

Artículos Científicos
Proceso de jubilación: Estudio comparativo de relación entre factores de personalidad y estrategias de afrontamiento
Retirement process: Comparative study of the relationship between personality factors and coating strategies
Petroglifos Revista Crítica Transdisciplinar
Fundación Grupo para la Investigación, Formación, y Edición Transdisciplinar, Venezuela
ISSN-e: 2610-8186
Periodicidad: Semestral
vol. 4, núm. 2, 2021
Recepción: 01 Agosto 2021
Aprobación: 28 Noviembre 2021

Resumen: Este trabajo tuvo como objetivo realizar un estudio comparativo de los factores de personalidad y estrategias de afrontamiento entre el personal administrativo y docente en proceso de jubilación de la Universidad Centroccidental Lisandro Alvarado de Venezuela. Se aplicaron los instrumentos CSI y el NEO-FFI a una muestra de 56 empleados en edades comprendidas entre 50 y 64 años de los cuales, el 50% ocupaban un cargo administrativo y el otro 50% un cargo docente. Se procedió a evaluar las variables de Personalidad y Estrategias de Afrontamiento al calcular los valores de sus dimensiones en cada grupo. El personal docente obtuvo mayores puntuaciones en la dimensión de Neuroticismo (AS = 0,151 K = -1,585), mientras que el administrativo las tuvo en la dimensión de Amabilidad (AS = 0,004 K = -1,270). En la variable Estrategias de Afrontamiento se observó que el personal administrativo y docente presentan un manejo inadecuado, debido a que las dimensiones que lo conforman tuvieron puntuaciones medias más altas: Retirada Social Docente (AS = 0,602 K = - 0,811)/ Administrativo (AS = 0,894 K = 0,306), Evitación de Problemas Docente (AS= - 0,244 K = 0,431)/ Administrativo (AS = 0,110 0 K = -1,241). Asimismo, se encontraron correlaciones positivas leves entre la estrategia Resolución de Problemas y el rasgo Amabilidad (r = 0,352, p = 0,01), Restructuración Cognitiva con Neuroticismo (r = 0,360, p = 0,01) y esta a su vez, con Expresión Emocional (r = 0,326) y Apertura a la Experiencia (r = 0,327). El Neuroticismo se correlacionó negativamente con el rasgo amabilidad (r = -0,327, p = 0,05); así como Autocritica con la extroversión (r = -0,351). En este sentido, los resultados obtenidos indican la necesidad de implementar programas de jubilación que contemplen preparación previa mediante recursos psicólogicos para afrontar el proceso de retiro laboral.
Palabras clave: jubilación, personalidad, psicología organizacional, universidad.
Abstract: The objective of this study was to carry out a comparative study of personality factors and coping strategies among administrative and teaching staff in the process of retirement at the Universidad Centroccidental Lisandro Alvarado in Venezuela. The CSI and NEO-FFI instruments were applied to a sample of 56 employees between 50 and 64 years of age, 50% of whom held an administrative position and the other 50% a teaching position. The Personality and Coping Strategies variables were evaluated by calculating the values of their dimensions in each group. The teaching staff obtained higher scores in the Neuroticism dimension (AS = 0,151 K = -1,585), while the administrative staff had higher scores in the Agreeableness dimension (AS = 0,004 K= - 1,270). In the Coping Strategies variable, it was observed that the administrative and teaching personnel present inadequate management, due to the fact that the dimensions that comprise it had higher mean scores: Social Withdrawal Teaching (AS = 0,602 K = -0,811)/ Administrative (AS = 0,894 K = 0,306), Problem Avoidance Teaching (AS= -0,244 K = 0,431)/ Administrative (AS = 0,110 0 K = - 1,241). Likewise, slight positive correlations were found between the Problem Solving strategy and the trait Agreeableness (r = 0,352, p = 0,01), Cognitive Restructuring with Neuroticism (r = 0,360, p = 0,01) and this in turn, with Emotional Expression (r = 0,326) and Openness to Experience (r = 0,327). Neuroticism was negatively correlated with the trait Agreeableness (r = -0,327, p = 0,05); as well as Self-Criticism with Extroversion (r = -0,351). In this sense, the results obtained indicate the need to implement retirement programs that contemplate previous preparation through psychological resources to face the process of retirement.
Keywords: personality, organizational psycology, retirement, university.
Introducción
La jubilación es el momento dentro de la vida laboral de cada ser humano donde, por diversos motivos como la edad y otras circunstancias, de manera voluntaria o por obligación deben dar fin a su actividad de trabajo (Merino Tejedor y Elvira Zorzo, 2011). A lo largo de los años, ha sido relacionada con la vejez y la inutilidad laboral debido a que el trabajador deja su rol activo en la organización y pasa a tener un rol pasivo sin actividades laborales, dejando una gran disponibilidad de tiempo en el cual, las personas no son productivas como solían ser y que puede generar un conflicto, si no es llevado con una óptima capacidad. Sin embargo, nuevos estudios realizados en el área han determinado que las características antes mencionadas no siempre van de la mano con la jubilación (Merino Tejedor y Elvira Zorzo, 2011).
En el contexto venezolano, la jubilación está enmarcada en el sector público y se cuenta con una serie de regímenes que influyen en el proceso de jubilación siendo estas: el Régimen de Previsión Social de las Fuerzas Armadas (IPSFA), los regímenes de Jubilación de los profesores universitarios y del personal administrativo, el Régimen de Jubilaciones y Pensiones de los Funcionarios de la Administración Pública Nacional, de los Estados y de los Municipios, entre otros (Guevara Estacio, 2010).
Estas políticas tienen especificidades en cada organización y la Universidad Centroccidental Lisandro Alvarado (UCLA) cuenta con su propio reglamento interno en el cual, se establece que la desvinculación laboral puede darse tanto por el cumplimiento de la edad cronológica del empleado como por los años de servicio prestados, según los artículos 2 y 3 del Reglamento de Jubilaciones y Pensiones del Personal Administrativo y del Reglamento de Jubilaciones y Pensiones del Personal Docente y de Investigación, respectivamente.
Ahora bien, Guevara Estacio (2010) hace un análisis interesante y más positivo de la jubilación, mencionando que la desvinculación laboral no significa que la persona pierde sus capacidades o habilidades, por el contrario, el individuo puede utilizar este nuevo tiempo que tiene e invertirlo en obtener nuevas habilidades que lo lleven a adaptarse al nuevo ciclo de vida que está comenzando.
En este sentido, Hermida, Tartaglini y Stefani (2016) explican que la jubilación es un proceso complejo, cuya dificultad se basa en que la persona que está ingresando a este nuevo ciclo se enfrenta a diferentes cambios en diversos escenarios de su vida, como el tiempo invertido en el trabajo, lo cual lleva a que exista una reestructuración en su tiempo. Al no saber cómo emplear este nuevo espacio para mejorar su calidad de vida, la persona pierde esta posibilidad y el proceso se convierte en algo negativo (Moragas Moragas, 1991).
Es importante resaltar, que culturalmente al ser humano se le prepara para el trabajo y la producción, pero no hay una preparación para la vida después del trabajo (Ávalos Jara, Bravo Lloyd-Jones y Durán Villa, 2012), y al no tener una preparación o un plan para lo que puede significar la ausencia de actividad laboral, las personas pueden experimentar esta jubilación con una actitud pesimista.
Así, investigaciones relacionadas con el proceso de jubilación lo describen como parte de la gestión de recursos humanos de las organizaciones, dejando a un lado todos los factores psicosociales que pueden intervenir para que la persona viva la transición de manera satisfactoria (Valero Ibáñez, 2015). Por lo que, Guevara Estacio (2010) afirma que este proceso ha sido foco de estudio en el ámbito de la psicología organizacional, describiendo la jubilación como una separación del personal con la empresa; sin embargo esta etapa de la vida del trabajador va más allá de solo una separación con su empleador.
Los factores protectores psicosociales llamados estrategias de afrontamiento, fueron estudiadas por Lazarus y Folkman (1986), quienes los definen como esos impulsos que pueden ser cognitivos y/o conductuales y se utilizan para fomentar o disminuir todas aquellas exigencias, tanto internas como externas, que valoran si los recursos del individuo son excesivos o escasos, es decir, son aquellas habilidades que pueden ayudar a hacer frente a situaciones estresantes. Asimismo, Chico Librán (2002) explica que las estrategias de afrontamiento se pueden clasificar en tres categorías, a saber: a) afrontamiento focalizado al problema, el cual direcciona el cambio de los factores ambientales que generan malestar o estrés en el individuo; b) afrontamiento focalizado en las emociones, que se basa en restringir o suprimir aquellas emociones negativas que pueden formarse bajo un estado de estrés; y c) afrontamiento de evitación, que consiste en evitar una situación problema mediante distracciones o sencillamente no pensando en dicha situación.
Otro punto relevante en relación al uso de las estrategias de afrontamiento, son las características de personalidad que puedan relacionarse con el tipo de afrontamiento que utiliza una persona ante determinada situación (Costa y McCrae, 1985). Estos autores mencionan el modelo de los cinco factores, el cual plantea que la personalidad se organiza alrededor de cinco grandes dimensiones o rasgos denominados: neuroticismo (N), extroversión (E), apertura a la experiencia (O), agradabilidad (A) y conciencia (C), y considera que estos rasgos están presentes en todos los seres humanos.
En este sentido, Krzemien (2007) enfocó su estudio en estilos de personalidad y estrategias de afrontamiento frente a situaciones críticas del envejecimiento en mujeres adultas mayores, encontrando como resultado que los estilos de personalidad tienen un rol importante para el uso de las estrategias de afrontamiento en el envejecimiento femenino. De igual manera, en el estudio realizado por Bódalo y Caravca (2012) se resaltan las variables de personalidad como factores determinantes en este momento tan crucial en la vida laboral del sujeto, debido a que influyen en el afrontamiento satisfactorio y la adaptación al proceso de jubilación, siendo importante tomar en cuenta las variables individuales como lo emocional, los procesos cognitivos, la forma en que los individuos afrontan las situaciones y el locus de control que posee cada uno.
Aunque existen variedad de investigaciones en el área, hay pocos estudios que relacionen los factores de personalidad y las estrategias de afrontamiento en una población tan importante como los trabajadores próximos a jubilarse. No obstante, se destaca el trabajo de Henkes y Siegers (1994), quienes realizaron una categorización laboral con respecto a las funciones que cumplen los trabajadores en las organizaciones, donde estas influyen en la manera de observar la jubilación, encontrándose que la actitud positiva ante la jubilación se corresponde a los trabajadores que ocupan cargos de alto nivel y de mayor nivel educativo, los docentes universitarios entran en esta categoría. Por otro lado, la actitud neutra o negativa hacia la jubilación viene dada por características de trabajadores con cargos inferiores y menor nivel educativo, entrando así el personal administrativo en esta categoría.
En virtud a lo planteado anteriormente, se plantea como objetivo de este trabajo el realizar un estudio comparativo de los factores de personalidad y las estrategias de afrontamiento entre el personal administrativo y docente de la Universidad Centroccidental Lisandro Alvarado (UCLA) para brindar un nuevo aporte a la literatura y respuesta a las siguientes interrogantes: ¿Cuáles son los factores de personalidad presentes en el personal administrativo y docente en proceso de jubilación? ¿Cuáles estrategias de afrontamiento se presentan en el personal administrativo y docente en proceso de jubilación? ¿Qué resulta al comparar los factores de personalidad presentes en el personal administrativo y docente en proceso de jubilación? ¿Qué resulta al comparar las estrategias de afrontamiento en el personal administrativo y docente en proceso de jubilación? Todo esto con el fin de que se tomen en cuenta cada una de estas y sean trabajadas antes de la separación definitiva del trabajo, previendo a futuro que se puedan desarrollar programas de prejubilación, los cuales brinden herramientas para una mejor adaptación a esta etapa a la que inevitablemente todos los trabajadores se enfrentan.
Materiales y Métodos
Tipo y diseño de la investigación
El presente trabajo se enmarca en una investigación cuantitativa tipo comparativa, debido a que describe y compara las diferencias que se generan entre dos o más variables estudiadas de forma natural. Está orientada bajo un diseño de campo, el cual se caracteriza por la recolección de información en un ambiente real (Fidias Arias, 2006). Asimismo, está ceñida bajo un modelo no experimental debido a que no se manipulan las variables estudiadas sino que se documentan tal cual suceden para luego analizarlas (Hernández, Fernández y Baptista, 2014). Cabe destacar que este estudio fue de tipo transversal, en donde se estudió las variables de interés en un tiempo y un momento único y determinado (Hernández, Fernández y Baptista ob. cit ).
Población y muestra
La población fue seleccionada según los preceptos de Hernández, Fernández y Baptista (ob. cit), el cual la define “como el conjunto de todos los casos que concuerdan con una serie de especificaciones” (p. 210). Es así, que la población de este estudio estuvo conformada por 58 sujetos pertenecientes al personal administrativo y 32 docentes de la UCLA que están próximos al proceso de jubilación.
El muestreo fue de tipo no probabilístico intencional, el cual se caracteriza por el uso del juicio y por el esfuerzo deliberado de obtener una muestra representativa, incluyendo áreas o grupos típicos de la muestra (Kerlinger Fred y Lee Howard, 1988). En este trabajo, se estableció en la selección de la muestra que los sujetos tuvieran 50 años de edad o más; así como 20 años de servicio o más. Además, como una manera de equilibrar la cantidad de sujetos del personal administrativo y docente en vista de que existía una diferencia marcada entre ambos grupos, quedó como muestra total la cantidad de 28 administrativos y 28 docentes.
Variables
Variable A: Personalidad
Definición conceptual.
Para Costa y McCrae (1992) la personalidad consiste en los estilos individuales, emocionales, interpersonales, experienciales y motivacionales que hacen que cada persona sea diferente de otra (Martínez Uribe y Cassaretto Bardales, 2011). De igual manera la personalidad puede resumirse en cinco factores básicos: Neurotisismo, Extraversión, Apertura a la Experiencia, Agradabilidad y Conciencia.
Definición operacional.
Los factores de personalidad fueron medidos de acuerdo al puntaje logrado en el Cuestionario reducido de los cinco factores NEO-FFI en su adaptación por Martínez Uribe y Cassaretto Bardales (2011). La forma de evaluación fue a través de las puntuaciones T cuyo rango va desde ≤40, el cual se considera un puntaje bajo, >40 y <60 un puntaje medio, y ≥60 muy alto para cada factor de personalidad (cuadro 1).

Variable B: Estrategias de afrontamiento
Definición conceptual.
Según Lazarus y Folkman (1986) las estrategias de afrontamiento surgen en la persona debido a un estrés psicológico de una situación en particular, lo cual genera una relación entre las demandas que le exigen la situación y los recursos personales que tenga para enfrentarla.
Definición operacional.
Las estrategias de afrontamiento fueron medidas de acuerdo a los puntajes obtenidos en el Inventario de Estrategias de Afrontamiento (CSI) de Tobin et al. (1989) adaptada en una población española por Cano, Rodríguez y García et al. (2007), en donde las puntuaciones mayores indicaran el mayor grado de la variable (cuadro 2).

Instrumentos
Los Factores de Personalidad se midieron a través del instrumento de factores de personalidad NEO-FFI forma S, que fue construido por Costa y McCrae (1985) y lo denominaron NEO-PIR. En este estudio se utilizó la versión reducida y adaptada por Martínez Uribe y Cassaretto Bardales (2011) en una población peruana compuesta por 517 estudiantes universitarios.
Para responder el instrumento, se presentaron cinco opciones de las cuales se debía seleccionar una, estas van desde total desacuerdo hasta totalmente de acuerdo. El instrumento estuvo compuesto por 60 ítems que se distribuyeron entre cinco factores que son: a) extroversión, b) neuroticismo, c) apertura a la experiencia, d) amabilidad y e) conciencia (cuadro 1). Previo a la aplicación del instrumento, se determinó su confiabilidad mediante la prueba alpha de Cronbach, siguiendo los rangos establecidos por George y Mallery (2003): Excelente (>0,9); óptimo (>0,8); aceptable (>0,7); cuestionable (>0,6); pobre (>0,5); inaceptable (<0,5).
El valor obtenido de la prueba para el instrumento NEO-FFI fue de α = 0,68, reflejando una consistencia interna cuestionable. Asimismo, se calculó la confiabilidad de las dimensiones que conforman el instrumento, en donde se obtuvo para la dimensión Apertura a la experiencia un α = 0,84 lo que significa una consistencia interna optima, Neuroticismo tuvo un valor de α = 0,75; que es aceptable al igual que el constructo de Amabilidad (α = 0,70). La dimensión Conciencia tuvo un valor de α = 0,69; el cual es cuestionable y Extroversión un α = 0,49; considerado como inaceptable. La validez de constructo se determinó mediante un análisis factorial y rotación varimax, obteniendose una varianza de 15,16 para neuroticismo; 5,56 extroversión; 4,69 apertura; 3,89 amabilidad y 5,91 conciencia.
Las estrategias de afrontamiento (CSI) se midieron a través del Inventario de Estrategias de Afrontamiento elaborado por Tobin et al. (1989) y adaptado por Cano, Rodríguez y García (ob cit.) en una muestra de 337 personas adultas, recogida de forma incidental en actividades formativas en la provincia de Sevilla. En el Inventario se presentó una escala del 0 al 4 en donde la persona debe indicar, según la pregunta, la respuesta de cómo reaccionó (0 = en absoluto; 1 = un poco; 2 = bastante; 3 = mucho y 4 = totalmente).
Este test utiliza el puntaje de la media de cada dimensión y así determina cual es la estrategia que más utiliza la persona e indica si son estrategias de manejo adecuado o inadecuado. Este inventario está conformado por 40 ítems y sus dimensiones son las siguientes: a) Resolución de problemas, b) Reestructuración cognitiva, c) Apoyo social, d) Expresión emocional, e) Evitación de problemas, f) Pensamiento desiderativo, g) Retirada social y h) Autocrítica.
Para este instrumento, también se calculó el coeficiente de Alfa de Cronbach antes de su aplicación al personal docente y administrativo, y se obtuvo un valor de α = 0,84 lo cual significa que tiene una consistencia interna óptima. En cuanto a las dimensiones del mismo, se obtuvieron los siguientes valores: Apoyo Social (α = 0,85) y Resolución de Problemas (α = 0,83) con una consistencia interna optima; Expresión Emocional (α = 0,78), Evitación de Problemas (α = 0,76), Pensamiento Desiderativo (α = 0,73) y Autocritica (α = 0,72) con un coeficiente aceptable; y Retirada Social con un valor de α = 0,61 considerado como un valor de coeficiente cuestionable.
Aplicación de los instrumentos y análisis estadístico
Se asistió al área de Recursos Humanos en el rectorado de la UCLA donde se hizo entrega de los instrumentos. La aplicación de los instrumentos se realizó a trabajadores(as) que, según el reglamento de jubilaciones del personal administrativo y docente, hayan cumplido 20 años de servicio o con 50 años de edad. Se procedió a ubicar cada uno de los sujetos en sus puestos de trabajo y se les entregó cada instrumento, luego de explicarles el procedimiento. Al finalizar el proceso de recolección de la información, se llevó a cabo la corrección de los instrumentos y el procesamiento de los datos mediante la hoja de cálculo electrónica Microsoft© Excel 2010.
Los datos fueron analizados mediante estadística descriptiva para cada variable y sus dimensiones. Asimismo, se realizó una prueba no paramétrica U de Mann-Whitney para dos muestras independientes (α = 0,05), planteándose la siguiente hipótesis nula: “no existen diferencias significativas entre las variables estrategias de afrontamiento y factores de la personalidad en el personal administrativo y docente”. Finalmente, se realizó una prueba de correlación de Spearman Brown entre las variables estrategias de afrontamiento y los rasgos de personalidad en los docentes y el personal administrativo, cuyo valor del coeficiente oscila entre -1 y 1, donde -1 representa una correlación de magnitud fuerte negativa y 1 una correlación fuerte positiva.
Es importante destacar, que los niveles de correlación se establecieron según Martínez Ortega et al. (2009) con los siguientes rangos: correlación débil (0,20-0,50); moderada (0,51-0,75) y fuerte (0,76-1,00). Para estos análisis se usó el programa estadístico SPSS.
Consideraciones éticas
Es importante destacar que para la ejecución de la presente investigación se tomaron en cuenta consideraciones éticas a fin de cuidar la integridad de los participantes, es por ello que este estudio estuvo enmarcado bajo los artículos del Código de Ética Profesional (1991) de la Federación de Psicólogos de Venezuela, donde los artículos número 57, 59, 60, 63, 69, 70, resaltan el mantenimiento de confidencialidad, que es considerado como el resguardo y anonimato de los datos que proporcionan los participantes, donde lo suministrado por los mismos será únicamente para fines académicos. Igualmente, la voluntariedad que cada participante sea miembro de la investigación sin obligación alguna.
Previo a la aplicación del instrumento, se solicitó la aprobación de los directivos de la Universidad para realizar la respectiva aplicación al personal administrativo y docente. Asimismo, se solicitó el consentimiento a los participantes que serán miembros de la muestra, informándoles que la investigación tenía fines académicos y científicos, se les dio a conocer los procedimientos a los cuales serían sometidos, y de su derecho a negarse a participar.
Resultados y Discusión
Una vez aplicado los instrumentos y realizado el análisis descriptivo de las variables de estudio, se identificaron los factores de personalidad y las estrategias de afrontamiento que emplean los docentes y personal administrativo en el proceso de jubilación (cuadro 3).
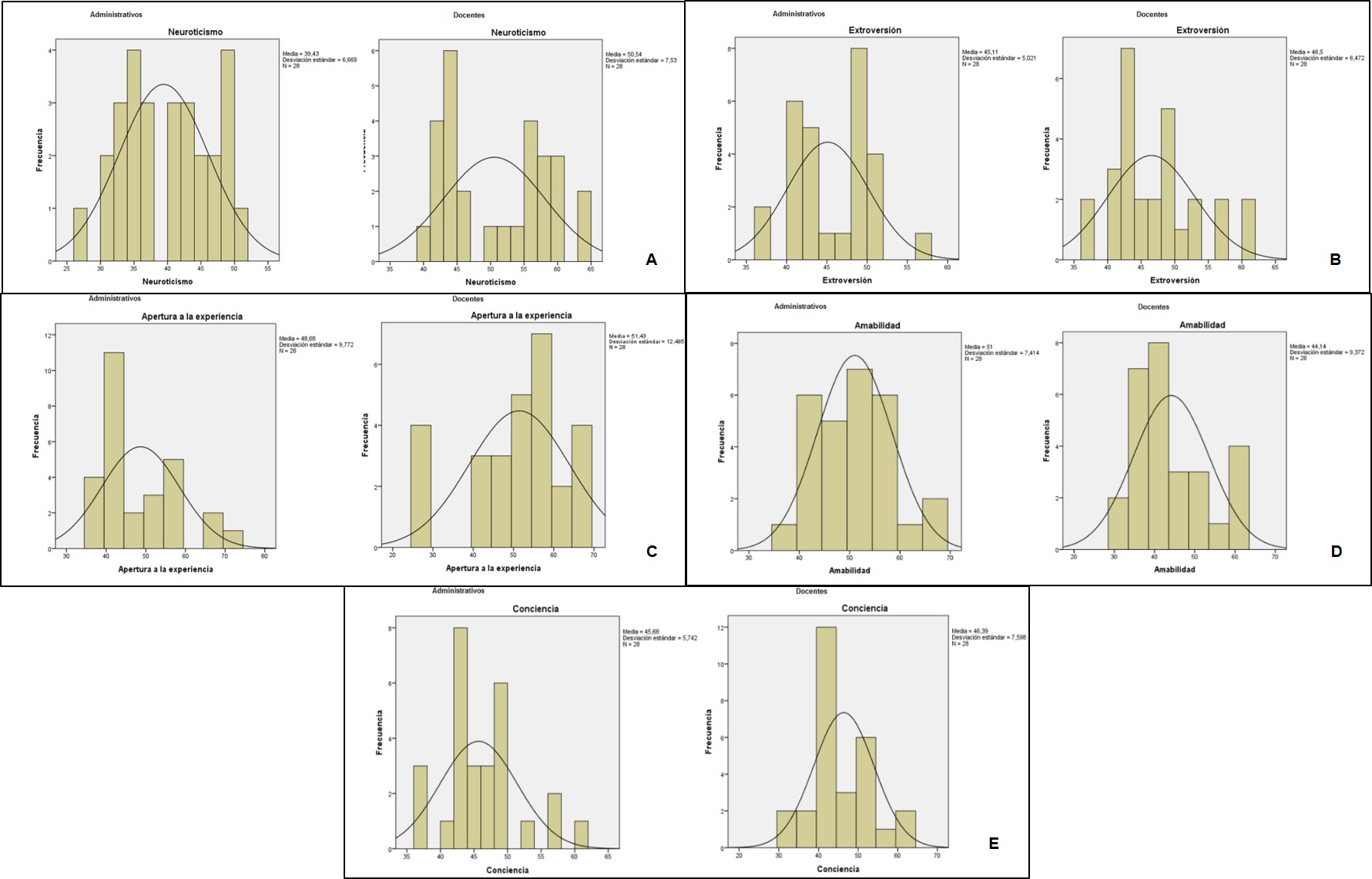
En relación a los rasgos de personalidad, en la dimensión Neuroticismo la media para el grupo administrativo fue de 39,43 (DT = 6,669), mientras que el grupo de docentes tuvo media fue de 50,54 (DS = 7,530). En la figura 1A se muestra que ambos grupos presentan una asimetría positiva y una distribución platicúrtica.

Los resultados indican que el grupo de docentes tienden a presentar niveles más elevados de miedo, preocupación, frustración e impulsividad que los del grupo administrativo. Docente (AS = 0,151 K = -1,585)/ Administrativo (AS = 0,004 K = -1,270).
Asimismo, el grupo administrativo obtuvo una media de 45,11 (DS = 5,021) y el de docentes de 46,50 (DS = 6,472) para la dimensión Extroversión; igualmente, ambos grupos reflejaron una asimetría positiva con una baja concentración alrededor de los valores centrales de la variable, siendo una distribución platicúrtica (figura 1B). Esto significa que, tanto los docentes como el personal administrativo, presentan aspectos como la sociabilidad con preferencia a grupos y reuniones, son asertivos, activos conversadores y con carácter impulsivo. Docente AS = 0,615 K = -0,433)/ Administrativo (AS = 0,216 K = -0,612).
En cuanto a las puntuaciones obtenidas en la dimensión Apertura a la Experiencia, la media para el grupo de administrativos fue de 48,68 (DS = 5,021) con una asimetría positiva, y para los docentes la media fue de 51,43 (DS = 12,485), presentando este una asimetría negativa. Además, los grupos muestran una distribución platicúrtica donde se presenta una baja concentración de valores en la región central de la distribución, lo cual indica que los grupos estudiados tienden a poseer niveles medios de apertura ante nuevas experiencias. Docente (AS = -0,798 K = -0,38)/Administrativo (AS = 0,833 K = -0,141) (Figura 1C).
Con respecto a la dimensión Amabilidad, en la figura 1D se muestra que la media del grupo administrativo fue de 51,00 (DS = 7,414) y para el grupo de docentes de 44,14 (DS = 9,37), con una asimetría positiva para los dos grupos y una distribución mesocúrtica para el grupo administrativo y platicúrtica en el grupo de docentes. Esto significa que el personal administrativo presenta mayores rasgos de confianza, franqueza, altruismo, actitud conciliadora, modestia y sensibilidad hacia los demás. Docente (AS = 0,903 K = -0,103)/ Administración (AS = 0,350 K = 0,048).
En la dimensión Conciencia, el puntaje de la media para el grupo del personal administrativo fue de 45,68 (DS = 5,742) y para los docentes de 46,39 (DS = 7,598), con una asimetría positiva y una distribución leptocúrtica, lo que indica que existe un elevado grado de concentración alrededor de los valores centrales de la variable. Esto quiere decir que, el personal docente y administrativo presentan niveles moderados de competencia, pulcritud, orden, sentido del deber, necesidad de logro, autodisciplina y deliberación en las actividades que realizan. Docente (AS = 0,413 K = 0,198)/ Administrativo (AS = 0,834 K = 0,757) (Figura1E).

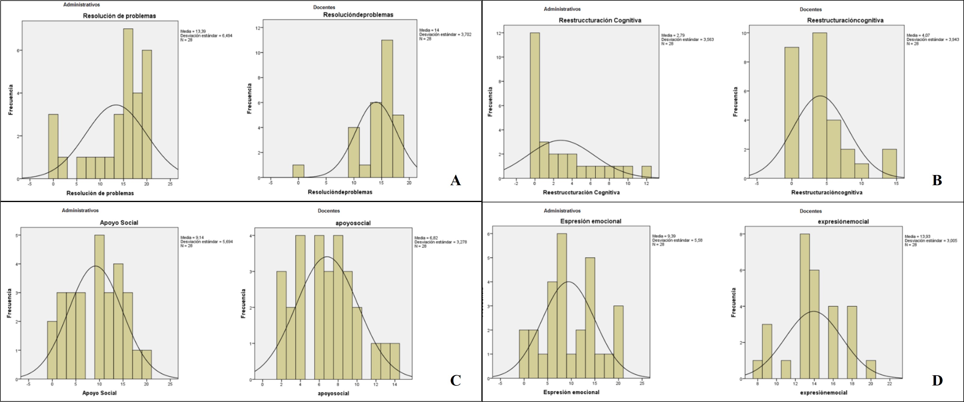
En cuanto a la variable de estrategias de afrontamiento, en la figura 2A se muestra la dimensión Resolución de Problemas, en la que el grupo administrativo presenta una media de 13,39 (DS = 6,494) y los docentes de 14,00 (DS = 3,702). Ambos grupos poseen una asimetría negativa con distribución leptocúrtica, lo cual quiere decir que hacen uso de estrategias cognitivas y conductuales encargadas de eliminar el estrés, modificando la situación que lo produce. Docente (AS = -2,180 K= 6,702)/ Administrativo (AS = -1,057 K = 0,029).
Por su parte, la dimensión Reestructuración Cognitiva cuyo histograma se presenta en la figura 2B, muestra que la media para esta dimensión en el grupo del personal administrativo fue de 2,79 (DS = 3,563), mientras que en el grupo de docentes fue de 4,07 (DS = 3,943), con una asimetría positiva en el grupo administrativo y negativa en el grupo docente, distribuyéndose en ambos de forma leptocúrtica. En consecuencia, los grupos estudiados hacen poco uso de estrategias cognitivas que modifican el significado de la situación estresante. Docente (AS = 1,098 K = 1,158)/ Administrativo (AS = 1,221 K = 0,470).
Asimismo, la figura 2C muestra los resultados obtenidos en la dimensión Apoyo Social, en la que el grupo del personal administrativo tuvo un valor medio de 9,14 (DS = 5,694) y el grupo de docentes de 6,82 (DS = 3,278), distribuyéndose los datos de manera asimétrica negativa en el grupo del personal administrativo y de forma asimétrica positiva en el grupo de docentes con forma platicúrtica para ambos grupos. Lo anterior indica, que el grupo del personal administrativo emplea con mayor frecuencia estrategias referidas a la búsqueda de apoyo emocional en contraste con el grupo de los docentes. Docente (AS = 0,347 K= -0,393)/ Administrativo (AS= -0,078 0 K= -1,041).
En la dimensión expresión emocional (figura 2D), el grupo de los docentes tuvo una media de 13,93 (DT = 3,005) y el grupo del personal administrativo de 9,39 (DT= 5,580), distribuyéndose los datos de forma asimétrica negativa en el grupo de docentes y asimétrica positiva en el de administrativos con forma platicúrtica. Estos resultados reflejan que el personal docente hace un mayor empleo de estrategias encaminadas a liberar las emociones que acontecen en el momento de estrés. Docente (AS= -0,102 K= -0,179)/ Administrativo (AS= 0,114 K= -0,693).

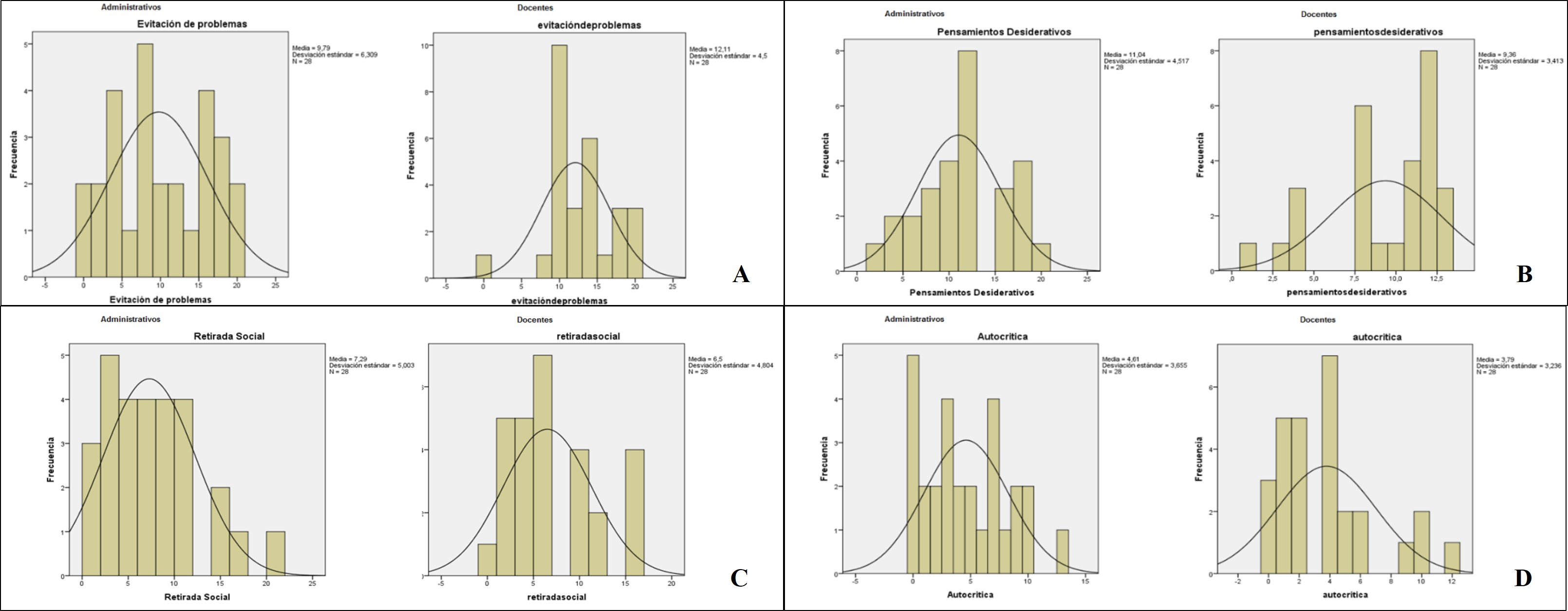
En cuanto a la dimensión Evitación de Problemas, la media para el grupo de los docentes fue de 12,11 (DS = 4,50), el cual presentó una asimetría positiva, mientras que el grupo de los administrativos tuvo una media para esta dimensión de 9,79 (DS= 9,79), con una asimetría negativa, además de una distribución platicúrtica presente en ambos grupos y con una concentración baja de valores (figura 3A). Estos resultados indican que ambos grupos hacen mayor uso de estrategias que incluyen la negación y evitación de pensamientos o actos relacionados con el acontecimiento estresante. Docente (AS= -0,244 K= 0,431)/ Administrativo (AS=0,110 0 K= -1,241).
Para la dimensión Pensamientos Desiderativos, en el grupo de los docentes la media fue de 9,36 (DS = 3,413) y en el grupo de personal administrativo fue de 11,04 (DS = 4,517), ambos grupos presentan una asimetría negativa con una baja concentración alrededor de los valores centrales de la variable, siendo una distribución platicúrtica (figura 3B). Estos resultados indican que ambos grupos hacen poco uso de estrategias cognitivas que reflejan el deseo de que la realidad no fuera estresante. Docente (AS = -1,010 K = 0,030)/ Administrativo (AS = -0,113 K = -0,732).
Acerca de la dimensión Retirada Social en el grupo de docentes, la media fue de 6,50 (DS= 4,804) y en el grupo de personal administrativo de 7,29 (DS = 5,003), con una asimetría positiva para ambos grupos y una baja concentración alrededor de los valores centrales de la variable, siendo una distribución platicúrtica. Estos resultados indican en consecuencia, que el personal administrativo y docente emplea mayormente estrategias de retirada con amigos, familiares, compañeros y personas significativas, asociada con la reacción emocional con el proceso estresante. Docente (AS = 0,602 K = -0,811)/ Administrativo (AS = 0,894 K = 0,306) (figura 3C).
Finalmente, la dimensión Autocrítica presentó una media de 3,79 en el grupo de los docentes y en el grupo de personal administrativo fue de 4,61, con una asimetría positiva en ambos grupos, y una distribución platicurtica para el grupo del personal administrativo y leptocúrtica en los docentes. Dichos resultados exponen que el grupo de administrativos emplea con mayor frecuencia estrategias basadas en la autoinculpación y la autocrítica por la ocurrencia de la situación estresante o un inadecuado manejo que el grupo de los docentes. Docente (AS= 1,062 K = 0,558)/ Administrativo (AS = 0,438 K = -0,674) (Figura 3D).

Ahora bien, al comparar las variables de estrategias de afrontamiento y factores de personalidad en el personal administrativo y docente mediante la prueba U de Mann- Whitney, se encontró que en la primera variable no hubo diferencias significativas entre ambos grupos en las dimensiones Resolución de Problemas (U = 359,000 P = 0,586), Restructuración Cognitiva (U = 313,500 P = 0,184), Apoyo Social (U=286,500 P=0,083), Evitación de Problema (U = 300,000 P = 0,130), Pensamientos Desiderativos (U = 320,000 P = 0,233), Retirada Social (U = 352,500 P = 0,515) y Autocrítica (U = 345,500 P = 0,443). Esto indica que el personal docente y administrativo hace uso de estas estrategias durante el proceso de jubilación (cuadro 4).

No obstante, se evidencio diferencias significativas en la dimensión Expresión Emocional entre ambos grupos (U = 182,500 P = 0,001), lo que significa que el grupo de los docentes emplean con mayor frecuencia estrategias que implican liberar las emociones que acontecen en el momento de estrés, que el grupo de personal de administración.
Es importante resaltar que en las Estrategias de Afrontamiento, se observaron puntuaciones altas en las dimensiones Expresión Emocional, Evitación de Problemas y Retirada Social. Asimismo, se obtuvo puntuaciones dentro de la media para las dimensiones Resolución de Problemas y Apoyo Social, y puntuaciones bajas en las dimensiones de Pensamientos Desiderativos y Autocritica.
Rubio y Castro (2013), plantean que las estrategias empleadas con mayor frecuencia en su población son aquellas orientadas al problema, es decir, las dimensiones Resolución de Problemas y Reestructuración Cognitiva y las de menor uso las estrategias como Apoyo Social y Expresión Emocional que entran en la categoría de las estrategias orientadas a las emociones.
De igual manera, Pereira et al. (2016) exponen que las estrategias enfocadas en el problema son las más utilizadas mientas que las enfocadas en la emoción son las que presentan menor uso en la población, siendo esto lo contrario a lo encontrado en la presente investigación en vista de que el personal docente hace mayor uso de la estrategia Expresión Emocional, la cual ayuda a liberar emociones que acontecen en el proceso de estrés y el personal administrativo hace mayor uso de la estrategia Apoyo Social, es decir, busca apoyo emocional al presentarse situaciones estresantes.
Aunado a esto, en la investigación llevada a cabo por Mayordomo et al. (2015), se muestra que la dimensión Apoyo Social resultó ser significativa en la población y dicho resultado está en concordancia con lo encontrado en este estudio, es decir, los empleados administrativos utilizan la estrategia de afrontamiento Apoyo Social.
De acuerdo con Guevara y Leal (2015), las dimensiones que tuvieron puntuaciones significativas en su investigación, fueron las de Negación y Evitación Cognitiva, lo cual indica que los participantes presentan ausencia de aceptación de la situación estresante, cambiando la apreciación del momento y convirtiéndolo en algo insignificante, debido a que el estado emocional de los sujetos se ha encargado de conducirlos a no confrontar ni ajustarse. Del mismo modo, los resultados obtenidos en el presente estudio reflejan que la estrategia de Evitación de Problemas obtuvo resultados por encima de la media, significando que tanto el personal administrativo como el personal docente, hacen uso de estrategias que incluyen la negación y evitación de pensamientos o actos relacionados con el acontecimiento estresante, como lo es la jubilación.
Ahora bien, Fernández, Crego, y Alcover (2008) observaron en los trabajadores con estudios básicos, como lo es el personal administrativo, mayores problemas con respecto a su salud, a su vez presentaban presiones organizacionales y estrés laboral durante el proceso de jubilación, es decir, un manejo inadecuado. Por el contrario, los trabajadores con niveles de estudios superiores como doctorados y postgrados, como el personal docente, tienen menores niveles de estrés, lo que es considerado como un manejo adecuado.
Los resultados obtenidos en esta investigación evidencian características que suponen diferencias ante el proceso de jubilación, ambos presentan estrategias que los ubican en un manejo inadecuado, indicando un afrontamiento desadaptativo centrado en el problema, bien sea evitando las situaciones estresantes o fantaseando realidades alternativas pasadas, presentes o futuras; así como también el aislamiento, la autocrítica y la autoinculpación.
No obstante, Echeverri Duque (2017) hace mención a que es necesario realizar más investigaciones con las variables jubilación y envejecimiento debido a la falta de hallazgos que permiten llegar a conclusiones o generalidades, lo cual es necesario para el campo de la psicología.
En cuanto a la variable de personalidad, se obtuvieron diferencias significativas al contrastar las medias de Neuroticismo (U = 125,500 P = 0,000) y Amabilidad (U = 198,500 P = 0,001) entre el grupo de docentes y personal administrativo, existiendo un mayor puntaje en Neuroticismo en el grupo de los docentes, mientras que el rasgo de amabilidad se expresa en mayor grado en el personal administrativo. Esto indica, según Sánchez-Izquierdo (2016), que los sujetos que presentan puntuaciones por encima de la media en esta Neuroticismo, son quienes están más propensos a experimentar emociones negativas y comportamientos no adaptativos. Esto concuerda con lo encontrado por Madrid García y Fayos Ruiz (2000), quienes mencionan que los niveles más altos de esta dimensión suponen la experimentación de emociones y comportamientos que perjudican la adaptación a las situaciones que normalmente suelen generar estrés (Cuadro 5).

Kesavayuth et al. (2016), por su parte, encontraron que las personas que tienen puntuaciones elevadas en la dimensión Neuroticismo presentan una disminución de los niveles de satisfacción en la retirada de la vida laboral. No obstante, mencionan que a mayores niveles en la dimensión Apertura a la Experiencia, mayores serán los niveles de satisfacción en la retirada de la vida laboral. En este estudio, los resultados obtenidos en dicha variable indican que el personal docente y administrativo presentan un nivel medio de la dimensión Apertura a la Experiencia (U = 297,500 P = 0,120), no encontrandose diferencias entre ellos. Esto indica que existe la tendencia a utilizar estrategias que les permiten adaptarse ante situaciones estresantes como lo es la jubilación.
Por otro lado, no se observó diferencias entre las dimensiones Extroversión (U = 351,000 P = 0,499) y Conciencia (U = 359,500 P = 0,592), lo que quiere decir que estos rasgos de personalidad tienen los mismos niveles en el personal docente y administrativo.
Ryan et al. (2017) mencionan que a mayor nivel de las dimensiones Apertura a la Experiencia y Conciencia, habrá un mayor efecto positivo global después del retiro, se explica entonces que en el personal docente y administrativo en proceso de jubilación presenten niveles moderados de apertura ante nuevas experiencias y de orden, sentido del deber, necesidad de logro y autodisciplina.
Con respecto a las dimensiones Apertura a la Experiencia, Amabilidad, Conciencia y Extraversión, en el estudio de Henning et al. (2017), se plantea que la mayoría de su muestra presentan puntuaciones por encima del promedio en dichas dimensiones, mientras que los resultados obtenidos en este trabajo muestran valores que se encuentran dentro de la media; sin embargo el personal administrativo presenta mayores niveles en la dimensión Amabilidad que los puntuados por el personal docente, como ya se mencionó.
Tomando en cuenta lo anterior, se puede afirmar que en la muestra estudiada de la UCLA, para el personal docente sus experiencias suelen estar acompañadas por emociones como miedo, terror, culpa, frustración, preocupación, ansiedad social, dificultad para el control de los deseos y los impulsos personales, entre otras características de la dimensión Neuroticismo. Por su parte el personal administrativo presenta características propias de la dimensión Amabilidad como lo son, el altruismo, apoyo emocional, confianza y franqueza para mostrar sus propias emociones.
En cuanto a la relación entre los factores de personalidad y estrategias de afrontamiento, se determinó que existe una correlación positiva leve entre la estrategia de Resolución de Problemas y el Rasgo de Amabilidad (r = 0,352, p = 0,01); así como entre la Reestructuración Cognitiva con el rasgo de Neuroticismo (r = 0,360, p = 0,01). No obstante, esta misma estrategia correlaciona de forma negativa leve con el rasgo Amabilidad (r = -0,327, p = 0,05).
De igual forma, la estrategia de afrontamiento Expresión Emocional se relaciona de manera positiva leve con Neuroticismo (r = 0,326) y con Apertura a la Experiencia (r = 0,327), ambas con un nivel de significancia de ɑ= 0,05. Asimismo, la Evitación de Problemas se relaciona de manera positiva leve con el rasgo de Apertura a la Experiencia (r = 0,328). Finalmente, la Autocrítica se relaciona de forma negativa leve con un nivel de significancia de 0,01 con el rasgo de extroversión (r = - 0,351) (cuadro 6).

En el estudio realizado por Cassaretto (2011), encontró correlaciones positivas con las dimensiones Neuroticismo con Manejo Inadecuado y correlaciones negativas en las dimensiones Conciencia con Manejo Inadecuado. Por su parte mantuvieron correlaciones positivas con las dimensiones de Extroversión y Conciencia con Manejo Adecuado.
En relación al presente estudio, las correlaciones positivas leves de las variables investigadas son: Amabilidad con Manejo Adecuado (resolución de problemas), Neuroticismo con Manejo Adecuado (expresión emocional), Apertura a la Experiencia con Manejo Adecuado (expresión emocional), Apertura a la Experiencia con Manejo Inadecuado (evitación). Asimismo, las dimensiones que correlacionan de manera negativa leve son: Amabilidad con Manejo Adecuado (reestructuración cognitiva) y Extroversión con Manejo Inadecuado (autocrítica).
Finalmente, en un estudio realizado por Amirkhan, Risinger y Swickert (1995), se reporta que la dimensión Extroversión se relaciona con todas las estrategias de afrontamiento y cómo se experimentan las situaciones que generan estrés en el individuo, esto no quiere decir que el autor sugiere que la Extroversión es el único factor de personalidad que puede correlacionar con las dimensiones de Estrategias de Afrontamiento.
Por lo tanto, los hallazgos de la investigación brindan un aporte significativo a la psicología organizacional, dando apertura a que se continúen las investigaciones en una población tan importante como lo son los trabajadores en proceso de jubilación, no solo en la Universidad, sino en otras organizaciones para así poder brindar herramientas para un mejor proceso de desvinculación laboral.
Conclusiones
1.- Tanto el personal administrativo como el docente, poseen niveles medios en las dimensiones de Extroversión, Apertura a la Experiencia y Conciencia. El personal docente presenta puntuaciones más altas que los administrativos en la dimensión de Neuroticismo. Por su parte el personal administrativo, presenta valores más altos que los docentes en la dimensión amabilidad.
2.- El personal administrativo y docente poseen niveles bajos de las dimensiones reestructuración cognitiva y pensamiento desiderativo, niveles medios de resolución de problemas y niveles altos de evitación de problemas y la dimensión retirada social. El personal administrativo obtuvo puntuaciones superiores con respecto al personal docente en las dimensiones apoyo social y autocritica, mientras que el personal docente obtuvo puntuaciones elevadas en la dimensión expresión emocional.
3.- Es importante destacar que ambos grupos hacen uso de un manejo inadecuado surgiendo un afrontamiento pasivo y desadaptativo ante el proceso de jubilación, esto se puede ver influenciado por la situación en la que se encuentra la universidad y la situación socioeconómica del país.
4.- Por tanto, a mayor amabilidad menor reestructuración cognitiva y a mayor extroversión menor autocritica. A mayor amabilidad mayor resolución de problemas, a mayor neuroticismo mayor expresión emocional, a mayor apertura a la experiencia mayor expresión emocional y por ultimo a mayor apertura a la experiencia mayor evitación.
Literatura Citada
Amirkhan, J., Risinger, R., y Swickert, R. (1995). Extraversion: a “hidden” personality factor in coping? Diario de la personalidad, 63 (2), 189-212. https://onlinelibrary.wiley.com/doi/10.1111/j.1467-6494.1995.tb00807.x
Ávalos Jara, M., Bravo Lloyd-Jones, V. y Durán Villa, V. (2012). Desvinculación laboral por jubilación Programa/acciones desarrolladas por las empresas Compañía de Acero del Pacífico (CAP) y ENAP Refinería Biobío, para sus trabajadores próximos a cumplir la edad legal [Tesis doctoral, Universidad de Concepción]. http://repositorio.udec.cl/jspui/handle/11594/1559.
Bódalo, E., y Caravaca C. (2012). La intervención preventiva desde el trabajo social en los conflictos surgidos en la jubilación. http://www.trabajosocialmalaga.org/revistadts/articulo.php?id=100.
Cano, F.; Rodríguez, L.; y García, J. (2007). Adaptación española del Inventario de Estrategias de Afrontamiento. Actas Españolas de psiquiatría, 35(1), 29-39.
Cassaretto, M. (2011). Relaciones entre la personalidad y el afrontamiento en estudiantes preuniversitarios. Revista Vanguardia Psicológica, 1 (2), 202-225. https://dialnet.unirioja.es/servlet/articulo?codigo=4815128.
Chico Librán, E. (2002). Optimismo disposicional como predictor de estrategias de afrontamiento. Psicotherma, 14 (3), 544-550. https://redalyc.org/pdf/727/72714306.pdf.
Costa, P. y McCrae, R. (1992). Revised NEO Personality Inventory (NEO PI - R) and NEO Five-Factor Inventory (NEO-FFI) Professional Manual. Psychological Assessment Resources, Inc.
Costa, P. y McCrae, R. (1985). The NEO Personality Inventory Manual. Psychology Assessment Resources.
Código de Ética Profesional. (1991). Federación de Psicólogos de Venezuela.http://fpv.org.ve/documentos/codigodeetica.pdf.
Echeverri Duque, L. (2017). Relación entre la satisfacción en el retiro y las estrategias de afrontamiento al estrés en el proceso de jubilación [Tesis doctoral, Universidad de Antioquia]. http://bibliotecadigital.udea.edu.co/bitstream/10495/14082/1/EcheverriLaura_2017_RelacionSatisfacciónRetiro.pdf.
Fernández, J., Crego, A., y Alcover, C. (2008). Relaciones entre factores sociodemográficos, motivación hacia el retiro temprano y satisfacción en la vida postlaboral: análisis exploratorio en una muestra de prejubilados españoles. Revista de Psicología del Trabajo y de las Organizaciones, 24 (3), 417-439. https://scielo.isciii.es/scielo.php?script=sci_arttext&pid=S1576-59622008000300008.
Fidias Arias, G. (2006). El proyecto de investigación. Introducción a la metodología científica (5° ed.). Episteme.
Geroge, D. y Mallery, P. (2003). SPSS for windows step by step: A simple guide and reference.11.0 update (4° ed.). Allyn & Bacon.
Guevara, A. y Leal, A. (2015). Estrategias de afrontamiento utilizadas en la jubilación por los miembros de la Policía Nacional del Departamento de Risaralda del año 2013.https://repositorio.ucp.edu.co/bitstream/10785/3016/1/DVDMPSI14.pdf.
Guevara Estacio, M. (2010). La jubilación en Venezuela: un enfoque teórico. Anales de la Universidad Metropolitana, 10, 209-225 https://dialnet.unirioja.es/servlet/articulo?codigo=3625176.
Henning, G., Hansson, I., Berg, A., Lindwall, M., y Johansson, B. (2017). The role of personality for subjective well-being in the retirement transition–Comparing variable-and person-oriented models. Personality and Individual Differences, 116, 385-392. https://doi.org/10.1016/j.paid.2017.05.017.
Henkes, K. y Siegers, J. (1994). Early retirement: The case of the Nertherlands. Review of Labour Economics and Industrial Relations, 8 (1), 143-154. https://doi.org/101111/j.1467-9914.1994.tb00220.x.
Hermida, P.D., Tartaglini, M. F., y Stefani, D. (2016). Actitudes y significados acerca de la jubilación: Un estudio comparativo de acuerdo al género en adultos mayores. Liberabit, 22 (1), 57-66. https://www.scielo.org.pe/scielo.php?script=sci_arttext&pid=S1729-48272016000100005&lng=es&tlng=es.
Hernández Sampier R., Fernández Collado, C. y Baptista Lucio P. (2014). Metodología de la investigación (6° ed.). McGraw-Hill. Interamericana Editores.
Kerlinger Fred, N. y Lee Howard, B. (1988). Investigación del comportamiento (4° ed.). McGrawn Hill.
Kesavayuth, D., Rosenman, R., y Zikos, V. (2016). Jubilación, Personalidad y Bienestar. Investigación económica, 54 (2), 733-750.
Krzemien, D. (2007). Estilos de Personalidad y Afrontamiento Situacional Frente al Envejecimiento en la Mujer. Interamerican Journal of Psychology, 41 (2), 139-150.
Lazarus, R., y Folkman, S. (1986). Estrés y procesos cognitivos. Martínez Roca.
Madrid García, A., y Fayos Ruiz, G. (2000). La preparación para la jubilación: Revisión de los factores psicológicos y sociales que inciden en un mejor ajuste emocional al final del desempeño laboral. Anales de Psicología, 16 (1), 87-99. https://www.redalyc.org/articulo.oa?id=16716109.
Martínez Ortega, R. M.; Tuya Pendás, L. C.; Martinez Ortega, M.; Pérez Abreu, A.; Cánovas, A. M. (2009). El coeficiente de correlación de los rangos de Sperman caracterización. Revista Habanerade Ciencias Médicas, 8(2), https://www.redalyc.org/pdf/1804/180414044017.pdf.
Martínez Uribe, P., y Cassaretto Bardales, M. (2011). Validación del Inventario de los Cinco Factores NEO-FFI en español en estudiantes universitarios peruanos. Revista Mexicana de Psicología, 28 (1), 63-74. https://www.redalyc.org/articulo.oa?id=243029630006.
Mayordomo, T., Sales, A., Satorres, E., y Blasco, C. (2015). Estrategias de afrontamiento en adultos mayores en función de variables sociodemográficas. Escritos de Psicología (Internet), 8(3), 26-32. https://dx.doi.org/10.5231/psy.writ.2015.2904.
Merino Tejedor, E., y Elvira Zorzo, M. (2011). Aproximaciones actuales en la investigación sobre la jubilación. INFAD Revista de Psicología, 4 (1), 85-90. https://dialnet.unirioja.es/descarga/articulo/5575452.pdf.
Moragas Moragas, R. (1991). Gerontología Social. Envejecimiento y calidad de vida. Herder.
Pereira, R., Lustosa, R., Gonçalvez, E., y Eulálio, M. (2016). Relationship between coping and subjective well-being of elderly from the interior of Brazilian Northeast. Psicologia: Reflexão e Crítica, 29(33), 1-8. https://doi.org/10.1186/s41155-016-0032-x.
Rubio, N., y Castro, M. (2013). La personalidad: variable individual y grupal en la gerencia de organizaciones. CICAG: Revista del Centro de Investigación de Ciencias Administrativas y Gerenciales, 10(1), 67-74. http://ojs.urbe.edu/index.php/cicag/article/view/616.
Ryan, L. H., Newton, N.J., Chauhan, P.K., y Chopik, W. J. (2017). Efectos de la personalidad, la salud y el bloqueo laboral antes de la jubilación en el bienestar subjetivo posterior a la jubilación. Problemas de traslación en la ciencia psicológica, 3(4), 378.
Sánchez-Izquierdo Alonso, M. (2016). Ante la jubilación: Tiempo de disfrute o tiempo de desencanto. Sal Terrae: Revista de Teología Pastoral, 104 (1209), 241-254.
Tobin, D., Holroyd, K., Reynolds, R., y Kigal, J. (1989). The hierarchical factor structure of the Coping Strategies Inventory. Cognitive Therapy and Research, 13, 343-361. https://doi.org/10.1007/BF01173478.
Valero Ibáñez, E. (2015). Preparación para la jubilación: análisis de los factores psicosociales que influyen en el ajuste personal en un estudio longitudinal [Tesis doctoral, Universidad Nacional de Educación a Distancia]. http://e-spacio.uned.es/fez/eserv/tesisuned:Psicologia-Evalero/VALERO_IBANEZ_Encarnacion_Tesis.pdf.

