

Editorial
Los retos de la actual pandemia
The challenges of the current pandemic
Pädi Boletín Científico de Ciencias Básicas e Ingenierías del ICBI
Universidad Autónoma del Estado de Hidalgo, México
ISSN-e: 2007-6363
Periodicidad: Semestral
vol. 8, núm. 15, 2020

Resumen: El nuevo coronavirus SARS-CoV-2 (Coronavirus Disease 19 COVID-19), surgió a finales del 2019 en la ciudad de Wuham en la provincia de Hubei en la República Popular de China. Su propagación al mundo entero ha sido muy rápida y en muy poco tiempo. Esta epidemia constituye un enorme reto para la comunidad científica en todo el mundo, puesto que se requiere de información sobre la dinámica epidemiológica a distintos niveles, a fin de establecer las políticas de salud pública que permitan reducir el número de contagios en el menor tiempo posible, a falta de tratamientos aprobados o vacunas desarrolladas. También nos enfrentamos a una gran cantidad de información falsa, que se propaga más rápido que la pandemia, y que sumada al aislamiento, se ha convertido ya en un problema de salud pública. Estamos ante un fenómeno complejo que está poniendo a prueba nuestra capacidad para el trabajo multidisciplinario eficiente.
Palabras clave: Pandemia, Investigación científica, Divulgación científica, Modelación matemática.
Abstract: The new SARS-CoV-2 coronavirus (Coronavirus Disease 19 COVID-19), emerged in late 2019 in the city of Wuham in the province of Hubei in the People’s Republic of China. Its spread to the whole world has been very fast and in a very short time. This epidemic constitutes a huge challenge for the scientific community worldwide, since information on epidemiological dynamics is required at different levels, in order to establish public health policies that allow reducing the number of infections in the shortest possible time, in the absence of approved treatments or developed vaccines. We are also faced with a large amount of false infor- mation, which spreads faster than the pandemic, and which, added to the isolation, has already become a public health problem. We are facing a complex phenomenon that is testing our capacity for efficient multidisciplinary work.
Keywords: Pandemic, Scientific Research, Popular Science, Mathematical Modeling.
1. Introducción
En diciembre de 2019 se reportó la enfermedad coronavirus 2019 (COVID-19 por coronavirus disease 2019). Se registró en Wuhan, China, y rápidamente se propagó en todo el país en pocas semanas, y se comenzó a extender a otros países en todo el mundo. El 11 de marzo, la Organización Mundial de la Salud (WHO) declaró al brote de coronavirus como una pandemia.
Al día de hoy, no hay tratamiento farmacológico, ni vacunas o antivirales aprobados para el tratamiento de COVID-19 (Heymann and Shindo, 2020).
La disponibilidad de datos exactos y robustos sobre las pruebas de laboratorio al inicio de un brote epidémico es muy importante para guiar las decisiones de salud pública. Los registros de la información epidemiológica son fundamentales para entender él mecanismo de transmisión, el riesgo geográfico de dispersión, las rutas de transmisión, los factores de riesgo para la infección, pero también son el punto de partida para la modelación, que servirá para establecer planes de respuesta y esfuerzos de contención para reducir el tamaño de la epidemia. Además, la modelación puede emplearse para decidir dónde priorizar la vigilancia epidemiológica (Xu and Kraehmer, 2020).
En el caso de nuevos patógenos como el SARS-CoV-2, la modelación matemática de la transmisión en distintos escenarios, es el método más rápido y eficiente para generar información para la toma de decisiones. Koo adaptó un modelo usado para la simulación de la propagación de influenza con datos granulares de la composición y comportamiento de la población de Singapur, para evaluar las consecuencias de intervenciones específicas de distanciamiento social en la dinámica de transmisión del SARS-CoV-2 Lewnard and Lo (2020). Consideraron tres escenarios de infectividad: Ro = 1.5, 2, 2.5, y supusieron que entre el 7.5 % y el 50 % de los infecciosos son asintomáticos. Las intervenciones fueron cuarentena con y sin cierre de escuelas y distanciamiento en los centros trabajo. La intervención combinada en donde la cuarentena, el cierre de escuelas y el distanciamiento en los centros de trabajo se implementó, resultó ser la más efectiva. Comparada con el escenario de no intervención, la intervención combinada redujo la estimación de la mediana promedio de infecciones en 99.3 % con R0 = 1.5, en 93% con Ro = 2 y en 78.2% cuando Ro = 2.5
2. La investigación científica
El brote de síndrome respiratorio agudo severo (SARS) en 2003, arrojó mas de 8000 casos y 800 muertes. Ese brote fue contenido por medio de vigilancia sindrómica, rápido aislamiento de los pacientes, estricta cuarentena para todos los contactos, y en algunas áreas la imposición de cuarentena a toda la comunidad. Al interrumpir la transmisión entre humanos, el SARS fue erradicado efectivamente. En contraste, para febrero de 2020, dos meses después desde el inicio del brote de COVID-19 (SARS-CoV-2), habían más de 82000 casos confirmados, con más de 2800 muertes. Aunque existen similitudes entre el SARS y el COVID-19, las diferencias en las características del virus determinarán qué medidas usadas en el caso del SARS son también exitosas en la contención de la pandemia de COVID-19 (Wilder-Smith et al., 2020). El COVID-19 difiere del SARS en el periodo infeccioso, transmisibilidad, severidad clínica y grado de propagación en la comunidad. Para el 25 de abril, ya se registraban 2790986 casos confirmados y 195920 defunciones.
El SARS-CoV-2 es el séptimo miembro de la familia de los coronavirus, de los cuales el beta-coV comparte el 70 % de similaridad en la secuencia genética (Wu et al., 2020). Así como el SARS-CoV, el MERS-CoV y otros coronavirus, el SARS- CoV-2 parece estar originado en los murciélagos, pero se requiere confirmación adicional. Se ha encontrado que este virus es 96 % idéntico al genoma completo del coronavirus en murciélagos, lo que significa que los murciélagos son los hospederos más probables del SARS-CoV-2.
Se han observado diversas manifestaciones clínica en pacientes con SARS-CoV-2. Se han registrado casos leves, moderados, severos y de muy rápido progreso y enfermedad fulminante. La mayoría de los pacientes se clasifican en casos leves y la mortalidad ha sido menor que en el caso del SARS-CoV y del MERS-CoV (Wu et al., 2020).
El equipo encabezado por Qun Li estudio´ los primeros 425 primeros casos confirmados en Wuhan, provincia de Hubei, China, para determinar las características epidemiológicas del COVID-19 (Li et al., 2020). La edad promedio fue de 59 años y el 56 % eran hombres. El 55 % de los casos con inicio antes del primero de enero de 2020 estaban relacionados con el Mercado de Huanan. El periodo de incubación promedio fue de 5.2 días. En las primeras semanas, la epidemia se duplicaba cada 7.4 días. El número reproductivo básico R0 se estimó en 2.2, con un intervalo serial promedio de 7.5 días (Li et al., 2020).
Usando las bases de datos de los hospitales Jin Yin-tan y Tongji, Ruan y sus colaboradores (Ruan et al., 2020) realizaron un estudio retrospectivo. Sus casos incluyeron información demográfica, de características clínicas, resultados de laboratorio y opciones de tratamiento. Para el análisis estadístico usaron pruebas t de Student o pruebas de Mann-Whitney-Wilcoxon; las variables categóricas se compararon con pruebas χ2 o pruebas F. Ellos alertaron sobre la importancia de poner atención no sólo en los síntomas de disfunción respiratoria sino también en el daño cardiaco. Sus resultados sugieren que un desenlace fatal en casos de COVID-19 incluye la edad (mayores de 65 años), la presencia de enfermedades subyacentes, la presencia de infecciones secundarias y elevados indicadores inflamatorios en la sangre.
Yang Liu y su equipo realizaron un análisis de la dinámica viral en casos severos y leves de COVID-19 (Liu et al., 2020b). Ellos encontraron que la carga viral promedio en los casos se- veros fue aproximadamente 60 veces mas grande que la encontrada en los casos leves, lo que sugiere que la carga viral puede estar asociada con los resultados clínicos severos. Ellos analizaron 76 casos de pacientes del First Affiliated Hospital of Nanchang University, entre el 21 de enero y el 4 de abril. Ninguno de los casos leves requirió de la unidad de cuidados intensivos. Sugieren que los pacientes con condición severa tienden a registrar una carga viral mayor y un periodo de dispersión de virus más largo.
Con la información de China, Baud y su grupo estimaron las tasas de mortalidad al dividir el número de muertes en un determinado día entre el número de pacientes confirmados con COVID-19 catorce días antes (Baud et al., 2020). Con los datos del número acumulado de muertos reportados a la Organización Mundial de Salud al primero de marzo, la tasa de mortalidad sería de 5.6 % para China y 15.2 % fuera de China. El valor de las estimaciones en la tasa de mortalidad aumentara´ si se considera un retardo mayor entre el inicio de la enfermedad y la muerte.
Se ha encontrado que el COVID-19 tiene características epidemiológicas diferentes a las del SARS-CoV. El COVID-19 se replica eficientemente en el tracto respiratorio superior, y parece que el inicio de los síntomas no es abrupto, como ocurre los coronavirus humanos convencionales (Heymann and Shin- do, 2020).
Durante los primeros meses de 2020, la única opción disponible para el tratamiento es el uso antivilares de amplio espectro como análogos de Nucleosida y también inhibidores de la proteasa que puede atenuar la infección del virus, hasta que se disponga de un antiviral específico (Rothan and Byrareddy, 2020). Actualmente, diversos grupos de científicos trabajan en el desarrollo de un modelo no humano para estudiar la infección por COVID-19, a fin de encontrar tratamientos y para probar potenciales vacunas, además de recopilar mayor información para nuestro entendimiento de las interacciones entre el virus y su hospedero.
3. La Modelación matemática
Un caso muy interesante constituye el reportado por Zhang y cols. (Zhang et al., 2020). Analizaron el caso del crucero Diamond Princess, en el cual, para el día 16 de febrero se tenían registrados 355 casos de COVID-19. Ellos ajustaron el intervalo serial reportado con una distribución gamma y utilizaron el paquete earlyR de R, para estimar el número reproductivo básico en la etapas tempranas del brote. Después, aplicaron el paquete projections de R para simular las posibles trayectorias de la epidemia y la incidencia futura, la distribución del intervalo serial y la estimación de Ro en un modelo basado en la suposición de que la incidencia diaria tiene una distribución aproximadamente Poisson. Este trabajo es el modelo ideal, puesto que se tiene una población confinada, de manera que no hay efectos demográficos que se sumen a la dinámica de la transmisión.
Fanneli y Piazza realizaron proyecciones para China, Italia y Francia (Fanelli and Piazza, 2020). Ellos usaron los datos disponibles entre el 22 de enero y el 15 de marzo de este año. Ellos corroboraron que para los tres países, el número de casos confirmados se puede representar como una ecuación en diferencias, no lineal de orden uno de la forma
(1)que es una ley de potencias. Para cada uno de estos países, el comportamiento en el incremento en el número de casos confirmados, de recuperados y de muertos es el mismo, lo que sugiere que hay cierta universalidad en la propagación de una epidemia en cada país.
Un brote epidémico se puede modelar dividiendo a la población en clases. Fanneli y Piazza usan una variante del modelo de Kermack y McKendrick (Brauer and Kribs, 2016; Kretzschmar, 2010; Murray, 2002; Nishiura, 2016); consideran la clase de susceptibles (S), infecciosos (I), recuperados (R) y muertos (D). En la clase de muertos, es importante destacar que sólo están incluidos los sujetos cuyo deceso está asociado al coronavirus. Elsistemadeecuaciones que describe la dinámica de la población clasificada de esta manera es:
(2)
(3)
(4)
(5)Con los datos de estos tres países, Fanneli y Piazza estimaron los parámetros del modelo descrito mediante el sistema 2.
Liu y sus colaboradores, reunieron las estimaciones sobre el número reproductivo básico R0, y afirman que éste es mayor que el reportado para SARS (Liu et al., 2020a). Con información comprendida entre el primero de enero y el 7 de febrero encontraron que el número reproductivo básico, reportado por distintos autores, variaba entre 1.4 y 6.49. Los primeros valores reportados eran bajos, mientras que conforme pasaron los días, el valor de R0 comenzó a incrementarse. Estimaciones posteriores volvieron a producir valores como los reportados inicialmente. Ellos encontraron que dos estudios que emplearon métodos estocásticos estimaron R0∈ (2.2, 2.68); seis estudios que emplearon sistemas de ecuaciones diferenciales estimaron R0 ∈ (1.5, 6.49), mientras que los tres trabajos donde usaron ∈ métodos estadísticos encontraron R0 ∈ (2.2, 3.58).

La figura 1 muestra el número de casos confirmados y tres proyecciones realizadas con un modelo como el descrito en la ecuación 1. En negro se grafica la proyección empleando los datos de los primeros 16 días después del primer caso confirmado; en azul la proyección con la información de los primeros 32 días posteriores al primer caso. y en rojo la proyección con los datos hasta el día 16 de abril.

La figura 2 muestra el número de casos confirmados en el Estado de Hidalgo, y dos proyecciones para la fase 2: en azul la proyección se realizó con los datos de los primeros 17 días posteriores a los primeros casos reportados en el Estado y en rojo la proyección se calculó con los datos de los primeros 34 días desde el inicio de casos en Hidalgo. Note que dependiendo de la cantidad de información, la dinámica de la curva irá cambiando.
En un estudio de simulación de la trayectoria del brote de COVID-19,(Prem et al., 2020) Prem y su grupo emplearon un modelo SEIR considerando a la población con cierta estructura de edad. Como individuos, los patrones de contactos no son aleatorios, por lo que esa situación se consideró en esta simulación. Los modelos que aseguran la efectividad de las medidas de distanciamiento social, tales como el cierre de escuelas, requieren tener en cuenta la estructura social y la heterogeneidad en las relaciones sociales. Estos autores consideran que la edad y la localidad son factores de los patrones de contacto, lo que se refleja en la manera en la que el brote se propaga.
El grupo de trabajo de Chowell realizó proyecciones empleando tres modelos: el modelo de crecimiento logístico generalizado (GLM), el modelo de Richards y un modelo para trayectorias epidemiológicas complejas (Roosa et al., 2020). La proyección generada para el 14 de febrero estimó un promedio acumulado de 34509 a 34596 para la provincia de Hubei. Para otras provincias, los modelos predicen un promedio de 11317 a 12118 casos acumulados. Este trabajo hace distinción entre provincias, por la forma en la que se definen los agentes y sus interacciones.
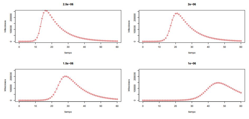
La figura 3 muestra una simulación, empleando el modelo SIR, para diferentes valores de R0, lo que significa que la infectividad es distinta en cada caso. Note cómo va disminuyendo el número de casos confirmados conforme disminuye el valor de R0

La figura 4 presenta una simulación, usando el modelo SIR, para distintos valores de población susceptible. En este caso, se disminuye el número de personas sanas circulando, lo que representa a las medidas de distanciamiento social. Note que además de disminuir el número de casos confirmados, hay un retardo en el crecimiento de la curva de casos confirmados conforme disminuye el número de susceptibles. Esta simulación da una idea muy clara de la importancia de las medidas de aislamiento social.
Se debe insistir en que el propósito de las medidas de aislamiento social es que el número de casos que requieran hospitalización, aumente en la manera más lenta posible. Ese efecto es el mostrado en la simulación, y es el comportamiento que puede observarse si se comparan los casos en México con los ocurridos en Europa.

En un modelo para explicar la dinámica del numero de pacientes hospitalizados, Cakir (Cakir and Savas, 2020) concluye que en el caso de que no se tomen precauciones o que no sean suficientes, el curso de la pandemia mostrará cambios rápidos. Por esta razón, toda precaución individual o social será importante en términos de la propagación de la pandemia de COVID- 19.
4. Conclusiones
Mientras la Organización Mundial de la Salud dedica sus esfuerzos en aminorar la propagación del COVID-19, hay una epidemia global de desinformación que se propaga rápidamente a través de las redes sociales, generando otros problemas serios de salud pública Zaracostas (2020). “Luchamos también contra una infodemia”, declaro´ Tedros Adhanom Ghebreyesus, director general de la WHO. La misma WHO declaro´ este problema de salud pública, pues circula una gran cantidad de información, verdadera y falsa, sobre la presente pandemia. La información falsa es más tuiteada que la información basada en evidencia, mientras que la información sustentada en el trabajo científico tiende a ser más retuiteada (Pulido et al., 2020).
La sociedad en su conjunto es presa fácil de la desinformación, en buena medida por el uso indiscriminado de las redes sociales. La falta de cultura matemática en particular, y de información científica en general, ha provocado desde compras de pánico, hasta el llamado a la desobediencia en un noticiero de cobertura nacional.

Desde el inicio de la Jornada Nacional de Sana Distancia, la autoridad sanitaria ha hecho énfasis en la importancia de aplanar la curva. Lamentablemente, a pesar de los esfuerzos cotidianos de la autoridad para explicar que el propósito es evitar la saturación del sistema hospitalario, muchos comunicadores, desconociendo lo que significa aplanar la curva, provocan el pánico al hablar del aumento en el número de casos confirmados. En la figura 5 se muestra la tasa de casos confirmados por cada 100 000 habitantes, como suele usarse en dinámica de poblaciones. Como puede observarse, la tasa de casos confirmados en México en menor que en Canadá y en Estados Unidos. El incremento diario no ha llegado a 4000, con lo cual se ha podido mantener en operación el sistema de salud nacional, con las conversiones realizadas a muchos hospitales para la atención a pacientes sospechosos de COVID-19.
En la figura 6 se muestra la tasa de muertes reportadas por COVID-19 en el mundo. Note nuevamente que se reportan tasas, para poder comparar con lo que ocurre en diferentes países.

Se puede corroborar que en muchos medios se difunden da- tos sin contexto adecuado, debido a la ausencia de un pensamiento matemático estructurado, que permita ver la información cruda y no a través de la opinión de los comunicadores que, en el mejor de los casos, desconocen de epidemiología, demografía, estadística y modelación matemática. En su desconocimiento, desinforman. Los modelos matemáticos son una aproximación a la realidad, no son la realidad. La inferencia presentada por la autoridad sanitaria, respaldada por el trabajo de científicos serios, tiene que ser entendida por la comunidad. La información de nuevos casos y recuperados se está actualizando diariamente. Además, el comportamiento social es una componente adicional que ha de ser considerada en la modelación. Desinforman quienes publican que las proyecciones fallaron, cuando no presentan toda la información y los supuestos empleados para el modelo.
Al 25 de mayo, el número de días necesarios para que el número de casos en México se duplique es quince y la tendencia de ese número es creciente. Este dato, así como otros, no lo han publicado medios de circulación nacional.
Hoy, la Universidad tiene la importantísima misión de formar profesionales con pensamiento crítico, pero además se tiene el reto de formar divulgadores científicos que pueden ser los voceros naturales del trabajo que se realiza en las Universidades y Centros de Investigación, no sólo en épocas de epidemias, sino de manera rutinaria. Que el quehacer científico llegue a más ciudadanos para que podamos enfrentar situaciones como la de la actual pandemia, con un conocimiento suficiente para entender las razones de las medidas que propone la autoridad sanitaria.
Referencias
Baud, D. anda Qi, X. N.-S. K., Musso, D., Pomar, L., Favre, G., 2020. Real estimates of mortality following covid-19 infection. Lancet Infect Dis.
Brauer, F., Kribs, C., 2016. Dynamical Systems for Biological Modeling. CRC Press, Boca Raton, FL.
Cakir, Z., Savas, H., 2020. A mathematical modelling approach in the spread of the novel 2019 coronavirus sars-cov-2 (covid-19) pandemic. Electronic Journal of General Medicine 17.
Fanelli, D., Piazza, F., 2020. Analysis and forecast of covid-19 spreading in china, italy and france. Chaos, Solitons and Fractals 134.
Heymann, D., Shindo, N., 2020. Covid-19: what is next for public health? The Lancet.
Kretzschmar, M.and Wallinga, J., 2010. Mathematical models in infectious di- sease epidemiology. In: Kra¨mer, A., Kretzschmar, M., Krickeberg, K. (Eds.), Modern Infectious Disease Epidemiology: Concepts, Methods, Mathema- tical Models, and Public Health. Springer New York, New York, NY, pp. 209–221.
Lewnard, J., Lo, N., 2020. Scientific and ethical basis for social-distancing in- terventions against covid-19. Lancet Infect Dis.
Li, Q., Guan, X., Wu, P., Wang, X., Zhou, L., Tong, Y., Ren, R., Leung, K., Lau, E., Wong, J., Xing, X., Xiang, N., Wu, Y., Li, C., Chen, Q., Li, D., Liu, T., Zhao, J., Liu, M., Tu, W., Chen, C., Jin, L., Yang, R., Wang, Q., Zhou, S., Wang, R., Liu, H., Luo, Y., Liu, Y., Shao, G., Li, H., Tao, Z., Yang, Y., Deng, Z., Liu, B., Ma, Z., Zhang, Y., Shi, G., Lam, T., Wu, J. T., Gao, G., Cow- ling, B., Yang, B., Leung, G., Feng, Z., 2020. Early transmission dynamics in wuhan, china, of novel coronavirus infected pneumonian. New England Journal of Medicine 382.
Liu, Y., Gayle, A., Wilder-Smith, A. W.-S., Rocklo¨v, J., 2020a. The reproduc- tive number of covid-19 is higher compared to sars coronavirus. Journal of Travel Medicine 27.
Liu, Y., Yan, M., Wan, L ant Xiang, T., Le, A., Liu, J., Peiris, M., 2020b. Viral dynamics in mild and severe cases of covid-19. Lancet Infect Dis.
Murray, J., 2002. Mathematical Biology. I: An Introduction. Springer, New York, NY.
Nishiura, H., 2016. Methods to determine the end of an infectious disease epi- demic: A short review. In: Chowell, G., Hyman, J. M. (Eds.), Mathematical and Statistical Modeling for Emerging and Re-emerging Infectious Disea- ses. Springer International Publishing, New York, NY, pp. 291–301.
Prem, K. and, L. Y., Russell, T., Kucharski, A., Eggo, R., Davies, N., Jit, M., Klepac, P., 2020. The effect of control strategies to reduce social mixing on outcomes of the covid-19 epidemic in wuhan, china: a modelling study. Lan- cet Public Health.
Pulido, C., Villarejo-Carballido, B., Redondo-Sama, G., Go´mez, A., 2020. Covid-19 infodemic: More retweets for science-based information on co- ronavirus than for false information. International Sociology, 1–16.
Roosa, K., Lee, Y., Luo, R., Kirpich, A., Rothenbergm, R., Hyman, J., Yan, P., Chowell, G., 2020. Treal-time forecasts of the covid-19 epidemic in china from february 5th to february 24th, 2020. Infectious Disease Modelling 5, 256–263.
Rothan, H., Byrareddy, S., 2020. The epidemiology and pathogenesis of coro- navirus disease (covid-19) outbreak. Journal of Autoimmunity, 1–4.
Ruan, Q., Yang, K., Wang, W., Jiang, L., Song, J., 2020. Clinical predictors of mortality due to covid-19 based on an analysis of data of 150 patients from wuhan, china. Intensive Care Med.
Wilder-Smith, A., Chiew, C., Lee, V., 2020. Can we contain the covid-19 out- break with the same measures as for sars? Lancet Infect Dis, 1–5.
Wu, D., Wu, T., Liu, Q., Yang, Z., 2020. The sars-cov-2 outbreak: What we know. International Journal of Infectious Diseases 94, 44–48.
Xu, B., Kraehmer, M., 2020. Open access epidemiological data from the covid- 19 outbreak. Lancet Infect Dis.
Zaracostas, J., 2020. How to fight an infodemic. The Lancet 395, 676.
Zhang, S., Diao, M., Yu, W., Pei, L., Lin, z., Chen, D., 2020. Estimation of the reproductive number of novel coronavirus (covid-19) and the probable outbreak size on the diamond princess cruise ship: A data-driven analysis. International Journal of Infectious Diseases 93, 201–204.

