Secciones
Referencias
Resumen
Servicios
Descargas
HTML
ePub
PDF
Buscar
Fuente


BASURA PLÁSTICA Y MICROPLÁSTICOS: CONTAMINANTES EMERGENTES PRESENTES EN SEDIMENTOS DE UNA PLAYA URBANA DEL ORIENTE VENEZOLANO
MARINE LITTER AND MICROPLASTICS: EMERGING CONTAMINANTS PRESENTS IN SEDIMENTS OF AN URBAN BEACH IN EASTERN VENEZUELA
Ciencia e Ingeniería, vol. 9, núm. 1, e6706296, 2022
Universidad de La Guajira

Artículos

Ciencia e Ingeniería
Universidad de La Guajira, Colombia
ISSN-e: 2389-9484
Periodicidad: Semestral
vol. 9, núm. 1, e6706296, 2022

Recepción: 28 Febrero 2022

Aprobación: 28 Abril 2022


Esta obra está bajo una Licencia Creative Commons Atribución-NoComercial-SinDerivar 4.0 Internacional.

Resumen: Los plásticos son parte fundamental de la vida cotidiana debido a su versatilidad y bajo costo. Pero, sus desechos están causando preocupación por la acumulación en el medio marino-costero. Con el propósito de comparar el contenido de plásticos en los sedimentos de dos sectores de la playa San Luis (estado Sucre) se realizó un muestreo en época de sequía. Para ello, se delimitaron tres transectos de 100 m, donde se localizaron 5 puntos equidistantes para la recolección de muestras. Los sedimentos se secaron a temperatura ambiente, se separaron en fracciones granulométricas y se observaron con lupas de 10x. Luego los sedimentos finos y, los gruesos ya observados, se trataron con una solución saturada de NaCl para separar plásticos por densidad. Los plásticos se clasificaron según su tamaño, forma y color. Los resultados indicaron la presencia de macro, meso y microplásticos en todas las muestras y mayor abundancia de partículas plásticas en el sector A, puesto que, el sector B más concurrido, es sometido a limpieza frecuente debido a los servicios recreativos y turísticos que ofrece. Los fragmentos y las fibras resultaron las formas mayoritarias, destacando la influencia de las actividades pesqueras y urbanas.

Palabras clave: Sedimentos costeros, playas, microplásticos, contaminación plástica.

Abstract: Plastics are a fundamental part of everyday life due to their versatility and low cost. However, their waste is causing concern due to their accumulation in the marine-coastal environment. In order to compare the content of plastics in the sediments of two sectors of the San Luis beach (Sucre state), a sampling was carried out during the dry season. For this purpose, three 100 m transects were delimited, where 5 equidistant points were located for sample collection. The sediments were dried at room temperature, separated into granulometric fractions and observed with 10x magnifying glasses. The fine sediments and the coarse sediments already observed were then treated with a saturated NaCl solution to separate plastics by density. The plastics were classified according to their size, shape and color. The results indicated the presence of macro, meso and microplastics in all samples and a higher abundance of plastic particles in sector A, since sector B is more crowded and is subject to frequent cleaning due to the services it offers. Fragments and fibers were the most common forms, highlighting the influence of fishing and urban activities.

Keywords: Coastal sediments, beaches, microplastics, plastic pollution, plastic contamination.

INTRODUCCIÓN

Los contaminantes emergentes (CE) son aquellos que se originan a partir de múltiples productos, la mayoría de uso cotidiano y, que no se han reconocido como peligrosos. Entre ellos se encuentran los medicamentos humanos y veterinarios, los productos de cuidado personal y belleza, los nanomateriales, los plastificantes, los tensoactivos, los pesticidas y herbicidas, la nicotina, las drogas, los psicofármacos y estimulantes, los plásticos, entre otros (Tejada, Quiñonez & Peña, 2014; de Granda-Orive et al. 2018; González et al. 2018). En vista que los efectos de los CE sobre el ambiente y la salud humana son desconocidos, su consumo sigue siendo masivo, enfocándose la atención únicamente en el bienestar o facilidades que estos aportan a la sociedad. Por ende, ingresan de forma sostenida al ambiente, causando un impacto negativo que incluso puede ser irreversible. Aunque los CE pueden presentar altas tasas de transformación/remoción (no tienen tiempos de residencia altos), su introducción continua puede generar efectos negativos sin necesidad de que persistan prolongadamente en el ambiente (Ferreira et al. 2016). Los materiales plásticos, cuya producción y consumo masivo a escala global se ubica entre los años 1960-1970 (Plastics Europe, 2019; Blair Crawford & Quinn, 2016), desplazaron otros materiales como vidrio, metal y madera en el envasado y empaquetado de productos debido a su versatilidad, durabilidad, bajo coste de producción y precios de mercado altamente competitivos. Por ello, el crecimiento exponencial de la producción de plástico que superó los 350 millones de toneladas en el año 2018 (Plastics Europe, 2019; VishnuRadhan et al. 2019). Esto aunado al crecimiento poblacional, al modelo económico/consumo lineal y a políticas inadecuadas de manejo de residuos y desechos, sobre todo en los países con menores niveles de ingreso (Kaza et al. 2018) han generado una huella que abarca todos los compartimientos ambientales alcanzando inclusive los lugares más remotos del planeta, tales como las fosas marinas más profundas o las zonas polares (Gross, 2021)

En este sentido, se ha demostrado la presencia de plástico en los entornos naturales en aguas marinas de todo el planeta, por ejemplo en aguas de Qatar Castillo et al. (2016) reportaron una concentración de microplásticos promedio de 0,71 partículas/m., identificándose 30 polímeros por medio de espectrometría infrarroja con transformada de Fourier (FTIR)/reflectancia total atenuada (ATR), entre los cuales destacan: polipropileno (PP), polietileno de baja densidad (PE-LD), polietileno (PE), poliamida (PA), polimetilmetacrilato (PPMA), entre otros. En el Mar de Bohai (China) se determinaron niveles más elevados en el contenido de microplásticos entre 5 y 15 m en la columna de agua, siendo menor el contenido de fibras en las aguas superficiales que profundas (Dai et al. 2018). En el caso de sedimento costeros, al sur del mar Amarillo y al este del mar de China fueron analizadas muestras de sedimentos, resultando un contenido promedio de 13,4 ± 0,6 ítems/100 g de sedimento seco, principalmente fibras con composición dominada por PE, identificado por micro FTIR (Zhang et al. 2019). Al sur de la India, el análisis de 28 muestras de sedimentos permitió identificar la presencia mesoplásticos en (65% de las muestras), microplásticos (18% de las muestras) y macroplásticos (17% de las muestras), siendo la composición polimérica identificada por FTIR: 79% cloruro de polivinilo (PVC), 14% PE y 7% nylon (Vidyasakar et al. 2020). Por otra parte, en el Caribe colombiano, fue realizada una comparación del contenido de microplásticos de origen primario y secundario, hallando que su distribución depende de la época del año y que los polímeros mayormente identificados por FTIR fueron PE y PP (Acosta-Coley et al. 2019). Por otra parte, Gárces-Ordóñez et al. (2022), evaluaron la contaminación por microplásticos en las aguas superficiales, sedimentos y la incidencia de la ingestión de microplásticos en peces de importancia comercial la Ciénaga Grande de Santa Marta, hallando principalmente fibras y fragmentos y, siendo los polímeros más abundantes PP, PE y PE-HD, relacionándose la mayor abundancia de microplásticos con la alta densidad de actividades pesqueras e infraestructuras acuícolas. Adicionalmente, los microplásticos se han detectado en especies de consumo humano, ya sea cultivados o en entornos naturales tales como peces (Wang & Yu, 2020; Van Cauwenberghe, 2014) y bivalvos (Li et al. 2015).

En Venezuela, aún no se cuenta con reportes publicados en revistas indexadas sobre el contenido y caracterización de microplásticos en las costas, ya sea en aguas, organismos o sedimentos. Sin embargo, se han presentado algunos resultados de estudios preliminares en congresos nacionales e internacionales, en los cuales se han identificado fragmentos, fibras, gomas espumosas y láminas de colores diversos, principalmente constituidas por polipropileno, poliestireno y polietileno en dos playas del estado Sucre (Gamboa et al. 2019). Asimismo, Pinto et al. (2021) reportaron 508 ítems de basura plástica en un área de 400 m. y, 473 ítems asociados a los sedimentos de la playa El Peñón en la ciudad de Cumaná, estado Sucre, siendo los fragmentos la forma más abundante. En las costas del lago de Maracaibo se estableció que uno de los principales contaminantes fue el polietileno (Bracho et al. 2021). Por otra parte, a nivel de experimentos de laboratorio Grillo, Sabino & Ramos (2020) analizaron el comportamiento del coral Porites porites en presencia de microesferas de poliestireno, hallando que esta especie es capaz de consumir este plástico en períodos de exposición de 96 horas. No obstante, establecieron que es necesario llevar a cabo más estudios para conocer los posibles efectos tóxicos de la ingesta de este tipo de contaminantes en esta y otras especies. Es importante destacar que, este tema de investigación aún es emergente en Venezuela, aunque está siendo abordado por diferentes grupos de investigadores que desean expandir sus investigaciones a otros estados del país, además de los estados de Sucre, Zulia, Nueva Esparta y Anzoátegui, tomando en consideración la extensión costera de Venezuela. En este trabajo de investigación se presenta una comparación del contenido de partículas plásticas asociadas a los sedimentos costeros superficiales en dos sectores de una playa urbana que se utiliza con fines recreativos y turísticos como un aporte para conocer el nivel de contaminación en esta región del Caribe.

MATERIALES Y MÉTODOS

Área de estudio

La ciudad de Cumaná se ubica en la región nororiental de Venezuela (Figura 1) y se caracteriza por sus actividades pesqueras y portuarias alrededor de la desembocadura principal del río Manzanares, donde también existen actividades urbanas e industriales (Fuentes et al. 2008) que actúan como presiones de los ecosistemas costeros, contribuyendo a la acumulación de plásticos a lo largo de la costa. San Luis se localiza al extremo oeste de la ciudad, es la playa urbana más extensa del estado Sucre y posee fondo arenoso. A lo largo del litoral existen viviendas, hoteles/posadas, ventas informales de comida. Debido a sus características se cataloga como una zona residencial-recreacional/turística, puesto que se desarrollan diferentes actividades deportivas, de pesca artesanal y actividades turísticas-económicas formales e informales, que se concentran principalmente en algunas zonas del litoral. Para este estudio fueron considerados Colegio de Médicos y Los Bordones, los sectores más concurridos de esta playa.

Figura 1. Ubicación de las localidades de estudio Colegio de Médicos (Sector A) y Los Bordones (Sector B) en la playa urbana San Luis, Cumaná-estado Sucre, Venezuela.


Figura 1
Ubicación de las localidades de estudio Colegio de Médicos Sector A y Los Bordones Sector B en la playa urbana San Luis Cumanáestado Sucre Venezuela

Diseño de muestreo

La recolección de muestras de sedimentos fue llevada a cabo durante la época de sequía en febrero de 2021. Para ello, se consideraron tres transectos, el primero en la zona submareal (sedimentos sumergidos). Los otros dos transectos se ubicaron en la zona intermareal; el segundo se localizó donde se observó el rastro de la última marea y el tercer transecto 5 metros hacia el continente. Sobre cada transecto se fijaron 5 puntos equidistantes (25 m de separación). De cada punto fue recuperado un kilogramo de muestra, para un total de 15 muestras por sector. Todos los materiales empleados para el muestreo fueron de metal, vidrio o madera para evitar la contaminación de las muestras.

Extracción y clasificación de las partículas plásticas

En el laboratorio, las muestras fueron secadas a temperatura ambiente y tamizadas, empleando tamices número 4 (4,75 mm), 12 (1 mm) y 35 (0,5 mm) para facilitar la separación de las partículas plásticas asociadas a los sedimentos. Todas las fracciones granulométricas obtenidas fueron observadas con una de 10x para la separación física de las partículas plásticas; a excepción de la fracción que corresponde a los sedimentos menores de 0,5mm. Posteriormente, esta última fracción junto con las fracciones ya observadas fue sometida a separación por densidad, empleando solución saturada de NaCl (~29 % g/mL; 5 mol/L; =1,15 g/mL) según lo indicado en Masura et al. (2015). Todos los materiales empleados fueron de vidrio o metal, lavados con agua bidestilada y/o secados con aire comprimido para evitar la contaminación cruzada. Los plásticos obtenidos se clasificaron según su tamaño en: macroplásticos (> 5mm), mesoplásticos (5 mm – 0,5 mm) y microplásticos (< 0,5 mm); forma en: (1) fibras/filamentos (plásticos de origen secundario); (2) fragmentos (plásticos secundarios con bordes irregulares y angulares); (3) pellets (plásticos primarios esféricos con tamaño entre 5mm- 1mm); (4) microesferas (plásticos primarios esféricos entre 1mm-1m); (5) film/láminas (restos de plástico planos y flexibles), (6) esponjas (plásticos secundarios elásticos y porosos) y (7) goma espumosa (plástico secundario flexible y elástico). En cuanto al color se clasificaron en: transparente, blanco, negro, amarillo rojo, verde, multicolor y otros, según lo propuesto en la literatura (Blair Crawford & Quinn, 2017; Hidalgo-Ruz et al. 2012).

RESULTADOS Y DISCUSIÓN

Al analizar los sedimentos se evidenció la presencia de partículas plásticas en todas las muestras de sedimentos recolectadas en los dos sectores de la playa San Luis (Figura 2; Tabla 1), demostrándose la contaminación plástica en este sustrato. La ubicuidad de microplásticos (y de los otros tamaños de partículas plásticas) ha sido comprobada por varios autores en los diferentes entornos ambientales, es decir que se reconoce su presencia en todo el mundo, tanto en los entornos terrestres como marinos (Horn et al. 2019; Rochman, 2018); lo que denota la necesidad de comprender detalladamente la dinámica de esta tipo de contaminantes en el ambiente para medir los impactos y aportar en las soluciones. Específicamente, representa un peligro para los organismos marinos, por ejemplo para la infauna invertebrada como crustáceos filtradores que son parte de la dieta de peces, aves y otros taxones (Horn et al. 2019).


Figura 2
Evidencia de presencia de plásticos en los sedimentos superficiales de las dos localidades de la Playa San Luis Cumaná estado Sucre Venezuela
https://www.doi.org/10.5281/zenodo.6707051

La forma predominante de las partículas plásticas, independientemente del sector considerado, correspondió a fragmentos con valores que superaron las 200 partículas plásticas en el total de las muestras analizadas para el sector A y alcanzaron 123 ítems en el sector B (Tabla 1). Los fragmentos y las fibras en algunos estudios de playas arenosas han representado la forma principalmente encontrada, como al este del golfo de Tailandia Bissen &Chawchai (2020); al sur del mar Báltico Urban-Malinga et al. (2020) o en la Reserva de la Biosfera de los Manglares de Can Gio de la UNESCO Khuyen et al. (2021). En este caso, no se reportaron microplásticos primarios tipo pellets. Sin embargo, en el sector B (Los Bordones) se hallaron 2 microesferas transparentes. Los fragmentos se relacionan con la degradación que experimentan las piezas de plástico más grandes como producto de factores ambientales, tales como el calor, la luz solar, el viento y oleaje (Zhang, 2017; Wang, 2016; Anadry, 2011). Las gomas espumosas y las láminas pueden asociarse a actividades humanas relacionadas con el consumo de alimentos y bebidas y; las fibras y las esponjas a las actividades pesqueras de la región. Por otra parte, los colores que se reportaron principalmente en estos sedimentos costeros fueron azul y verde. El color de las partículas de plástico podría proporcionar información sobre sus fuentes, por ejemplo, las láminas transparentes pueden proceder de bolsas de plástico de polietileno. También, los procesos de envejecimiento que experimentan estos materiales en el ambiente puede ocasionar la pérdida de color (Wong & Kunz, 2020). Cabe destacar que, algunos depredadores visuales pueden confundir partículas plásticas amarillas, marrones y blancas con su alimento (Naji et al. 2019; Wright et al. 2013).

Tabla 1. Número de ítems recuperados de los sedimentos en los dos sectores estudiados, clasificados en función de la forma y color.


Tabla 1
Número de ítems recuperados de los sedimentos en los dos sectores estudiados, clasificados en función de la forma y color.
https://www.doi.org/10.5281/zenodo.6707308

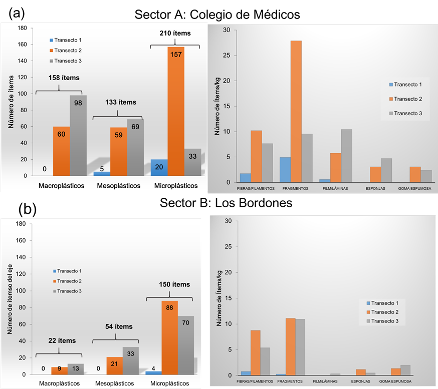
En cuanto a el tamaño de los plásticos en función de los transectos, en la Figura 3a y 3b se muestra la cantidad total de macro, meso y microplásticos que se extrajeron de los sedimentos en ambos sectores. En el sector A el contenido de microplásticos alcanzó en 42% del total de partículas plásticas recuperadas, mientras que en el sector B en 66%.


Figura 3
Distribución de macroplásticos mesoplásticos y microplásticos en función de los transectos y contenido de las formas de las partículas plásticas en número de ítemskg reportados en las muestras a Sector A Colegio de Ingenieros b Sector B Los Bordones
https://www.doi.org/10.5281/zenodo.6707416

El contenido total de partículas plásticas asociados a los sedimentos en el sector A (485 ítems) resultó más elevado que en el sector B (251 ítems), siendo los microplásticos el tamaño mayoritario hallado en ambos sectores de la playa con acumulación preferencial en el transecto 2, que corresponde a la última marea y responde a la influencia de la hidrodinámica del medio, es decir del transporte de mareas que aporta material sedimentario y partículas plásticas a la costa que provienen de otros lugares (Zhang, 2017). Los mesoplásticos y los macroplásticos se recuperaron mayoritariamente en los transectos 3 y 2 respectivamente. Los mesoplásticos pueden originarse de la degradación de los macroplásticos y estos a su vez de la basura plástica que se encuentre en la costa. Con esto se establece que se pueden encontrar partículas plásticas generadas en sitio y también aportadas por las mareas. En el transecto 1, que corresponde a los sedimentos sumergidos, prácticamente no fueron detectadas partículas plásticas. Es importante resaltar que con el método empleado (observación de sedimento secos y/o papel de filtro para la separación por densidad con lupas de 10x) muy probablemente se subestime la cantidad de microplásticos que está presente en las muestras. La tendencia resultó microplásticos > macroplásticos > mesoplásticos para el sector A y, microplásticos > mesoplásticos > macroplásticos para el sector B. El tamaño de los plásticos juega un papel muy importante, puesto que influye en su impacto sobre los ecosistemas y en la capacidad de adsorción de otros contaminantes (Catrouillet et al., 2021; Cole et al., 2011).

La abundancia total de partículas plásticas fue en el sector A de 33,66 ítems/kg de muestra y en el sector B de 16,82 ítems/kg de muestra. El sector B es el más visitado. De hecho, cuenta con servicio de alquiler de toldos, sillas y mesas, así como con la presencia de kioscos que ofrecen comidas y bebidas. Esto aunque puede generar la depositación no adecuada de basura plástica por parte de los visitantes, también puede contribuir a la existencia de menor cantidad de partículas, ya que generalmente, los dueños de los establecimientos hacen la limpieza de la zona. Adicionalmente, la abundancia de los ítems se reporta en función de la forma. En este sentido, para el sector A, se observó la presencia preferencial en el transecto 2 de fragmentos (27,88 ítems/kg) y fibras (10,19 ítems/kg) y para el transecto 3 la tendencia resultó láminas (10,42 ítems/kg), fragmentos (9,55 ítems/kg) y fibras (7,64 ítems/kg). Las fibras y las esponjas se pueden relacionar con las actividades pesqueras, por el uso de redes y líneas de pesca, boyas y embarcaciones que utilizan esponjas de poliuretano como aislante. Los fragmentos, láminas, goma espumosa y otros se relacionan con actividades urbanas, dentro de las que se incluyen el envasado y empaquetado, comercio y consumo de alimentos y bebidas. En el sector B, los transectos 2 y 3 mostraron una abundancia de alrededor de 9,55 fragmentos/kg. Y también fue detectada la presencia de fibras.

A modo de conclusión se puede indicar que este estudio permitió determinar la presencia de partículas plásticas en dos sectores (abundancia 33,66 ítems/kg y 16,82 ítems/kg para los sectores A y B respectivamente) de la playa San Luis en la ciudad de Cumaná (Venezuela) y, por ende, la existencia de contaminación plástica. Los macro, meso y microplásticos se acumularon principalmente en los transectos 2 y 3 que corresponden a la última marea y más cercano a la infraestructura residencial-turística comercial. Las formas más abundantes resultaron los fragmentos y las fibras y, los colores azul y verde. La limpieza regular del área influye en la disminución de las partículas en los sedimentos. Todos estos resultados indican que es necesaria la toma de acciones para minimizar la cantidad de basura plástica dispuesta intencionalmente o no en esta playa de Cumaná y para evitar que el material plástico se continúe degradando e ingresando al agua marina.

LITERATURA CITADA

Acosta-Coley, I., Duran-Izquierdo, M., Rodriguez-Cavallo, E., Mercado-Camargo, J., Mendez-Cuadro, D., & Olivero-Verbel, J. (2019). Quantification of microplastics along the Caribbean Coastline of Colombia: Pollution profile and biological effects on Caenorhabditis elegans. Marine Pollution Bulletin, 146(July), 574–583. https://doi.org/10.1016/j.marpolbul.2019.06.084

Andrady, A. L. (2011). Microplastics in the marine environment. Marine Pollution Bulletin, 62(8), 1596–1605. https://doi.org/10.1016/j.marpolbul.2011.05.030.

Bissen, R. & Chawchai, S. (2020). Microplastics on beaches along the eastern Gulf of Thailand–a preliminary study. Marine Pollution Bulletin, 157, 111345.https://doi.org/10.1016/j.marpolbul.2020.111345.

Bracho, N., Rojas de Gascue, M., Márquez, J., Bracho, J., Hernández, C., García, E., López, J., Gamboa, A., Medina-Faull, L. (2021). Identificación de polietileno y su degradación foto-oxidativa entre los microplásticos muestreados en el frente costero del Lago de Maracaibo. Congreso Venezolano de Catálisis.

Castillo, A. B., Al-Maslamani, I., & Obbard, J. P. (2016). Prevalence of microplastics in the marine waters of Qatar. Marine Pollution Bulletin, 111(1-2), 260-267. https://doi.org/10.1016/j.marpolbul.2016.06.108.

Cole, M., Lindeque, P., Halsband, C., & Galloway, T. S. (2011). Microplastics as contaminants in the marine environment: A review. Marine Pollution Bulletin, 62(12), 2588–2597. https://doi.org/10.1016/j.marpolbul.2011.09.025

Dai, Z., Zhang, H., Zhou, Q., Tian, Y., Chen, T., Tu, C., ... & Luo, Y. (2018). Occurrence of microplastics in the water column and sediment in an inland sea affected by intensive anthropogenic activities. Environmental Pollution, 242, 1557-1565. https://doi.org/10.1016/j.envpol.2018.07.131.

de Granda-Orive, J. I., de Granda-Beltrán, C. & Baz-Lomba, J. A. (2018). Contaminantes emergentes: la nicotina en las aguas residuales domésticas como herramienta de análisis en salud pública. Archivos de Bronconeumología, 54(10), 495-496. https://doi.org/10.1016/j.arbres.2018.02.020.

Ferreira, L., Rosales, E., Danko, A.S., Sanromán, M.A., Pazos, M.M., 2016. Bacillus thuringiensis a promising bacterium for degrading emerging pollutants. Process Safety and Environmental Protection 101, 19-26. https://doi.org/10.1016/j.psep.2015.05.003.

Fuentes, M.V., Senior, W., Fermín, I., Troccoli, L. (2008). Estudio Fisicoquímico Y Bacteriológico Del Río Manzanares, Estado Sucre . Boletín Del Instituto Oceanografico de Venezuela, 47(January), 149–158. htps://doi.org/10.5281/zenodo.160353.

Fuentes, M.V., Senior, W., Fermín, I., Troccoli, L. (2008). Estudio Fisicoquímico Y Bacteriológico Del Río Manzanares , Estado Sucre ,. Boletín Del Instituto Oceanografico de Venezuela, 47(January), 149–158. htps://doi.org/10.5281/zenodo.160353.

Gamboa, A., Medina, L., Alvarez, P., Coronado, N., Rivas, M., Quijada, J., Torrivilla, Y., Fermín, I., Rojas de Gascue, B., Manosalva, J. (2019). Propuesta de un protocolo de análisis del contenido de microplásticos en sedimentos de playas. XII Congreso Venezolano de Ecología, 18-21 de noviembre, Caracas, Venezuela.

González, I., Muga, I., Rodríguez, J. & Blanco, M. (2018). Contaminantes emergentes en aguas residuales urbanas y efluentes hospitalarios. Tecnoagua 29: 42-54.

Grillo, J. F., Sabino, M. A., & Ramos, R. (2021). Short-term ingestion and tissue incorporation of Polystyrene microplastic in the scleractinian coral Porites porites. Regional Studies in Marine Science, 43, 101697. https://doi.org/10.1016/j.rsma.2021.101697.

Hidalgo-Ruz, V., Gutow, L., Thompson, R. C., & Thiel, M. (2012). Microplastics in the marine environment: A review of the methods used for identification and quantification. Environmental Science and Technology, 46(6), 3060–3075. https://doi.org/10.1021/es2031505.

Naji, A., Nuri, M., Amiri, P., & Niyogi, S. (2019). Small microplastic particles (S-MPPs) in sediments of mangrove ecosystem on the northern coast of the Persian Gulf. Marine Pollution Bulletin, 146, 305-311. https://doi.org/10.1016/j.marpolbul.2019.06.033.

Pinto, C., Gamboa, A., Gutiérrez, G. Medina-Faull, L. E., Rojas de Gascue, B. (2021). Determinación del contenido y caracterización de plásticos de diferentes tamaños en sedimentos playeros recolectados al este de la comunidad El Peñón, Cumaná, estado Sucre. Determinación del contenido y caracterización de plásticos de diferentes tamaños en sedimentos playeros recolectados al este de la comunidad el Peñón, Cumaná, estado Sucre. 1er Congreso Internacional de Biodiversidad. 10.13140/RG.2.2.26949.32489.

Plastics Europe. (2019). Plastics – the Facts 2019 An analysis of European plastics production, demand and waste data.

Tejada, C., Quiñonez, E., & Peña, M. (2014). Contaminantes emergentes en aguas: metabolitos de fármacos. Una revisión. Revista Facultad de Ciencias Básicas 10(1), 80-101. https://doi.org/10.18359/rfcb.341.

Vidyasakar, A., Krishnakumar, S., Kasilingam, K., Neelavannan, K., Bharathi, V. A., Godson, P. S., Prabha, K., & Magesh, N. S. (2020). Characterization and distribution of microplastics and plastic debris along Silver Beach, Southern India. Marine Pollution Bulletin, 158(July), 111421. https://doi.org/10.1016/j.marpolbul.2020.111421.

VishnuRadhan, R., Eldho, T. I., & David, T. D. (2019). Can plastics affect near surface layer ocean processes and climate? Marine Pollution Bulletin, 140, 274-280. https://doi.org/10.1016/j.marpolbul.2019.01.052.

Wong, G., Löwemark, L., & Kunz, A. (2020). Microplastic pollution of the Tamsui River and its tributaries in northern Taiwan: spatial heterogeneity and correlation with precipitation. Environmental Pollution, 260, 113935. https://doi.org/10.1016/j.envpol.2020.113935.

Wright, S. L., Thompson, R. C., & Galloway, T. S. (2013). The physical impacts of microplastics on marine organisms: a review. Environmental Pollution (Barking, Essex : 1987), 178, 483–492. https://doi.org/10.1016/j.envpol.2013.02.031.

Zhang, C., Zhou, H., Cui, Y., Wang, C., Li, Y., & Zhang, D. (2019). Microplastics in offshore sediment in the Yellow Sea and East China Sea, China. Environmental Pollution, 244, 827–833. https://doi.org/10.1016/j.ecoenv.2019.109913.



Buscar:
Ir a la Página
IR
Modelo de publicación sin fines de lucro para conservar la naturaleza académica y abierta de la comunicación científica
Visor de artículos científicos generados a partir de XML-JATS4R