

Artigos
CRENÇAS DE AUTOEFICÁCIA E ATITUDES DE ALUNOS DA EDUCAÇÃO BÁSICA: POSSÍVEIS INDICATIVOS DE DESMOTIVAÇÕES PARA A RESOLUÇÃO DE QUESTÕES “MATEMATIZADAS” DE CIÊNCIAS NATURAIS
SELF-EFFICACY BELIEFS AND ATTITUDES OF STUDENTS IN BASIC EDUCATION: POSSIBLE INDICATIVE OF THE DISINCENTIVES TO RESOLVE MATHEMATIZED QUESTIONS OF NATURAL SCIENCES
REAMEC – Rede Amazônica de Educação em Ciências e Matemática
Universidade Federal de Mato Grosso, Brasil
ISSN-e: 2318-6674
Periodicidade: Frecuencia continua
vol. 7, núm. 2, 2019
Recepção: 07 Maio 2019
Aprovação: 21 Junho 2019

Resumo: A presente pesquisa teve como objetivo caracterizar evidências de relações entre a crença de autoeficácia, as atitudes de alunos em relação à resolução de questões “matematizadas” de Ciências Naturais e a motivação para executá-las. A coleta de dados ocorreu com doze turmas de 9º ano do Ensino Fundamental de três escolas estaduais de Cuiabá-MT por meio de entrevistas e testes (similares a avaliações em larga escala). Os testes foram aplicados para duzentos e trinta e nove alunos e as entrevistas para três alunos. Os resultados nos evidenciaram que existem estreitas relações entre o autoconceito em Matemática, a crença de autoeficácia na resolução de questões “matematizadas” de Ciências Naturais e o esforço desprendido para tais resoluções.
Palavras-chave: Atitudes, Autoconceito, Motivação.
Abstract: This research aimed to characterize evidences of the relationships between self-efficacy belief, students’ attitudes towards the resolution of mathematized questions of Natural Sciences and their motivation to execute them. The data were collected in twelve 9th grade classes at three state schools in Cuiabá-MT, Brazil, through interviews and tests (like large-scale assessments). The tests were applied to 239 students and the interviews were conducted with three of them. The results pointed that there are close relationships between the self-concept in Mathematics, the belief of self-efficacy in resolving mathematized questions of Natural Sciences and the effort required in such resolutions.
Keywords: Attitudes, Self-concept, Motivation.
1. INTRODUÇÃO
O presente artigo faz parte de uma nova perspectiva de análise dos dados e com novos aportes teóricos da dissertação de mestrado de Martins (2014) intitulada “A influência da ‘matematização’ na aprendizagem de Ciências Naturais: um estudo sobre a aprendizagem da cinemática no 9º ano do Ensino Fundamental”. A referida dissertação, em sua versão publicada em 2014, buscou compreender as possíveis relações entre a aprendizagem dos conteúdos de ciências naturais com a aprendizagem matemática, em especial a cinemática que se ensina no 9º ano do Ensino Fundamental. O conceito de “matematização” que abordamos neste trabalho diz respeito ao processo de aplicabilidade do pensamento matemático para a compreensão dos fenômenos naturais. Diante disso, quando apresentamos no título desta dissertação os dizeres “a influência da matematização na aprendizagem de ciências naturais”, nos referimos à influência que as aprendizagens matemáticas, ou até mesmo a não aprendizagem matemática possa exercer sobre as aprendizagens de Ciências Naturais. Em síntese, quando nos referimos a questões matematizadas de ciências naturais, estamos nos reportando a conteúdos de ciências, que neste caso foi a cinemática, a qual exige que o aluno possua habilidades matemáticas específicas para compreendê-la.
Dentre as evidências demonstradas na referida pesquisa de mestrado, destacamos a existência de lacunas de aprendizagens matemáticas que, possivelmente, pudessem vir a dificultar a compreensão significativa de conceitos físicos relacionados à cinemática e que, supostamente, pudessem induzir desinteresse por parte dos alunos em aprender não somente a cinemática como também outros conteúdos “matematizados” de Ciências Naturais (MARTINS, 2014). Diante de tal problemática anunciada, propomos realizar neste artigo, enquanto objetivo geral, uma releitura dos dados que permitam caracterizar evidências de relações entre a crença de autoeficácia, as atitudes de alunos em relação à resolução de questões “matematizadas” de Ciências Naturais e a motivação para executá-las. Utilizaremos como aporte teórico a Teoria Social Cognitiva de Albert Bandura (1977; 1993 e 1994), bem como os cinco atributos definidores de atitudes propostos por Klausmeier e Goodwin (1977).
2. CRENÇAS DE AUTOEFICÁCIA, ATITUDES E MOTIVAÇÃO DE APRENDIZAGEM DOS ALUNOS
De acordo com os trabalhos de Bandura (1977, 1993 e 1994), as crenças de autoeficácia estão entre os fatores que constituem mecanismos psicológicos relacionados com a motivação dos alunos para com a aprendizagem. Segundo esse autor, a autoeficácia refere-se às crenças ou expectativas da possibilidade de realizar com sucesso uma determinada tarefa e alcançar um resultado esperado, através de um esforço pessoal. Em outras palavras, é o julgamento que o sujeito faz de si mesmo referente a fatores subjetivos que influenciam na capacidade de realizar determinada tarefa como, por exemplo, sua inteligência, suas habilidades e seus conhecimentos.
Em termos conceituais, a definição de autoeficácia é, muitas vezes, confundida com o de autoconceito, devido ao fato de ambos possuírem o que Bong e Skaalvik apud Neves e Faria (2009) chamam de competência pessoal que, segundo eles, seria um ponto de partida para a construção de percepções que o sujeito possui sobre si mesmo, assim como das crenças de eficácia pessoal. Sendo assim, entendemos que se faz necessária uma breve contextualização sobre as diferenças conceituais desses dois construtos mentais.
O autoconceito está mais relacionado com uma avaliação geral das capacidades e competências pessoais para alcançar êxito em uma determinada tarefa enquanto que a autoeficácia está mais próxima com aquilo que os sujeitos acreditam ser capazes de realizar a partir dessas capacidades e competências que julgam possuir. Em suma, o autoconceito tem suas origens a partir de avaliações de experiências do passado, enquanto que a autoeficácia parte dessas experiências e faz uma avaliação de eventos futuros, representando as expectativas, anseios, medos e ansiedades referentes a uma determinada tarefa que se apresenta em sua vida no presente momento.
Fazendo um paralelo com o objeto do presente trabalho, podemos dizer que os alunos que foram sujeitos de pesquisa da referida dissertação apresentaram autoconceito (positivo ou negativo) com relação à Matemática e, a partir deste, constituíram expectativas em relação às tarefas que lhes foram propostas (teste 2 que foi composto por questões “matematizadas” de Ciências Naturais), caracterizando sua autoeficácia para essa tarefa em especial.
Neves e Faria (2009), por sua vez, caracterizam que o autoconceito é um julgamento sobre a competência pessoal (eu sou, eu tenho) enquanto que a autoeficácia é o julgamento sobre a confiança que possui sobre sua competência pessoal (eu posso, eu consigo). Concluímos, então, que, embora diferentes, esses dois construtos não são divergentes, sendo que ao contrário disso, ambos se complementam. Sendo assim, em situações nas quais o aluno apresentar um autoconceito negativo para uma determinada área, haverá interferências no sentido de faltar esforço (motivação) para realizar tarefas nessa respectiva área. Diante disso, apresentamos algumas características que proporcionam relações intrínsecas entre o conceito de autoeficácia dos alunos e os seus respectivos esforços para alcançar êxito nas tarefas propostas.
De acordo com Bandura (1977; 1993 e 1994), a autoeficácia do sujeito frente a uma tarefa a ser executada determinará seu nível de motivação para tal. Segundo esse autor, as crenças de autoeficácia afetam as escolhas e o curso das ações que o sujeito irá direcionar frente à tarefa a qual foi solicitado concluir. Na mesma lógica, a pesquisa de Boruchovitch e Bzuneck (2009) apresenta uma breve revisão da literatura sobre a relevância das crenças de autoeficácia sobre a motivação e o desempenho escolar. Nela, são apresentadas conclusões, dentre as quais o fato de que alunos com crenças positivas de autoeficácia conseguem resultados melhores em soluções de problemas de matemática bem como em tarefas de leitura, quando comparados a outros alunos com crenças negativas.
Ao analisarmos as pesquisas de Dobarro e Brito (2007; 2010), surge uma nova questão para apoiarmos nossa discussão acerca da motivação dos alunos: a relação entre a atitude e a crença de autoeficácia. Segundo Brito, coadunando com as ideias de Aiken (1970), atitude é:
Uma disposição pessoal, idiossincrática, presente em todos os indivíduos, dirigida a objetos, eventos ou pessoas, que assume diferente direção e intensidade de acordo com as experiências do indivíduo. Além disso, apresenta componentes do domínio afetivo, cognitivo e motor. (BRITO, 1996, p.11).
Segundo Brito (1996, p. 12), “as atitudes são adquiridas e não inatas e embora algumas atitudes sejam mais duradouras e persistentes que outras, elas não são estáveis e variam ao longo da vida dos indivíduos, de acordo com circunstâncias ambientais”. Quando um professor observa a reação de seus alunos diante de um determinado objetivo, o que ele consegue observar é o comportamento deste e não a sua atitude. Porém, as atitudes dos alunos podem ser analisadas através desses comportamentos manifestos e sobre isso Brito (1996) destaca que a atitude é caracterizada por um objeto (em nosso caso, a Matemática), uma direção (positiva ou negativa) e uma intensidade (o aluno gosta ou tem aversão à Matemática). Klausmeier e Goodwin (1977), por sua vez, nos evidenciam que “atitudes e valores estão entre os resultados vitais aprendidos na escola, pois são importantes para determinar como os indivíduos reagem a situações e também o que buscam na vida” (1977, p. 446). Esses autores apresentam cinco atributos definidores sobre atitudes, sendo eles:
1- Aprendibilidade: diz respeito ao fato de todas as atitudes serem aprendidas, sejam elas de maneira intencional ou não.
2- Estabilidade: algumas atitudes são aprendidas e perduram por toda a vida do indivíduo enquanto que outras são aprendidas e depois modificadas ao longo do tempo.
3- Significado pessoal-societário: descreve o fato das atitudes envolverem relações interpessoais (pessoas com pessoas) e entre pessoas e objetos (coisas).
4- Conteúdo afetivo-cognitivo: o componente cognitivo da atitude diz respeito ao conhecimento que se tem sobre algum objeto enquanto que o componente afetivo de uma atitude refere-se às emoções que se tem em relação a esse objeto (agradável ou desagradável; apreciado ou evitado, etc.).
5- Orientação aproximação-esquiva: quando um aluno demonstra uma atitude positiva em relação a um objeto, ocorrerá a tendência de aproximar-se dele. No entanto, se a atitude for negativa, a tendência será de evitar e distanciar-se dele.
Diante do apresentado até o momento, partimos do princípio de que o desenvolvimento de atitudes positivas diante de um objeto vai favorecer o seu aprendizado e motivar a realização de determinadas tarefas sobre ele. No entanto, a presença de atitudes negativas vai direcionar a um desencorajamento dos alunos para se envolverem e participarem das atividades propostas e, dessa forma, propiciar o desenvolvimento de baixa autoeficácia. Sendo assim, o ambiente escolar, em especial a figura do professor, passa a ser uma peça fundamental na perspectiva de desenvolver atitudes positivas nos alunos, não só em relação às aprendizagens matemáticas e de conteúdos “matematizados” de Ciências Naturais, mas nos objetivos educacionais como um todo. Sobre essa importância, Brito destaca que:
Os alunos são de certa forma, influenciados pelas atitudes dos professores e, se estes professores apresentam atitudes positivas com relação ao ensino da disciplina e buscarem formas eficazes para que os alunos entendam o significado daquilo que está sendo ensinado, despertam o interesse do aluno pela disciplina, tornando-a motivadora (BRITO, 1996, p. 26).
Ainda sobre a importância dos professores acerca da influência para que seus alunos venham a ter atitudes positivas, Klausmeier e Goodwin descrevem sete princípios de atitudes, sendo eles:
1) Reconhecer uma atitude facilita sua aprendizagem inicial; 2) Observar e imitar um modelo facilita a aprendizagem de atitudes; 3) Ter sentimento agradável em relação a uma pessoa, evento ou objeto encoraja uma atitude positiva em relação a este; 4) Obter informação sobre uma pessoa, evento ou objeto influencia as atitudes do indivíduo em relação a isso; 5) Interagir em grupos primários influencia a aprendizagem inicial da atitude e promove posterior envolvimento com atitudes sustentadas em grupo; 6) Praticar uma atitude possibilita uma organização estável; e 7) Adquirir ou modificar atitudes pode ser conseguido através da aprendizagem objetivada (1977, p. 436).
Partindo desses princípios, o professor pode contribuir de maneira significativa no desenvolvimento de uma atitude positiva em relação à Matemática. No entanto, Paula (2008) salienta que o professor deverá buscar conhecer a atitude inicial que o aluno apresenta e desenvolver atividades que “produzam nos estudantes experiências emocionais agradáveis em relação à Matemática”, além da importância de “informar os alunos a respeito da importância dessa disciplina através de experiências diretas com pessoas, ideias e objetos, leituras e outros materiais” (PAULA, 2008, p. 18).
Uma vez estabelecida essa intrínseca relação entre a crença de autoeficácia e as atitudes dos alunos com relação à Matemática, faz-se necessária uma melhor compreensão sobre a origem das crenças de autoeficácia. Sobre isso, Bandura (1977) apresenta quatro fontes de origem das crenças de autoeficácia, sendo elas as experiências de êxito, experiências vicárias, persuasões verbais e os estados fisiológicos.
As experiências de êxito são consideradas como a principal e, portanto, a mais importante origem das crenças de autoeficácia. As experiências de êxito logradas pelos alunos em tarefas nas quais realizam geram confiança em obter novos êxitos em eventos futuros, aumentando a autoeficácia para a tarefa em questão. Da mesma maneira, sucessivos fracassos em tentativas de executar determinada tarefa acarretarão na redução da autoeficácia do indivíduo para a mesma, fazendo com que este apresente medos e inseguranças em eventos futuros, colocando em dúvida a sua própria capacidade frente ao desafio/tarefa solicitada.
Experiências vicárias são as situações nas quais o indivíduo observa o desempenho de outros e se compara a eles. Durante a observação, se o indivíduo perceber que as pessoas com as quais esteja se comparando estão conseguindo êxito em suas tarefas, se tornará mais motivado a também querer executar a referida tarefa na perspectiva de que se eles dão conta eu também darei. Por outro lado, se o indivíduo perceber que muitos outros não estão alcançando êxito, sua motivação diminuirá assim como o esforço para tal, traçando uma lógica contrária na qual se eles não estão conseguindo eu também não conseguirei.
Já as persuasões verbais são situações nas quais indivíduos ouvem de pessoas que transpareçam confiança (professores, pais, etc.) que são capazes de realizar uma determinada tarefa. No entanto, é importante ressaltar que as falas não podem ir além das reais capacidades do indivíduo receptor, pois se as tentativas de alcançar êxito após as falas motivacionais acarretaram em sucessivos fracassos, a autoeficácia diminuirá.
Por fim, os estados fisiológicos que são as situações de ocorrências que podem acarretar em uma fragilidade do indivíduo, o que proporcionará uma sensação de baixa capacidade para executar determinada tarefa. Elevados níveis de ansiedade são exemplos de situações dessa natureza.
3. PROCEDIMENTOS METODOLÓGICOS
Para a produção do corpo empírico de dados, foi realizada a construção de um instrumento de avaliação em larga escala a partir de habilidades esperadas para cada questão, tendo como referencial as matrizes utilizadas pelo Instituto Nacional de Estudos e Pesquisas Educacionais Anísio Teixeira (INEP) bem como as matrizes do Sistema de Avaliação e Rendimento Escolar do Estado de São Paulo (SARESP). Foi escolhido o conteúdo de cinemática, uma vez que se trata de um conteúdo de Ciências Naturais que solicita do aluno a realização de cálculos matemáticos e também pelo fato de que esse conteúdo estava previsto para ser trabalhado com os alunos em um período que coincidia com o planejado para a produção dos dados empíricos, de acordo com o cronograma da dissertação supracitada.
Os instrumentos foram denominados teste um (T1) e teste dois (T2), sendo que o T1 foi composto por questões que abordavam aprendizagens de conteúdos conceituais relacionados à cinemática, cujo objetivo foi evidenciar as aprendizagens de conceitos da cinemática dos alunos, enquanto que o T2 foi composto por questões que abordavam aprendizagens de conteúdos procedimentais relacionados à cinemática, objetivando evidenciar as aprendizagens que envolviam os cálculos matemáticos necessários para a compreensão desse respectivo conteúdo.
Para a aplicação dos testes (T1 e T2), foram selecionadas doze turmas de 9º ano do Ensino Fundamental que eram acompanhadas pelo Projeto Observatório da Educação com Foco em Matemática e Iniciação em Ciências (OBEDUC). Em cada uma dessas doze turmas foram utilizadas aulas duplas de Ciências em dias e horários diversificados, totalizando aproximadamente 100 minutos de tempo disponível para cada turma. Inicialmente estabelecemos um diálogo de aproximadamente quinze minutos com cada uma das turmas a fim de explicar de forma resumida e compreensível os motivos que nos levaram a estar desenvolvendo esta pesquisa. Também foi dada ênfase na necessidade da resolução dos cálculos matemáticos na própria folha do T2, assim como não apagá-los posteriormente. Também foram explicadas algumas particularidades dos testes como a existência das fórmulas para a resolução dos cálculos no T2 e a existência de legendas dos símbolos físicos, além de explicar de forma sucinta a respeito do preenchimento do cartão-resposta.
Após o referido diálogo, iniciamos a aplicação do T1 e na medida em que os alunos foram finalizando sua resolução, foi sendo entregue o cartão-resposta, que era composto com as alternativas de respostas tanto do T1 quanto do T2. Assim que o aluno terminava de transcrever as respostas do T1 no cartão-resposta, o T1 era recolhido e o T2 era entregue. Quando este último era finalizado e suas respostas transcritas no cartão- resposta, ambos eram recolhidos (T2 e cartão-resposta). Em resumo, o aluno não ficava em nenhum momento com os dois testes em mãos.
Das doze turmas de alunos que foram selecionadas para participar da pesquisa já citada, duzentos e trinta e nove alunos realizaram o T1 e o T2. Os resultados de desempenho desses alunos foram tabulados visando identificar quais os percentuais de acertos de cada aluno no T1 e no T2, a porcentagem de alunos que apresentaram tentativas de resolução dos cálculos matemáticos solicitados no T2 na própria folha do teste bem como a existência de possíveis padrões de respostas ou de algum outro critério que pudessem evidenciar uma aproximação dos dados, para então escolhermos um número reduzido de alunos para a realização de entrevistas e posterior análise qualitativa.
Diante disso, os dados foram organizados de tal maneira que os duzentos e trinta e nove alunos foram ordenados de acordo com a porcentagem de acertos no T1. Após essa organização, selecionamos os alunos que obtiveram cinco ou mais acertos (acima de 50% do teste), o que reduziu para sessenta e três alunos. Desse montante, reorganizamos os alunos de acordo com a média do desvio padrão existentes entre o T1 e o T2, selecionando apenas os alunos cujo desvio era igual ou superior a dois e meio, chegando à quantidade de cinco alunos que obtiveram um melhor desempenho no T1 e um pior desempenho no T2. Desses cinco, dois alunos não aceitaram participar da pesquisa, culminando com o quantitativo final de três alunos com os quais foram realizadas as entrevistas semiestruturadas, com posterior análise qualitativa dos dados, utilizando Bogdan e Biklen (1994) como principal aporte teórico metodológico.
Conforme já mencionado, dentre as evidências que a pesquisa de Martins (2014) demonstrou, identificou-se a existência de lacunas de aprendizagens matemáticas que, possivelmente, pudessem vir a dificultar a compreensão significativa de conceitos físicos relacionados à cinemática e que, provavelmente, pudessem induzir ao desinteresse por parte dos alunos em aprender não somente a cinemática como outros conteúdos “matematizados” de Ciências Naturais (MARTINS, 2014). Tais evidências tiveram como base categorias de análise que foram construídas à luz da Teoria da Aprendizagem Significativa, tendo Ausubel como principal aporte teórico. No entanto, o presente artigo se propõe a realizar uma releitura dos dados produzidos em entrevistas ocorridas com três alunos sujeitos da referida pesquisa (pseudônimos Geraldo, Valter e Tainá) vislumbrando a possibilidade de expandir a pesquisa para um viés da Teoria Social Cognitiva embasado nas ideias de Albert Bandura. Além disso, objetivamos estabelecer aproximações com os cinco atributos definidores de atitudes propostos por Klausmeier e Goodwin (1977).
Sendo assim, diante das evidências encontradas na pesquisa de Martins (2014) e da proposta que apresentamos neste artigo para um novo olhar dos dados, levantamos as seguintes questões: 1) Alunos com dificuldades de aprendizagens matemáticas podem apresentar indícios de atitudes negativas quanto à resolução de questões de conteúdos “matematizados” de Ciências Naturais? 2) Conteúdos “matematizados” de Ciências Naturais podem se tornar desinteressantes para os alunos pelo fato destes apresentarem uma baixa crença de autoeficácia com relação à Matemática? 3) Alunos que apresentam indícios de uma elevada crença de autoeficácia com relação à Matemática tendem a ser mais interessados pelos conteúdos “matematizados” de Ciências Naturais?
4. RESULTADOS E DISCUSSÃO
Como já mencionado anteriormente, o presente artigo objetiva reanalisar os dados de uma pesquisa de mestrado à luz da Teoria Social Cognitiva e, para tal, iniciamos a partir de um olhar para o que dizem os dados quantitativos.
| Quantidade de questões com resoluções/cálculos matemáticos no T2 | Quantidade de alunos | Percentual |
| Dez questões | 12 | 5,02 % |
| Nove questões | 2 | 0,84 % |
| Oito questões | 7 | 2,93 % |
| Sete questões | 8 | 3,35 % |
| Seis questões | 12 | 5,02 % |
| Cinco questões | 8 | 3,35 % |
| Quatro questões | 11 | 4,60 % |
| Três questões | 9 | 3,77 % |
| Duas questões | 10 | 4,18 % |
| Uma questão | 14 | 5,86 % |
| Nenhuma questão | 146 | 61,09 % |
| Total | 239 | 100 % |
Conforme podemos visualizar na tabela 1, apenas doze alunos (5,02%) apresentaram tentativas de resolução em todas as questões do T2, enquanto que cento e quarenta e seis alunos (61,09%) não apresentaram tentativas de resolver os cálculos das questões matematizadas de Ciências Naturais que eram solicitados no T2. Os demais oitenta e um alunos (33,89%) oscilaram em tentativas de resolução matemática entre duas e nove questões.
Analisando os dados mencionados da tabela 1, vislumbramos a seguinte problematização: Os alunos possuem uma baixa autoeficácia em Matemática e se consideram incapazes de realizar tais resoluções? Tal questionamento é difícil de ser respondidos apenas com dados quantitativos. No entanto, partindo do pressuposto de que a crença de autoeficácia do aluno para com uma determinada tarefa irá determinar o seu esforço para a com a mesma, inferimos a possibilidade de que, provavelmente, muitos alunos nem sequer tentaram realizar os cálculos solicitados porque já trouxeram consigo expectativas de fracasso para com a mesma.
Foram muitas as falas dos alunos de um modo geral, durante a aplicação dos testes para as doze turmas, indicando intencionalidades de não querer tentar resolver os cálculos que eram solicitados. Estas foram anotadas em um caderno de campo durante a aplicação dos testes, sendo as mais recorrentes: “eu não sei matemática e não vou fazer; eu não gosto de matemática; eu não gosto de Ciências porque tem contas; é obrigado a fazer? Se colocar só as respostas vai considerar certo?” Além desses questionamentos e afirmações, muitos dos alunos não tentaram fazer o teste e até mesmo preencheram os cartões-resposta diretamente, sem assinalar alternativas na folha dos testes. As falas dos alunos mostram, de acordo com Brito (1996), tendências às atitudes negativas e evidências de comportamento de esquiva, um dos componentes das atitudes destacados por Klausmeier e Goodwin (1977).
Foi perceptível, para nós pesquisadores durante nossa observação e registros, certo desinteresse por parte dos alunos para com a resolução dos cálculos. Importante ressaltarmos que quando os alunos recebiam o T1 (que não solicitava nenhum procedimento matemático), não houve comentários negativos por parte de nenhum dos duzentos e trinta e nove alunos. Tais “lamentações” sempre ocorreram quando os alunos terminavam o T1 e recebiam o T2, no qual vinham orientações para a resolução dos cálculos matemáticos.
Além da análise quantitativa geral dos dados, trazemos alguns trechos das entrevistas de Geraldo, Valter e Tainá, que proporcionaram indicativos de relação entre sua crença de autoeficácia e o esforço que direcionaram para a execução do T2.
Uma fala significativa de Geraldo nos revela que ele está consciente de não possuir nenhum problema de aprendizagem matemática e que ele associa a dificuldade encontrada em resolver a questão proposta a fatores de interpretação do enunciado:
Pesquisador – Não na questão, mas, por exemplo, desses cálculos que você fez, divisão, números com vírgula, onde que você acha que estão as suas maiores dificuldades? Você falou que acha que tem um pouco de dificuldade, mas não muita, mas então tem?
Geraldo – Tem
Pesquisador – Essa dificuldade que você tem seria onde e no quê?
Geraldo – Mais no sentido de como se escreve, pois, eu não estou conseguindo entender. Por exemplo, a variação de tempo de B a C, de AB.
Pesquisador – Você não conseguiu entender o que o exercício pedia?
Geraldo – Não
Pesquisador – Então você acha que o problema matemático não foi o problema? Se eu passar a “continha” pra você fazer você faria?
Geraldo – Faria sim
Pesquisador – Matemática então não seria um problema pra você?
Geraldo – Não
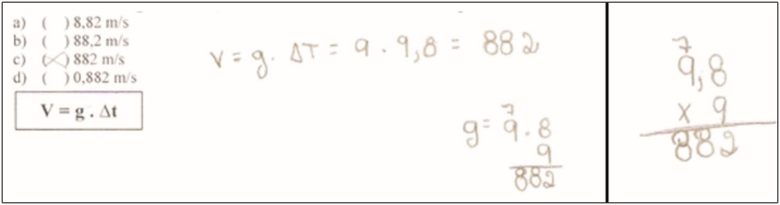
Geraldo foi um dos doze alunos que tentou resolver todas as questões “matematizadas” do T2 e depois ainda tentou resolver novamente as mesmas questões do T2, só que na forma de algoritmo, conforme podemos visualizar na figura 1:

A imagem apresentada no lado esquerdo da figura 1 é a resolução que Geraldo apresentou na questão 9 do T2, cujo teor apresentava uma situação hipotética em que uma bola de tênis era solta de uma determinada altura e chegava até o solo após 9 segundos de queda livre. Com isso, pedia-se que fosse calculada a velocidade que a bola teria no momento em que atingisse o solo, dando as informações de aceleração da gravidade de 9,8 m/s2, a fórmula matemática a ser utilizada (V = g . ∆t) além do tempo de queda já mencionado. O cálculo seria multiplicar 9 x 9,8 e a resposta correta seria a alternativa B (88,2 m/s). Conforme podemos observar, mesmo que respondendo incorretamente pelo fato de ter se esquecido de colocar a vírgula entre os números 9 e 8, Geraldo tentou realizar o cálculo no T2. Além do mais, em um momento posterior à realização do T2, quando foi refletir sobre suas respostas juntamente com o pesquisador, foi solicitado a ele que realizasse novamente o mesmo cálculo, só que agora sem qualquer contextualização com a cinemática. Geraldo prontamente aceitou tentar resolver a questão e dessa vez obteve êxito em seu desempenho, conforme podemos observar na imagem do lado direito da figura 1. A dificuldade de interpretação de enunciados de problemas, bem como as predisposições negativas (atitudes) para essa tarefa têm sido um dos fortes fatores que levam os alunos a não acreditar em suas capacidades para resolver problemas (crenças de autoeficácia), como mostram os estudos de Brito e Souza (2015).
Diante disso, é possível considerarmos a possibilidade de que Geraldo possa ter apresentado uma crença de autoeficácia positiva com a resolução de questões “matematizadas” de Ciências Naturais, tendo como referência a premissa de que a autoeficácia do sujeito diante de uma tarefa a ser executada irá determinar o seu nível de motivação para tal (BANDURA, 1977). É importante destacar que a análise dos protocolos da entrevista mostrou que o nível de motivação e, consequentemente, o esforço desprendido pelo participante foi alto. Ao não ter a “certeza do fracasso”, Geraldo não demonstrou nenhum medo em tentar resolver as tarefas que lhes foram propostas, reafirmando as ideias de Boruchovitch e Bzuneck (2009, p.118) de que “com fortes crenças de autoeficácia, o esforço se fará presente desde o início e ao longo de todo o processo, de maneira persistente, mesmo que sobrevenham dificuldades e revezes”. Numa perspectiva de aproximação com os atributos definidores sobre atitudes propostos por Klausmeier e Goodwin (1977), evidenciamos uma possível aproximação com os atributos quatro e cinco. Sobre o atributo “conteúdo afetivo-cognitivo”, compreendemos que Geraldo demonstrou não ter emoções negativas relacionadas a resolver questões “matematizadas” de cinemática, bem como uma postura de aproximação com esse objeto, o que entendemos ser também uma atitude positiva relacionada ao atributo “orientação aproximação-esquiva”.
Já a aluna Tainá relatou possuir dificuldades em matemática que, segundo ela, atrapalharam seu desempenho na realização dos cálculos matemáticos que eram solicitados no T2. Segundo ela, se não tivesse tais dificuldades, provavelmente teria se saído melhor:
Pesquisador – Ao tentar resolver as questões do T2, observamos que muitas questões ficaram pela metade, ou seja, você começou a resolver o cálculo, mas não seguiu adiante. Isso ocorreu porque a matemática é algum problema pra você ou não?
Tainá – Pra mim a matemática é um problema
Pesquisador - Digamos que você fosse “um pouco melhor” em matemática, você acha que teria se saído melhor nesse teste?
Tainá – Sim
Pesquisador - Nesses momentos que você parou pela metade, você acha que poderia ter se saído melhor então se não fosse por essas dificuldades?
Tainá – Sim
Pesquisador - Como você chega à conclusão de não saber matemática?
Tainá - Nessa parte (cinemática) eu não sou muito boa, mas a matéria que eu estudo com ele (professor de matemática) eu consigo acertar tudo, o que ele passa eu acerto.
Pesquisador - Então deixa ver se eu entendi, quando o professor de matemática passa exercícios de matemática, você costuma se sair bem?
Tainá – Isso
Pesquisador - Aí essa matemática do conteúdo de ciências, você acha mais complicada?
Tainá – Isso
Conforme a fala de Tainá, a sua dificuldade estava apenas nos conteúdos da cinemática e que nas aulas da disciplina Matemática, ela lograva êxito nas atividades propostas pelo professor da referida disciplina. No T2 Tainá apresentou tentativas de resoluções em algumas questões, ainda que desconexas do que realmente era para ser realizado, conforme podemos observar na figura 2:

No entanto, quando propusemos resoluções de algoritmos “puros”, ou seja, passando a “conta armada”, pronta para ser resolvida, Tainá relatou não possuir capacidade de realizar divisões:
Tainá – O problema é que eu não sou muito boa em matemática
Pesquisador - Mas essa continha aqui (400 ÷ 10), você não conseguiria fazer pra mim?
Tainá – Não
Pesquisador – Ou então poderia ser essa aqui (3,6 x 7)?
Tainá – Por exemplo, se eu souber as de multiplicação, eu posso fazer?
Pesquisador – Pode, faça o que você consegue fazer. E as divisões?
Tainá – Eu acho muito difícil
Tainá se propôs a resolver apenas as questões que envolviam multiplicações e, como podemos perceber, não se propôs em fazer as questões que envolviam divisão alegando não saber. No entanto, conforme podemos observar na figura 3, mesmo se dispondo em resolver as questões que envolviam multiplicação, Tainá apresentou alguns erros procedimentais relacionados ao posicionamento da vírgula dos números decimais.

Dentro da perspectiva de crenças de autoeficácia, Tainá apresentou indicativos de atribuir para si a não capacidade de efetuar os referidos cálculos de uma divisão simples (400 ÷ 10), alegando que era “muito difícil”. Desse modo, ao possuir essa ideia antecipada de fracasso, Tainá não direcionou esforços para a tarefa em questão. A referida ideia antecipada de fracasso pode estar relacionada a fracassos anteriores, o que é passível de supormos a existência de um possível autoconceito negativo relacionado à resolução de cálculos que envolvam divisão. No entanto, quando foi proposta a resolução de cálculos envolvendo multiplicações, Tainá se dispôs a realizá-los, tanto no T2 como posteriormente.
Sendo assim, evidenciamos que Tainá oscilou entre atitudes positivas e negativas, pois em alguns momentos se demonstrou propensa a tentar resolver as questões e em outros não. Sobre isso, percebemos que em todos os momentos em que ela se negou a tentar resolver as questões, a desculpa dada sempre estava vinculada a um provável fracasso atribuído por ela a ela mesma e quando se propôs a tentar resolver alguma questão, é porque acreditou que seria capaz para tal. O domínio de um conteúdo pode desencadear crenças de autoeficácia mais positivas. Neste sentido, a participante Tainá acreditava que não poderia resolver a operação de divisão (mostrando uma possível crença de autoeficácia baixa em relação ao conteúdo de divisão).
Com relação aos atributos definidores sobre atitudes propostos por Klausmeier e Goodwin (1977), evidenciamos algumas oscilações de atitudes relacionadas com os atributos quatro e cinco. Sobre o atributo “conteúdo afetivo-cognitivo”, Tainá apresentou algumas atitudes negativas evidenciadas em falas como “pra mim a matemática é um problema” e “o problema é que eu não sou muito boa em matemática”. Com isso a sua atitude diante das questões “matematizadas” de Ciências Naturais ou mesmo nas “contas armadas de divisão” foram no sentido de conceber tais cálculos solicitados como algo a ser evitado. Diante disso, o atributo “orientação aproximação-esquiva” também se fez presente com atitudes negativas, haja vista que Tainá buscou se distanciar dos cálculos que previa fracassos antecipados, tais como os cálculos de divisões que foram propostos.
Já o aluno Valter, por sua vez, foi um dos cento e quarenta e seis alunos que não apresentaram nenhuma tentativa de resolver os cálculos matemáticos que eram propostos no T2 e, diante disso, estabelecemos um diálogo a fim de compreender os motivos que o levaram a essa não resolução das questões de cinemática “matematizadas”.
Pesquisador – Por que você não fez os cálculos no T2?
Valter – Eu não sou bom em matemática.
Pesquisador – Qual o foi o motivo de você não ter feito os cálculos?
Valter – Eu não tentei fazer, eu fiz de cabeça as contas.
Pesquisador - Você fez de cabeça essas contas então?
Valter – Mais ou menos
Pesquisador – Daria pra dizer que neste teste então foram quase todas chutadas as respostas?
Valter – Foi
Pesquisador – Você disse não ter conhecimentos matemáticos suficientes para resolver os cálculos que esse teste solicitava. Como você chega à conclusão de não saber matemática?
Valter – Eu não consigo, eu acho a matemática muito difícil.
Pesquisador - Então, por exemplo, esse teste era de Ciências, mas quando você está fazendo uma prova de Matemática você também tem dificuldades?
Valter – Sim, mas eu tento aprender.
Pesquisador - Sim, você já me demonstrou ser um aluno aplicado, mas, por exemplo, quando você vai fazer exercícios de matemática dos conteúdos de 8º ou 9º ano, você tem dificuldade em realizar a “tarefinha” que o professor passa?
Valter – Sim.
Valter expôs suas dificuldades em matemática e informou ter “chutado” as alternativas da prova. Devido ao fato de Valter ser o único, entre os três alunos entrevistados, que não apresentou nenhuma tentativa de resolução de cálculos no T2 e de ter afirmado ser um aluno com dificuldades em Matemática, questionamos então o que poderia ser feito para mudar essa sua situação de dificuldade de aprendizagem matemática, obtendo as seguintes falas:
Pesquisador – O que poderia ser feito para você aprender matemática?
Valter – Eu estudar mais
Pesquisador - Você estudar mais, então você atribui esse problema só a você?
Valter – É
Pesquisador – Você acha que você não estuda o suficiente
Valter – Isso
Pesquisador – O professor de matemática não tem nada a ver com isso?
Valter – Não, ele explica bem.
Percebemos uma forte tendência por parte de Valter em associar o seu possível “fracasso” em aprender matemática a ele mesmo, dando indicativos de ser um problema único e exclusivo da sua pessoa, como se tivesse algum “problema” que o impedisse de aprender.
Outro fator preponderante é que Geraldo e Tainá disseram gostar da disciplina de Matemática e não ter nenhum tipo de aversão a ela. Já o aluno Valter, que não apresentou nenhuma tentativa de resolução dos cálculos, expõe seu “gostar da matemática” como algo não muito concreto:
Pesquisador – A matemática é uma disciplina escolar que você gosta?
Valter – Gosto mais ou menos, mas eu acho muito difícil.
Pesquisador - O fato de ser difícil, você acha que faz você gostar menos dela?
Valter – Sim
Pesquisador - Se fosse uma coisa mais fácil, talvez você gostasse mais?
Valter – Sim
Tal sentimento com relação à Matemática poderia, possivelmente, ter culminado com um desinteresse que ele mesmo nos relata:
Pesquisador – Eu vejo que você não teve muito interesse em tentar fazer os cálculos, por exemplo: na questão número três pedia para fazer uma multiplicação, na número quatro, uma divisão. E mesmo trazendo as fórmulas e os indicativos de quais eram os procedimentos a serem feitos, eu não vejo nenhuma tentativa de resolução ou marcas de algum apagado com borracha, ou coisa do tipo. Você nem tentou?
Valter – Não
Pesquisador – Eu posso dizer que você não se interessou em tentar?
Valter – Sim, não me interessei.
Pesquisador - Por que você não se interessou?
Valter – Eu não quis.
Pesquisador - Você estava com preguiça no dia?
Valter – Não
Pesquisador - Você achou então que não ia dar conta?
Valter – Isso
Pesquisador - Você pensou assim: eu não vou dar conta e não vou tentar?
Valter – Isso
Pesquisador - Então eu posso interpretar que o seu desinteresse foi por não saber matemática?
Valter – Isso
Pesquisador – Eu não vou tentar fazer uma coisa que eu não sei, seria isso?
Valter – Isso
Por fim, solicitamos a Valter, mesmo ele não tendo apresentado nenhuma tentativa de cálculo no T2, que tentasse resolver as “contas matemáticas” já montadas (armadas). Valter disse não querer fazer e então insistimos para tal:
Pesquisador – Eu armo aqui pra você, duzentos e doze vírgula cinco dividido por vinte e cinco. Você resolve pra mim?
Valter – Não
Pesquisador - Não quer nem tentar... Em hipótese nenhuma?
Valter – Não
Pesquisador - Está com medo de quê?
Valter – de errar.
Pesquisador - Nem se eu te ajudar, faz assim, põe o número aqui...
Valter – Não
Pesquisador - Essa outra conta aqui é do quê? (Apontando para uma multiplicação)
Valter – De vezes
Pesquisador - É uma multiplicação né, e essa aqui?
Valter – Multiplicação também
Pesquisador – Então, por exemplo, vamos pegar aqui essa questão cinco: três vírgula seis multiplicando por sete. Você tentaria fazer pra mim?
Valter – Não
Pesquisador Por que não?
Valter – Eu não consigo, divisão e multiplicação eu não consigo.
Pesquisador - Se eu tirar as vírgulas das questões você tentaria fazer?
Valter – Não
Pesquisador – Nem sem a vírgula?
Valter – Não
Como podemos perceber, a crença de autoeficácia de Valter para resolver questões “matematizadas” de Ciências Naturais parece apresentar indícios de ser muito baixa. Mesmo com muita insistência da nossa parte, ele continuou atribuindo que não queria tentar fazer porque não iria conseguir e prevê um fracasso certo, caso viesse a tentar.
Dessa maneira, podemos inferir que Valter provavelmente apresenta um autoconceito negativo em Matemática e, consequentemente uma crença de autoeficácia negativa para com a resolução de questões “matematizadas” de Ciências Naturais. Partindo do pressuposto de que a crença de autoeficácia interfere na motivação e no esforço, como destacado por Brito (1996), podemos associar a possível crença de autoeficácia negativa de Valter ao seu baixo esforço, haja vista que ele nem sequer quis tentar resolver as questões propostas.
Além disso, Valter apresentou indícios de atitudes totalmente negativas frente às tarefas propostas, tanto nas questões “matematizadas” de Ciências Naturais quanto naquelas que eram apenas para resolver questões aritméticas de multiplicação e divisão. Em todas as situações, Valter apresentou expectativas de fracasso, alegando não ser capaz de resolver nenhuma das tarefas propostas. Ao buscarmos aproximar as evidências obtidas com as falas de Valter com os atributos definidores sobre atitudes propostos por Klausmeier e Goodwin (1977), vislumbramos a possibilidade de, assim como ocorrido com Geraldo e Tainá, identificar possíveis relações com os atributos quatro e cinco. Com relação ao atributo “conteúdo afetivo-cognitivo”, Valter apresenta fortes indicativos de atitudes negativas com relação tanto aos conteúdos “matematizados” de Ciências Naturais que foram propostos no T2, quanto nas resoluções isoladas propostos nas entrevistas. Algumas falas tais como “eu não sou bom em matemática”; “eu não consigo, eu acho a matemática muito difícil”; “gosto mais ou menos, mas eu acho muito difícil”, e “eu não me interessei em tentar”, remetem à atitudes negativas que permitem a uma possível evidência de atitudes negativas relacionadas a esse atributo já mencionado como também ao atributo “orientação aproximação-esquiva”, haja vista que as atitudes de Valter foram em grande parte esquivar-se da resolução dos cálculos, ou seja, de evitá-los.
5. CONSIDERAÇÕES
Diante de todas as evidências apresentadas, podemos sugerir a possibilidade de existir uma estreita relação entre o autoconceito para com a Matemática, a crença de autoeficácia para com a resolução de questões “matematizadas” de Ciências Naturais e a motivação para resolver questões dessas naturezas. A análise dos dados nos permite concluir que, não como regra, mas com certa preponderância, quando o sujeito (em nosso caso, o aluno) demonstra baixo autoconceito para com a Matemática, o desempenho em questões de Ciências Naturais que solicitarem procedimentos que envolvam a Matemática será afetado diretamente e de maneira negativa, tornando-se algo pouco interessante e, portanto, pouco atrativo.
Conforme podemos observar nas falas de Valter e Tainá, ambos apresentaram alguns indícios de possuir uma crença de baixa autoeficácia em Matemática e esta, por sua vez, apresentou relações próximas com os esforços que ambos empenharam na resolução das questões “matematizadas” de Ciências Naturais contidas no T2. Ao buscarmos aproximações com os atributos definidores de atitude propostos por Klausmeier e Goodwin (1977), Valter e Tainá demonstraram indicativos de atitudes negativas relacionadas ao “conteúdo afetivo-cognitivo” no que diz respeito às emoções diante das questões “matematizadas” de Ciências Naturais propostas no T2, as quais se direcionaram a algo não muito agradável. Da mesma forma, atitudes negativas relacionadas ao atributo “orientação aproximação-esquiva” também foram evidenciadas no sentido de que Valter e Tainá apresentaram tendências de quererem se distanciar dos cálculos matemáticos. Tainá, com menos intensidade, haja vista que se propôs a realizar parte dos cálculos, mais precisamente as multiplicações. Já Valter apresentou comportamentos de distanciamento de tudo que envolveu a Matemática, fossem nos cálculos do T2 ou mesmo nas simples operações que eram propostas enquanto “contas já armadas”.
Já o aluno Geraldo apresentou possuir um nível de confiança elevado, alegando não ter nenhum tipo de insegurança com a Matemática e, a partir disso, apresentou um elevado esforço em tentar resolver as questões “matematizadas” do T2 bem como em resolvê-las novamente na forma de algoritmo no decorrer das entrevistas posteriores. Diante disso, apresentou indícios de atitudes positivas relacionadas aos atributos “conteúdo afetivo-cognitivo” e “orientação aproximação-esquiva”.
Quando analisamos os conhecimentos matemáticos dos três alunos, ficou evidenciado que todos apresentavam dificuldades em realizar cálculos aritméticos de divisão e multiplicação, tanto com números naturais quanto com racionais. No entanto, o simples fato de apresentaram tais dificuldades não se caracterizou como motivo para que todos apresentassem atitudes negativas quando lhes foi proposto resolver questões “matematizadas” de Ciências Naturais. Porém, quando olhamos para as falas dos três alunos, visualizamos relações intrínsecas entre a crença de autoeficácia demonstrada por eles e suas atitudes. Por outro lado, quando Geraldo, em sua totalidade, e Tainá, em alguns momentos, apresentaram indícios de autoconceito e crença de autoeficácia positivos para com a Matemática e com as questões “matematizadas” de Ciências Naturais, o nível de esforço empreendido se apresentou elevado. No entanto, cabe ressaltar que isso não é passível de considerar sinônimo de êxito, pois os conhecimentos específicos para resolver tais questões são de total importância e sem eles os fracassos poderão ocorrer mesmo que com muita atribuição de esforço. Sobre isso, reforçamos a afirmação de Bandura (1977; 1993 e 1994) no que tange ao fato de que a crença de autoeficácia do sujeito frente a uma tarefa a ser executada determinará seu nível de motivação para tal.
Por fim, reforçamos as ideias de Brito (1996) sobre as atitudes, a qual chama atenção para o importante papel dos professores frente às atitudes negativas dos alunos. Segundo a autora, os alunos sofrem influência a partir das atitudes de seus professores e, quando estes buscam formas mais eficazes para o entendimento dos alunos para com aquilo que está sendo ensinado, o interesse lhes é despertado e a Matemática ou, em nosso caso específico, as questões “matematizadas” de Ciências Naturais se tornam mais motivadoras e dotadas de mais esforço por parte dos alunos. Nesse sentido, aproximamos a afirmação de Brito (1996) com os três primeiros atributos definidores de atitudes propostos por Klausmeier e Goodwin (1977) na perspectiva de que os alunos podem aprender novas atitudes (atributo da aprendibilidade), as atitudes negativas podem ser alteradas na direção positiva ao longo do tempo (atributo da estabilidade) e essas aprendizagens e modificações positivas sofrem influências das relações entre professor aluno, entre alunos e professores e entre esses indivíduos e a própria Matemática (atributo significado pessoal-societário).
Diante disso, reforçamos a influência que as atitudes dos professores podem exercer sobre os alunos. Uma vez que os professores apresentarem atitudes positivas relacionadas ao ensino e buscarem formas eficazes para que os alunos entendam o significado daquilo que está sendo ensinado, despertarão o interesse do aluno pela disciplina, tornando-a motivadora (BRITO, 1996, p. 26).
Seria interessante que outros estudos fossem desenvolvidos para que se investigue, de forma mais completa, as relações entre as crenças de autoeficácia dos alunos e as atitudes em relação aos conceitos da cinemática, em situações de problemas “matematizados”.
REFERÊNCIAS
AIKEN, L. R. Attitudes Toward Mathematics. Review of Educational Research, v. 40, n. 4, pp. 551-596, 1970.
BANDURA, A. Self-efficacy: Toward a Unifying Theory of Behavioral Change. Psychological Review, v. 84, n. 2, pp. 191-215, 1977.
______. Perceived Self-Efficacy in Cognitive Development and Functioning. Educational Psychologist, 28 (2), 117-148, 1993.
______. Self-efficacy. In V. S. Ramachaudran (Ed.), Encyclopedia of human behavior. V. 4, p. 71-81. New York: Academic Press, 1994.
BOGDAN, R.; BIKLEN, S. Investigação qualitativa em educação: uma introdução à teoria e aos métodos. Trad. de Maria João Alvarez, Sara Bahia dos Santos e Telmo de Mourinho Baptista. Porto: Porto Editora, 1994.
BONG, M. E.; SKAALVIK, E. M. Academic self-concept and self-efficacy: How different are they really? In: Educational Psychology Review, 15 (1), pp. 1-40, 2003.
BORUCHOVITCH, E.; BZUNECK, J. A. A motivação do aluno: contribuições da psicologia contemporânea. 4. ed. Petrópolis: Vozes, 2009.
BRITO, M. R. F. Atitudes em Relação à Matemática em Estudantes de 1º e 2º Graus. 1996. Tese (Livre Docência em Educação) - Faculdade de Educação, Universidade Estadual de Campinas, Campinas, 1996.
BRITO, M. R. F.; SOUZA, L. F. N. I. Autoeficácia na Solução de Problemas Matemáticos e Variáveis Relacionadas. Temas em Psicologia. Ribeirão Preto, v.23, n.1, 2015. Disponível em: < http://pepsic.bvsalud.org/pdf/tp/v23n1/v23n1a04.pdf > Acesso em: 01 jul. 2019.
DOBARRO, V. R. Solução de Problemas e Tipos de Mente Matemática: Relações com as Atitudes e Crenças de Autoeficácia. Tese (Doutorado em Educação) - Faculdade de Educação, Universidade Estadual de Campinas, Campinas, 2007.
DOBARRO, V. R.; BRITO, M. R. F. Atitude e Crença de Autoeficácia: Relações com o Desempenho em Matemática. Educação Matemática Pesquisa. v.12, n.2, 2010. Disponível em: < http://revistas.pucsp.br/index.php/emp/article/view/2180 > Acesso em: 01 jul. 2019.
KLAUSMEIER, H. J.; GOODWIN, W. Manual de Psicologia Educacional. Tradução de Maria Célia T. de Abreu, São Paulo: Harper & Row do Brasil, 1977.
MARTINS, E. A. A influência da “matematização” na aprendizagem de Ciências Naturais: um estudo sobre a aprendizagem da cinemática no 9º ano do ensino fundamental. Dissertação (Mestrado em Educação). Instituto de Educação, Universidade Federal de Mato Grosso, Cuiabá, 2014.
NEVES, S. P; FARIA, L. Autoconceito e autoeficácia: semelhanças, diferenças, inter-relação e influência no rendimento escolar. Revista da Faculdade de Ciências Humanas e Sociais. Porto: Edições Universidade Fernando Pessoa. ISSN 1646-0502.6, p.206-218, 2009. Disponível em: < http://bdigital.ufp.pt/bitstream/10284/1330/2/206-218_%20FCHS06-5.pdf > Acesso em: 26 jun. 2019.
PAULA, K. C. M. A família, o desenvolvimento das atitudes em relação a matemática e a crença de auto-eficácia. Dissertação (Mestrado em Educação) - Faculdade de Educação, Universidade Estadual de Campinas, Campinas, 2008.
Autor notes
Ligação alternative
https://periodicoscientificos.ufmt.br/ojs/index.php/reamec/article/view/8346 (pdf)

