

Publicación: 03 Enero 2022

Resumen: Este artículo pretende mostrar un análisis extendido de un estudio anterior realizado por los autores, donde se abordó el desempeño de TCP sobre un modelo de red OBS basado en los procesos regenerativos y la teoría de renovación de Markov, y su evaluación mediante simulación con el programa network simulator ns-2. Sin embargo, en este nuevo estudio, se aporta con una versión ampliada del throughput de TCP sobre redes OBS para fuentes de velocidad genéricas, considerando una ventana de tiempos de ensamblado de +-10%, en referencia al tiempo de ensamblado óptimo para el caso particular de Wx = Wmax, que en un estudio previo quedó abierto para trabajos futuros. Este nuevo análisis se realiza utilizando las versiones más comunes del protocolo TCP basadas en pérdidas, tales como Reno, NewReno y SACK, cuyos resultados se contrastan mediante simulación por computador, en términos del throughput de TCP y sus correspondientes errores teórico y experimental, teniendo presente las expresiones analíticas obtenidas en un artículo previo y en el análisis original sobre el que se basan estos estudios, dadas las diferencias encontradas en cuanto al desarrollo matemático del tiempo de ensamblado óptimo; manteniendo también el análisis para los escenarios con y sin la opción de ACK retardado, para un estudio comparativo entre dichas versiones.
Palabras clave: TCP, throughput, congestión, conmutación óptica de ráfagas, probabilidad de pérdida de ráfagas, simulador de redes ns-2.
Abstract: This article aims to show an extended analysis of the previous study carried out by authors, where the TCP performance on an OBS based network model was addressed based on regenerative processes and Markov renewal theory, and its evaluation by means of simulation using the network simulator program ns-2. However, in this new study, an expanded version of TCP throughput over OBS networks is provided for generic speed sources, taking into account an assembly time window of + -10%, in reference to the optimal assembly time for the particular case of Wx = Wmax, which in a previous study was left open for future work. This new analysis is performed using the most common versions of the loss-based TCP protocol, such as Reno, New Reno and SACK, whose results are contrasted by means of computer simulation, in terms of the performance of TCP and its corresponding theoretical and experimental errors, bearing in mind the analytical expressions obtained both in a previous article and the original analysis on which these studies are based, given the differences found in terms of its mathematical development on optimal assembly time expression; also maintaining the analysis for the scenarios with and without the delayed ACK option, for a comparative study between versions
Keywords: TCP, throughput, congestion, Optical Burst Switching (OBS), Burst Loss Probability (BLP), network simulator ns-2.
I. Introducción
Como se ha mencionado en los estudios previos [1][2], la tecnología OBS que se encuentra en estado de desarrollo e investigación, se podría visualizar como una alternativa prometedora para dar los primeros pasos hacia un Internet Óptico de nueva generación, y que podría adoptarse en el mediano plazo, dado que las constantes demandas de tráfico continuamente crecientes exigen cada vez nuevas soluciones más robustas y flexibles, que permitan transmitir grandes bloques de información a nivel 100% óptico, para garantizar una completa adaptación con el ritmo al que se incrementa la velocidad de transmisión a nivel óptico, en comparación con el dominio electrónico, donde a pesar de los avances tecnológicos que han surgido en los últimos años con el fin de incrementar cada vez más su capacidad de transmisión y procesamiento de la información, todavía continúa siendo un cuello de botella en comparación con su contraparte óptica.
En este sentido, las redes OBS ofrecen una solución atractiva para el Internet Óptico de próxima generación, ya que a través de un plano de control que requiere un reducido procesamiento electrónico y un plano de datos que utiliza bloques de información de mayor tamaño denominados ráfagas, constituidas de bloques agregados de datos (payload) que se transmiten de extremo a extremo a nivel todo óptico, pueden manejar de una forma más flexible y eficiente el tráfico por naturaleza a ráfagas de Internet, gracias a que aprovecha el beneficio de la multiplexación estadística, empleado en esta tecnología, la misma que se ubica en un nivel medio entre la conmutación de circuitos OCS (Optical Circuit Switching) y la conmutación de paquetes OPS (Optical Packet Switching).
Por otro lado, como es conocido que aproximadamente un 90% del tráfico que cursa a través de Internet utiliza TCP como protocolo de transporte [1], es importante su análisis en conjunto con nuevas tecnologías de conmutación ópticas como es el caso de OBS. En este sentido, y al igual que en el estudio previo, se utilizan las mismas variantes de TCP basadas en pérdidas como TCP Reno, TCP New Reno y SACK con indicaciones de TD y TO que suponen un nivel de congestión leve y severo respectivamente, y cuya principal diferencia radica en las fases de retransmisión y recuperación rápida (fast retransmit/fast recovery).
Este nuevo alcance se realiza con el fin de ampliar en la misma línea de investigación, el estudio del throughput de este protocolo para el caso particular de Wx = Wmax empleando rangos de tiempos de ensamblado de +-10% en referencia a sus valores óptimos para una fuente TCP con velocidad de acceso Ba = 200 Mbps y sus correspondientes niveles de pérdida, a diferencia del estudio previo realizado por [2] que contempló únicamente el tiempo de ensamblado óptimo con un único valor para (pb = 0.01 y Ba = 200 Mbps); esto teniendo en cuenta que de acuerdo a las expresiones matemáticas definidas en los estudios previos de [1][3], el tiempo de ensamblado óptimo no es constante para cualquier nivel de pérdida como el caso de Wx < Wmax, y sólo depende del tiempo de ida y vuelta sin ensambladores de ráfagas, RTT0, mientras que para el caso de Wx = Wmax el tiempo de ensamblado depende a más del RTT0, del nivel de pérdidas de ráfagas, pb, el ancho de banda de acceso, λ, y el tamaño máximo de la ventana de TCP, Wmax, por lo que se resulta ser más complejo; y es así que el hecho de esta nueva investigación, es justamente validar el impacto de la variación en los tiempos de ensamblado en torno a sus valores óptimos, con el fin de determinar si el mismo es importante o puede ser despreciable, puesto que en un ambiente real sería más complicado implementar una solución que ajuste el tiempo de ensamblado en base al nivel de pérdidas experimentado.
En vista de que los resultados entre las diferentes variantes es similar para el caso de Wx = Wmax, este análisis extendido se realizará con énfasis en la variante de TCP SACK, considerando que es la que mejor desempeño presenta en escenarios con múltiples pérdidas y además que, según las expresiones matemáticas obtenidas en los estudios previos, la expresión analítica que define el tiempo de ensamblado está asociada a dicha variante, cuyo análisis está centrado al régimen de estado estacionario del ciclo de vida de TCP cuando el throughput alcanza en su mayor parte la ventana de transmisión máxima, lo cual evidentemente se da cuando el nivel de probabilidad de pérdidas de ráfagas (BLP, Burst Loss Probability) es muy bajo (< 1x10-3).
El desarrollo de esta investigación se justifica técnicamente porque plantea esencialmente un estudio extendido a trabajos previos efectuados por [1][2], complementando el fundamento teórico con un módulo práctico que consiste en la implementación de un escenario basado en simulación, que aparte de extender la comprensión de esta tecnología, permitirá modelar un determinado sistema en función de las nuevas condiciones de operatividad a fin de obtener un comportamiento estimado que podría presentarse en un entorno real, donde el principal aporte es evaluar el nivel de impacto y variación del throughput de TCP en las cercanías del valor óptimo del tiempo de ensamblado para diferentes valores de pérdidas de ráfagas, dado que el modelo matemático define para el caso de Wx = Wmax, valores fijos de tiempos de ensamblado para un solo valor de pérdidas de ráfagas, mientras que en un ambiente real, normalmente se experimentarán ciertas variaciones o nivel de desviación con respecto a un determinado valor central.
II. Materiales y Métodos
El método utilizado para el desarrollo de esta investigación extendida se basa en: 1) un módulo descriptivo derivado de estudios anteriores, que han conducido al desarrollo y definición de expresiones matemáticas que representan un modelo general para fuentes de velocidad genérica del protocolo TCP sobre redes OBS, para cada una de las variantes clásicas más conocidas basadas en pérdidas como TCP Reno, TCP New Reno y TCP SACK; y 2) un modelo práctico que emplea el simulador de redes ns-2, para la evaluación del throughput de TCP sobre este tipo de redes y así poder contrastar los resultados con los modelos analíticos utilizados, a fin de analizar las diferencias encontradas, y determinar el grado de aproximación alcanzado para el caso particular de Wx = Wmax, considerando esta vez un rango de tiempos de ensamblado de +-10% en referencia a los valores óptimos obtenidos en función de niveles de BLP definidos entre 0.00001 y 0.0006, utilizando una fuente TCP con una distribución de tráfico exponencial y una velocidad de acceso Ba = 200 Mbps, la misma que para el estudio se considera como una fuente de velocidad rápida, que puede alcanzar en su mayor parte del ciclo de vida de TCP, el valor máximo de la ventana de transmisión Wmax.
A. Método analítico de TCP basado en pérdidas
Esta sección muestra el modelo analítico desarrollado a partir del principio de los procesos regenerativos o teoría de renovación de Markov con respecto a las implementaciones más comunes de TCP basadas en pérdidas analizadas, y su impacto en el throughput de TCP BLP (Burst Loss Probability) y el RTT para el caso de fuentes de velocidad genérica [4]:
(1)Donde,
S: Tamaño de la ráfaga medido en segmentos
λ: Ancho de banda de acceso expresado en segmentos por segundo (con λ=Ba/8/L, siendo L el tamaño del segmento)
Tb: Tiempo de ensamblado medido en segundos
Wmax: Tamaño máximo de la ventana TCP expresada en segmentos
Para mayor comprensión de las siguientes expresiones analíticas, se exponen a continuación ciertas notaciones relacionadas con un flujo TCP:
TDP: Período de pérdidas por tiple ACK duplicados, que consiste en un período entre dos de estos eventos
|TDPi|: Duración del i-ésimo TDPi (en segundos).
Yi: Número de segmentos enviados en un TDPi
Ya: Número de nuevos segmentos enviados en las rondas de envío adicionales que siguen a Xi
Xi: Número de rondas enviadas en un TDPi
Wj: Tamaño de la ventana de transmisión en la j-ésima ronda (en segundos) en un TDPi
TOP: Período de Time Out (TO)
|TOPi |: Duración del i-ésimo TOPi (en segundos)
Hi: Número de segmentos enviados en un TOPi
Q: Probabilidad de que la indicación de pérdida en la que termina un TDP sea un TO
RTT0: Tiempo de ida y vuelta en segundos sin considerar los tiempos de ensamblado
RTT: Tiempo de ida y vuelta en segundos considerando los tiempos de ensamblado
RTO: Valor del temporizador de retransmisión por TO
αi+1: Primer segmento de la (β+1)-ésima ráfaga perdida en un TDPi
γ: Número de segmentos adicionales enviados en la misma ronda después de que se pierde la (β+1)-ésima ráfagapb: Probabilidad de pérdida de ráfagas
b: Número de rondas transmitidas antes de recibir un acuse de recibo (ACK).
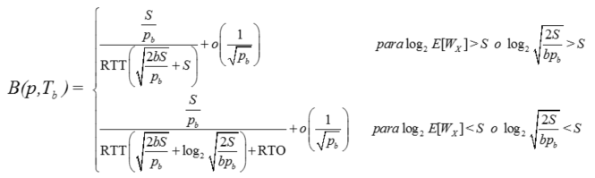
Para esquematizar un resumen en cuanto a las diferencias encontradas en las expresiones analíticas en los estudios previos de [1][2] con respecto al trabajo original realizado en [3], en la Fig. 1 se presenta un ejemplo del throughput de TCP SACK para una fuente con velocidad Ba = 200 Mbps considerando un Tb= 50ms para Wx<Wmax y un Tb=0.049 ms (con pb=0.001) para Wx=Wmax, que permite visualizar la región y variables involucradas: throughput de TCP B(pb, Tb) y el tiempo de ensamblado Tb.

a) casos Wx = Wmax y Wx < Wmax; y b) error teórico del throughput para los mismos casos
De hecho, en el estudio previo de [2] se analizó el impacto de estas diferencias en cuanto al throughput para el caso de Wx < Wmax y un caso particular para Wx = Wmax, que en este nuevo estudio la idea es ampliarlo a un rango de valores en base a ciertos Tb óptimos, definidos para determinados niveles de pérdidas de ráfagas.
1) TCP SACK
Se toma como punto de partida la expresión inicial general base para el cálculo del throughput de un flujo para cualquier variante de TCP en una red OBS, basada en el modelo de [5], con pérdidas tanto por TD como por TO, que se presenta a continuación:
(2)Donde,
B: Throughput de TCP en segmentos por segundo.
E[Y]: Media del número de segmentos transmitidos en el período TDP
E[H]: Media del número de segmentos transmitidos en el período TOP
E[TDP]: Media de la duración del período TDP (con E[X] igual a la media del número de rondas enviadas en el período TDP).
E[TOP]: Media de la duración del período TOP
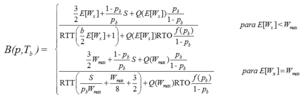
Así como también ciertas ecuaciones y variables aleatorias definidas en los estudios previos, se puede obtener la expresión completa, definida para el throughput de TCP SACK sobre redes OBS, como:
(3)2) TCP New Reno
Teniendo como referencia que el número total de paquetes transmitidos en un TDP es similar que en SACK, pero el TDP en New Reno contiene S rondas adicionales, de manera análoga al caso anterior, se obtiene la siguiente expresión completa para el throughput de TCP New Reno sobre redes OBS:
(4) 3) TCP Reno
Se considera de manera independiente el caso de pérdidas por TD y el de pérdidas mixtas por TD y TO, además el análisis realizado por [3], y las redefiniciones explicadas en [5], se consigue la siguiente expresión general del throughput de TCP New Reno sobre redes OBS:
(5) 4) Tiempo óptimo de ensamblado para TCP SACK
A diferencia del estudio previo realizado por [2], donde para el caso Wx=Wmax, se consideró únicamente el tiempo de ensamblado óptimo para una condición en particular (p=0.0001 y Ba=200 Mbps), este nuevo análisis mantiene la velocidad de la fuente TCP de Ba=200 Mbps pero cubre un espectro ampliado en cuanto a los tiempos de ensamblado con una ventana de +-10% con respecto a los valores óptimos basados en distintos niveles de pérdidas definidos, con valores muy bajos, que conducen al escenario donde las pérdidas de segmentos durante el ciclo de vida de una sesión TCP es mínimo, de manera que el throughput alcanza el máximo de la venta de transmisión de TCP. En este sentido, se expone a continuación la ecuación definida en cuanto al tiempo de ensamblado óptimo, que difiere significativamente de la expresión presentada en [3], como se pude apreciar en la Fig. 2; por lo que el error en la expresión original se puede deducir que es producto de una falla en cuanto a su desarrollo matemático:
Tb óptimo rectificado del presentado en [3], para el caso de Wx = Wmax:
(6)

a) Expresión analítica; y b) Error teórico
B. Método práctico basado en simulación por ordenador
Para la simulación por ordenador se utilizó la herramienta ns-2, con el módulo obs-0.9a, que fue adaptado en el estudio previo realizado por [6], donde se modificó principalmente el rango de pérdidas y sus correspondientes tiempos de ensamblado para el análisis.
En cuanto al procesamiento de la información obtenida del simulador ns-2, se emplearon funciones en lenguaje awk para filtrar los datos y variables de interés, fijando el tiempo de ensamblado a través de los rangos seleccionados, conjuntamente con programación sobre la herramienta gnuplot para construir gráficos en 3D que muestran el throughput en función de la BLP (Burst Loss Probability) y el tiempo de ensamblado Tb.
III. RESULTADOS Y DISCUSIÓN
Con el objetivo de evaluar el desempeño de las implementaciones clásicas de TCP basadas en pérdidas, con relación a los modelos analíticos expuestos anteriormente, se ha definido un escenario compuesto por un único emisor y un receptor TCP, cada uno conectado a un nodo de edge en la red OBS a través de un enlace de acceso considerado sin pérdidas, complementado de un enlace DWDM que conecta dichos nodos OBS, caracterizado con una probabilidad de pérdida pb con distribución de tipo Bernoulli, sólo en el sentido del flujo de los datos y no en el opuesto asociado al envío de los reconocimientos (ACKs), es decir, desde el origen TCP (servidor) hacia el destino TCP (cliente), con el proceso de ensamblado de ráfagas en ambos routers de edge.
En la Fig. 3 se presenta el modelo a ser simulado, basado en el estudio realizado por [7]; mientras que en la Tabla 1 se indican los valores de los parámetros de configuración definidos, para la ejecución y posterior análisis de los resultados de la simulación.


Sobre este modelo de red se realizaron simulaciones en el rango de pérdidas establecido, considerando rangos de Tb con referencia a los tiempos de ensamblado óptimos obtenidos de la ecuación (6) para Ba = 200 Mbps y diferentes niveles de pérdida definidos de pb=0.00001, 0.0025, 0.0005, 0.0001, 0.00025 y 0.0006, correspondientes a puntos centrales desde los cuales se generan rangos de +-10% para obtener sus correspondientes rangos de Tb, con el fin de evaluar el throughput de TCP en las cercanías del punto más idóneo dentro de una ventana de +/-10% de los Tb óptimos antes mencionados, para analizar sus diferencias, teniendo presente que en una implementación real siempre existen variaciones que pueden fluctuar entre un rango de valores. Además, se pretende encontrar el impacto de dicha variación, en cuanto al nivel de diferencia encontrado en el estudio previo, derivado de la divergencia en las expresiones matemáticas que se mencionaron anteriormente.
A. Análisis sin la opción de ACK retardado
A continuación, se presenta en la Fig. 4, el throughput de TCP en función de la BLP y los rangos de Tb obtenidos de los niveles de BLP (Burst Loss Probability) seleccionados, tanto a nivel teórico empleando las ecuaciones antes definidas, así como a nivel práctico según las estadísticas adquiridas por simulación, contrastando estos resultados para TCP SACK, TCP Reno y TCP New Reno. En el análisis, se hace énfasis en TCP SACK puesto que los diferentes valores de Tb óptimos están relacionados con esta variante.
Por otro lado, se presenta también el error experimental comparando la expresión analítica del throughput con los valores simulados, que para niveles de pérdidas inferiores al 1x10-4 son menores al 0.7% y por lo tanto el modelo analítico es bastante cercano al ambiente de simulación. Adicionalmente, al comparar la diferencia del error experimental entre el obtenido para el Tb óptimo y los valores cercanos de +-10%, se encontró que la diferencia es muy pequeña con valores inferiores al 0.15%, por lo que se puede considerar que el impacto de la variación de Tb con respecto a su valor óptimo es prácticamente nulo. Por otra parte, para valores de pérdidas mayores a 1x10-4 y cercanos al límite superior de 0.00063 el error experimental es inferior del modelo analítico en comparación con los resultados simulados incrementa a cerca del 4%, mientras que la diferencia entre el error experimental entre el obtenido para el Tb óptimo y los valores cercanos de +-10% incrementa a valores entre el 0.9% y el 1.4%, que todavía podrían ser aceptados.

B. Análisis con la opción de ACK retardado
Al igual que en el caso anterior, en la Fig. 5 se presentan los resultados de las mismas simulaciones antes mencionadas para el caso de TCP SACK, con la diferencia de que se utilizó la opción de ACK retardado, que se emplea usualmente en los sistemas actuales para reducir el overhead de los reconocimientos o acuses de recibo, y que dentro del desempeño de TCP sobre redes OBS, se observa una reducción mínima inferior al 1.1% para valores de pérdidas inferiores a 1x10-4, que por el contrario se incrementa a valores considerables de entre el 2% y 6% para niveles de BLP (Burst Loss Probability) superiores, que se puede deducir se deben al mayor impacto de la BLP en el throughput sumado al tiempo adicional que tiene que esperar el emisor para recibir los ACKs, y por ende, que los mismos se puedan ensamblar en el router de edge de la red OBS, dando lugar a un menor throughput; además se presenta el error experimental comparando la expresión analítica del throughput con los valores simulados, que para niveles de pérdidas inferiores a 1x10-4 son menores al 1.7% y por lo tanto el modelo analítico es bastante cercano a los datos obtenidos del ambiente de simulación. Adicionalmente, al comparar la diferencia del error experimental entre el obtenido para el Tb óptimo y los valores cercanos de +-10%, se encontró que la diferencia es muy pequeña con valores inferiores al 0.1%, por lo que se puede considerar que el impacto de la variación de Tb con respecto a su valor óptimo es prácticamente nulo. Por otra parte, para valores de pérdidas mayores a 1x10-4 y cercanos al límite superior cercano a 0.00063, el error experimental del modelo analítico en comparación con los resultados simulados se incrementa a cerca del 5%, mientras que la diferencia entre el error experimental entre el obtenido para el Tb óptimo y los valores cercanos de +-10% se incrementa a valores entre el 0.3% y el 4%, que ya no se tornan despreciables, y por ende no se pueden considerar aceptables.

Finalmente, podemos ver en la Fig. 6, una comparación entre todos los resultados de simulación de las variantes de TCP, donde tanto para el caso sin ACK retardado como para el caso con ACK retardado, si el nivel de pérdidas es muy bajo (< 0.00025) todas las variantes presentan resultados similares, con un throughput cercano al máximo en el rango de valores de +-10% en el que varía el tiempo de ensamblado respecto de sus valores óptimos para cada nivel de pérdidas definidos, siendo evidente que para el segundo caso, el throughput de todas las variantes de TCP es menor, debido a un menor número de segmentos transmitidos, ya que la tasa con la que se inyectan los segmentos a la red, depende de la tasa de recepción de ACKs (menor número con ACK retardado).
Por otro lado, a medida que las pérdidas se incrementan, TCP SACK presenta un rendimiento superior al resto de versiones, debido a que esta implementación es más robusta frente a múltiples pérdidas, dado su mecanismo recuperación selectiva de segmentos, a diferencia del esquema de recuperación acumulativa que utilizan las demás variantes, de TCP Reno y NewReno. De igual manera en la mayoría de los casos, TCP Reno presenta el menor desempeño de las tres variantes debido a que no se puede recuperar frente al caso de múltiples pérdidas.

a) sin ACK retardado; y b) con ACK retardado
IV. CONCLUSIONES
En comparación con el estudio anterior, se puede apreciar que para niveles de pérdidas bajos (< 1x10-4) el modelo analítico presenta un buen grado de aproximación en contraste con los datos obtenidos del ambiente de simulación, dado que la expresión analítica del throughput cae dentro del régimen de estado estacionario del ciclo de vida de un flujo TCP, donde el nivel de correlación es alto y en su mayor parte la ventana de TCP es igual a la ventana de transmisión máxima, y además que TCP se puede recuperar de las pérdidas aleatorias presentas, ya que no se llega al estado de inicio lento (slow start), donde se reinicia la transmisión. Las diferencias principales se evidencian para valores de mayor nivel de pérdida (> 0.0006) y se deben a que para una BLP (Burst Loss Probability) alta, el valor del tamaño de la ráfaga se reduce significativamente, conduciendo a que el valor de ecuación se encuentre entre los valores máximo y mínimo, debido a que la ventana de TCP se reinicia a la fase de inicio lento (slow start), la cual no se considera en este análisis, que está enfocado en el régimen de estado estacionario de TCP.
El throughput de TCP experimenta una disminución mínima, inferior al 1.1% cuando se utiliza la opción de ACK retardado, para niveles de pérdidas bajos (< 1x10-4), mientras que se incrementa entre un 2% y 6% para niveles de pérdidas mayores, debido al mayor impacto de la BLP sumado a la reducción de tasa de transmisión de ACKs, que resultan en el envío de un menor número de paquetes por ráfaga, acentuando en mayor medida esta diferencia.
Para las versiones de TCP analizadas, se encontró que SACK ofrece normalmente un mayor throughput que las demás variantes, dado el esquema de reconocimiento selectivo que le permite recuperase más eficientemente de las pérdidas que podrían presentarse en la red de manera aleatoria, debido a las contenciones que se pueden experimentar en este nuevo paradigma de OBS.
Referencias
[1] A. Venegas & M. Jimenez, “Evaluación del Desempeño de las Variantes de TCP basadas en pérdidas sobre Redes de Conmutación Óptica de Ráfagas (OBS, Optical Burst Switching)”. Maskana. ISSN: 1390-6143. Número Especial, pag. 133-148. Actas del IV Congreso Ecuatoriano de Tecnologías de la Información y Comunicación – TIC.EC 2018.
[2] A. Venegas, P. Venegas, and J. Freire, “Extended Evaluation of Loss-Based TCP Variants Performance over Optical Burst Switching (OBS) Networks case of Wx < Wmax and a particular case of Wx = Wmax”, International Conference on Intelligent Information Technology (pp. 294-305). Springer, Cham, 2020.
[3] Yu, X., Qiao, C., Liu, Y., & Towsley, D.: Performance evaluation of TCP implementations in OBS networks. Tech. Rep. 2003-13, 2003.
[4] Venkatesh, T., Murthy, C. S. R., & Murthy, C. S. R.: An analytical approach to optical burst switched networks (Vol. 2010). New York: Springer, 2010.
[5] Padhye, J., Firoiu, V., Towsley, D., & Kurose, J.: Modeling TCP throughput: A simple model and its empirical validation. In Proceedings of the ACM SIGCOMM'98 conference on Applications, technologies, architectures, and protocols for computer communication, pp. 303-314, 1998
[6] Martinez-Yelmo, I., Soto, I., Larrabeiti, D., & Guerrero, C.: A simulation based study of TCP performance over an Optical Burst Switched backbone with 802.11 access. In Meeting of the European Network of Universities and Companies in Information and Communication Engineering (pp. 120-127). Springer Berlin, Heidelberg , 2007.
[7] Detti, A. & Listanti, M.: Impact of segments aggregation on TCP Reno flows in optical burst switching networks. In INFOCOM 2002. Twenty-First Annual Joint Conference of the IEEE Computer and Communications Societies. Proceedings. IEEE Vol. 3, pp. 1803-1812, 2002.
Enlace alternativo
https://lajc.epn.edu.ec/index.php/LAJC/article/view/292 (pdf)

