020). Method for quantifying and characterization of Microplastics in sand beaches. Revista Internacional de Contaminación Ambiental, 3(1), 151-164.
Andrady, I. (2011). The plastic in micro plastic: Areview marine pollution. Mar. Poll. Bull., 119, 12-22.
Auta, H. S., Emenlke, C. U. y Faulaz, S. H. (2017). Distribution and importance of microplastics in the marine environment: a review of the sources, fate, effects, and potential solutions. Environment International, 102, 165e176. https://doi.org/10.1016/j.envint.2017.02.013.
Balladares, C., Fermín, I., García, E., Amilibia, J. C. y Rodríguez, D. (2023). Preliminary analysis of microplastics from the main continental nesting beach of the hawksbill sea turtle (Eretmochelys imbricata) in Venezuela. Latin American Journal of Aquatic Research, 51(1), 79-87.
Besley, A., Vijger, M., Behens, P. y Bosker, T. (2017). A standardized method for sampling and extraction methods for quantifying microplastic in beach sand. Marine Pollution Bulletin, 114, 77-83.
Bosker, T., Guaita, L. y Behrens, P. (2018). Microplastic pollution on Caribbean beaches in the Lesser Antilles. Marine Pollution Bulletin, 133, 442-447.
Bueno, J. (2019). Abundancia y distribución de microplásticos en las playas, las palmas, Atacames y los frailes en la costa ecuatoriana. [Tesis de Ingeniería, Universidad de Guayaquil] Repositorio Institucional. https://repositorio.ug.edu.ec/items/6f43be5f-b129-4c42-88e3-7cd0e9e971aa
Chen, M. C. y Chen, T. H. (2020). Spatial and seasonal distribution of microplastics on sandy beaches along the coast of the Hengchun Peninsula, Taiwan. Marine Pollution Bulletin, 151, 110861. https://doi.org/10.1016/j.marpolbul.2019.110861
Chen, Y., Gao, B., Yang, Y., Pao, Z., Liu, J., Sun, K. y Xing, B. (2022). Tracking microplastics biodegradation through CO2 emission: Role of photoaging and mineral addition. Journal of Hazardous Materials, 439, 129615. https://doi.org/10.1016/j.jhazmat.2022.129615.
Cole, M., Lindeque, P., Fileman, E., Halsband, C. y Galloway, T. (2015). The impact of polystyrene microplastic on feeding function and fecundity in the marine copepod Calamus helgolandicus. Environmental Science & Technology, 49(2): 1130-7. https://doi.org/10.1021/es504525u
Crawford, B. C. y Quinn, B. (2017). Microplastic Pollutants. Elsevier Inc.
Desforges, J. P., M. Galbraith y P. Ross. (2015). Ingestion of Microplastics by Zooplankton in the Northeast Pacific Ocean. Arch Environ Boletín de Contaminación y Toxicología Ambiental, 69(3): 320-30. https://doi.org/10.1007/s00244-015-0172-5
Dodson, G., Shotorban, A., Hatcher, P., Waggoner, D., Ghosal, S. y Noffke, N. (2020). Microplastic fragment and fiber contamination of beach sediments from selected sites in Virginia and North Carolina, USA. Marine Pollution Bulletin, 151, 110869. https://doi.org/10.1016/j. marpolbul.2019.110869
Fisner, M., Taniguchi, S., Moreira, F., Bícego, M. C. y Turra, A. (2013). Polycyclic aromatic hydrocarbons (PAHs) in plastic pellets: Variability in the concentration and composition at different sediment depths in a sandy beach. Marine Pollution Bulletin, 70(1–2). https://doi.org/10.1016/j.marpolbul.2013.03.008.
Gamboa, A., Pinto, C., Gutiérrez, G. y Ramírez, J. (2022). Basura plástica y microplásticos: contaminantes emergentes presentes en sedimentos de una playa urbana del oriente venezolano. Ciencia e Ingeniería, 9(1), e6706296. https://doi.org/10.5281/zenodo.6706296
García, E., López-Marcano, J. y Fermín, I. (2023). Variación espacial y temporal de microplásticos en una playa turística al sur del mar caribe, estado Sucre, Venezuela. Boletín del Instituto Oceanográfico de Venezuela, 62(2), 24-40.
García, D. (2016). Determinación de microplásticos en la zona Conurbaula de la bahía de Chetomal. [Tesis de Ingeniería, Universidad de Quinten] Repositorio Institucional. https://risisbi.uqroo.mx/items/b24eed74-5307-4ecb-a442-be4e66a64ff3
GESAMP. (2016). Sources, fate and effects of microplastics in the marine environment: part two of a global assessment. En Kershaw, P. J. y C. M. Rochman. (Eds.), Rep. Stud. GESAMP No. 93. (IMO/FAO/UNESCO-IOC/UNIDO/WMO/IAEA/UN/UNEP/UNDP).
Grillo, J., Sabino, M. y Ramos, R. (2021). Short-term ingestion and tissue incorporation of Polystyrene microplastic in the scleractinia coral Porites porites. Regional Studies in Marine Science, 43: 101697. https://doi.org/10.1016/j.rsma.2021.101697
Gross, L., y Enck, J. (2021). Confronting plastic pollution to protect environmental and public healt. PLOS Biology, 19(3): e3001131. https://doi.org/10.1371/Journal.pbio.3001I3L
Hidalgo-Ruz, V., Gutow, L., Thompson, R. y Thiel, M. (2012). Microplastics in the marine environment: a review of the methods used for identification and quantification. Environmental Science y Technology, 46(6), 3060-3075.
Iannacone, V., Huyhua, A., Alvarino, L., Valencia, F., Principe, F., Minaya, D. y Ortega, J. (2019). Microplásticos en la zona de marea alta y supralitoral de una playa arenosa del litoral costero de Perú. The Biologist (Lima), 1(2), 97335-97346.
Jeong, C. B., Won, E. J., Kang, H. M., Lee, M. C., Hwang, D. S., Hwang, U. K., Zhou, B., Souissi, S., Lee, S. J. y Lee, J. S. (2016). Microplastic size-dependent toxicity, oxidative stress induction, and p-JNK and p-p38 activation in the monogonont rotifer (Brachionus koreanus). Environmental Science y Technology, 50(16): 8849-8857. https://doi.org/10.1021/acs.est.6b01441.
Kaza, S., Bhada-Tata, L. y Vanwoerden, F. (2018). Whats a waste 2.0: a global sanapshot of solid waste management to 2050. The World Bank, Washington D. C., U.S.A.
Lebreton, L. C. M., van der Zwet, J., Damsteeg, J.-W., Slat, B., Andrady, A. y Reisser, J. (2017). River plastic emissions to the world’s oceans. Nature Communications, 8: 15611. https://doi.org/10.1038/ncomms15611
López-Marcano, J., García, E. y Fermín, I. (2023). Microplásticos en la sardina Sardinella aurita (Teleostei: Clupeidae) en Sucre, Venezuela. Revista de Biología Tropical, 71(1), e55101. http://10.15517/rev.biol.trop.v71i1.55101
López-Monroy F. y Troccoli-Ghinaglia, L. (2014). Aproximación sobre la climatología de la isla de Margarita y su importancia en los procesos oceánicos. Saber, 26(4), 465-471.
López-Monroy, F. y Fermín, I. (2019). Microplásticos en el ambiente marino. Saber, 31, 66-81.
Lots, F. A. E., P. Behrens, M. G. Vijver, A. A. Horton y T. Bosker. (2017). A large-scale investigation of microplastic contamination: abundance and characteristics of microplastics in European beach sediment. Marine Pollution Bulletin, 123, 219-226.
Lusher, A. y Hernandez-Milian, G. (2018). Microplastic extraction from marine vertebrate digestive tracts, regurgitates and scats: A protocol for researchers from all experience levels. Bio-protocol, 8: 1-12.
Masura, J., Beaker, J. E, Foster, G., Arthur, C. y Herring, C. (2015). Laboratory methods for the analysis of microplastics in the marine environment: Recommendations for quantifying synthetic particles in waters and sediments. NOAA Marine Debris Division. Silver Spring, MD.
Mazariegos-Ortíz, C., García-Arroyave, L., Marroquín-Mora, C. y Mendizábal, A. L. (2021). Contaminación por microplásticos en playas del Pacífico de Guatemala: abundancia y características. Revista iberoamericana de ciencia, tecnología y Sociedad, 8(2), 260-268.
Medina Faull, L., Zaliznyak, T. y Taylor, G. (2024). From the Caribbean to the Arctic, the most abundant microplastic particles in the ocean have escaped detection. Marine Pollution Bulletin, 202, 116338. https://doi.org/10.1016/j.marpolbul.2024.116338
Murphy, F., Ewins, C., Carbonnier, F. y Quinn, B. (2016). Wastewater treatment works (WwTW) as a source of microplastics in the aquatic environment. Environmental Science y Technology, 1(50): 5800-5808.
Nguyen, M. Y., Vanreusel, A., Ngo, X. Q., Vercauteren, M., Asselman, J. y Van Colen, C. (2025). Microplastic pollution in Vietnamese sandy beaches: Exploring the role of beach morphodynamics and local management. Marine Pollution Bulletin, 214, 117838. https://doi.org/10.1016/j.marpolbul.2025.117838
Peralta-Peláez, L. A., Peña-Montes, C., Hermida-Castellanos, L., Huerta-Quero, O. J., Hernández-Álvarez, C., Mejía-Estrella, I. A. y Sulbarán-Rangel, B. (2023). Microplastics in beaches within the influence area of the Veracruz Reef System National Park (PNSAV), Mexico. Hidrobiológica, 33(2): 231-242. https://doi.org/10.24275/khdd6042
Piñon-Colin, T., Rodriguez-Jimenez, R., Pastrana-Corral, M. A., Rogel-Hernández, E. y Wakida, F. T. (2018). Microplastics on sandy beaches of the Baja California Peninsula, Mexico. Marine Pollution Bulletin, 131, 63-71.
PlasticsEurope. (2019). Plastics the fads 2019 an analysis of European plastics production, demand and wasta data. https://plasticseurope.org/wp-content/uploads/2021/10/2019-Plastics-the-facts.pdf
Primpke, S., Wirth, M., Lorenz, C. y Gerdts, G. (2018). Reference database design for the automated analysis of microplastic samples based on Fourier transform infrared (FTIR) spectroscopy. Anal Bioanal Chem, 410, 5131-5141. https://doi.org/10.1007/s00216-018-1156-x
Purca, S. y Henostroza, A. (2017). Presencia de microplásticos en cuatro playas arenosas de Perú. Revista Peruana de Biología, 24(1), 101-106.
R Core Team. (2016). R: a language and environment for statiscal computing. R Foundation for Statistical Computing. https://www.R-project.org/.
Rodríguez, C., Fossati, M, Carrizo, D., Sanchez-García, L., Texeira De Mello, F., Weitein, F. (2020). Mesoplastics and large microplastics along a use gradient on the Uruguay Atlantic coast: types, sources, fates, and chemical loads. Science of the Total Environment, 721, 137734. http://dx.doi.org/10.1016/j.scitotenv.2020.137734
Sagot, J. (2022). Monitoreo y caracterización de microplásticos en arenas de playas y aguas costeras de Costa Rica. Revista Internacional de Comunicación y Desarrollo, 4(17). https://doi.org/10.15304/ricd.4.17.8807
Smith, M., Leve, D., Rochman, C. y Neff, R. (2018). Microplastics in seafood and the implications for human health. Current Environmental Health Reports, 5(3), 375-386.
Sokal, R. y Rohlf, R. (1995). Biometry: the principles and practice of statistics in biological research. Freeman.
Sruthy, S. y Ramasamy, E. (2017). Microplastic pollution in Vembanad Lake, Kerala, India: the first report of microplastics in lake and estuarine sediments in India. Environmental Pollution, 222, 315-322.
Tekman, M., Gutow, L. y Bergman, M. (2022). Marine Debris Floating in Arctic and Temperate Northeast Atlantic Waters. Frontiers in Marine Science, 9, 933768. https://doi.org/10.3389/fmars.2022.933768
Villegas-Camacho, O., Alejo-Eleuterio, R., Francisco-Valencia, I., Granda-Gutiérrez, E., Martínez-Gallegos, S. y Illescas, J. (2024). FTIR-Plastics: A Fourier Transform Infrared Spectroscopy dataset for the six most prevalent industrial plastic polymers. Data in Brief, (55). https://doi.org/10.1016/j.dib.2024.110612.
Vishnuvardhan, R., Kothari, R. R. y Sivakumar, S. (2019). Experimental Investigation on Mechanical Properties of Sisal Fiber Reinforced Epoxy Composite. Materials Today: Proceedings, 18, 4176-4181
Wright, S. L., Thompson, R. C. y Galloway, T. S. (2013). The physical impacts of microplastics on marine organisms: a review. Environmental Pollution, 178, 483-492.
Zarate, M. y Iannacone, V. (2021). Microplásticos en tres playas arenosas de la costa central de Perú. Revista de Salud Ambiental, 21(2):123-131.
Notas de autor
aocque@gmail.com
Información adicional
ARK: https://n2t.net/ark:/60540/17853343

