Resumen: La contaminación del aire en estos tiempos está calificada como uno de los problemas ambientales más críticos y preocupantes a nivel mundial, debido a que rompe el equilibrio del aire, modificando la proporción de sus componentes o la introducción en la atmósfera de elementos tóxicos o indeseables que finalmente repercute en la calidad ambiental del entorno. El objetivo del estudio es determinar los sectores económicos y sociales que contribuyen hacia una mayor contaminación del aire en Perú, entre los periodos 1970-2020. Metodológicamente el enfoque fue cuantitativo, tipo analítico descriptivo y no experimental; se utilizaron los datos estadísticos de la base de datos del Instituto Nacional de Estadística e Informática, Banco Central de Reserva del Perú y de la página Datos-Macro, considerando el modelo econométrico de tipo log - log. Se determinó que los sector económicos y sociales que influyeron en la contaminación del aire son la densidad poblacional, el parque automotor, la producción de los sectores agropecuario, construcción y energía. Específicamente, el parque automotor, la producción de los sectores agropecuario, construcción y energía influyeron de manera directa en la contaminación del aire, mientras que la densidad poblacional influye de manera indirecta. Finalmente, ante un incremento en 1% en la producción de los sectores construcción, agropecuario y energía y del parque automotor, la contaminación del aire aumenta en 0.29%, 0.098%, 0.24%, 0.19% respectivamente; con respecto a la densidad poblacional, si incrementa en 1%, la contaminación del aire disminuye en 0.77%.
Palabras clave: Construcción,Sector agropecuario,Energía,Parque automotor,Contaminación del aire.
Abstract: Air pollution in these times is qualified as one of the most critical and worrying environmental problems worldwide, due to the fact that it breaks the air balance, modifying the proportion of its components or the introduction of toxic or undesirable elements into the atmosphere, which finally affects the environmental quality of the surroundings. The objective of the study is to determine the economic and social sectors that contribute to greater air pollution in Peru between 1970 and 2020. Methodologically, the approach was quantitative, analytical, descriptive and non-experimental; statistical data from the database of the National Institute of Statistics and Informatics, Central Reserve Bank of Peru and the page Datos-Macro were used, considering the econometric model of log - log type. It was determined that the economic and social sectors that influence air pollution are population density, vehicle fleet, production in the agricultural, construction and energy sectors. Specifically, the vehicle fleet, agricultural production, construction and energy sectors had a direct influence on air pollution, while population density had an indirect influence. Finally, with a 1% increase in the production of the construction, agricultural, and energy sectors and the vehicle fleet, air pollution increases by 0.29%, 0.098%, 0.24%, and 0.19%, respectively; with respect to population density, if it increases by 1%, air pollution decreases by 0.77%.
Keywords: Construction, Agricultural sector, Energy, Vehicle fleet, Air pollution.
Resumo: A poluição do ar é hoje considerada um dos problemas ambientais mais críticos e preocupantes do mundo, devido ao fato de quebrar o equilíbrio do ar, modificando a proporção de seus componentes ou introduzindo elementos tóxicos ou indesejáveis na atmosfera, o que acaba afetando a qualidade ambiental do entorno. O objetivo do estudo é determinar os setores econômicos e sociais que contribuem para uma maior poluição do ar no Peru, entre 1970-2020. Metodologicamente, a abordagem foi quantitativa, analítica descritiva e não-experimental; foram utilizados dados estatísticos do banco de dados do Instituto Nacional de Estatística e Informática, do Banco Central de Reservas do Peru e do site Datos-Macro, utilizando um modelo econométrico log-log. Foi determinado que os setores econômicos e sociais que influenciam a poluição do ar são: densidade populacional, frota de veículos, produção nos setores agrícola, construção e energia. Especificamente, a frota de veículos, a produção nos setores agrícola, de construção e de energia tiveram uma influência direta sobre a poluição do ar, enquanto que a densidade populacional teve uma influência indireta. Finalmente, com um aumento de 1% na produção dos setores de construção, agricultura, energia e veículos, a poluição do ar aumenta 0,29%, 0,098%, 0,24%, 0,19% respectivamente; com relação à densidade populacional, se ela aumenta 1%, a poluição do ar diminui 0,77%.
Palavras-chave: Construção, Setor agrícola, Energia, Frota de veículos, Poluição do ar.
Artículos de Investigación
Los sectores económicos-sociales y la contaminación del aire en Perú, 1970-2020
The economic-social sectors and air pollution in Peru, 1970-2020
Os setores econômico-sociais e a poluição do ar no Peru, 1970-2020
Recepción: 30 Noviembre 2022
Aprobación: 21 Diciembre 2022
Publicación: 09 Enero 2023
La contaminación atmosférica o contaminación del aire se presenta hoy en día como uno de los problemas ambientales más preocupantes en todo el mundo. Esta se refiere a cualquier condición que rompa el equilibrio del aire, suponiendo la modificación de la proporción de sus componentes o la introducción en la atmósfera de elementos indeseables, es decir, materias, sustancias o formas de energía que tengan un efecto nocivo para la salud humana, que causen daños en el medio ambiente o que deterioren los bienes materiales (1–10).
Además, la contaminación del aire se evidencia por la presencia de agentes contaminantes tanto químicos, físicos o biológicos que alteran la atmósfera. Destacando el consumo energético doméstico, el crecimiento del parque automotor, la quema de residuos sólidos y crecimiento de la industria como principales fuentes de contaminación atmosférica (6,11–19).
A nivel mundial, los niveles de contaminación atmosférica se han incrementado por mayores emisiones de dióxido de carbono. Para el 2021, las emisiones de CO2 relacionadas con la energía se incrementaron en un 6% logrando alcanzar los 36 300 millones de toneladas, esto debido principalmente al uso del carbón como fuente de energía para impulsar el crecimiento de la economía mundial tras la crisis de COVID-19 (6,16,17,20–26).
Además, el consumo de energía es la principal fuente de emisión de CO2 como gas de efecto invernadero, siendo responsable de un 76% del total de emisiones globales. Este sector incluye a subsectores como el transporte, manufactura, construcción, generación de calor y electricidad y quema de combustibles. Le sigue el sector agricultura y ganadería con un 12%, el sector del cemento con 5,9%, los residuos y aguas residuales con un 3.3% y la deforestación con un 2.8% del total de emisiones (6,27–32).
En América Latina y el Caribe se registró 4 millones de toneladas emitidas anualmente de CO2, que representa el 8% de emisiones producidas a nivel mundial. Las principales causas que originan emisiones son la generación de energía y transporte, en palabras simples el uso de energías fósiles son las principales causas del incremento de CO2. Entre 1990–2016 incrementó en un 87% el uso de energía fósil a nivel mundial y en América Latina sólo incrementó un 5% esto debido a la disminución de la hidroenergía (5,23,31,33–39).
En Perú, la generación de dióxido de carbono (CO2) se debe al incremento del nivel de actividad económica y al crecimiento de la población. Ya que, en 1990, generaba 20,9 miles de toneladas métricas de CO2, no obstante, el nivel de emisiones aumentó a 56,3 mil toneladas métricas en el 2019. En el mismo año, el tamaño de la economía peruana creció 261% y el de su población en 46%, el crecimiento de las emisiones fue de 169%, por ello el crecimiento de las emisiones de esta más influenciada con la evolución del ingreso nacional que con el de la población (30,40–48).
El sector que genera la mayor cantidad de emisiones de CO2 es el sector transporte con aproximadamente 40% de las emisiones totales correspondientes a 24,222 giga gramos a causa del deficiente parque automotor que posee, seguido por los sectores como la industria, residencial y comercial e industrias de la transformación y conversión con el 13% de cada uno. Además, es importante considerar que las emisiones por parte de la industria manufacturera y de la construcción provienen de actividades que tienen como práctica común utilizar carbón mineral como combustible, tal es el caso de las fábricas de ladrillo en la que la mayoría son informales, ya que en el año 2000 se produjeron aproximadamente 365,764,100 toneladas de cemento, en su mayoría cemento tipo Pórtland. Las emisiones debido al cemento ascienden a 1780 giga gramos de CO2 (21,28,32,39,49–55).
El principal problema relacionado con la contaminación del aire es que ésta resulta ser una de las más dañinas para la salud, existe evidencia que la contaminación del aire provoca complicaciones asmáticas, enfermedades bronquiales e incluso la muerte prematura. Dentro de todos los contaminantes del aire, las partículas en suspensión resultan ser las más peligrosas. Cabe resaltar que los problemas de contaminación del aire se agravan principalmente en las ciudades con alta densidad poblacional (28,32,50,52,53,55–59).
Por lo cual, la investigación busca responder la siguiente interrogante: ¿Cuáles son los factores que influyen en la contaminación del aire, durante el periodo 1970-2020? En ese sentido el objetivo de la investigación es determinar los factores que influyen en la contaminación del aire, durante el periodo 1970-2020. La hipótesis a comprobar fue: los factores que influyen en la contaminación del aire, durante el periodo 1970-2020, son el crecimiento demográfico, el parque automotor y la producción de los sectores agropecuarios, minería, construcción y energía.
El estudio se realizó en todo Perú en la zona urbana y rural, considerando las 24 regionales existentes y la Provincia Constitucional del Callao, las misma que está ubicada en el medio de América del Sur, frente al océano Pacífico, entre las coordenadas de 0º2’ y los 18º 21’34” de latitud sur y 68º 39’7” y los 81º 20’13” de longitud.
Se realizó un estudio documental, observacional con datos estadísticos sistematizados y/o gestionados del Instituto Nacional de Estadística e Informática (INEI), del Banco Central de Reserva del Perú (BCRP), así como la página Datos-Macro, entre los periodos 1970-2020, donde las variables de análisis fueron la contaminación del aire, el crecimiento demográfico, la producción del sector construcción, la producción del sector agropecuario, la producción del sector minería, la producción del sector energía y el desarrollo del parque automotor, cuyos detalles de sus características, indicador, unidad de medida se detallan a continuación (Tabla 1).

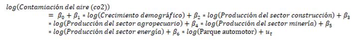
El estudio se desarrolló bajo el enfoque cuantitativo, de tipo analítico descriptivo y no experimental (60). Se utilizó el modelo econométrico basado en la función de regresión de tipo Log-Log, donde se especificó como los sectores económicos y sociales influyeron en la contaminación del aire, durante el periodo 1970-2020, cuya ecuación econométrica es la siguiente:

Para alcanzar el objetivo de la investigación se estimó los parámetros del modelo econométrico antes detallado, utilizando el software Eviews versión 10.0.
Al analizar el comportamiento de las variables en análisis, se evidencia una tendencia creciente de la contaminación del aire (Figura 1), debido a su mayor actividad económica, desde 1970 al 1990 Perú generó 20.9 MT de contaminación de aire, en el 2000 al 2019 se incrementó de manera apresurada las emisiones de 28 a 57.5 MT, para el 2019 a 2020 se redujeron de 57.5 a 46.5 MT debido al COVID-19, emitiendo un promedio de contaminación del aire de 30 MT, un máximo de 55.6 MT y un mínimo de 17.4 MT por año (Tabla 2).
La evolución de la producción del sector construcción fue creciente durante el periodo de análisis (Figura 1), ya que desde el año 1970 al 2020 tuvo un crecimiento de 30 millones de soles, sin embargo, la más profunda caída luego de un crecimiento sostenido de este sector fue en el 2001, en las que el PBI del sector construcción alcanzó a caer hasta un 3.9 millones de soles debido a que se suspendieron muchas obras de construcción a causa de las restricciones del estado peruano por contener el COVID-19. La producción del sector construcción alcanzó a crecer en promedio 12.9 millones y un mínimo de 3.9 millones de soles (Tabla 2).
La trayectoria de la variable producción del sector agropecuario en Perú tuvo un fuerte crecimiento desde el año 1970 al 2020 (Figura 1), en vista que alcanzó un crecimiento de 31.5 millones de soles, con un crecimiento promedio por año de 14.8 millones de soles, además de que durante el año 2020 continuó creciendo, llegando a alcanzar el punto más alto durante el periodo de análisis con 32.4 millones de soles, ya que a pesar del confinamiento las necesidades de consumo de alimentos se siguen manteniendo ya que es una necesidad básica del ser humano (Tabla 2).

La producción del sector minería desde el año 1970 al 2020 ha experimentado un crecimiento de los 67 millones de soles (Figura 1), al igual que otros sectores de la economía este también se vio afectado por la pandemia, en el 2020 se redujo a 57304 millones de soles, con un crecimiento promedio por año de 40 millones, alcanzando un máximo en el año 2017 con 67439 millones de soles y un mínimo de 13.9 millones de soles (Tabla 2).
En el caso de la producción del sector energía, presentó una tendencia relativamente creciente, con un incremento en promedio de 3.9 millones de soles desde el año 1970 al 2020 (Figura 1), alcanzando un máximo y mínimo de 10011 y 636 millones de soles. Luego la tendencia fue creciente y acelerada con leves disminuciones de crecimiento durante los años 1992, 2009 y 2017. Finalmente, para el año 2020 se puede observar una caída abrupta de este sector, alcanzando únicamente un PBI de 9396 millones de soles, 614 millones de soles menos que el año anterior, esto por las limitaciones que se presentaron durante la pandemia del COVID-19 (Tabla 2).
Sobre el crecimiento demográfico representado por la densidad poblacional en habitantes por km2 en el periodo de análisis, esta tuvo un comportamiento de crecimiento progresivo en todos los años (Figura 1), la misma que tuvo en promedio el valor poblacional por km2 de 18 personas, con un valor máximo de 25 y un valor mínimo de 10 habitantes por km2 (Tabla 2).
En el caso parque automotor expresado en número de vehículos, presentó un crecimiento creciente y acelerado (Figura 1), pasando a tener un total de 267 '178 vehículos motorizados en el año 1970 ha un total 3' 070 '704 en el 2020, de esta manera tuvo como un máximo de número de vehículos de 267178 y un mínimo de 13897 (Tabla 2).

Complementariamente, al realizar el análisis de la relación de la contaminación del aire y los sectores económicos y sociales determinantes, se muestra que la relación entre la contaminación del aire con la producción del sector construcción, se puede observar la existencia de una relación directa (Figura 2), la misma que se complementa por la matriz de correlación de estas variables, donde se evidencia una correlación positiva alta (valor ρ de Pearson = 0.991), por lo que un incremento de la producción del sector construcción contribuye al incremento de la contaminación del aire (Tabla 3).
En el caso de la relación entre la contaminación del aire con la producción del sector agropecuario, se puede observar la existencia de una relación directa (Figura 2), la cual se complementa por la matriz de correlación de estas variables, donde se evidencia una correlación positiva alta (valor ρ de Pearson = 0.974), de esta manera un incremento de la producción del sector agropecuario contribuye al incremento de la contaminación del aire (Tabla 3).
Respecto a la relación entre la contaminación del aire con la producción del sector minería, se puede observar la existencia de una relación directa (Figura 2), la misma que se complementa por la matriz de correlación de estas variables, donde se evidencia una correlación positiva alta (valor ρ de Pearson = 0.953), de esta manera un incremento de la producción del sector minería contribuye al incremento la contaminación del aire (Tabla 3).
Al analizar la relación entre la contaminación del aire con la producción del sector energía, se puede observar la existencia de una relación directa (Figura 2), la misma que se complementa por la matriz de correlación de estas variables, donde se evidencia una correlación positiva alta (valor ρ de Pearson = 0.981), de esta manera un incremento de la producción del sector energía contribuye al incremento la contaminación del aire. En el caso de la relación entre la contaminación del aire con el parque automotor, se puede observar la existencia de una relación directa, la cual se complementa por la matriz de correlación de estas variables, donde se evidencia una correlación positiva alta (valor ρ de Pearson = 0.974), de esta manera ante un incremento del parque automotor, la contaminación del aire aumentará (Tabla 3).
Finalmente, al analizar la relación entre la contaminación del aire con el crecimiento demográfico, se puede observar la existencia de una relación directa (Figura 2), la misma que se complementa por la matriz de correlación de estas variables, donde se evidencia una correlación positiva alta (valor ρ de Pearson = 0.849), del cual, a un incremento del crecimiento demográfico contribuye al incremento de la contaminación del aire (Tabla 3).


Finalmente, al realizar el análisis de los factores que influyen en la contaminación del aire, para encontrar los factores que influyen en la contaminación del aire en Perú durante el periodo 1970-2020, se buscó contrastar la hipótesis de la investigación que fue la siguiente:
Ha: los factores que influyen en la contaminación del aire en Perú durante el periodo 1970-2020, son el crecimiento demográfico, el parque automotor y la producción de los sectores agropecuarios, minería, construcción y energía. Por lo cual se aplicó la regresión econométrica del modelo log-log, ya que posee mejores propiedades estadísticas y cuyos resultados obtenidos son las siguientes:

Al realizar el análisis estadístico para la prueba de hipótesis, se evidencia que el R-cuadrado ajustado es igual a 0.9914, lo que muestra que la variable crecimiento demográfico medido mediante la densidad poblacional, el parque automotor, la producción de los sectores agropecuario, construcción y energía explican en 99.14%, resultando ser un modelo eficiente (Tabla 4).
En el caso de la prueba de significancia individual, se puede ver que el t-estadístico obtenido de la variable crecimiento demográfico representado por la densidad poblacional [-7.27], producción del sector construcción [8.11], producción del sector energía [3.27], parque automotor [2.29] son mayores a 2; concluyendo que, si tienen significancia individual, es decir si influyen de manera individual en la contaminación del aire. Por lo contrario, la producción del sector agropecuario tiene un t-estadístico de 1.51 y es menor a 2, lo que muestra que tiene una probabilidad de 0.139 y es mayor a 0.05, determinando que esta variable no influye en la contaminación del aire en Perú al 95% del nivel de confianza, pero si al 0.15 de nivel de significancia. No obstante, la variable producción del sector minería tenía un t-estadístico de 1.11 que es menor a 2, lo que muestra que tiene una probabilidad de 0.271 y es mayor a 0.05, es decir no es significativa ni al 25% del nivel de confianza, además causa que la variable del parque automotor no sea significativa al 95% del nivel de confianza, por ello se retiró esta variable del modelo econométrico (Tabla 4).
Por lo tanto, se concluye rechazando la hipótesis nula y aceptando la hipótesis alternativa, estableciendo que en Perú durante el período de 1970 al 2020, los factores que influyeron en la contaminación del aire son el crecimiento demográfico, la producción de los sectores construcción, agropecuario, energía y el parque automotor.
Por lo cual, identificando los coeficientes de las variables independientes, se puede ver claramente que las variables como la producción de los sectores construcción, agropecuario, energía y el parque automotor tienen signo positivo, es decir, influyen de manera directa sobre la contaminación del aire. Además, el coeficiente de la densidad poblacional tiene signo negativo, por lo que se determina que influyen de manera negativa en la contaminación del aire en Perú (Tabla 4).
En este entender, analizando los coeficientes se puede establecer que ante un incremento de la crecimiento demográfico representado por la densidad poblacional, si este incrementa en 1%, el valor de la contaminación del aire disminuirá en 0.77%; si incrementa la producción del sector construcción en 1%, el valor de la contaminación del aire incrementará en 0.29%; si aumenta la producción del sector agropecuario en 1%, el valor de la contaminación del aire aumentará en 0.098%; ante el incremento del 1% en la producción del sector energía, el valor de la contaminación del aire aumentará en 0.24%; si aumenta el parque automotor en 1%, el valor de la contaminación del aire incrementará en 0.19% (Tabla 4).
De esta manera, los resultados encontrados en esta investigación son coherentes con investigaciones previas como las de Zegarra et al., (26), quienes al investigar la contaminación del aire por emisión de gases de efecto invernadero generados por el parque automotor en Lima Metropolitana, llegaron a identificar que el consumo de combustibles fósiles líquidos es la principal causa de contaminación atmosférica. Justamente, los resultados de la regresión realizada indican que existe una relación de causalidad significativa entre el parque automotor y las emisiones de CO2, así como una correlación positiva y alta entre ambas variables.
Los resultados obtenidos también guardan relación con la investigación de Ziegler-Rodriguez et al., (61) quienes identificaron el impacto de la producción de cemento en Perú, como parte principal del sector construcción, en los niveles de emisión de gases de efecto invernadero como el CO2. Encontrando que las emisiones totales de GEI pueden aumentar hasta en un 12 % por unidad de masa de cemento producido. Para la presente investigación, el sector construcción tiene un impacto directo y significativo en las emisiones de CO2 que contaminan el aire, siendo que para un incremento de 1% en el PBI del sector construcción, las emisiones de CO2 se elevan en 0.29%.
En la investigación de Elías et al., (62) se considera que para los próximos 20 a 30 años, la tendencia de uso de vehículos hará que incremente el uso de combustible en un 55% aumentando las emisiones de CO2. En los resultados obtenidos de la presente investigación, se observa una tendencia creciente del parque automotor, por lo que por cada 1% de incremento en el número de vehículos en el país al año, las emisiones de CO2 se elevan en 0.18%.
En el estudio que realizó Al-Asel (10) se identificó que el consumo energético basado en fuentes tradicionales como los combustibles fósiles genera emisiones de contaminantes atmosféricos. Respecto a ello, la presente investigación demuestra empíricamente la relación positiva y significativa entre el PBI del sector electricidad y las emisiones de CO2, demostrando que frente a un incremento en 1% del PBI de este sector, las emisiones anuales de CO2 se elevan en 0.24%.
Finalmente, los resultados estimados tienen relación con lo que plantea Ren y Matsumoto (18) quienes, en su investigación, bajo un modelo de retardo espacial de efectos fijos mostraron que tanto los factores socioeconómicos como los naturales eran estadísticamente significativos para las emisiones de contaminantes atmosféricos, aunque el grado difería según el tipo de contaminante. La población, la tasa de urbanización, el valor de la industria secundaria y los grados día de calefacción y refrigeración afectaron positivamente las emisiones, mientras que la densidad de la población, el producto regional bruto per cápita, la precipitación y la humedad relativa afectaron negativamente las emisiones. Justamente, esta investigación guarda relación con la presente investigación, puesto que se evidenció que la densidad de la población tiene un efecto negativo en las emisiones de CO2, sin embargo, las demás variables tomadas no se usaron en nuestra investigación por lo que su impacto no es conocido.
Se concluye que los factores que influyen en la contaminación del aire en Perú durante el periodo 1970-2020, son la densidad poblacional, el parque automotor, la producción de los sectores agropecuario, construcción y energía que explican en 99.14% a la contaminación del aire. Además, el parque automotor, la producción de los sectores agropecuario, construcción y energía influyen de manera directa en la contaminación del aire, mientras que la densidad poblacional influye de manera indirecta.
Por lo tanto ante un incremento en la producción del sector construcción en 1%, el valor de la contaminación del aire incrementará en 0.29%; con respecto a la producción del sector agropecuario si este aumenta en 1%, el valor de la contaminación del aire aumentará en 0.098%; en el caso de la producción del sector energía si incrementa en 1%, el valor de la contaminación del aire aumentará en 0.24%; mientras que en el caso del parque automotor si aumenta en 1%, el valor de la contaminación del aire incrementará en 0.19%; por último con respecto a la densidad poblacional si este incrementa en 1%, el valor de la contaminación del aire disminuirá en 0.77%.








