

Artículos
ANÁLISIS DEL COSTO NIVELADO DE LA ENERGÍA EN UN SISTEMA HÍBRIDO DE POTENCIA A PARTIR DE GASIFICACIÓN DE BIOMASA Y ENERGÍA SOLAR FOTOVOLTAICA. CASO DE ESTUDIO LA GUAJIRA, COLOMBIA
Analysis of the levelized cost of energy in a hybrid power system using biomass gasification and solar photovoltaic energy. Case study La Guajira, Colombia
Ciencia e Ingeniería
Universidad de La Guajira, Colombia
ISSN-e: 2389-9484
Periodicidad: Semestral
vol. 11, núm. 1, e12054772, 2024
Recepción: 22 Abril 2024
Aprobación: 29 Junio 2024

Resumen: En este artículo se plantea un modelo para la estimación del costo nivelado de la energía (LCoE) en un sistema híbrido de generación de energía (HPS) que aprovecha la energía solar fotovoltaica y la gasificación de biomasa. Se aplica como caso de estudio la aplicación de este en un HPS ubicado en la Universidad de La Guajira, en el departamento de La Guajira, Colombia. Este análisis se basa en información real propia del contexto colombiano y es punto de partida para proyectos de similar naturaleza en Colombia y de manera más específica en el departamento de La Guajira. El LCoE para el caso de estudio es de 0,73 USD*kWh-1, valor que es poco competitivo si se compara con sistemas similares reportados en la literatura, sin embargo, es un resultado que se ajusta más a la realidad dado que considera costos de O&M más precisos. El resultado obtenido se contrasta con el mismo caso de estudio analizado en el software HOMER Pro® en el cual se obtiene un resultado de 0,78 USD*kWh-1, con un margen de error del 5,19 % por lo que se considera como válida la metodología para el cálculo del LCoE en HPS que usen PV y gasificación de biomasa como tecnologías para la generación de energía.
Palabras clave: Sistema Híbrido de Potencia (HPS), Gasificación, Biomasa, Fotovoltaico, Costo nivelado de energía (LCOE), Homer Pro®.
Abstract: This article presents a complete model to estimate the levelized cost of energy (LCOE) of a hybrid power generation system (HPS) that uses solar photovoltaic energy and biomass gasification applied to an HPS case study located at Universidad de La Guajira, department of La Guajira, Colombia. This analysis is based on real information from the Colombian context and is the starting point for projects of a similar nature in the country, specifically in the department of La Guajira. The LCOE for the case study is 0,73 USD*kWh-1, an uncompetitive value when compared to similar systems reported in the literature; however, this result is more in line with reality since it considers more accurate O&M costs. The result obtained is contrasted with the same system analyzed by the HOMER Pro® software, obtaining a result of 0,78 USD*kWh-1 with a margin of error of 5,19 %. Therefore, the methodology to calculate LCOE in HPS using PV and biomass gasification as technologies for power generation is considered valid.
Keywords: hybrid power system (HPS), Gasification, Biomass, Photovoltaic, levelized cost of energy (LCOE), HOMER Pro®.
INTRODUCCIÓN
El interés creciente de la humanidad por hacer uso sostenible de los recursos con los que cuenta el planeta ha ocasionado una búsqueda de alternativas menos contaminantes para satisfacer la demanda energética que las actividades antropogénicas generan. En los últimos años, una de las opciones que ha marcado el camino para lograr estos procesos menos contaminantes, ha sido la implementación de sistemas híbridos de potencia (HPS) los cuales son la combinación de dos o más tipos de tecnologías en un mismo sistema, para la generación de energía eléctrica (Herrera, 2021). Los HPS suelen ser usados como soluciones para suplir requerimientos energéticos en zonas remotas y aisladas (Bajpai et al., 2012; Haghighat Mamaghani et al., 2016). Los dispositivos de generación más frecuentemente usados para generar energía en estos sistemas híbridos son los paneles fotovoltaicos (PV), turbinas eólicas (WT), hidráulica de pequeña o microescala, y generadores diésel (DG) (Ji et al., 2022). Una ventaja de los HPS es que permiten aprovechar la complementariedad entre distintos recursos energéticos renovables (sol, viento, biomasa) y no renovables (diésel, GLP, gasolina). Varios estudios han reportado las ventajas ambientales, técnicas y económicas de los sistemas híbridos de potencia sostenibles que integran diversas fuentes de energía renovables (Al-Turjman et al., 2020; Haghighat Mamaghani et al., 2016; Kelly et al., 2023; Onaolapo et al., 2023). Un ejemplo de esto, es complementar suministro de energía solar limitado por la intermitencia del recurso, mediante la integración con biomasa como recurso energético en un HPS, esto permite mayor disponibilidad y estabilidad del sistema, sin embargo, debido a las necesidades de recolección, procesamiento y manipulación que requiere la biomasa para ser utilizada en un proceso como la gasificación, suele tener mayores costos asociados, aunque conserva los beneficios ambientales, económicos y sociales respecto a la utilización de fuentes fósiles que también pueden proporcionar la estabilidad de estos HPS.
La implementación de los HPS y de cualquier solución energética, siempre estará limitada por la viabilidad del sistema seleccionado; por ello es necesario contar con herramientas para determinar el costo de la energía generada con las distintas tecnologías y condiciones propias de cada operación. El costo nivelado de la energía o LCoE se define como el costo unitario de la electricidad generada, el cual contempla todos los costos del proyecto durante su vida útil. Por tal razón, define un precio constante mínimo al cual la energía debería ser vendida durante la vida operativa del proyecto para cubrir los costos asociados, incluyendo la utilidad del inversionista o intereses de la deuda (Saldarriaga-Loaiza et al., 2019). El objetivo del LCoE, de acuerdo con Lai et al. (2017), es servir como herramienta de comparación para diferentes tecnologías con diferentes tamaños de proyectos, tiempo de vida, costos de capital, rendimiento, riesgo y capacidades, se le considera una evaluación económica del costo total para construir y operar un activo de generación de energía durante su vida útil dividido por la producción total de energía del activo durante esa vida útil, es decir; Costo ciclo de vida * (Electricidad producida en tiempo de vida del sistema)-1, expresado en unidades de (USD * kWh-1). Si bien recientemente el LCoE ha sido cuestionado (McCann, 2020) sobre su utilidad como métrica para comparar proyectos, lo cierto es que sigue siendo uno de los parámetros más utilizados tanto en la academia como en la industria energética y organizaciones para comparar proyectos, así como métrica de evaluación de madurez tecnológica (Delapedra-Silva et al., 2022; Lazard, 2023).
Garrido et al. (2016), por medio del LCoE se evaluan la viabilidad de dos HPS a pequeña escala en Mozambique, uno a partir de PV-Biomass y el otro a partir de PV-Diesel, obtienen como resultado que la configuración PV-Biomass es más competitiva, con un LCoE de 0,33 €*kWh-1 en contraste con un LCoE de 0,42 €*kWh-1 obtenido por la configuración PV-Diesel. En este estudio la biomasa usada es cáscara de nuez de marañón, la tecnología considerada para el aprovechamiento de la biomasa es la gasificación, el genset tiene una potencia de 6 kW y la matriz PV una potencia de 17 kW. Igualmente, Rashid et al. (2021) mediante el LCoE investigan la configuración del sistema híbrido de energía óptimo a partir de recursos energéticos disponibles en el área rural de Bangladesh, usando como fuente de biomasa materiales de tipo orgánicos tales como madera, desperdicios humanos, residuos animales y desechos de comida. En este estudio la configuración PV/Wind/diesel/Biomass da el mejor resultado de LCoE para el caso estudiado con un valor de 0,142 USD*kWh-1, con una potencia en la matriz PV de 0,4 kW y en el Genset del módulo de gasificación de biomasa de 5 kW.
Para el contexto de Colombia, Haghighat Mamaghani et al. (2016), realizaron un análisis de varios HPS para ser instalados en tres municipios de Colombia; sin embargo, este estudio consideró como fuentes de energía la solar PV, eólica y el diésel, de manera individual y como híbridos, encontrando el costo de la energía (COE) para cada sistema, los cuales oscilaron entre 0,463 y 0,805 USD*kWh-1 para los sistemas híbridos, mientras que para la solar PV, la eólica y el diésel determinaron un COE de 0,527; 1,659 y 0,868 USD*kWh-1 respectivamente. Por otro lado, Zuñiga Parra (2022), realizó un análisis de beneficios económicos relacionados con la implementación de sistema híbridos de potencia como opción de reemplazo a la generación diésel en zonas no interconectadas de Colombia, reporta que el costo nivelado de la energía (LCoE) de la generación diésel para el caso de estudio (Miraflores, Guaviare) es de 0,317 USD*kWh-1, y que si se convierte a un sistema híbrido podría ocasionar una disminución del 21 % en el LCoE, así como una reducción del 72 % de las emisiones asociadas a esta generación de energía.
En Colombia, La Guajira es un departamento privilegiado para el aprovechamiento de recursos energéticos naturales, acorde con los resultados presentados por Vanegas Chamorro y otros (2015), los niveles de irradiación en la Guajira, en especial la zona norte del departamento, son adecuados para el desarrollo de instalaciones solares de tipo eléctrica o térmica con valores que pueden oscilar entre los 6 a 6,8 kWh*m²día-1, valor que es mucho mayor a la media mundial. Todo esto hace al departamento de La Guajira de gran atractivo para la implementación de proyectos energéticos que impliquen el aprovechamiento del recurso solar. De este modo, la determinación del LCoE para un HPS que aproveche el recurso solar y las ventajas de la integración con la biomasa en La Guajira, sirve como marco de referencia para iniciativas afines en el país, dónde el LCoE de HPS con biomasa no han sido evaluados. Este modelo de cálculo y la herramienta desarrollada pueden servir para facilitar la toma de decisiones para el desarrollo y posterior implementación de proyectos energéticos de la misma naturaleza en todo Colombia, que posibiliten el llevar energía a las zonas con carencia energética (Figueroa, 2019).
En Colombia la UPME desarrolló la plataforma GeoLCOE (UPME, 2024), para el cálculo del costo nivelado de la energía, sin embargo, esta no permite el análisis de sistemas híbridos. El potencial que pueden significar los sistemas híbridos en un país con alta disponibilidad de radiación solar y residuos agrícolas y agroindustriales es muy importante para ofrecer soluciones ambientalmente amigables y sostenibles en muchas zonas no interconectadas del país. Es por esto, que el presente artículo propone un análisis con datos reales para el contexto del departamento de La Guajira y Colombia a través de una metodología de estimación del LCoE para HPS que incluyan gasificación de biomasa y la energía solar PV como tecnología para producción de energía eléctrica, seguidamente, se analiza un caso de estudio en la Guajira, Colombia; el cual se contrasta con resultados obtenidos en el software comercial HOMER Pro®, que sirve como referente para este tipo de cálculos en sistemas híbridos de generación de energía considerando las condiciones propias del lugar en que se instale el sistema y las características propias de este.
MATERIALES Y MÉTODOS
Para la determinación del costo nivelado de la energía en un sistema híbrido se requiere; estructurar el modelo a implementar; determinar los costos totales durante el tiempo de vida del proyecto; estimar la cantidad de energía producida durante el tiempo de vida del proyecto y determinar la tasa de descuento a aplicar para traer todos los valores a valor presente de manera que se estime el LCoE en la condición presente. En este sentido, se presenta cada etapa requerida para el cálculo del costo nivelado de energía.
Modelo matemático
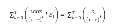
Para el cálculo del costo nivelado de la energía existen dos métodos principales ampliamente usados, conocidos como el método de anualización (Fan et al., 2019; Saldarriaga-Loaiza et al., 2022) y el método descontado (Lai et al., 2017). El modelo del presente artículo se desarrolla a partir del método descontado, el cual es presentado en Ec. 1.
[Ec. 1]Donde; CAPEX. es el Costo de Capital; OPEX. son los costos de Operación y Mantenimiento; V. son los Costos Variables; E. es la producción total de energía en el tiempo de vida de la planta; r es la tasa de descuento; t es el período del valor estimado; T es el tiempo de vida de la planta; (1 + r). es el factor de descuento, el cual contempla el valor del dinero en el tiempo y está en función del periodo calculado (t ) y la tasa de descuento (r ) (Shen et al., 2020). En Branker et al. (2011), se denota al método descontado como el Valor Presente Neto (VPN) del Costo Nivelado de la Energía y se plantea Ec. 2.
[Ec. 2]Donde; C. es el costo total en el que se incurre durante el tiempo de vida del sistema de generación de energía, dicho costo total hace referencia a la suma del CAPEX., OPEX. y el total de V. expresados en Ec. 1. Se debe notar que en Ec. 1 aparentemente la energía total está siendo descontada o traída a valor presente neto, esto es solo el resultado de una reorganización de Ec. 2. En Lai y otros (2017) se indica como costo de inversión inicial al CAPEX y se expresa que este no se debe descontar o traer al valor presente neto debido a que es un pago único que se realiza en el periodo de inversión o cuando (t ) es igual a cero.
No obstante, al disponerse de un sistema de generación de energía eléctrica híbrido que aprovecha la energía solar mediante paneles solares fotovoltaicos y la energía de la biomasa mediante la gasificación de la biomasa, se deben hacer ajustes que contemplen los factores propios de cada tipo de generación de energía, así como factores propios del sistema. Tomando como referencia a Lai et al. (2017), es válido discriminar en cada término de Ec. 1 el valor correspondiente a cada tipo de generación de energía y del sistema, para posteriormente sumar dichos valores, dando como resultado Ec. 3.
[Ec. 3]Donde; CAPEXBM es el costo de capital del componente de biomasa, CAPEXFV es el costo de capital del componente fotovoltaico; CAPEX. es el costo de capital general del sistema, este costo involucra aspectos ajenos a los componentes de generación de energía, tales como infraestructura o ingeniería; OPEXtBM es el costo total de operación y mantenimiento del componente de biomasa; OPEXtFV es el costo total de operación y mantenimiento del componente fotovoltaico; OPEX. es el costo total de operación y mantenimiento del sistema en general, involucrando aspectos ajenos a los componentes de generación de energía, tales como pago a personal, entre otros; VtBM es el costo variable total del componente de biomasa; VtFV es el costo variable total del componente fotovoltaico; EtBM es la cantidad de energía total producida por el componente de Biomasa, mientras que EtFV es el total de energía producida por el componente fotovoltaico.
Considerando que la cantidad de energía eléctrica producida por los módulos solares fotovoltaicos decrece cada año debido a la degradación de las condiciones iniciales de los mismos y al deterioro con el pasar del tiempo, se debe multiplicar la tasa de energía eléctrica producida cada año (E. ), por el factor de degradación (1 – d )., donde d es el índice de degradación que representa dicho decrecimiento (Branker et al., 2011) y que es suministrado por cada fabricante de paneles FV. Así mismo, es necesario considerar el hecho que se requiere combustible (biomasa) para el componente de biomasa, pero no se requiere combustible para el componente fotovoltaico (Branker et al., 2011). Descomponiendo la variable OPEX para ambos componentes biomasa y fotovoltaico, y considerando que dentro del costo variable únicamente se conformará por el costo de combustible requerido para el funcionamiento del componente de biomasa, se obtiene Ec. 4.
[Ec. 4]Donde; OtBM es el costo total de operación del componente de biomasa; OtFV es el costo total de operación del componente fotovoltaico; O. es el costo de operación del sistema en general; MtBM es el costo total de mantenimiento del componente de biomasa; MtFV es el costo total de mantenimiento del componente fotovoltaico; M. es el costo total de mantenimiento del sistema en general; FtBM es el costo total de combustible del componente de biomasa; dFV es el índice de degradación del componente fotovoltaico, el cual el primer año suele ser de 2 % y desde el segundo año en adelante varía de acuerdo al fabricante.
Cálculo de costos totales del sistema
Los costos de generación de energía se deben considerar desde el momento en que se realiza la inversión inicial, ya sea para la compra de bienes o la compra de seguros, hasta que el sistema o la planta cumpla su tiempo de vida, es decir que se deben contemplar los costos causados por conceptos de mantenimiento, personal, entre otros. Para hacer una mejor identificación de los costos totales, estos se van a dividir en dos tipos; CAPEX (costos de capital) y OPEX (costos operación y mantenimiento), Los costos de capital son los costos asociados a la inversión como maquinaria, equipos de medición, infraestructura, entre otros. Los cuales son necesarios para lograr poner en operación la planta de generación de energía, mientras que el costo de operación y mantenimiento representan los gastos anuales requeridos para operar y mantener la planta durante su vida útil (biomasa, consumibles, personal, entre otros) (Bermúdez, 2021).
Considerando lo anterior, un método propuesto por Morales et al. (2020) para la determinación de costos consiste en la implementación de unas tablas basadas en el aplicativo Web GeoLCOE (UPME, 2024), las cuales están diseñadas para estimar el costo nivelado de energía integrándose a un sistema de georreferenciación, dicho aplicativo puede ser usado para diferentes tecnologías de generación, principalmente aquellas de carácter renovable. Además, se debe realizar la conversión del costo total a dólares para poder proseguir con el cálculo del LCoE de manera que las unidades sean dólares americanos por kilovatio-hora (USD * kWh-1) (Shen et al., 2020).
Cálculo de energía eléctrica producida en tiempo de vida del sistema
Para determinar la energía eléctrica generada en un sistema híbrido en su tiempo de vida, se calcula o mide la energía generada individualmente por cada tipo de generación de energía eléctrica que conforma el sistema híbrido y luego se suman.
Cálculo de energía eléctrica producida por el componente fotovoltaico
De acuerdo con Solis et al. (2020) el cálculo de la energía eléctrica producida por un generador fotovoltaico en un momento t se realiza mediante Ec. 5.
[Ec. 5]Donde; EtPV es la energía total del componente fotovoltaico, Solis y otros (2020) lo representan como PM_GFV,t y se denomina como la potencia máxima del generador fotovoltaico en el periodo de registro t;
Tabla 1. Factores de reducción de capacidad de generación del componente fotovoltaico
| Factor de reducción a la energía fotovoltaica | Porcentaje de reducción |
| Suciedad | 2% |
| Sombras | 3% |
| Desajuste del módulo (mismatch) | 2% |
| Cableado | 2% |
| Conexiones | 0,5% |
| Degradación debido a la luz inducida | 1,5% |
| Capacidad nominal | 1% |
| Disponibilidad | 3% |
Castafier et al. (2003), precisan que para realizar la estimación de la generación total de energía eléctrica producida por una matriz fotovoltaica expuesta todo un año a la radiación solar, se debe multiplicar el resultado de la generación de electricidad de un día por 365 días, equivalente a un año de operación. Así mismo, se debe considerar la eficiencia del inversor. Si unimos Ec. 5 con las consideraciones mencionadas, se obtiene Ec. 6.
[Ec. 6]Donde; ηinv es la eficiencia del inversor y DF es el factor de reducción. Para el cálculo de la temperatura del módulo (TC,t ) existen varios métodos propuestos, se usará el propuesto por Mattei et al. (2006), plasmado en Ec. 7.
[Ec. 7]Donde; Upv(v) es el coeficiente de intercambio de calor, el cual Mattei et al. (2006) lo consideran 26,6 + 2,3 * v, en esta expresión (v) representa la velocidad del viento cerca al módulo en [m * s -1]; T. es la temperatura ambiente; I es la irradiancia incidente en el plano del panel; τ es la transmitancia del sistema de cobertura superficial para radiación de haz y difusa; α es el coeficiente de absorción de las celdas; ηSTC es la eficiencia de las celdas bajo condiciones estándar de medida; βSTC es el coeficiente de temperatura de máxima potencia bajo condición estándar de medida; TSTC es la temperatura en condición estándar de medida (25 °C). Cabe anotar que el producto de τα en Mattei et al. (2006), se considera 0,81.
Cálculo de energía eléctrica producida por el componente biomasa
Acorde con Pérez et al. (2012), el cálculo de la energía eléctrica producida por un sistema de generación de energía a través de la gasificación de biomasa seca, es el presentado en Ec. 8.
[Ec. 8]Donde mBiomass es el flujo másico de la biomasa [kg * h-1]; ηglobal es la eficiencia global (%); LHVBiomass es el poder calorífico inferior de la biomasa [MJ * kg-1]; t son las horas de operación anual [h]. Debido a que Ec. 7 está expresada en unidades de Mega Julios [MJ] se procede a usar el respectivo factor de conversión para que el valor final tenga unidades de kilovatio-hora [kWh], resultando en Ec. 9.
[Ec. 9]Para calcular el poder calorífico inferior de la biomasa (LHVBiomass) se usa la Ec. 10 (Jarungthammachote et al., 2008).
[Ec. 10]Donde; H representa el contenido de hidrógeno en la biomasa seca usada como combustible; hfg es la entalpía de vaporización del agua (2,45MJ * kg-1); HHVBiomass es el poder calórico superior de la biomasa a usar como combustible en base seca, Channiwala et al. (2002), usan una correlación para determinar HHVBiomass a partir del análisis elemental de la biomasa, la cual se expresa en Ec. 11. Esta ecuación se debe usar si no se conoce el HHV de la biomasa de forma experimental.
[Ec. 11]Donde C, H, O, N, S y A representan el contenido de Carbono, Hidrógeno, Oxígeno, Nitrógeno, Azufre y ceniza respectivamente en la biomasa usada como combustible expresado en porcentaje (%). La eficiencia global ηglobal del componente de biomasa para la generación de energía eléctrica, viene determinada por la eficiencia de gasificación y la eficiencia del motor-generador encargado de convertir el combustible, en este caso gas de síntesis en electricidad. Dichas eficiencias se relacionan mediante Ec. 12 (Pérez et al., 2012).
[Ec. 12]La eficiencia de gasificación también denominada como eficiencia de gas frio, representa la energía contenida en el gas de síntesis sobre la energía potencial contenida en el combustible sólido, se expresa mediante Ec. 13 (Dion et al., 2013).
[Ec. 13]Donde; LHVsyngas representa el poder calorífico inferior del gas de síntesis [MJ * Nm-3]; ECUACIÓN msyngas es el flujo másico del gas de síntesis [Nm. * h-1]. De acuerdo con Yohaness y otros (2013), el poder calorífico inferior del gas de síntesis depende mayormente del porcentaje volumétrico de la mezcla de gases que constituyen el combustible. Para el cálculo del LHVsyngas se usa Ec. 14 (Mekbib et al., 2014).
[Ec. 14]En esta ecuación, los términos XCO, XH2 y XCH4 representan la fracción volumétrica en el gas de síntesis de monóxido de carbono, hidrógeno y metano respectivamente, así como LHVCO, LHVH2 y LHVCH4 es el poder calorífico inferior de cada una de estas moléculas presentes en el gas de síntesis. En (Mekbib et al., 2014) se reportan los valores correspondientes de LHVCO, LHVH2 y LHVCH4 como 13,1MJ * Nm-3, 11,2MJ * Nm-3 y 37,1MJ * Nm-3 respectivamente.
Tasa de descuento
La tasa de descuento de los flujos de fondos o flujo de caja de un proyecto mide el coste de oportunidad de los recursos que se utilizan en el mismo. Los recursos se obtienen del mercado de capitales, sea por emisión de acciones o uso de capital propio, o mediante deuda para financiar parte del proyecto (Herrera, 2008). La tasa de descuento se utiliza para descontar pagos futuros a su valor presente de modo que se tome en cuenta el valor temporal del dinero (García et al., 2013).
En ese orden de ideas, el WACC (Weighted Average Cost of Capital) es la tasa de descuento usada para proyectos que han sido financiados tanto con capital propio como con recursos de terceros en forma de obligaciones o préstamos bancarios, el cual representa una media ponderada entre dichos recursos (Gavilema et al., 2022). Se calcula mediante Ec. 15.
[Ec. 15]Donde; R. es el costo de oportunidad (tasa de interés esperada) del capital propio; E es el capital propio; R. es el costo de la deuda (tasa de interés del préstamo); D es la deuda financiera. Así mismo, en proyectos en los que la inversión es completamente financiada por recursos propios, la tasa de descuento del proyecto corresponde con el costo de capital (R.)(Isaza et al., 2021), el cual es determinado mediante el modelo Capital Asset Pricing Model (CAPM) (Gavilema et al., 2022) expresado en Ec. 16.
[Ec. 16]Donde; R. es la tasa de descuento sin riesgo; R. es la tasa de descuento del mercado; (R. - R.) es la prima por el riesgo del mercado; β (beta de apalancamiento) permite determinar el comportamiento de las acciones y el índice de mercado de valores considerando la operación y el financiamiento de la empresa; a esta ecuación. se le suma el riesgo país, el cual es un indicador financiero que mide la posibilidad de incumplimiento de pago de una nación emergente o en vía de desarrollo. Los valores de Ec. 16 se toman de Damodaran (2023a), siendo el valor de R. el valor de bonos del tesoro de USA a 10 años, (R. - R.) la prima de riesgo total de acciones y el Riesgo País se toma de la calificación de riesgo país de Moody's equivalente a Baa2. Se determina el valor de β (Gavilema et al., 2022), con la Ec. 17.
[Ec. 17]Donde; β. es la beta del sector, en Villegas et al. (2020), se especifica que para energías renovables el sector corresponde a “Green and renewable energy”; t es la tasa de impuestos del país donde se desarrolla el proyecto; D es la deuda y E es el capital propio. En (Isaza et al., 2021) a la beta de apalancamiento (β) se le denota como beta apalancada (β.) y a la beta del sector (β.) se le denota como beta desapalancada ECUACIÓN (β.). Así mismo, se plantea que, para proyectos sin apalancamiento financiero, es decir, que tengan una inversión financiada por recursos propios, la beta apalancada (β.), es igual a la beta desapalancada (β.), por lo que β. = β.. La beta desapalancada se calcula en Damodaran (2023b).
Es importante considerar que la tasa de descuento de un proyecto puede tener en cuenta el efecto de la inflación (tasa de descuento nominal) o puede excluirlo (tasa de descuento real). La tasa de descuento usada debe ser consistente con la forma de todos los flujos de efectivo, es decir, si se aplica la tasa de descuento nominal se debe trabajar con flujos de efectivo que tengan en cuenta la inflación (flujos de efectivo actuales) y si se aplica la tasa de descuento real se debe trabajar con flujos de efectivo que no tengan en cuenta el efecto de la inflación (flujos constantes de efectivo). La tasa de descuento nominal se calcula mediante la Ec. 18.
[Ec. 18]Donde; r. es la tasa de descuento nominal; r. es la tasa de descuento real; e es la inflación (Short et al., 1995).
Caso de estudio
Como caso de estudio, se aplica la metodología propuesta para el cálculo del LCOE en un HPS ubicado en la Universidad de La Guajira, Colombia. El sistema de generación está conformado por un sistema de generación fotovoltaico y un sistema de gasificación de biomasa, un esquema del sistema se presenta en la Figura 1. Allí se observa un modelo de la planta de gasificación ubicada en un contenedor modificado para albergar el sistema de gasificación y que este pueda trasladarse en cualquier momento a diferentes lugares según las necesidades de cada situación. En el techo del contenedor se instalaron seis paneles solares EGE-540W de 540 Wp cada uno. En una sección del contenedor que funciona como almacenamiento de biomasa y de herramientas, se instaló el inversor (Fronius Primo 3.8) al cual llega la energía generada por el sistema PV. De allí la energía se lleva al circuito interno del contenedor, por lo que se puede aprovechar la energía PV para el autoconsumo del HPS. La energía generada en el motor acoplado al gasificador alimenta el tablero central y también genera la energía que puede ser exportada.

En la Tabla 2 se presenta información técnica referente a los componentes que integran el HPS y algunos datos usados para el caso de estudio.
Tabla 2. Aspectos técnicos del caso de estudio
| Aspectos técnicos del caso de estudio | |
| Referencia módulo fotovoltaico | EGE-530/550W-144M(M10) |
| Referencia inversor | Fronius Primo 3,8 |
| Referencia grupo electrógeno | Forte – FG13000 12 kW |
| Tipo de gasificador | Downdraft |
| Promedio anual de Temperatura ambiente en el lugar de instalación del sistema | 28,3 °C |
| Potencia pico por módulo | 0,54 kW |
| Cantidad de módulos fotovoltaicos | Seis |
| Tiempo de operación de gasificador | 8 h*día-1 |
| Flujo másico de biomasa en base seca | 20 kg*h-1 |
| Precio de la biomasa | 81,72 USD*t-1 |
| Tiempo de vida del sistema de generación | 25 años |
| Eficiencia del motor generador | 25,93 % |
| Eficiencia del inversor | 95 % |
| Tiempo de vida del inversor | 10 años |
| Tiempo de vida de grupo electrógeno en función de horas de operación (antes de overhaul) | 18000 horas |
Para las estimaciones del sistema PV se consideró el valor promedio de la irradiación incidente sobre superficies planas para las coordenadas de la Universidad de La Guajira (Lat: 11,5141 Long: -72,8693), lugar donde se encuentra ubicado el sistema. El valor de irradiancia promedio para un año es 5,44 kWh*m-2*day-1 (NASA,2024). Por otro lado, el factor de degradación de los módulos fotovoltaico usados según la ficha técnica del fabricante es de 2 % el primer año y 0,529 % desde el año 2 hasta el año 25.
Para la generación con el sistema de gasificación, se consideró un gasificador tipo Down Draft con una capacidad de procesamiento de 20 kg*h-1. Este gasificador permite trabajar con diversas biomasas y con tamaños desde 5 mm hasta 10 cm. La biomasa entra al freeboard del reactor gracias a un sistema de alimentación por tornillo ubicado en la parte superior del reactor y que está conectado a la tolva de alimentación, el lecho móvil va descendiendo y por la parte inferior salen los sólidos (biochar, compuesto principalmente por cenizas y una parte de inquemados), el syngas producido pasa por una pared que rodea al reactor hacia la salida, esto permite que se craqueen los alquitranes arrastrados por el syngas y que el gas salga más limpio. Posteriormente, el syngas producido pasa por un ciclón en el cual se retiran sólidos que han sido arrastrados, el gas que sale del ciclón pasa por un sistema de limpieza que consta de dos tanques con material filtrante, en uno de ellos hay biomasa y en el otro un material polimérico de alta densidad que ayuda a atrapar líquidos que permanezcan en la corriente gaseosa, luego pasan por el blower que es el corazón del sistema de gasificación, el cual succiona del lado del gasificador e impulsa hacia el lado del motor, luego del soplador se ubicó un medidor de flujo que permite conocer la cantidad de gas que va por la tubería; después del medidor de flujo los gases pueden ser llevados a una tea para ser quemados o a un motor de combustión interna acoplado con generador. Este motor de combustión interna tiene una capacidad nominal de 13 kVA, viene configurado de fábrica para trabajar con gasolina, pero se modificó para que funcione con syngas. Un diagrama del sistema de gasificación se puede observar en la Figura 2.

La biomasa usada para el caso de estudio es cascarilla de arroz, el análisis último de la cascarilla fue reportado por Macías et al. (2022) y se muestra en la Tabla 3.
Tabla 3. Análisis último de la biomasa empleada. Tomado de Macías et al. (2022).
| Análisis último | ||
| Elemento | Cascarilla de arroz | Método |
| Carbono | 33,8 ± 0,17 | ASTM D 4239 |
| Hidrógeno | 4,90 ± 0,04 | ASTM D 4239 |
| Oxígeno | 40,02 ± 0,23 | Por diferencia |
| Nitrógeno | 1,4 ± 0,01 | ASTM D 4239 |
| Azufre | 0,01 ± 0,28 | ASTM D 4239 |
| Cenizas | 20,02 ± 0,17 | ASTM D 3172 |
Para el análisis del caso de estudio se considera una financiación con recursos propios, se aplica el método CAPM para el cálculo de la tasa de descuento. No se consideran efectos de depreciación en los activos, y para los cálculos se utiliza una tasa representativa del mercado de 4.124,25 COP*USD-1. Para la determinación de costos de CAPEX se usaron los valores reales pagados para cada componente del sistema. En el valor del OPEX no se consideran costos de transporte de biomasa, debido a que este sistema está pensado para aprovechar los cultivos locales de la zona donde se ubique. De igual manera, no se considera el costo de mantenimiento del sistema PV debido a que para el caso de estudio solo se considera como mantenimiento el reemplazo de equipos o de componentes, en este caso la vida útil del sistema PV es de 25 años, lo cual coincide con el tiempo de vida del sistema. El detalle de costos del sistema discriminado por componente se presenta en la Tabla 4.
Tabla 4. Discriminación de costos por componente
| Componentes | CAPEX (USD) | OPEX (USD*año-1) | |||
| Operación | Mantenimiento | Costos variables | |||
| General | Container y acometidas eléctricas | 24.212,73 | 0 | 0 | 0 |
| Pago a empleados | 0 | 12.511,37 | 0 | 0 | |
| Fotovoltaico | Inversor | 2.060,98 | 0 | 206,10 | 0 |
| Módulo solar PV | 1.478,29 | 0 | 0 | 0 | |
| Otros costos | 1.849,16 | 0 | 0 | 0 | |
| Biomasa | Gasificador | 13.215,01 | 0 | 0 | 0 |
| Sistema de limpieza | 2.533,35 | 0 | 0 | 0 | |
| Soplador | 576,79 | 0 | 0 | 0 | |
| Grupo electrógeno | 3.549,01 | 0 | 575,73 | 0 | |
| Otros costos | 8.221,43 | 0 | 0 | 0 | |
| Combustible | 0 | 0 | 0 | 4.772,45 | |
RESULTADOS Y DISCUSIÓN
El valor total calculado del CAPEX, OPEX y costo variable del sistema descrito es de; 57.690,30 USD; 13.293,19 USD$*año-1; y 4.772,45 USD$*año-1. El OPEX se trae a valor presente neto aplicando una tasa real de descuento de 11,25 %, valor calculado a partir de una tasa de descuento sin riesgo (R.) de 3,45 %, una prima por el riesgo del mercado para Colombia (R. – R.) de 5,84 %, una beta desapalancada del sector (β.) de 0,84 y un riesgo país (RP) de 2,89 % (Damodaran, 2023a).
El total de energía eléctrica calculada que producirá el sistema híbrido de potencia en su tiempo de vida es de 825.465 kWh, aportando el componente fotovoltaico un 15,21 % del total (125.515 kWh) y la energía eléctrica producida por la gasificación de biomasa aporta un 84,79 % del total (699.950 kWh), tal como se observa en la Figura 3.

El valor calculado de la temperatura promerdio de los módulos fotovoltaicos es de 42,4 °C, a partir de la cual, se estima un factor [1 + y (Tc,t - Tc*)] de 94 %. Por otro lado, la reducción total de la energía producida por los módulos fotovoltaicos debido a los factores de reducción de energía es de 11 %. En la Figura 4 se aprecia el decrecimiento anual de energía generada por el componente fotovoltaico, se puede observar una curva con dos ligeras pendientes, esto es debido al efecto de la variación en el factor de degradación (DF) en los módulos fotovoltaicos. (Error 1: La referencia: Figura 4 está ligada a un elemento que ya no existe)

El valor del LHV de la cascarilla de arroz en el componente de biomasa es de 14,61 MJ*kg-1. La eficiencia global calculada del componente de biomasa es de 11,81 %, valor que incluye la eficiencia eléctrica del motor-generador y la eficiencia de gasificación, 25,94 % y 45,54 % respectivamente.
A partir de los cálculos estimados con los parámetros previamente descritos, se tuvo como resultado el LCoE del sistema híbrido de generación de energía, el cual es 0,73 USD*kWh-1. Para el sistema de Biomasa se estimó un LCoE específico de 0,30 USD*kWh-1 y para el componente fotovoltaico un LCoE específico de 0,15 USD*kWh-1. Planteando un escenario en el que se considere el efecto de la inflación, la tasa de descuento nominal tendría un valor de 21,15 % calculada a partir de una inflación proyecta a cierre del año 2023 en Colombia de 8,90 %, para dicho escenario el LCoE del sistema sería de 1,19 USD$*kWh-1.
En la Figura 5, se presenta la composición porcentual del CAPEX y OPEX estimado para el caso de estudio. Se observa que el CAPEX general, el CAPEX del componente fotovoltaico y el CAPEX del componente de biomasa, representan un 41,97 %, 9,33 % y un 48,70 % del CAPEX total respectivamente. Considerando que el valor del CAPEX general es el 41,97 % del CAPEX total y que este está conformado enteramente por el contenedor y sus adecuaciones, es válido analizar un escenario sin considerar el valor del CAPEX general con la finalidad de poder comparar contra otros sistemas reportados en la literatura que no incluyen esta consideración. En ese escenario y sin considerar el efecto de la inflación, el LCoE del sistema sería de 0,65 USD*kWh-1. Finalmente es importante destacar que del OPEX total, el OPEX general (principalmente pago de personal operativo) corresponde al 69 %, el OPEX del componente fotovoltaico representa el 4 % y el OPEX del componente de biomasa el 26 %.
Con la finalidad de tener un nivel de referencia que permita comparar el resultado del LCoE obtenido con otros previamente reportados en la literatura, en la Tabla 5 se presenta el LCoE de sistemas híbridos de potencia a partir de biomasa y solar fotovoltaica reportados en la literatura.

| País | Capacidad PV | Capacidad BM | ¿Considera inflación? | Tasa de descuento | Biomasa | Tecnología de aprovechamiento de la biomasa | LCoE del sistema | Referencia |
| Mozambique | 17 kW | 6 kW | NO | 5% | Cascara de nuez de marañón | Gasificación | 0,33 €*kWh-1 | Garrido et al., 2016 |
| Bangladesh | 0,4 kW | 5 kW | Si | 8% | Materiales de tipo orgánico | Gasificación | 0,34 USD*kWh-1 | Rashid et al., 2021 |
| Nigeria | 20 kW | 20 kW | Si | 14%* | Desechos animales | Digestión | 0,23 USD*kWh-1 | Oladapo et al., 2019 |
| Ghana | 50 kW | 20 kW | Si | 12% | Estiércol de animales de campo | Digestión | 0,26 USD*kWh-1 | Odoi-Yorke et al., 2022 |
| Emiratos Árabes Unidos | 10000 kW | 10000 kW | N.A. | N.A. | Cultivos y residuos leñosos | Gasificación | 0,32 USD*kWh-1 | Ghenaia et al., 2016 |
Al analizar la Tabla 5, se evidencia que el LCoE del caso de estudio es considerablemente alto en comparación con los HPS a partir de biomasa y solar fotovoltaica reportados en la literatura. Una de las posibles razones de esta diferencia es el costo del contenedor usado, sin embargo, el costo sigue siendo mayor para el caso de estudio, aún, cuando se compara con el valor del LCOE que desprecia el CAPEX general (0,65 USD*kWh-1). Cuando se revisa con detalle la razón de esta diferencia, se logra identificar que en la literatura (Garrido et al., 2016), se suele usar un valor de 0,4 USD*h-1 para el costo de O&M (incluyendo el personal), el cual es un valor muy inferior al estimado para este caso (aprox. 4,55 USD*h-1). Sin embargo, se debe resaltar que para el caso de La Guajira se realizó la estimación con base en que se tendrán dos personas a cargo del sistema y se les realiza un pago mensual por su labor acorde con los salarios en el país. Por último, la mayoría de los sistemas reportados en la Tabla 5 son de mayor capacidad que el caso de estudio, lo cual podría ser otro elemento que aporte en esta diferencia.
Por otra parte, en la Tabla 5 el LCoE de los sistemas que consideran biodigestión están en el orden de 0,26 USD*kWh-1, mientras que los que usan gasificación están en el orden de 0,33 USD*kWh-1, esto es evidencia de que la tecnología de biodigestión tiene mayor madurez que la gasificación, y que esta segunda, tiene mayores costos tanto de inversión como de operación. (Error 8: La referencia: Tabla 5 está ligada a un elemento que ya no existe)
Con la finalidad de validar el modelo de cálculo propuesto, se usó el software HOMER Pro® (Homer energy, n.d.). El cual es considerado con frecuencia en la literatura para optimizar el diseño de microrredes en todos los sectores. En la Figura 6, se representa el diseño conceptual del sistema estudiado en la interfaz de HOMER Pro®, así como el flujo de egresos descontado contemplado en el tiempo de vida del sistema. Para poner a prueba el modelo se consideró una carga de 98,98 kWh*día-1, que corresponde a un sistema compuesto por 3,24 kW de PV entregando energía 5,86 horas al día y un sistema de biomasa de 10 kW operando 8 horas al día. Los resultados del modelado del caso de estudio con HOMER Pro® se presentan en la Figura 7. (Error 9: La referencia: Figura 6 está ligada a un elemento que ya no existe) (Error 10: La referencia: Figura 7 está ligada a un elemento que ya no existe)


A partir de la simulación del caso de estudio en HOMER Pro® se estimó un LCoE de 0,77 USD*kWh-1 mientras que el LCoE obtenido con el modelo propuesto fue de 0,73 USD*kWh-1, los cuales son valores similares. Al calcular el error relativo se obtiene un error de 5,19 %.
Análisis de sensibilidad
El análisis de la variación del LCoE del HPS se realizó con la metodología de análisis de sensibilidad local, conocido en inglés como Local SA (Liu et al., 2007) y que consiste en la determinación del impacto de parámetros específicos en el resultado global del modelo. Esta metodología considera la ecuación 19 en donde; . es conocido como coeficiente de sensibilidad; K. es el parámetro calculado inicialmente en el modelo; y. es la variable de respuesta y que depende del parámetro calculado inicialmente; ∂yi *∂ K.-1 representa una estimación lineal de la tasa de cambio de la variable y. en función de la variación del parámetro K..
[Ec. 19]Para el cálculo de la ecuación 19, el término ∂yi *∂ K.-1 se puede hallar mediante la ecuación 20.
[Ec. 20]La variable y. para este caso es el valor del LCoE, el cual se analiza en función de los parámetros K. seleccionados: costo de la biomasa; tiempo de operación del gasificador; tasa de descuento; irradiación recibida por el módulo solar fotovoltaico; y el pago mensual a operarios. El resultado obtenido se muestra en la Figura 8, en donde se evidencia que el parámetro analizado que tiene mayor impacto en el valor del LCoE es el tiempo de operación del gasificador. (Error 11: La referencia: Figura 8 está ligada a un elemento que ya no existe)

Cuando el valor del coeficiente de sensibilidad (.)es negativo, la relación entre la variable y. y el parámetro K. es inversamente proporcional y cuando el valor del coeficiente es positivo, la relación es directamente proporcional. También se debe tener presente que entre mayor sea el valor absoluto del coeficiente de sensibilidad para un parámetro dado, mayor será el valor de la respuesta ante la variación de dicho parámetro. Para el caso de estudio, los parámetros; Irradiación recibida y tiempo de operación del gasificador, afectan de forma inversa el valor del LCoE y los factores; tasa de descuento; pago a operarios; y precio de la biomasa, afectan de forma directa el valor del LCoE.
CONCLUSIONES
El valor del costo nivelado de la energía (LCoE) de un sistema híbrido de generación de energía eléctrica a partir de la biomasa y energía solar fotovoltaica ubicado en La Guajira, Colombia, sin considerar depreciación de activos es de 0,73 USD*kWh-1, el cual es muy superior a los valores reportados en la literatura para la misma clase de sistemas híbridos, los cuales presentan en promedio un LCOE de 0,34 USD*kWh-1, mostrando ser poco competitivo. Sin embargo, durante el análisis se logró identificar que el modelo propuesto es más realista que lo encontrado en la literatura dónde suelen utilizar un valor tan bajo como 0,4 USD*kWh-1 para cubrir todos los costos de O&M incluido personal, mientras que para el caso de estudio colombiano, donde el salario mínimo legal vigente es cercano a 1,3 USD*h-1 a la fecha de realización del artículo, si se consideran dos personas a cargo del sistema y las cargas asociadas a seguridad social y otras que son obligatorias en Colombia, resulta un valor cercano a 0,38 USD*kWh-1 solo por concepto de personal, sin considerar insumos ni repuestos requeridos para O&M.
La metodología implementada proporcionó un resultado con un margen de error del 5,19 % con respecto a los resultados obtenidos en HOMER Pro® para las mismas condiciones, razón por la cual, se puede afirmar que es válido implementar el programa desarrollado con base en la metodología propuesta para determinar el LCoE en HPS que integren uso de biomasa y módulos solares fotovoltaicos. Es importante analizar que este programa permite calcular el LCoE de sistemas híbridos que consideren gasificación de biomasa y PV con valores reales para Colombia, lo cual no aparece reportado en ninguna de las herramientas que utiliza a la fecha el Ministerio de Minas y Energía, ni en la literatura.
Así mismo, a partir del análisis de sensibilidad, se evidencia que un modo significativo de disminuir el LCoE del sistema estudiado es incrementar el tiempo de operación diaria del gasificador, así como minimizar los costos de personal, ya que estas dos variables son las que más influyen en el valor del LCoE. En el mismo sentido, reducir el precio de la biomasa empleada contribuye a la reducción del LCoE del sistema. Se destaca que la variación de la irradiación del lugar de instalación del sistema híbrido estudiado tiene un efecto mínimo en el LCoE del mismo debido a la poca cantidad de energía generada por el componente fotovoltaico en comparación con el componente de biomasa del sistema.
El presente articulo sirve como punto de partida para la determinación de la viabilidad de la implementación de HPS que integren energía solar PV y gasificación de biomasa como tecnologías para la generación de energía en el contexto de La Guajira, Colombia. Si bien el LCOE estimado es alto, este puede ser comparable o menor que el LCOE de sistemas de generación distribuida que funcionen con diésel, con menor impacto ambiental, y genera además efectos sociales positivos que no han sido abordados en este análisis, como generación de empleo, esquemas asociativos, sin dejar de lado que estos HPS impactan positivamente otros aspectos ambientales.
AGRADECIMIENTOS
Los autores desean agradecer el apoyo por parte del proyecto “Estrategia de transformación del sector energético colombiano en el horizonte 2030”, financiado por la convocatoria 788 de Minciencias Ecosistema Científico, contrato No. FP 44842-210-2018. Así mismo Yonal Barros quiere agradecer a la Universidad Nacional de Colombia Sede Medellín por la beca para participar en modalidad de pasantía en el proyecto Poligeneración: La biomasa, precursor para nuevos productos de valor agregado y oportunidad para garantizar un sistema eléctrico confiable y sustentable en el marco del programa Estrategia de transformación del sector energético colombiano en el horizonte 2030. Carlos Ceballos desea agradecer la financiación del proyecto Esquema híbrido de poligeneración (termoquímico – biológico) para la sustitución de fósiles a partir de residuos orgánicos financiado por la convocatorio 890 de Minciencias, Número de contrato ICETEX 2022-0666. Finalmente se agradece a la Universidad de La Guajira por su compromiso con la formación académica de alta calidad y la financiación del presente artículo.
LITERATURA CITADA
Al-Turjman, F., Qadir, Z., Abujubbeh, M., & Batunlu, C. (2020). Feasibility analysis of solar photovoltaic-wind hybrid energy system for household applications. Computers and Electrical Engineering, 86. doi: https://doi.org/10.1016/j.compeleceng.2020.106743
Bajpai, P., & Dash, V. (2012). Hybrid renewable energy systems for power generation in stand-alone applications: A review. In Renewable and Sustainable Energy Reviews (Vol. 16, Issue 5, pp. 2926–2939). doi: https://doi.org/10.1016/j.rser.2012.02.009
Bermúdez A. (2021). Análisis de factibilidad para la implementación de centrales de concentración [Proyecto de grado para obtener el título de Magíster en ingeniería eléctrica, Universidad de Los Andes]. In Universidad de Los Andes. Recuperado de: https://repositorio.uniandes.edu.co/bitstream/handle/1992/55788/26226.pdf?sequence=1
Branker, K., Pathak, M. J. M., & Pearce, J. M. (2011). A review of solar photovoltaic levelized cost of electricity. Renewable and Sustainable Energy Reviews, 15(9), 4470–4482. doi: https://doi.org/10.1016/j.rser.2011.07.104
Castafier, L., Bermejo, S., Markvart, T., & Fragak, K. (2003). Energy Production by a PV Array. In Practical Handbook of Photovoltaics: Fundamentals and Applications (pp. 517–529). doi: https://doi.org/10.1016/b978-0-12-385934-1.00018-0
Channiwala, S., & Parikh, P. (2002). A unified correlation for estimating HHV of solid, liquid and gaseous fuels. Fuel, 81, 1051–1063. doi: https://doi.org/10.1016/s0016-2361(01)00131-4
Damodaran, A. (2023a). Damodaran Online. Damodaran Online. Recuperado de: https://pages.stern.nyu.edu/~adamodar/New_Home_Page/home.htm
Damodaran, A. (2023b). Betas by Sector (US). Damodaran Online. Recuperado de: https://pages.stern.nyu.edu/~adamodar/New_Home_Page/datafile/Betas.html
Delapedra-Silva, V., Ferreira, P., Cunha, J., & Kimura, H. (2022). Methods for Financial Assessment of Renewable Energy Projects: A Review. In Processes (Vol. 10, Issue 2). MDPI. doi: https://doi.org/10.3390/pr10020184
Dion, L., Lefsrud, M., Orsat, V., & Cimon, C. (2013). Biomass Gasification and Syngas Combustion for Greenhouse CO2 Enrichment. BioResources, 8(2), 1520–1538. doi: https://doi.org/10.15376/biores.8.2.1520-1538
Fan, J.-L., Wei, S., Yang, L., Wang, H., Zhong, P., & Zhang, X. (2019). Comparison of the LCOE between coal-fired power plants with CCS and main low-carbon generation technologies: Evidence from China. Energy, 176, 143–155. doi: https://doi.org/10.1016/j.energy.2019.04.003
Figueroa, A. (2019). Determinantes de la aceptación social de las tecnologías Energéticas renovables desde la perspectiva del usuario líder en La Guajira - Colombia [Thesis, Universidad Pontificia Bolivariana]. Recuperado de: https://repository.upb.edu.co/handle/20.500.11912/4924
García, H., Corredor, A., Calderón, L., & Gómez, M. (2013). Análisis costo beneficio de energías renovables no convencionales en Colombia. In FEDESARROLLO, Centro de Investigación Económica y Social. Recuperado de: https://repository.fedesarrollo.org.co/handle/11445/331
Garrido, H., Vendeirinho, V., & Brito, M. C. (2016). Feasibility of KUDURA hybrid generation system in Mozambique: Sensitivity study of the small-scale PV-biomass and PV-diesel power generation hybrid system. Renewable Energy, 92, 47–57. doi: https://doi.org/10.1016/j.renene.2016.01.085
Gavilema, L., & Tasiguano, K. (2022). Desarrollo de una herramienta de cálculo para la determinación del costo nivelado de energía en el contexto ecuatoriano. [Universidad Técnica de Cotopaxi]. Recuperado de: http://repositorio.utc.edu.ec/bitstream/27000/9778/1/PI-002279.pdf
Ghenaia, C., & Janajreh, I. (2016). Design of solar-biomass hybrid microgrid system in Sharjah. Energy Procedia, 103, 357–362. doi: https://doi.org/10.1016/j.egypro.2016.11.299
Haghighat Mamaghani, A., Avella Escandon, S. A., Najafi, B., Shirazi, A., & Rinaldi, F. (2016). Techno-economic feasibility of photovoltaic, wind, diesel and hybrid electrification systems for off-grid rural electrification in Colombia. Renewable Energy, 97, 293–305. doi: https://doi.org/10.1016/j.renene.2016.05.086
Herrera, B. (2008). Acerca de la tasa de descuento en proyectos. In Quipukamayoc (29th ed., Vol. 15, pp. 101–108). doi: https://doi.org/10.15381/quipu.v15i29.5284
Herrera, Y. (2021). Diseño de un sistema híbrido fotovoltaico-biomasa para la generación de energía eléctrica en el sector cafetalero de campo redondo-amazonas [Universidad católica Santo Toribio de Magrovejo]. Recuperado de: https://tesis.usat.edu.pe/bitstream/20.500.12423/4159/1/TL_HerreraSilvaYoner.pdf
Homer energy. (n.d.). HOMER software. Homer Energy. Recuperado de: https://www.homerenergy.com/products/pro/index.html
Isaza, F., Arredondo, C., & Marenco, G. (2021). Photovoltaic power purchase agreement valuation under real options approach. Renewable Energy Focus, 36, 96–107. doi: https://doi.org/10.1016/j.ref.2020.12.006
Jarungthammachote, S., & Dutta, A. (2008). Equilibrium modeling of gasification: Gibbs free energy minimization approach and its application to spouted bed and spout-fluid bed gasifiers. Energy Conversion and Management, 49(6), 1345–1356. doi: https://doi.org/10.1016/j.enconman.2008.01.006
Ji, L., Liu, Z., Wu, Y., & Huang, G. (2022). Techno-economic feasibility analysis of optimally sized a biomass/PV/DG hybrid system under different operation modes in the remote area. Sustainable Energy Technologies and Assessments, 52. doi: https://doi.org/10.1016/j.seta.2022.102117
Juzaili, W., Abdul, H., Shaari, S., & Khairunaz, M. (2020). Modeling of soiling derating factor in determining photovoltaic output. IEEE Journal of Photovoltaics, 10(5), 1417–1423. doi: https://doi.org/10.1109/jphotov.2020.3003815
Kelly, E., Medjo Nouadje, B. A., Tonsie Djiela, R. H., Kapen, P. T., Tchuen, G., & Tchinda, R. (2023). Off grid PV/Diesel/Wind/Batteries energy system options for the electrification of isolated regions of Chad. Heliyon, 9(3). doi: https://doi.org/10.1016/j.heliyon.2023.e13906
Lai, C. S., & McCulloch, M. D. (2017). Levelized cost of electricity for solar photovoltaic and electrical energy storage. Applied Energy, 190, 191–203. doi: https://doi.org/10.1016/J.APENERGY.2016.12.153
Lazard. (2023). Lazard´s Levelized Cost of Energy v16.0.
Liu, P., Gerogiorgis, D., & Pistikopoulos, E. (2007). Modeling and optimization of polygeneration energy systems. Catalysis Today, 127(1–4), 347–359. doi: https://doi.org/10.1016/j.cattod.2007.05.024
Macías, R. J., Ceballos, C., Ordonez-Loza, J., Ortiz, M., Gómez, C. A., Chejne, F., & Vélez, F. (2022). Evaluation of the performance of a solar photovoltaic - Biomass gasifier system as electricity supplier. Energy, 269(1). doi: https://doi.org/10.1016/j.energy.2022.125046
Mattei, M., Notton, G., Cristofari, C., Muselli, M., & Poggi, P. (2006). Calculation of the polycrystalline PV module temperature using a simple method of energy balance. Renewable Energy, 31(4), 553–567. doi: https://doi.org/10.1016/j.renene.2005.03.010
McCann, R. (2020). Comment: LCOE is an undiscounted metric that distorts comparative analyses of energy costs. Electricity Journal, 33(7). doi: https://doi.org/10.1016/j.tej.2020.106812
Mekbib, S., Anwar, S., & Yusup, S. (2014). Influence of fuel moisture content and reactor temperature on the calorific value of syngas resulted from gasification of oil palm fronds. The Scientific World Journal, Article ID 121908, 2014. doi: https://doi.org/10.1155/2014/121908
Morales, Duban., & Ramírez, Daniel. (2020). Propuesta de una metodología para el cálculo del costo nivelado de energía (LCOE) en proyectos de generación renovables, basado en el flujo de caja financiero [Proyecto de grado, Universidad autónoma de Bucaramanga]. In Universidad Autónoma de Bucaramanga. Recuperado de: https://repository.unab.edu.co/handle/20.500.12749/7332
NASA. (2024). POWER | Data Access Viewer. Recuperado de: https://power.larc.nasa.gov/data-access-viewer/
NREL. (2024). NREL’s PVWatts® Calculator. Recuperado de: https://pvwatts.nrel.gov/
Odoi-Yorke, F., Abaase, S., Zebilila, M., & Atepor, L. (2022). Feasibility analysis of solar PV/biogas hybrid energy system for rural electrification in Ghana. Cogent Engineering, 9. doi: https://doi.org/10.1080/23311916.2022.2034376
Oladapo, S., Ibrahim, M., Mahmud, I., Oluwafemi, T., & Oluwafemi, K. (2019). Potential of off-grid solar PV/Biogas power generation system: case study of Ado Ekiti Slaughterhouse. International Journal of Renewable Energy Research, 9(3). doi: https://doi.org/10.20508/ijrer.v9i3.9559.g7711
Onaolapo, A. K., Sharma, G., Bokoro, P. N., Adefarati, T., & Bansal, R. C. (2023). A comprehensive review of the design and operations of a sustainable hybrid power system. Computers and Electrical Engineering, 111. doi: https://doi.org/10.1016/j.compeleceng.2023.108954
Pérez, J., Lenis, Y., Rojas, S., & León, C. (2012). Generación distribuida mediante gasificación de biomasa: un análisis técnico – económico e implicaciones por reducción de emisiones de CO2. Revista Facultad de Ingeniería Universidad de Antioquia, 62. Recuperado de: http://www.scielo.org.co/scielo.php?script=sci_arttext&pid=S0120-62302012000100016
Rashid, F., Hoque, E., Aziz, M., Nazmus, T., Islam, T., & Moker, R. (2021). Investigation of optimal hybrid energy systems using available energy sources in a rural area of Bangladesh. Energies, 14(5794). doi: https://doi.org/10.3390/en14185794
Saldarriaga-Loaiza, J. D., López-Lezama, J. M., & Villada-Duque, F. (2022). Metodologías para la estructuración de inversiones en proyectos de energía renovable Methodologies for structuring investments in renewable energy projects. Información Tecnológica, 33(3), 189–202. doi: http://doi.org/10.4067/S0718-07642022000300189
Saldarriaga-Loaiza, J. D., Villada, F., Pérez, J. F., Saldarriaga-Loaiza, J. D., Villada, F., & Pérez, J. F. (2019). Análisis de Costos Nivelados de Electricidad de Plantas de Cogeneración usando Biomasa Forestal en el Departamento de Antioquia, Colombia. Información Tecnológica, 30(1), 63–74. doi: https://doi.org/10.4067/s0718-07642019000100063
Shen, W., Chen, X., Qiu, J., Hayward, J. A., Sayeef, S., Osman, P., Meng, K., & Dong, Z. Y. (2020). A comprehensive review of variable renewable energy levelized cost of electricity. Renewable and Sustainable Energy Reviews, 133. doi: https://doi.org/10.1016/j.rser.2020.110301
Short, W., Packey, D., & Holt, T. (1995). A manual for the economic evaluation of energy efficiency and renewable energy technologies. doi: https://doi.org/10.2172/35391
Solis, A. E. M., Adrada, G. T., & Amador, G. J. (2020). Análisis de la degradación de potencia de diversas tecnologías fotovoltaicas a sol real en Madrid (España). In XVII Congreso Ibérico y XIII Congreso Iberoamericano de energía solar. Madrid, España: LNEG - Laboratório Nacional de Energia e Geologia. Recuperado de: https://repositorio.lneg.pt/bitstream/10400.9/3376/1/Cies2020_1_2038.pdf
UPME. (2024). Costos Nivelados de Generación de Electricidad. Geo LCOE Versión 2. Recuperado de: https://lcoev2.upme.gov.co/
Vanegas Chamorro, M., Villicaña Ortíz, E., & Arrieta Viana, L. (2015). Cuantificación y caracterización de la radiación solar en el departamento de La Guajira-Colombia mediante el cálculo de transmisibilidad atmosférica. Prospect, 13(2), 54–63. doi: https://doi.org/10.15665/rp.v13i2.487
Villegas, M., & Espinal, L. (2020). Factibilidad financiera de un proyecto de energía solar fotovoltaica financiado mediante un acuerdo de compra PPA [Tesis para obtener título de magister en administración financiera, Universidad EAFIT]. Recuperado de: https://repository.eafit.edu.co/bitstream/handle/10784/24825/LeidyJohana_EspinalZapata_MayraAlejandra_VillegasMachado_2020.pdf?sequence=2&isAllowed=y
Yohaness, F., Aziz, R., & Sulaiman, S. (2013). Study of syngas combustion parameters effect on internal combustion engine. Asian Journal of Scientific Research. doi: https://doi.org/10.3923/ajsr.2013.187.196
Zuñiga Parra, J. F. (2022). Propuesta de Esquema de Negocio para fomentar la sustitución o complementariedad de la generación con Diésel y reducir los costos de prestación. Universidad Nacional de Colombia.

