

Artigos
Distribuição espacial de atributos florestais em um ecossistema de Mecrusse, no sul de Moçambique
Spatial distribution of forest attributes in a Mecrusse ecosystem in southern Mozambique
Revista Espinhaço
Universidade Federal dos Vales do Jequitinhonha e Mucuri, Brasil
ISSN-e: 2317-0611
Periodicidade: Semestral
vol. 11, núm. 1, 2022
Recepção: 09 Março 2022
Aprovação: 18 Maio 2022

Resumo: O conhecimento da variabilidade espacial das características dendrométricas pode auxiliar no planejamento e estratificação de inventários florestais. Este trabalho teve como objetivo verificar a dependência da distribuição espacial, num fragmento de Mecrusse, Androstachys johnsonii, da altura dominante, volume, área basal e densidade de: (a) todas as espécies, (b) espécie dominante e (c) todas as espécies excluindo a dominante. Foram usados dados de 79 unidades amostrais na Província de Gaza, sul de Moçambique, onde foram medidas todas as árvores com diâmetro à altura do peito (DAP) maior ou igual a 10 cm. As variáveis foram associadas à coordenada geográfica do ponto de coleta para o processamento dos dados por meio de geoestatística. Foram ajustados e testados os modelos Esférico Exponencial e Gaussiano, pelo método dos mínimos quadrados ordinários. O modelo exponencial teve melhor ajuste e foi selecionado para estimar as características dendrométricas. A variável altura dominante não apresentou dependência espacial quando analisada para todas as espécies da floresta e para a espécie de Androstachys johnsonii. A dominância da espécie estudada apresentou dependência espacial. A interpolação por meio da krigagem ordinária mostrou a distribuição espacial da área basal variando de 4 a 42 m.ha-1 e as regiões Norte e Nordeste com maiores concentrações que a região Sul.
Palavras-chave: Androstachys johnsonii, monodominância, geoestatistica, krigagem.
Abstract: Spatial variability of biometric variables can assist in planning and stratification of forest inventories. This work aimed to check the dependence of spatial distribution in a fragment of Mecrusse, Androstachys johnsonii, by comparing the spatial distribution of dominant height, volume, basal area, and density of (a) all species, (b) the dominant species and (c) all species excluding the dominant. Were used data from 79 temporary plots of 0.2 ha in the region of, Gaza Province, southern Mozambique. Were measured all the trees with diameter at breast height (DBH), greater than or equal to 10 cm (DBH ≥ 10 cm). The variables were associated with the geographic coordinate of the collection point for the processing of data by geostatistics techniques. Have been tested three models (Spherical, Exponential and Gaussian), by the method of ordinary least squares. The exponential model obtained best fit between the others and was selected and used to estimate the variables for all forests. The variable dominant height showed no spatial dependence, when analyzed for all forest or to the species of Androstachys johnsonii. The dominance of the species studied presented spatial dependence. The interpolation by ordinary kriging spatial distribution showed basal area ranging from 4 to 42 m2ha-1, and North and northeast regions with higher concentrations than the South.
Keywords: Androstachys johnsonii, monodominance, geostatistics, kriging.
1. Introdução
O mecrusse é um tipo de floresta em que a espécie dominante de dossel é Androstachys johnsonii, cuja cobertura relativa varia de 80% a 100% (Magalhães 2017). Androstachys johnsonii é uma espécie arbórea nativa de Madagáscar e África. No entanto, no início da década de 1960, Androstachys johnsonii já havia sido relatada como quase completamente restrita a Moçambique (Cardoso, 1963), devido à sua super exploração, onde se encontra principalmente na parte mais a sul do país, em Inhambane e província de Gaza (Magalhães, 2015). Em Moçambique, é classificada como madeira de primeira classe e é colhida legalmente, desde que as árvores tenham diâmetro à altura do peito (DAP) superior a 30 cm. Esta espécie arbórea raramente ultrapassa os 35 cm de DAP (Magalhães e Seifert, 2015).
As florestas de A. johnsonii (Mecrusse) são muito importantes. Além de restrito a Moçambique (Cardoso, 1963), o Mecrusse tem importante valor socioeconômico para as comunidades locais, que utilizam as estacas de A. johnsonii na construção de casas, abrigos e móveis e as vendem para geração de renda. Na escala global, o Mecrusse é relatado como um ponto de inflexão no desenvolvimento ecológico e socioeconômico regional (Magalhães 2017), daí a importância de conhecer e modelar a distribuição espacial das suas variáveis dendrométricas e das florestas onde estão inseridas.
Apesar da sua importância e alta exploração, ainda faltam estudos sobre esta espécie em qualquer ramo da ciência florestal, particularmente no que diz respeito à sua distribuição espacial. A caracterização espacial é fundamental para o entendimento dos ecossistemas florestais. Muitos estudos objetivam investigar as relações entre a distribuição e o crescimento de florestas nativas e suas relações com as variáveis ambientais (Santos et al., 2013).
Os métodos estatísticos tradicionais aplicados ao inventário florestal utilizam uma medida central (média) e uma medida de dispersão (variância) para descrever uma determinada variável dendrométrica. Contudo esses métodos não levam em consideração as possíveis correlações entre observações vizinhas e, portanto, não exploram suficientemente as relações que possam existir entre as unidades amostrais (Mello, 2004; Rufino et al., 2006).
A dependência espacial (DE) de variáveis dendrométricas (número de indivíduos, área basal, altura, volume e biomassa, entre outras) é natural, pois reflete a ocupação dos espaços e usos dos recursos disponíveis no meio pelas espécies, que é condicionada pelos diferentes níveis de competição, pela forma e arquitetura das espécies, qualidade do sítio, distância entre árvores e aberturas na floresta, entre outros fatores (Whitmore, 1990; Rode et al., 2010; Amaral et al., 2011). Muitos estudos ecológicos apontam que, se não todas, a maioria das comunidades são espacialmente estruturadas e que os métodos de amostragem devem ser robustos, para detectar diferentes níveis de autocorrelação espacial (Goslee, 2006).
Uma possível forma de modelar esse padrão espacial incorporando a estrutura de continuidade espacial é pela abordagem de modelagem geoestatística que associa o grau de dependência espacial a medidas de distância e direção entre os pontos amostrados (Viola, 2007). Além de incorporar a estrutura de continuidade espacial, tais modelos permitem predizer valores em pontos não amostrados, possibilitando a construção de mapas que descrevem a distribuição espacial de variáveis de interesse.
A Geoestatística foi inicialmente chamada de Teoria das Variáveis Regionalizadas, segundo a qual os seus valores estão relacionados à sua disposição espacial, ou seja, os valores de dois pontos vizinhos são parecidos e, a medida que se distanciam, tornam-se menos parecidos (Matheron, 1971). O mesmo foi postulado pela primeira lei da Geografia, que diz que coisas próximas estão mais relacionadas que coisas distantes (Tobler, 2004).
Outro aspecto de extrema relevância para o gestor florestal é a redução de custos, que pode estar associada à aplicação das técnicas geoestatísticas na gestão florestal. O custo do inventário florestal está relacionado, essencialmente, com a intensidade de amostragem e, como as técnicas geoestatísticas permitem explorar as relações espaciais entre as variáveis ambientais e dendrométricas, é possível passar de uma avaliação pontual para uma avaliação contínua, sempre que exista correlação espacial entre as variáveis, mantendo o nível de precisão e reduzindo o custo associado ao registro de dados dendrométricos (Mello, 2004).
O objetivo do presente estudo foi avaliar a distribuição e correlação espacial das variáveis área basal, altura dominante, número de árvores e volume, em uma floresta monodominante da espécie Androstachys johnsonii, localizada em Moçanbique, por meio de geoestatística, comparando a distribuição espacial destas variáveis para (a) todas as espécies, (b) a espécie dominante e (c) todas as espécies excluindo a dominante.
2. Material e métodos
2.1 Área de estudo
O estudo foi desenvolvido em ambiente de terra firme, no Distrito de Manjacaze, situado no Sul de Moçambique, entre as latitudes de 24º 04’ e 25º 00’ e entre as longitude de 33º 56’ e 34º 28’. O clima da região é do tipo “Aw e BSh” na classificação de Köppen, sendo tropical seco de estepe no interior continental e úmido no litoral. As temperaturas médias mensal e anual situam-se entre os 20 e 28ºC e acima de 24ºC, respectivamente. Os níveis de precipitação estão distribuídos irregularmente entre os meses de Novembro a Março, sendo que o volume de precipitação anual varia de 400 a 950 mm. A pluviosidade vai aumentando no sentido Norte a Sul do Distrito, fato que tem efeitos diretos no crescimento anual das plantas, uma vez que os dias chuvosos no Norte são 150, enquanto no Sul são 270 (INE, 2017).
Segundo Wild e Fernandes (1968), a vegetação varia de acordo com os tipos de solo e topografia. A área de estudo é caracterizada por um mosaico de floresta perenifolia, constituída por Mecrusse (Androstachys johnsonnii), Chacate preto (Guibourtia conjugata), Messassa (Brachystegia spiciformis), entre outras. O estrato inferior é composto por uma vegetação arbustiva de Strychnos madagascariensis. Nas áreas com formações florestais abertas ocorrem, de forma dispersa, espécies como Canhu (Sclerocarya birrea), Chivonzdoana (Combretum apiculatum) e Ncaia (Acacia nigrescensis).
2.2 Levantamentos em campo
Foram estabelecidas 79 unidades amostrais (UA) temporárias (Figura 1) de 20 m x 100 m (0,2 ha), seguindo os padrões de estabelecimento usados por Philips (1994), Condit (1998) e Marzoli (2007). As UA foram alocadas por meio da amostragem casual simples. Em cada parcela foram medidas e identificadas as espécies com diâmetros à altura de 1,3 m do solo (DAP) maior ou igual a 10 cm (Kearsley et al., 2013). As variáveis mensuradas foram DAP e altura total dos indivíduos das UA.

2.3 Análise geostatística
Inicialmente, foi realizada uma análise exploratória, com a finalidade de observar a tendência espacial dos dados e detectar a presença de outliers, que podem afetar a qualidade da análise geoestatística. Foram calculadas as estatísticas descritivas de tendência central e de dispersão (média, mediana, moda, desvio padrão e coeficiente de variação). E foram analisados gráficos em função da longitude (NS) e da latitude (WE), boxplot e de frequência. (Mello et al., 2009).
2.4 Estudo Variográfico
Após a análise exploratória, a análise geoestatística foi aplicada para a identificação da possível dependência espacial por parcela do número de árvores (N), da área basal (G), altura dominante (HD) e volume (V) da (i) Androstachys johnsonii versus as espécies mais dominantes e (ii) todas as espécies versus Androstachys johnsonnii. Utilizou-se o semivariograma, com base nas pressuposições da hipótese intrínseca, que determinam que a relação de dependência espacial é a mesma em qualquer posição de “h”, dentro de um determinado alcance da continuidade espacial, o qual pode ser estimado pelo estimador clássico de Matheron (1971). Veja a equação 1:
[Equação 1]Em que: γ(h) é a semivariância; N(h) é o número de pares de valores (xi;xj), e "z" é a variável em estudo. O estimador y(h) é não viesado para y(h) se Z(x) for intrinsecamente estacionário.
Para os ajustes de modelos espaciais foi utilizado o método dos mínimos quadrados ordinários (Ordinary Least Square OlS), testando os modelos esférico (Equação 2), exponencial (Equação 3) e gaussiano (Equação 4).
[Equação 2, 3 e 4.]Para a seleção dos modelos foram utilizados a Raiz do Erro Quadrático Médio (RMSE, equação 5); o Critério de Informação de Akaike (AIC, equação 6) (Mc Bratney e Webster, 1986); e a Dependência Espacial (DE, equação 7) (Biondi et al., 1994).
[Equação 5, 6 e 7.]A language and environment for statistical computing. Vienna: R Foundation for Statistical Computing.
As análises foram realizadas com auxílio do pacote geoR (Ribeiro Júnior e Diglle, 2001) da plataforma R (R CORE TEAM, 2019). A estimativa dos pontos não amostrados foi efetuada a partir da krigagem ordinária. Por meio do interpolador geoestatístico foi originado o mapa da distribuição espacial da variável regionalizada em estudo a partir do programa ArcGIS 10.1.
3. Resultados
As estatísticas descritivas para as variáveis obtidas nas 79 unidades amostrais são apresentadas na Tabela 1. Observa-se a presença de outras espécies, além da A. Jonhsonii, em 56 unidades amostrais. Nas outras 23 UA a espécie A. jonhsonii ocorre em povoamento puro.

Observa-se que a maioria das variáveis apresenta altos valores de coeficiente de variação (CV%), o que indica grande variabilidade ao longo da área, possivelmente devido ao manejo florestal inadequado. Contudo, nas variáveis diretamente medidas no campo (DAP e Hdom), o CV foi abaixo de 30 %. Os maiores valores foram observados na avaliação de todas as espécies, excluindo A. jonhsonii, para a área basal e volume com 106,57% e 112,75%, respectivamente. O menor valor foi observado quando se estudou a altura dominante de todas as espécies, incluindo A. jonhsonii, com 17,94%. Observa-se que A. jonhsonii teve o dobro do número de indivíduos em relação às outras espécies existentes na área. Este fato refletiu-se também na variável volume.
Na Tabela 2 constam as estimativas dos parâmetros para os modelos ajustados e as estatísticas de análise de desempenho para as variáveis número de indivíduos, altura dominante, área basal e volume. As características dendrométricas número de indivíduos, área basal e volume apresentaram dependência espacial. A altura dominante, como variável representante da componente estrutural, teve um efeito pepita puro, indicando uma distribuição espacial aleatória para esta variável.

O alcance, de acordo com a Tabela 2, variou de 1617.57 a 17197.63m. Os maiores alcances foram obtidos sempre na presença da espécie dominante, A. jonhsonii, e os menores na ausência. A análise dos resultados mostra que, em geral, o modelo exponencial proporcionou os melhores ajustes.
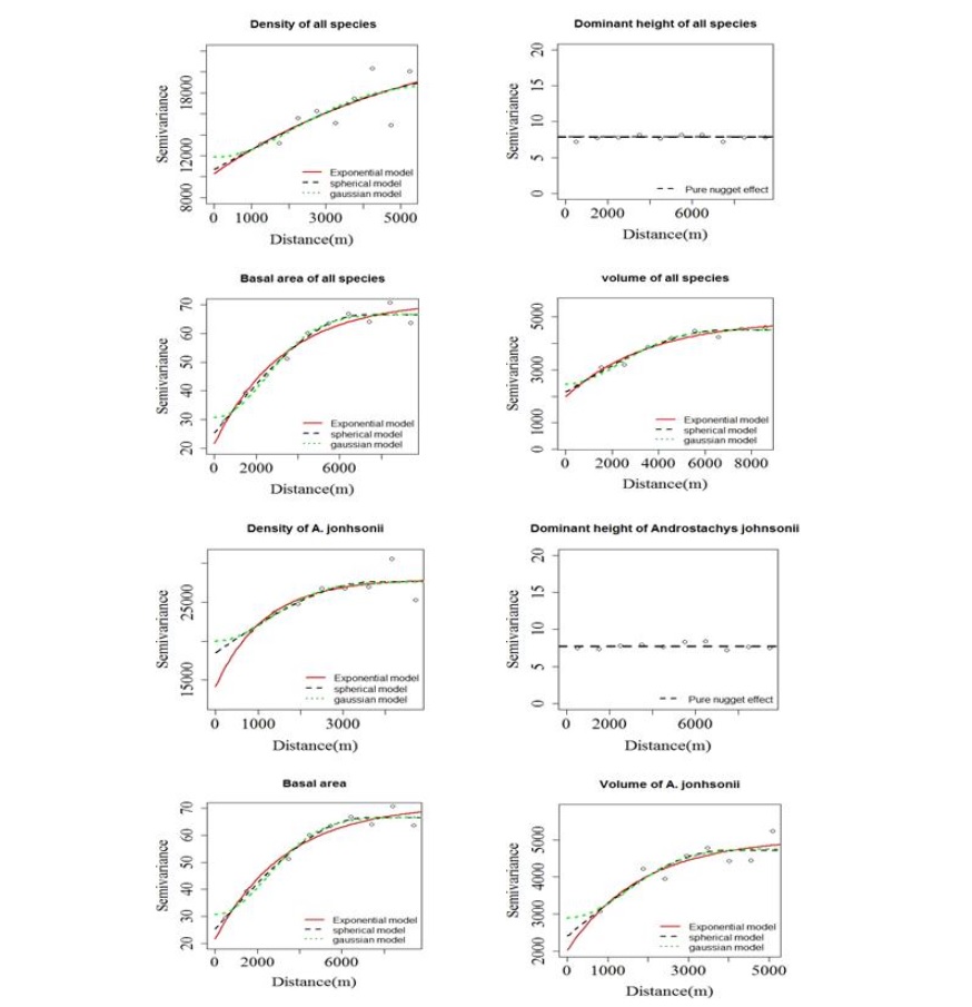
A Figura 2 retrata o comportamento de todas as espécies no que diz respeito às variáveis volume, área basal, densidade e altura dominante, quanto a sua distribuição espacial. Cada variável mostrou que possui uma variação espacial diferente da outra.

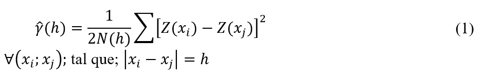
Considerando os semivariogramas da variável altura dominante de todas as espécies e da espécie A. jonhsonii em separado, verifica-se que este último apresentou efeito pepita puro, não respeitando o conhecimento a priori de que os dados coletados nas UA estão correlacionados no espaço. De acordo com este aspecto, pode-se considerar uma independência das observações, ou seja, o valor da altura dominante observada no ponto de coordenadas 1 não tem relação com o valor da altura dominante no ponto de coordenadas 2.
A altura dominante, quando analisada considerando-se apenas as outras espécies (Figura 3), mostrou comportamento diferente, sendo que o modelo esférico apresentou o melhor desempenho, com um alcance menor, no valor de 1420 m, mas com maior dependência espacial, de 60%.

Pela Figura 3, observa-se que, para a área basal, a densidade e o volume, o modelo exponencial apresentou os maiores valores de dependência, contudo o maior alcance foi atingido pelo modelo esférico. Com este contraste, usou-se o AIC como critério de seleção do modelo, que indicou o modelo exponencial como sendo o melhor.
Para a krigagem da densidade das árvores, considerando-se todas as árvores, foi utilizado o modelo exponencial que, além de ter apresentado maior dependência espacial (58%), apresentou um AIC de -1006.4, o menor valor em relação aos demais (esférico = -794.37 e gaussiano = -784.0). No que diz respeito ao RMSE não houve diferenças entre os diferentes modelos analisados. A Figura 4 ilustra o desempenho dos parâmetros na quantificação do número de árvores, usando o modelo exponencial.

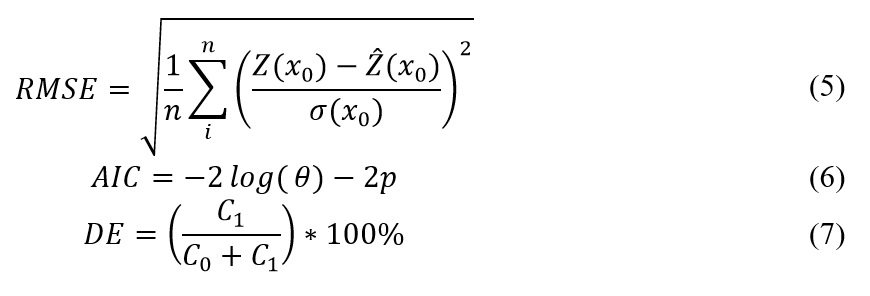
Quando analisada separadamente, a A. jonhsonii apresentou uma dependência espacial com um alcance de 3000 a 5000 m, evidenciando a ocorrência de uma maior estratificação das variáveis dendrométricas desta espécie (Figura 5).
A Krigagem da altura dominante realizada com o ajuste do modelo esférico indica ausência de árvores mais altas na região Sul da floresta e uma maior concentração das árvores altas nas regiões Centro e Norte. A variação foi de 6,23 a 7,93m no Sul e de 17,23 a 19,40 m no Norte na região Central. Quando analisadas as outras variáveis, observa-se uma menor densidade na região Sul. O mesmo foi observado também em relação à área basal e o volume (Figura 6).


4. Discussão
A estatística descritiva apresentou uma grande variabilidade entre os dados. Essas estatísticas agravam-se com o aumento da entropia das espécies, sendo relativamente menor quando avaliado apenas para A. jonhsonii. Alguns coeficientes de variação (CV) encontrados ficaram acima de 30%. Estes valores foram considerados por Pimentel Gomes e Garcia (2002) como sendo altos.
As métricas da estrutura florestal apresentam diferenças significativas quando comparadas com a presença e a ausência da espécie A. jonhsonii. A densidade das árvores foi significativamente menor na ausência de A. jonhsonii (100 árvores.ha-1, p-valor<0,004) em comparação com a presença (244 árvores.ha-1, p-valor<0,000021). A área basal duplicou de 6,08 m2.ha-1, sem a A. jonhsonii, para 12,36 m2.ha-1 (p-valor< 0,011), com a A. jonhsonii. Ao analisar os resultados encontrados em estudos realizados em outras florestas monodominantes, estes foram relativamente menores aos de Kearsley et al. (2017) que, ao estudar Gilbertiodendron dewevrei, encontrou 343±80 árvores.ha-1 e área basal de 29,7±2,6 m2.ha-1.
A altura dominante não apresentou dependência espacial. Este fato pode estar associado a dois fatores: o método de obtenção utilizado, que foi a metodologia proposta por Assmann (1970), o qual estima a altura dominante e codominante (Hdom) como sendo a média das 100 árvores mais grossas por hectare; e o método de exploração seletiva das árvores com maiores diâmetros da espécie A. jonhsonii. Este resultado contrasta com vários estudos que encontraram dependência espacial no estudo da variável altura total (Samra et al.,1989; Menegol, 1991; Wulder et al., 1996; Tonini et al., 2002). Isso sustenta a hipótese de que a exploração seletiva das árvores de A. jonhsonii com maiores valores de DAP influencia na análise de todas as espécies como um todo. A falta de continuidade espacial ou a variabilidade em pequena escala para variáveis florestais foi também descrita em outras formações florestais devido a causas antrópicas (intensa extração seletiva de espécies madeiráveis, pastoreio, retirada de lenha, entre outras) que degradaram a vegetação e quebraram a continuidade espacial (Akhavan et al., 2010). A queda de árvores gera descontinuidades no estrato dominante da floresta, que podem alterar a estrutura de dependência espacial de variáveis florestais.
O volume, quando avaliado para todas as espécies, apresentou um gradiente de crescimento do Sul ao Norte, variando entre 21,77 m3.ha-1 e 375,34 m3.ha-1. Isso demonstra a ocorrência de maiores níveis de exploração florestal na região próxima ao centro urbano do que em áreas não antropizadas na região Norte. Outro fator importante é em relação às barreiras naturais existentes. As regiões laterais da área de estudo e a região Norte são protegidas por rios e lagoas, sendo que a região Norte fica a 300 km da região antropizada. Isso faz com que haja menos exploração, consequentemente, maior concentração do volume e demais variáveis.
Assis et al. (2009), avaliando a continuidade espacial de volume para eucalipto, verificaram que, nas idades de 2 a 3 anos, houve forte dependência espacial. O mesmo aconteceu com os dados de volume por hectare do presente estudo. Por outro lado, Mello et al. (2009), trabalhando com dados de volume em eucalipto nas idades de 3 e 4 anos, não detectaram a ocorrência de dependência espacial.
A variação do alcance da altura dominante das outras espécies, de 1300 a 2300 m, pode ser considerada muito pequena ao se levar em conta que esta variável é usada para classificação de sítio florestal. Com o auxílio dos mapas de krigagem observou-se que o remanescente florestal apresenta considerável heterogeneidade espacial para o número de árvores, área basal e volume da A. jonhsonii. O mesmo foi observado no estudo das outras espécies demonstrando variabilidade espacial. Com isso, o ato de assumir apenas um valor de medida de posição central não é adequado para representar toda a extensão da área, conforme relatado por Rufino et al. (2006). Todas as características dendrométricas estudadas apresentaram seu semivariograma específico.
5. Conclusões
O processamento do inventário florestal considerando a correlação espacial pode proporcionar estimativas confiáveis e precisas de variáveis dendrométricas (área basal, altura dominante, número de árvores e volume).
As características dendrométricas área basal, número de árvores e volume demonstraram dependência espacial, com exceção da altura dominante na presença de A. jonhsonii.
Em toda a área de estudo, as características dendrométricas do A. jonhsonii foram superiores em relação outras espécies, independentemente da sua localização.
O modelos geoestatístico gaussiano é o mais adequado para representar todas as espécies. No caso da espécie A. jonhsonii, o modelo exponencial é aconselhável para número de árvores e área basal, sendo que para o volume recomenda-se o modelo esférico. Para outras espécies, excluindo A. jonhsonii, o modelo exponencial é adequado para todas as variáveis, exceto altura dominante, em que o modelo mais adequado é o esférico.
A. jonhsonii apresentou uma dominância na área de estudo, e pode-se verificar um aumento gradual nos valores das suas variáveis no sentido Sul - Norte, sendo que as regiões com maiores valores coincidem com as regiões mais distantes da região mais antropizada.
Referências
Akhavan, R., Zahedi Amiri, G., Zobeiri, M. (2010). Spatial variability of forest growing stock using geostatistics in the Caspian region of Iran. Caspian Journal of Environmental Sciences, v. 8, n. 1, p. 43-53.
Amaral, L. P., Ferreira, R. A., Watzlawick, L. F., Longhi, S. J., Sebem, E. (2013). Influência da floresta alterada na distribuição espacial de três espécies da Floresta Ombrófila Mista avaliada pela geoestatística. Revista Árvore, v. 37, n. 3, p. 491-501. https://doi.org/10.1590/S0100-67622013000300012.
Assis, A. L. de., Mello, J. M., Guedes, I. C. L., Scolforo, J. R. S., Oliveira, A. D. (2009). Development of a sampling strategy for young stands of Eucalyptus sp. using geostatistics. Cerne, v. 15, n. 2, p. 166-173.
Assmann, E. The principles of forest yield study. Oxford: Pergamon, 1970. 506 p.
Biondi, F., Myers, D. E., Avery, C. C. Geostatistically modeling stem size and increment in an old-growth forest. Canadian Journal of Forest Research, v. 24, p. 1354–1368, 1994.
Cardoso, G.A. (1963). Madeiras de Moçambique: Androstachys johnsonii. Maputo, Mozambique: Serviços de Agricultura e Serviços de Veterinária.
Condit, R. (1998). Tropical Forest Census Plots: Methods and Results from Barro Colorado Island, Panama and a Comparison with Other Plots. London: Springer.
Goslee, S. C. (2006). Behavior of vegetation sampling methods in the presence of spatial autocorrelation. Plant Ecology, v. 187, p. 203-212.
INE – Instituto Nacional de Estatística. (2017). Indicadores distritais do Censo de 2017 - Moçambique. MAPUTO: Instituto Nacional de Estatística.
Kearsley, E., de Haulleville, T., Hufkens, K., Kidimbu, A., Toirambe, B., Baert, G., Verbeeck, H. (2013). Conventional tree height–diameter relationships significantly overestimate aboveground carbon stocks in the Central Congo Basin. Nature Communications, v. 4, 2269. https://doi.org/10.1038/ncomms3269.
Kearsley, E., Verbeeck, H., Hufkens, K., Van De Perre, F., Doetterl, S., Baert, G., Beeckman, H., Boeckx, P., Huygens, D. (2017). Functional community structure of African monodominant Gilbertiodendron dewevrei forest influenced by local environmental filtering. Ecology and Evolution, v. 7, n. 295–304. https://doi.org/10.1002/ece3.2589.
Magalhães, T. M., Seifert, T. (2015). Tree component biomass expansion factors and root-to-shoot ratio of Lebombo ironwood: measurement uncertainty. Carbon Balance Manage, v. 10, p. 9. https://doi.org/10.1186/s13021-015-0019-4.
Magalhães, T.M. (2015). Live above- and belowground biomass of a Mozambican evergreen forest: a comparison of estimates based on regression equations and biomass expansion factors. Forest Ecosystems, v. 2, n. 28. https://doi.org/10.1186/s40663-015-0053-4.
Magalhães, T. M. (2017). Carbon stocks in necromass and soil pools of a Mozambican tropical dry forest under different disturbance regimes. Biomass and Bioenergy, v. 105, p. 373-380. https://doi.org/10.1016/j.biombioe.2017.07.023
Marzoli, A. (2007). Inventário Florestal Nacional. Maputo, Moçambique: Coperazione Italiana. 86 p.
Matheron, G. (1971). The theory of regionalized variables. Paris, France: École Nationale Supérieure des Mines de Paris. 211 p.
Mc Bratney, A. G., Webster, A. G. (1986). Choosing functions for semi-variograms and fitting them to sampling estimates. Journal of Soil Science, v. 37, p. 617-639. https://doi.org/10.1111/j.1365-2389.1986.tb00392.x.
Mello, J. M., Diniz, F. S., Oliveira, A. D., Scolforo, J. R. S., Acerbi junior, F. W., Thiersh, C. R. (2009). Métodos de amostragem geoestatística para estimativa do número de fustes e volume em plantios de Eucalyptus grandis. Floresta, v. 39, p. 157-166. http://dx.doi.org/10.5380/rf.v39i1.13735.
Mello, J. M. (2004). Geoestatística aplicada ao inventário florestal. Doutorado, Universidade de São Paulo, Brasil.
Menegol, O. (1991). Índice de sítio e relação entre altura dominante e teores nutricionais das acículas em povoamentos de Pinus elliottii var, elliottii no segundo planalto Paranaense. Mestrado, Universidade Federal do Paraná, Brasil.
Philip, M. S. (1994). Measuring Trees and Forests. 2nd ed. Wallingford: CAB International. 310 p.
Pimentel Gomes, F., Garcia, C. H. (2002). Estatística aplicada a experimentos agronômicos e florestais. Piracicaba: FEALQ, 2002. 309 p.
R Core Team. R. (2019). A language and environment for statistical computing. Vienna: R Foundation for Statistical Computing.
Ribeiro Júnior, P. J., Diggle, P. J. (2001). geoR: Apackage for geostatistical analysis. R-News, v. 1, p. 15-18.
Rode, R., Figueiredo-Filho, A., Machado, S. A., Galvão, F. (2010). Análise do padrão espacial de espécies e de grupos florísticos estabelecidos em um povoamento de Araucaria angustifólia e em uma Floresta Ombrófila Mista no centro-sul do Paraná. Floresta, v. 40, p. 255-268.
Rufino, T. M. C., Thiersch, C. R., Ferreira, S. O., Kanegae Junior, H., Fais, D. (2006). Uso da Geoestatística no estudo da relação entre variáveis dentrométricas de povoamentos de Eucalyptus sp. e atributos do solo. Ambiência, v. 2, n. 1, p. 83-93.
Samra, J. S., Gill, H. S., Bhatia, V. K. (1989). Spatial stochastic modelling of growth and forest resource evaluation. Forest Science, v. 35, n. 3, p. 663-676.
Santos, M. C. N., Mello, J. M., Mello, C. R., Avila, L. F. (2013). Spatial continuity of soil attributes in an atlantic forest remnant in the mantiqueira range, MG. Ciência e Agrotecnologia, v. 37, n. 1, p. 68-77.
Tobler, W. R. (2004). On the First Law of Geography: A Reply. Association of American Geographers, v. 94, n. 2, p. 290-293.
Tonini, H., Finger, C. A. G., Schneider, P. R., Spathelf, P. (2002). Comparação gráfica entre curvas de índice de sítio para Pinus elliottii e Pinus taeda desenvolvidas no Sul do Brasil. Ciência Florestal, v. 12, p. 143-152.
Viola, D. N. (2007). Detecção e modelagem de padrão espacial em dados binários e de contagem. Doutorado, Universidade de São Paulo, Piracicaba, 2007.
Whitmore, T. C. (1990). An Introduction to Tropical Rain Forest. Oxford: Clarendon Press, 1990.
Wild, H., Fernandes, A. (1968). Flora Zambesiaca-vegetation map and suplement. Zimbabwe: Salisbury. 68 p.
Wulder, M. A., Lavigne, M., Franklin, S. E. (1996). High spatial resolution optical image texture for improved estimation of forest stand leaf area index. Canadian Journal of Remote Sensing, v. 22, p. 441-449.

