

Artículos de investigación
Series de tiempo financieras.Un enfoque alternativo
Financial time series. An alternative approach.
Pädi Boletín Científico de Ciencias Básicas e Ingenierías del ICBI
Universidad Autónoma del Estado de Hidalgo, México
ISSN-e: 2007-6363
Periodicidad: Semestral
vol. 7, núm. 14, 2020

Resumen: El mercado bursátil constituye un sistema social, dinámico y complejo. Por tanto, para caracterizarlo y modelarlo es necesario contar con herramientas que nos permitan estudiar de qué manera se producen las diferentes interrelaciones entre los elementos de este sistema. Una herramienta matemática extremadamente útil para modelar los mercados financieros es lo que se conoce como las series de tiempo. Las series de tiempo financieras representan un campo de investigación muy prolífico en el cual tanto matemáticos como físicos han incursionado desde muy diversos enfoques. En este trabajo adoptamos un enfoque moderno, enfatizando la utilidad del exponente de Hurst para el análisis de series que exhiben tendencias susceptibles de ser modeladas.
Palabras clave: Mercado bursátil, Series de tiempo, Exponente de Hurst.
Abstract: The stock market constitutes a social, technical, dynamic and complex system. Therefore, in order to characterize and model it, it is necessary to have tools that allow us to study how the different interrelationships between the elements of this system occur. An extremely useful mathematical tool for modeling financial markets is what is known as time series. The financial time series represent a very prolific field of research in which both mathematicians and physicists have ventured from very different approaches. In this paper we adopt a modern approach, emphasizing the utility of the Hurst exponent for the analysis of series that exhibit trends that can be modeled.
Keywords: Stock Market, Time Series, Hurst Exponent.
1. Introducción
Los mercados financieros son un componente muy importante de los sistemas de crédito en las economías modernas dado que llevan a cabo diversas operaciones financieras. Los economistas los consideran un mecanismo eficiente que cum- ple funciones vitales para el sistema financiero en su conjunto (Malkiel and Fama, 1970; Fama, 1998). Por ejemplo, los mercados financieros sirven para hacer acopio y transferir riqueza para que ésta a su vez sea usada como capital de trabajo, para reducir la importancia a los bancos como prestamistas directos, disminuyendo costos en el financiamiento, así como para disminuír el riesgo financiero y coadyudar a controlarlo ya que éste es mejor distribuído cuando el crédito se obtiene en los mercados bursátiles a través de la fragmentación de las acciones con lo que se puede cubrir el riesgo de inversión.
Las operaciones financieras a las que nos referimos consisten en distribuir títulos de una empresa (acciones) mediante su oferta al público inversionista, con el objetivo de obtener financiamiento. Hoy en día, este procedimiento se lleva a cabo a través de un intermediario financiero (un agente colocador) dentro de lo que se conoce como el mercado primario de capitales. En la oferta inicial, el emisor y el agente colocador pactan el precio que consideran apropiado para cada título, con base en distintos métodos. Los inversionistas que desean participar en una colocación primaria, tendrán que pagar el precio solicitado, sin que exista un proceso de negociación para ello. A cambio de su capital, los inversionistas reciben de la empresa emisora los títulos valor y adquieren derechos patrimoniales y derechos de voto en decisiones sobre la dirección de la empresa.
Al adquirir sus títulos accionarios, los inversionistas pueden conservarlos para ejercer los derechos que esta propiedad les confiere, o bien, pueden venderlos a otros inversionistas en el llamado mercado secundario de capitales. En esta nueva operación de compra/venta, el emisor no está involucrado en el flujo de los capitales ni de los títulos accionarios, ni tampoco interviene en fijar su precio. El comprador y el vendedor definen el precio de las acciones de manera libre y publica, según su propia conveniencia. De esa forma contribuyen a la valuación del título, en consecuencia, a la valuación de la propia empresa emisora. Para los inversionistas que compran acciones, las utilidades se pueden generar a través de dos vías: la recepción de dividendos que otorgue la empresa emisora (distribución de sus utilidades) o mediante la venta de los títulos accionarios a un precio mayor que el que pagaron al adquirirlos, siempre y cuando las condiciones del mercado así lo permitan. Esto es, a grandes rasgos, lo que constituye el mercado financiero.
Las naciones con economías desarrolladas están particularmente interconectadas. Mantienen una estrecha relación de sus intermediarios financieros, lo que permite que la problemáticas originadas en una localidad se difundan rápidamente a todas las demás. En los países con economías en desarrollo la vinculación es relativamente menor, por lo que se mantienen un poco más aisladas. Sin embargo, su dependencia del comercio con los países desarrollados y de los flujos de capital en el mercado mundial propician una forma particular de conectividad.
Para modelar las fluctuaciones de precios en el mercado de valores se debe considerar que, además de las funciones que ejecuta el sistema por sí mismo (recordemos que los mercados bursátiles tienen una función específica), existen agentes externos al mismo que tienen objetivos diversos. Podría incluso considerarse la posibilidad de que el mercado y los agentes externos a éste, entrasen eventualmente en conflicto, lo que conduciría a una inestabilidad del sistema.
En las operaciones de compra/venta de títulos accionarios u otros instrumentos financieros, los precios fluctúan de un momento a otro, lo que define una serie de tiempo. Se hace indispensable entonces, contar con un enfoque sistémico que tome en cuenta las interacciones entre los diferentes agentes que intervienen en un mercado real. En este trabajo se intenta dar un enfoque de esa naturaleza al estudio de los mercados financieros.
2. Algo sobre transiciones de fase
En los sistemas físicos es frecuente encontrar situaciones en las cuales las variables que describen a un sistema pueden cambiar si se permite que dicho sistema interactúe con su entorno. Esto permite pensar en regímenes claramente diferenciados en los cuales, las variables que describen al mismo, toman distintos valores. Hoy en día, es de conocimiento común que el agua experimenta transiciones de fase cuando variamos algunos parámetros como la presión, temperatura y volumen. Por otra parte, no importa qué sistema estamos tratando de describir, su termodinámica puede ser caracterizada por una función analítica, llamada energía libre por unidad de volumen, G(T, P, H, ...) o energía libre de Gibbs, que depende de ciertos parámetros de control. Fue el físico Paul Ehrenfest quien primero definió el orden de una transición de fase como el orden de la derivada de la función que se vuelve singular o discontinua en la transición de fase.
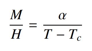
Un sistema muy conocido que presenta una transición en un punto crítico es un ferromagneto. Los ferromagnetos tienen un comportamiento característico porque presentan una magnetización permanente M. Cuando la temperatura se eleva al punto crítico Tc, la magnetización es proporcional al campo magnético, el sistema deja de ser ferromagnético y se vuelve paramagnético.
[1]donde α es una constante. La forma de esta ecuación muestra que en el punto crítico esperamos una singularidad en la relación M/H. Como el valor máximo de M es finito, debemos concluir que H = 0. Eso significa que el sistema está magnetizado incluso en ausencia de un campo magnético externo. Esa es la característica de un ferromagneto. El valor de Tc representa el límite entre el comportamiento paramagnético y ferromagnético dependiendo de si la temperatura T es mayor o menor que el valor crítico.
La Física Estadística es una teoría en donde se describe el comportamiento de muchos cuerpos que interactúan entre sí. Aquí, los así denominados exponentes críticos han revelado la estructura de las fluctuaciones a diferentes escalas anidadas una dentro de otra. Los parámetros microscópicos afectan la estructura de las fluctuaciones solo a escala microscópica, y esas fluctuaciones se promedian rápidamente a nivel macroscópico. En consecuencia, las microestructuras no determinan las diversas formas en que muchos subsistemas se aproximan a sus respectivas temperaturas críticas.
Por otro lado, Lev D. Landau (Landau and Lifshitz, 1958) se dio cuenta de que la principal diferencia se producía entre las transiciones de fase de primer orden y todas los demás órdenes. Estableció que las diferentes fases de un sistema estaban caracterizadas por un parámetro Φ llamado el parámetro de orden. En el caso de una transición de líquido-gas, este parámetro estaría relacionado con la diferencia entre la densidad del agua en alguna fase particular y el valor de la densidad crítica en la que se produce la transición de fase.
Se acostumbra definir el parámetro de orden de manera que su valor sea pequeño cerca de la transición. Además, no deberá tener fluctuaciones térmicas y se determinará mediante la minimización de la energía libre G(T, Φ, ...) con respecto a Φ en algún valor particular de los parámetros de control. Ahora, cerca del punto crítico podemos expandir la función de energía libre como
[2]donde cada coeficiente dependerá de los parámetros de control, así como de la temperatura. Si tomamos la primera derivada de G, manteniendo todos los términos y asumiendo que c > 0, podemos ver cómo funcionan las transiciones de fase: G es continua pero no su primera derivada. Luego, variando T podemos saltar de un mínimo a otro.
Uno podría explicar las transiciones de fase de segundo orden colocando el coeficiente b→ 0 ajustando algún otro parámetro, o suponiendo que el sistema es simétrico en la transformación Φ → −Φ. En ese caso, podemos ver que, si a desaparece a la temperatura crítica a(Tc) = 0, entonces los dos mínimos de la función G se colapsarían en un punto. La energía libre tendría puntos de ramificación de raíz cuadrada en T − Tc.
La teoría del campo medio, como se llamó a la teoría de Landau, tiene la característica de que depende solo de las propiedades de los polinomios (como el que describe la energía libre dada arriba) y no de la naturaleza de los parámetros de orden. Esto también se conoce como universalidad. En el caso de transiciones de fase continuas, esa propiedad es muy importante.
Por otra parte, en el caso de los mercados financieros, aún no se ha desarrollado una Teoría de campo medio, equivalente a la de la física estadística, que sea capaz de predecir el surgimiento de puntos críticos y transiciones de fase, a pesar de las similitudes sugeridas entre la dinámica de los mercados financieros con algunos sistemas físicos. En la siguiente sección, proporcionamos una posible explicación en términos de la presencia (o ausencia) de autoorganización de los valores de los activos en series de tiempo.
3. Presencia de autoorganización en series de tiempo
En economía, el modelo convencional representa las fluctuaciones de los precios de los activos en los mercados financieros como una caminata aleatoria donde cada estado es independiente de los anteriores. Esto sugiere obviamente que sería imposible distinguir diferentes comportamientos en una serie de tiempo (Malkiel and Fama, 1970). Una manera simple de decirlo es que “es imposible vencer al mercado”. Esta manera de pensar llevó a muchas generaciones de analistas a suponer que el mercado puede modelarse mediante una caminata aleatoria. El famoso modelo de Black-Scholes asume que las fluctuaciones de un mercado son “pequeñas”(Black and Scholes, 1973).
Sin embargo, cada vez es mayor la evidencia de que existen regímenes bien diferenciados en las series de tiempo de los mercados bursátiles. Como consecuencia de esta diferencia de régimen, es factible interpretar los cambios como transiciones de fase. Recientemente, se ha desarrollado un procedimiento para estudiar cada uno de las caídas de precios, a partir de un nivel máximo dado (Sánchez and Soto, 2017). En dicho trabajo se ha explorado un rango en el espacio de estados en el que las caídas han sido explicadas como un proceso que sigue una Ley de Potencias, encontrándose evidencia de autoorganización en series de tiempo de índices del mercado de valores.
La metodología desarrollada permite identificar, en una serie de precios de cierre diarios, cada movimiento descendente a un punto más bajo desde un pico reciente, seguido de un rebote al techo anterior, o al valor más alto registrado en los seis meses anteriores, lo que sucediera primero. Estos rendimientos negativos (o caídas) se convirtieron en unidades de estudio. Utilizando la serie de rendimientos negativos como observables, exploramos la posibilidad de identificar un rango dentro del espacio de estados en el que una variable que correspondía al valor más bajo acumulado durante cada caída podría explicarse como un proceso que sigue una ley de potencias. Se analizó un conjunto de datos de caídas de índices de 30 países. Se encontró que la curtosis de la serie resultante se incrementaba notablemente en el caso de caídas profundas de los índices de mercados financieros, lo que sugiere la existencia de una transición de régimen (o transición de fase), comparando estas caídas profundas, con el comportamiento de la serie en los intervalos en los que se tiene un comportamiento más lateral, el cual puede modelarse como una caminata aleatoria. De igual forma, se identificó el punto de corte de ambos regímenes, como un punto crítico de transición de fase. Este mismo fenómeno puede estudiarse mediante el uso del así denominado exponente de Hurst.
4. Sobre el exponente de Hurst
En 1951, H.E. Hurst publicó un método que detectaba patrones cíclicos no periódicos en las crecidas del río Nilo, en las que largos períodos de sequía relativa eran seguidos por largos periodos de inundaciones repetidas (Hurst, 1951). B. Mandelbrot y J.R. Wallis acuñaron el nombre de fenómeno José o efecto Hurst a esta forma de memoria de largo plazo que encontraron en varias series de tiempo de activos de los mercados de capitales y de futuros.
El exponente de Hurst se ha utilizado en muchos campos de investigación. Desde hace mucho tiempo, se ha utilizado en las finanzas. Algunas de las obras más conocidas se deben a Edgar E. Peters (Peters, 1994). El exponente H toma valores entre 0 y 1, y dependiendo de su valor, las series de tiempo se pueden clasificar en tres categorías diferentes: si H ∈ (0, 0,5), eso implica que la serie es anti-persistente. Si H = 0,5, esto implica que la serie se comporta aleatoriamente. Por último, si H ∈ (0,5, 1,0), esto significa que la serie es persistente. Este comportamiento se vuelve más persistente a medida que H se aproxima al valor 1,0. Una revisión mas moderna del exponente H puede encontrarse en (J.A. Matos, 2008), (Barunik, 1945), (A. Carbone and Stanley, 2004) y (Carbone and Stanley, 2007).
5. Método utilizado
En esta sección describiremos con detalle el método utilizado en el estudio de tendencias de largo plazo. Nuestro objetivo es medir la intensidad de la tendencia de una serie que está encajada (embedded) en un movimiento browniano. Para ello es necesario determinar el exponente de escalamiento del rango de los movimientos de los precios conforme cambiamos la escala.
El método de análisis de rango a diferentes escalas (análisis R/S ) nos permite calcular el valor del exponente H de acuerdo al procedimiento original de Hurst, método que describiremos a continuación.
Empezamos con el análisis del logaritmo de los rendimientos, rt = ln pt − ln pt−1 where rt es el rendimiento de un día en el día t, pt es el precio al tiempo t y pt−1 es el precio del día anterior.
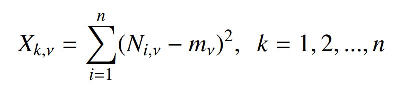
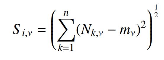
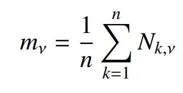
Vamos a suponer una serie de tamaño N, que dividimos en V intervalos de longitud n tales que Vn = N. Cada intervalo de longitud n se denomina Iν de manera que ν = 1, 2, ..., V. Cada elemento del intervalo se llama Nk,ν, con k = 1, 2, ..., n.
1. La media mv de los elementos de longitud n es calculada, obteniéndose ν mediciones de la forma:
[3]2. Para cada subintervalo Iv calculamos la desviación estándar muestral
[4]3. Se calculan las desviaciones acumuladas para cada subintervalo
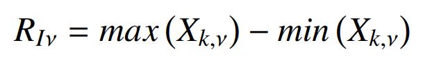
[5]4. El rango de cada subintervalo RIv está dado por la diferencia entre el máximo y el mínimo de Xk,v:
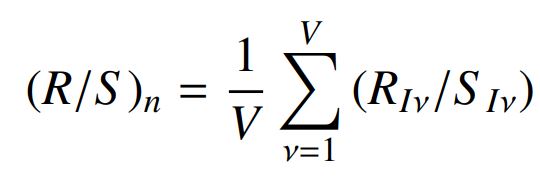
[6]5. El cociente del rango por la desviación estándar R/S es calculado para cada intervalo y posteriormente encontramos el promedio para cada intervalo
[7]6. Se aumenta la longitud del intervalo hasta el siguiente valor de manera que N/n ∈ Z, repitiendo el proceso para todos los valores posibles de n.
7. Se hace una regresión con log(n) como variable independiente y log(R/S )n como la variable dependiente, el exponente de la regresión ser a el exponente H.
8. Los cálculos son desarrollados con los log-rendimientos diarios rt = ln pt − ln pt−1, para el valor absoluto de los log-rendimientos |rt | = |ln pt−ln pt−1| , y para el cuadrado de los log-rendimientos r 2 t = (ln pt − ln pt−1) 2 encontrando el coeficiente R 2 de cada regresión. ´
Las series persistentes (es decir aquéllas para las que 0,5 < H < 1,0) son fractales, dado que pueden ser descritas como un movimiento browniano fraccionario.En dichos movimientos hay correlación entre los eventos a diferentes escalas de tiempo.
Dado que los eventos no tienen la misma probabilidad de ocurrir, la dimensión fractal de la distribución de probabilidades será un número entre 1 y 2. La dimensión fractal FD es el inverso de H.
6. Conclusión
En este trabajo hemos dado un panorama moderno del estudio de las series de tiempo que surgen en los mercados bursátiles. Desde finales del siglo XX existe un interés creciente entre la comunidad de físicos para estudiar sistemas financieros desde la perspectiva de la física teórica. Fué en 1995 que Eugene Stanley acuñó el término Econofísica. Durante muchos años, los modelos utilizados asumieron como premisa que la hipótesis de la eficiencia de los mercados se cumple, sin importar si se tenía una tendencia “alcista”, o bien “a la baja”. Luego del crash de 1987 y las caídas de 1997-1998, ha quedado claro que la mencionada eficiencia de los mercados, se basa en supuestos muy fuertes que normalmente no se cumplen en la realidad. Por otra parte, en los sistemas financieros hasta este momento no contamos con una teoría equivalente a la teoría de campo medio de la física estadística. Para ello, sería indispensable poder identificar un parámetro de orden, como es el caso de los sistemas magnéticos o los fluídos. Sería también necesario poder definir una función de Gibbs (equivalente a la energía libre del sistema).
Aquí presentamos dos métodos que, tentativamente, podrían ayudar a identificar la aparición de señales previas al surgimiento de un punto crítico en el caso de una caída profunda de precios de un mercado financiero. La primera de ellas, dada en la sección 3, utiliza un análisis de la curtosis de los rendimientos negativos en una caída profunda de precios. Se encontró que el comportamiento de dicha serie es claramente leptocúrtica, a diferencia del comportamiento del mercado durante tendencias laterales, donde la serie de tiempo puede modelarse como una distribución normal. El segundo se basa en el estudio del exponente H analizado en las secciones 4 y 5. En este caso se encontró, una vez más, que cuando se presenta una caída profunda de precios, el exponente H se incrementa notablemente, con valores mayores a 1/2 y cercanos a 1, lo que evidencia una fuerte correlación de los datos. Esto sugiere que el exponente H puede usarse como un estimador del nivel de autocorrelación y una medida de la persistencia de largo plazo.
Agradecimientos
Este trabajo ha sido realizado parcialmente gracias al apoyo de Prodep. Los autores agradecen el apoyo de la Universidad Autónoma del Estado de Hidalgo.
Referencias
A. Carbone, G. C., Stanley, E., 2004. Time-dependent hurst exponent in finan- cial time series. Physica A 1, 637–654.
Barunik, J., 1945. On hurst exponent estimation under heavy-tailed distribution.
Black, F., Scholes, M., 1973. The pricing of options and corporate liabilities.
Carbone, A., Stanley, E., 2007. Scaling properties and entropy of long-range correlated time series.
Fama, E., 1998. Market efficiency, long-term returns, and behavioral finance.
Hurst, H., 1951. Long-term storage capacity of reservoirs. transactions of ame- rican society of civil engineers. Transactions of American Society of Civil Engineers 116, 770–799.
J.A. Matos, M.A. Gama, H. R., 2008. Time and scale hurst exponent analysis for financial markets. Physica A 387, 3910–3915.
Landau, L., Lifshitz, E., 1958. Pergamon, London.
Malkiel, B., Fama, E., 1970. Efficient capital markets: A review of theory and empirical work. The Journal of Finance 25, 383–417.
Peters, E., 1994. Wiley, New York.
Sánchez, L., Soto, C., 2017. Time and scale hurst exponent analysis for finan- cial markets. Revista Mexicana de Economía y Finanzas.

