Resumen: Este trabajo se realizó en los aserríos de Cayo Güin y el Toa perteneciente a la Empresa Agroforestal de Baracoa con el objetivo determinar la influencia que tienen los defectos de la madera en bolo en el rendimiento de la madera aserrada de Pinus cubensis. Para ello se caracterizó la materia prima y se determinó los principales defectos de la madera en bolo: conicidad, curvatura del fuste, tableadura y excentricidad del corazón. Luego se determinó el rendimiento de cada troza. Donde los modelos que mejores resultados obtuvieron fueron: R=- 4,46053T+4,78936Cu+67,2177CO para el aserrío Cayo Güin con un R2 de 0,95 y para el aserrío del Toa se obtuvo: R=23,2671CO+8,5648Cu+4,4137 T con un R2 de 0, 85. Siendo la conicidad el defecto que más influyen en el rendimiento en ambos casos debido a la diferencia del diámetro en los extremos fino y grueso.
Palabras clave: rendimiento,aserríos,defectos.
Abstract: This work was carried out in the Cayo Güin and El Toa sawmil belonging to the Baracoa Agroforestry Company with the objective of determining the influence that bolus wood defects have on the Pinus cubensis yield. To do this, the raw material was characterized and the main defects of the bolus wood were determined: taper, shaft curvature, flatness and eccentricity of the heart. Then, the yield of each log was determined. The following model was obtained: R = -4.46053T + 4.78936Cu + 67.2177CO for the Cayo Guin sawmill with an R2 of 0.95. For the Toa sawmill the following model was obtained: R = 23.2671CO + 8.5648Cu +4.4137 T with an R2 of 0.85. Taper was the most influent defect in yield, in both cases, due to the diameter difference at the thin and thick ends.
Keywords: performance, sawmills, defects.
Modelos matemáticos para determinar la Influencia de los defectos de la madera en bolo en el rendimiento del Pinus cubensis
Mathematical model to determine the Influence of bolus wood defects on Pinus cubensis yield
Recepción: 06 Julio 2020
Aprobación: 19 Septiembre 2020
Los bosques son de vital importancia para mantener la vida en la Tierra y desempeñan un papel importante en la lucha contra el cambio climático (ONU, 2019). Los mismos abarcan según la FAO (2020), poco más del 30% de la superficie terrestre. A nivel mundial se han implementado, diferentes tecnologías que permiten mejorar los indicadores de la eficiencia en la pericia y habilidad del personal técnico del aserradero y en las características dela materia prima, las que parten desde los programas de optimización en los aserraderos, hasta las basadas en la aplicación de prácticas de aserrado, apoyándose fundamentalmente en el análisis de las diferentes variables y la toma de decisiones de aserrado en un corto intervalo de tiempo (Álvarez, 2004).
Los defectos de la madera pueden ser debidos tanto a causas naturales durante el crecimiento del árbol, como a los tratamientos a los que se ven sometidos, estos influyen en el rendimiento y en las propiedades de la madera, González, (2000) plantean que existen unas series de elementos que influyen en este rendimiento como son: la clasificación de los bolos por clase diamétricas, vitolages estables, dimensión del bolo, irregularidades de los bolos, afilado de los útiles de corte, operadores calificados y diseño de la tecnología.
En la Empresa Agroforestal de Baracoa el Pinus cubensisse caracteriza por presentar una serie de defectos de las trozas, debido a causas naturales o a los tratamientos silviculturales en lo que fue sometida esta especie y estos defectos afectan en muchas ocasiones el rendimiento de la madera. Por lo que con la realización de este trabajo se pretende determinar la influencia que tienen los defectos de la madera en bolo en el rendimiento de la madera aserrada del Pinus cubensis los aserríos de Cayo Güin y Toa de la Empresa Agroforestal de Baracoa.
El estudio fue realizado en los aserríos de Cayo Güin y el Toa, perteneciente a la Empresa Forestal Integral (EFI) Baracoa, provincia de Guantánamo.
El tamaño de la muestra determinado fue de 22 trozas para el aserrío del Toa y 15 para el aserrío de Cayo Güin, con un límite de error de un 5 %. Fueron tomadas y evaluadas un número superior de trozas en ambos aserríos, lo cual muestra que el muestro realizado fue representativo en el área de estudio (tabla 1).

Para determinar el tamaño de la muestra, se utilizó el diámetro medio de las trozas de Pinus cubensis, donde se asume un error de muestreo de 5%, con un nivel de confianza de un 95% de probabilidad. La ecuación utilizada fue la siguiente:

Para determinar los defectos de conicidad, excentricidad del corazón, curvatura del fuste y tableadura, se utilizó la metodología de Álvarez et al., (2013).
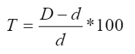
a) Conicidad de las trozas
(1)b) Excentricidad
(2)Donde: Ex, Excentricidad (%); R, radio máximo desde la médula (m) y D, diámetro mayor de la troza (m).
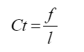
c) Curvatura de la troza
(3)Donde: f, distancia que comprende el punto máximo de la concavidad que caracteriza la curvatura del fuste y l, longitud de la troza, cm.
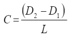
d) Tableadura
(4)Donde: T, Tableadura; D, Diámetro máximo y d, Diámetro mínimo.
A partir del volumen de la madera en bolo y el volumen de la madera aserrada, se determinó el rendimiento en los aserraderos El Toa y Cayo Güin, como se muestra a continuación:
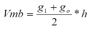
- Volumen de madera en bolo
(5)Donde: Volumen de madera aserrada
(6)Rendimiento de la madera (R, %)
(7)Donde: Vmb, volumen de la madera en bolo; Vma, volumen de la madera aserrada; g1, área basal en el extremo fino; go, área basal en el extremo grueso; h, longitud de la troza; gj= Grosor de la pieza; aj, Ancho de la pieza; lj, longitud de la pieza y n, Número de piezas aserradas en una troza.
Para el análisis de los datos se hizo una regresión múltiple y se obtiene un modelo matemático, tomando el rendimiento como variable dependiente; y la curvatura del fuste, la tableadura, la conicidad, y la excentricidad del corazón como variable independiente. Se utilizó el Microsoft Excel y el SPSS Ver. 21.0 para el procesamiento de los datos.
A partir de la información obtenida en las Tabla 2 y 3, se puede expresar que las magnitudes de estos defectos (conicidad, curvatura del fuste, excentricidad del corazón y tableadura). Se demuestra que la conicidad estuvo por encima de 1,5 cm/m, la tableadura por encima de 2%, la curvatura del fuste hasta 2,5% de la longitud del fuste y la excentricidad del corazón hasta un 10%.


Los valores medios de la conicidad, curvatura del fuste, excentricidad del corazón y la tableadura en el aserrío de Cayo Güin (Tabla 2) es de 1,13; 1,73; 13,16 y 7,7 respectivamente. En el aserrío del Toa (Tabla 3) ocurre algo similar. Todo lo cual permite establecer que en la actualidad no se tiene en consideración la cuantificación de la clasificación de la madera en bolo, aspecto de vital importancia en las industrias de transformación primaria y secundaria de la madera.
Resultados similares fueron obtenidos por Leyva et al., (2015) para el Pinus cubensis, donde plantea que las trozas muchas veces no presentan buena calidad, ya que es normal encontrar en la madera la presencia de nudos, curvatura del fuste, tableadura, fendas, acebolladuras, conicidad; así como, excentricidad, que afectan la calidad y el rendimiento del producto final en el proceso de transformación.
Al determinar el rendimiento del Pinus cubensis como se muestra en la Figura 1 A y B se observan valores que oscilan entre un 35% a un 75%, con una media de 55,2% en el aserrío del Toa y 55,5% en el aserrío de Cayo Güin. Los valores que más se repiten están entre 50% y 55%, coincidiendo con los valores medios. Los valores con que menos frecuencias aparecen son los de menor y mayor rendimiento.
Resultados similares a los obtenidos por Leyva et al., (2017) para el Pinus cubensis en Guantánamo para Pinus caribaea en Pinar de Rio y Nájera et al., (2013) con Pinus sp en México. Se plantea que, al aserrar las trozas sin clasificación, ni definición exacta de un modelo de corte para cada clase diamétrica produce un bajo aprovechamiento de la troza lo que propicia una mayor generación de subproductos y residuos del proceso.

Al analizar la influencia que tienen los defectos en el rendimiento de la madera aserrada se obtuvieron las siguientes ecuaciones validadas por los modelos matemático que se muestran en la Tabla 4.

La probabilidad obtenida para determinar los modelos matemáticos en los diferentes aserríos es inferior a 0,01% para un nivel de confianza de 99% por lo que existe una relación entre la variable dependiente e independiente altamente significativa. Además, la probabilidad de cada una de las variables independiente es también inferiores a 0,01% para un 99% de confiabilidad, por lo que cada una influye significativamente.
Las variables que más influyen son la tableadura, la curvatura del fuste y la conicidad; siendo esta última la que más influye con un coeficiente de 67,21 para el aserrío de Cayo Güin y 23, 26 para el Toa. Estos resultados se corroboran con los planteamientos hechos por Matos (2004), donde plantea que la conicidad de las trozas es la variable de mayor incidencia sobre los bajos rendimientos de la madera aserrada. El coeficiente de correlación en ambos casos es aceptable.
Además, en aserraderos de la región de El Salto, Durango, existe una tendencia que en la medida que aumenta la conicidad, disminuye el rendimiento. La utilización inadecuada de las trozas va a influir negativamente en la eficiencia económica de la producción de la madera aserrada. Leyva et al., (2015) demuestra en estudios realizados para esta especie que la variable que más afecta la conicidad es el diámetro de la base, la cual influye sobre la configuración del perfil longitudinal del fuste.
El defecto de la madera en bolo que más influye en el rendimiento de Pinus cubensis en los aserríos de cayo Güin y Toa es la conicidad de las trozas debido a la diferencia de diámetros en los extremos de las trozas.
Los modelos matemáticos que mejores resultados presentaron en el ajuste para determinar la influencia de los defectos de la madera en bolo en el rendimiento de Pinus cubensis en los dos aserríos fueron, para Cayo Güin: R=-4046053T+4,78936Cu+67,2177Co y para el Toa R=23,2671Co+8,5648Cu+4,41373T.






