

Valoración económica de los bienes y servicios ambientales del humedal San Antonio de Padua en Popayán
Novedades Colombianas
Universidad del Cauca, Colombia
ISSN: 0121-3520
ISSN-e: 2145-5236
Periodicidad: Anual
vol. 18, núm. 1, 2023
Recepción: 02 mayo 2023
Aprobación: 08 agosto 2023
Resumen: La valoración económica ambiental establece los beneficios o costos asociados al deterioro o conservación de los Bienes y Servicios Ambientales - BSA. El presente trabajo tiene por objetivo realizar la valoración económica de los BSA provistos por el humedal San Antonio de Padua en el municipio de Popayán. Metodológicamente inició con la aplicación de encuestas a la comunidad para valorar su percepción sobre los BSA, mediante la Valoración Integral de los Servicios Ecosistémicos - VIBSE, luego se hizo la estimación del valor económico de los BSA, mediante la valoración contingente; después se identificó el estado, tendencia y factores de cambio en los BSA, teniendo en cuenta los impulsores que inducen dichos cambios. La oferta de BSA que representa mayor preferencia son los servicios de regulación (46%), culturales (29%), y por último servicios de abastecimiento (25%) en las coberturas de tierra: humedal, franja de protección, quebrada y potrero. La valoración económica indica que, respecto a la Disponibilidad a Pagar - DAP en dinero, el 18% de los hogares pagaría entre $1000 y $5000 mensuales y 93% realizaría pago en mano de obra; además, el 80% de los encuestados estaría Dispuesto a Aceptar – DAA, entre $1000 y $5000 mensuales, mientras que el 20% no aceptaría ninguna compensación. Finalmente, entre los servicios de abastecimiento predominan el estado bajo con tendencia a empeorar, mientras que los servicios culturales se encuentran en estado alto con tendencia a mejorar; asimismo, los servicios de regulación se encuentran en estado alto con tendencia a mejorar, cuyos impulsores de cambio son: explotación intensiva, cambios en el uso del suelo y contaminación.
Abstract: The environmental economic valuation establishes the benefits or costs associated with the deterioration or conservation of environmental goods and services (ESB). The objective of this work is to carry out the economic valuation of the BSA provided by the San Antonio de Padua wetland. Methodologically, it began with the application of surveys to the community to assess its perception about the BSA, through the comprehensive valuation of ecosystem services, VIBSE, then the estimation of the economic value of the BSA, through the contingent valuation, then the state, trend and factors of change in the BSA were identified, taking into account the drivers that induce these changes. The BSA offer that represents the greatest preference is regulation services 46%, cultural services 29%, and finally supply services 25% in land cover: wetland, protection strip, stream and pasture. The economic assessment indicates that regarding the willingness to pay DAP in money, 18% of households would pay between $1,000 and $5,000 per month and 93% would pay in labor; In addition, 80% of those surveyed would be willing to accept (DAA) between $1,000 and $5,000 per month, while 20% would not accept any compensation. Finally, supply services predominate in the low state, with a tendency to worsen, while cultural services are in a high state, with a tendency to improve; likewise, regulation services are in a high state with a tendency to improve, whose drivers of change are: intensive exploitation, changes in land use and pollution.
Introducción
Los humedales urbanos son ecosistemas de gran importancia ecológica, como argumenta Carbal, Muñoz y Solar (2015). Su función expresa la oferta de BSA que abastecen y mejoran la calidad hídrica, regulan los ciclos biogeoquímicos, reducen las inundaciones, filtran desechos y mejoran la calidad del aire, entre otros. Los humedales están reglamentados por el Convenio de Ramsar de 1971, el único tratado mundial que se centra en un solo ecosistema, proporciona el marco para la acción nacional y la cooperación internacional en pro de la conservación y el uso racional de los humedales y sus recursos (Convención de Ramsar, 2018). Este convenio surge debido al incremento en la desecación y desaparición de grandes extensiones de humedales a nivel mundial y la posible extinción de la biodiversidad que alberga el 64 % de los humedales del mundo que se ha perdido desde principios del siglo XX (Corporación autónoma regional del Cauca, 2018; Convención de Ramsar, 2018).
En el humedal San Antonio de Padua, la comunidad y el Plan de Manejo Ambiental (Idrobo, 2018) registran problemáticas socio – ambientales, debido al deterioro ambiental, producto de su ubicación en un predio privado y de actividades domésticas, esto ha producido reducción y fragmentación del hábitat, pérdida de biodiversidad, cambios en el uso del suelo, crecimiento urbano, manejo inadecuado de residuos sólidos, déficit y contaminación hídrica entre otras afectaciones ambientales que influyen en el deterioro de la funcionalidad y calidad de los BSA provistos por el humedal. Estos procesos no solo se presentan por tales actividades antrópicas, también existen debilidades en las medidas de seguimiento y control por parte de las entidades encargadas de la conservación de estos ecosistemas, pues durante y después de esta investigación no se registró su participación relevante. Adicionalmente, se evidencia la ausencia de la institucionalidad y debilidad en el seguimiento de los procesos de planificación y ordenamiento del territorio, pues actualmente aplica el Acuerdo 06 de 2002, por el cual se adopta el plan de ordenamiento territorial POT para el municipio de Popayán (2002), el cual no se adapta a la transformación de la zona urbana y rural; en efecto, indica el incumplimiento de criterios necesarios para el mantenimiento del equilibrio de los sistemas ecológicos.
A pesar de lo anterior, es cabe resaltar la participación de la academia, particularmente la Fundación Universitaria de Popayán - FUP, a través de la generación del Plan de Manejo de 2017, agregando contenido de valor a esta propuesta con el desarrollo de trabajos de grado desde diversas áreas como derecho, ecología y trabajo social.
La valoración económica suministró información cualitativa y cuantitativa de los beneficios de los BSA, permitiendo identificar y valorar el aporte local y nacional en el desarrollo de la planificación territorial a través de una aproximación conceptual y metodológica articulada a la Política de Gestión Integral de la Biodiversidad y sus Servicios Ecosistémicos (PNGIBSE), a los lineamientos del Instituto de Investigación de Recursos Biológicos Alexander von Humboldt IAVH y del Ministerio de Ambiente y Desarrollo Sostenible MADS (2012).
En este sentido, es pertinente emplear las técnicas de valoración propias de la economía ambiental, para conocer los costos sociales del deterioro ambiental ocasionados por las actividades antrópicas al interior y exterior del humedal, puesto que tales actividades modifican la estructura y funcionalidad del mismo (Perni, 2011; Martínez y Martínez, 2011); por ello es necesario tomar medidas de mejora, destacando la importancia del ecosistema para el suministro de servicios ambientales en relación a los beneficios humanos directos e indirectos.
En esta investigación se identificaron los Bienes y Servicios Ambientales - BSA del humedal San Antonio de Padua mediante la Valoración Integral de los Servicios Ecosistémicos - VIBSE, luego se hizo la estimación del valor económico de los BSA, mediante la metodología de valoración contingente. Se aplicaron encuestas a la comunidad aledaña al humedal, para analizar las preferencias individuales en términos de utilidad o satisfacción de los actores sociales (Riera, 1994), respecto a la Disponibilidad A Pagar - DAP y Disponibilidad A Aceptar – DAA, como medida compensatoria por los cambios en las características de los BSA provistos por el humedal; debido a que estos no tienen un precio definido por el mercado, en esta investigación se simuló para poder asignarles un valor económico.
Es necesario conocer el estado y factores que producen cambios en la funcionalidad del ecosistema para instaurar medidas de manejo e intervención para reducir impactos ambientales (Betancur et al., 2016), asimismo, fomentar estrategias dirigidas a la recuperación y conservación de la biodiversidad, expresadas en el mejoramiento y mantenimiento de condiciones óptimas para el disfrute del humedal en el componente ambiental, económico y social. De esta manera, se genera un insumo para realizar otro tipo de valoraciones de los BSA, como fundamento para facilitar y mejorar la toma de decisiones a través de herramientas de gestión ambiental.
Materiales y métodos
Área de estudio
El humedal “San Antonio de Padua” se ubica en la Comuna 9 al occidente de la ciudad de Popayán, departamento del Cauca, Colombia, a 2° 27' N, y 76° 38' W, su altitud es de 1717 msnm, la temperatura generalmente varía de 14 °C a 25 °C. El predio tiene No.010600010007000 de propiedad privada, cuenta con un área correspondiente de 8,5 ha de las cuales 6 ha son catalogadas como área propia del humedal y los 2,5 restantes son área de protección. Colinda con los barrios María Occidente, San Antonio de Padua, Urapanes del Río, Las Vegas y Los Naranjos (Idrobo, 2018).
El humedal es de tipo palustre-permanente emergente ubicado en un área de terreno conformada por una planicie amplia y una zona periférica de pendientes altas en los costados Sur y Oriente (Idrobo, 2018) (Fig. 1 y Fig 1.1). El humedal presenta alto nivel freático y una cobertura vegetal conformada por 49 familias (Laminaceae, Solanaceae, Urticaceae Asteraceae, Fabaceae, Myrtaceae, Euphorbaceae, Poaceae, Juncaceae, Zingiberaceae, Cyperaceae, Vervenaceae, Bromeliaceae), entre otras que corresponden a estratos arbóreo, arbustivo, rasante y epifito.

Área de estudio Humedal San Antonio de Padua, Popayán – Cauca (Colombia).

Aspectos biofísicos
Aspectos biofísicos
a. Clima: corresponde a templado – húmedo, el promedio de lluvia total anual es de 2121 mm, presenta condiciones de tipo bimodal, durante el año se presenta una temporada seca muy definida durante los meses de junio, julio y agosto (Idrobo, 2018). En septiembre las lluvias aumentan paulatinamente y en octubre, noviembre y diciembre se registran las mayores precipitaciones del año. Los meses de enero a mayo son de lluvias, aunque no alcanzan la intensidad de los correspondientes al último trimestre del año.
b. Hidrología: de acuerdo al PMA (Idrobo, 2018), la fuente hídrica que alimenta el humedal es la quebrada Oxígeno Verde, de longitud 315 m. El estudio limnológico indica la presencia de cinco familias de macro invertebrados (Hydrophilidae, Leptoceridae, Tipulidae, belostomatidae, Hydropsychidae), la calidad de agua corresponde a “aguas muy contaminadas” con un puntaje total de 25, valor comparado con los rangos de la escala del BWPM/Col.
c. Geología y geomorfología: según el servicio geológico colombiano – SGC (2017), la zona se clasifica entre las fallas de Rumbo Sinestral, es decir, pasan las fallas geológicas Puente Julumito y Rosas Julumito. Corresponde a la era geológica del cenozóico, final del periodo del plioceno y segunda época (miógeno) del periodo del neógeno; el terreno también se encuentra sobre (Ng?Qcec)-conjunto El Cadillal, donde se ubican dos unidades eruptivas, conformadas principalmente por ignimbritas. La zona se clasifica como Vls, de forma irregular, longitud predominantemente corta (de 50m a 250m) y ligeramente inclinada con pendientes entre 16º y 30 º formada por procesos denudativos sobre materiales volcánicos (Idrobo, 2018). Vls: Ladera suave.
Materiales y métodos
Este estudio involucra investigación mixta, definida por Ocampo (2019), como la explicación de los hechos, enfoque cuantitativo, y la comprensión de ellos, enfoque cualitativo (Fig. 2.). El enfoque cuantitativo se utiliza en el análisis numérico de la información, mediante la aplicación de técnicas estadísticas, su propósito más importante radica en la descripción, explicación y control objetivo de sus causas, fundamentando sus conclusiones sobre el uso riguroso de la cuantificación, tanto de la recolección de sus resultados como de su procesamiento, análisis e interpretación (Sánchez, 2019). El enfoque cualitativo se refiere al procedimiento metodológico que utiliza palabras, textos, discursos, dibujos, gráficos e imágenes, se sustenta en evidencias que se orientan más hacia la descripción profunda del fenómeno con la finalidad de comprenderlo y explicarlo a través de la aplicación de métodos y técnicas derivadas de sus concepciones y fundamentos epistémicos.

Ruta Metodológica
Fase I: Revisión de información documental
La investigación inició con revisión bibliográfica de documentos técnicos sobre el humedal disponibles en repositorios y bases de datos como Scielo y EBSCO, implementando palabras clave como bienes y servicios ambientales, valoración económica y factores de cambio (Anexo 1).
Fase II: Construcción y aplicación del instrumento
El diseño de este instrumento responde a la necesidad de un proceso metodológico que suministre información útil para determinar la toma de decisiones, políticas y estrategias de gestión ambiental (Fig. 2.1). De esta manera, se identificó la contribución de los ecosistemas para el suministro de servicios ambientales, así como su uso, demanda, y disfrute por parte de la sociedad, y el dominio del valor monetario (Martin-López et al., 2012).

Marco conceptual para evaluar servicios de los ecosistemas
• Identificación de BSA
Se estructuró una encuesta (Anexo 2) donde se recogió información sociodemográfica como barrio, género, edad, estado civil, nivel de escolaridad, ocupación, número de integrantes por hogar, ingreso familiar mensual y problemas de tipo social/ambiental del sector. Se solicitó identificar los servicios de abastecimiento, culturales y de regulación que suministra el humedal a la comunidad aledaña, para valorar su percepción respecto a la presencia, ausencia, estado, tendencia y factores de cambio de los BSA (Martínez y Cárdenas 2018).
La encuesta fue respondida por actores clave: líderes sociales comunitarios, comité ambiental y comunidad aledaña al humedal. Antes de su diligenciamiento, se dio a conocer el objetivo y confidencialidad del estudio; asimismo, se presentó un video explicativo y un listado de BSA clasificados mediante la valoración integral de los servicios ecosistémicos VIBSE (2014), herramienta para la implementación de la Política de Gestión Integral de la Biodiversidad y los Servicios ecosistémicos PNGIBSE, desarrollada por el Instituto Humboldt en conjunto con el Ministerio de Ambiente (Nieto et al., 2015).
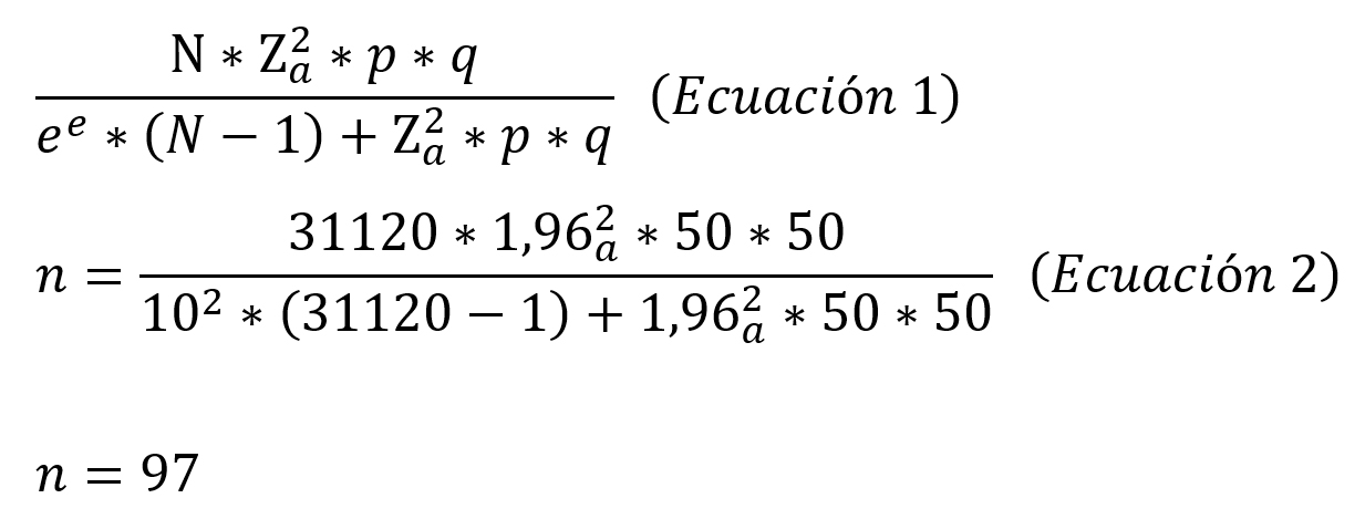
• Muestra
La población inicial fue de 31120 personas, residentes de los barrios: San Antonio de Padua, María Occidente, los Naranjos, Urapanes del Río y Las Vegas. El tamaño de muestra se seleccionó aplicando la fórmula de poblaciones finitas. (Ecuación 1 y 2):

• Valoración económica de los BSA
Para valorar los bienes y servicios ambientales sin precios de mercado según (Riera, 1994), la valoración contingente es un método de preferencias declaradas que simula un mercado hipotético propuesto en una encuesta, se trata de una interrogación directa, según Romero y Cárdenas (2017), busca que las personas declaren su máxima disposición a pagar DAP y la mínima disposición a aceptar una compensación DAA, por algún cambio que afecte la cantidad o calidad de un bien o servicio.
Esta valoración se basó en el manual de valoración contingente que propone las siguientes fases: 1) Definir qué se desea Valorar: Bienes y servicios ambientales del humedal San Antonio de Padua (Abastecimiento, culturales y regulación). 2) Definir la población relevante y seleccionar la muestra: Actores clave: líderes sociales-comunitarios, comité ambiental y comunidad aledaña al humedal, 97 individuos residentes de los barrios: San Antonio de Padua, María Occidente, los Naranjos, Urapanes del Río y Las Vegas. 3) Especificar elementos para la simulación del mercado: Se plantea un caso hipotético para valorar la disposición a pagar DAP y la mínima disposición a aceptar una compensación DAA mensualmente, durante dos años para recuperar y conservar los bienes y servicios ambientales del humedal San Antonio de Padua. 4) Definir la modalidad del instrumento (encuesta). 5) Construir el instrumento. Se aplicó la encuesta a partir de un video explicativo sobre los BSA a valorar, la DAP y DAA se valoró en formato precios de rango, con el objetivo de disminuir sesgos; se tomó como opción alternativa el vehículo de pago no monetario (Tiempo invertido en trabajos de recuperación y conservación), finalmente se incluyeron opciones sobre el motivo de no contribuir para identificar respuestas protesta (Anexo 3). 6) Aplicar el instrumento; 7) Analizar estadísticamente los resultados y 8) Presentar e interpretar los resultados.
• Estado, tendencias y factores de cambio de los BSA
Se elaboró un marco conceptual que plasma en dos fichas temáticas la información correspondiente (Tabla 1). La primera ficha recoge la identificación de los BSA del humedal y una evaluación cualitativa de la funcionalidad y tendencia de evolución actual de los mismos. En la segunda ficha se identifican los principales impulsores de cambios en el funcionamiento del humedal y se evalúa el grado de influencia y la tendencia actual de evolución de cada impulsor en relación con tres aspectos específicos: explotación intensiva de recursos, cambios en el uso del suelo y contaminación. La comparación de resultados se hizo mediante la metodología de Evaluación de los Ecosistemas del Milenio MEA (2005) implementando el código estilo semáforo (Betancur, et al., 2016).

Código Millennium Ecosystem Assessment, MEA.
Fase III: Organización y análisis de información
El procesamiento y análisis de información se realizó con el programa Microsoft Excel 2013; los aspectos sociodemográficos, descripción, valoración económica, estado, tendencia y factores de cambio de los bienes y servicios ambientales se procesó mediante tablas y figuras que permiten conocer la percepción de la comunidad respecto a las categorías de análisis, apoyados en fuentes bibliográficas en torno a la recuperación y conservación del humedal.
Resultados y Discusión
Los resultados de la experiencia se agruparon en tres secciones: 1. Información sociodemográfica, identificación de BSA provistos por el humedal, asociados a las utilidades directas o indirectas percibidas por la comunidad. 2. Valoración económica de estos BSA a través de la estimación de disponibilidad a pagar DAP (valoración contingente) y disponibilidad a aceptar DAA de las personas. 3. Estado, tendencias e impulsores de cambio asociados a los BSA mediante las fichas de reconocimiento por parte de comunidad e información secundaria.
1. Información sociodemográfica de la comunidad
En cuanto a la variable género, la investigación indica mayor participación de mujeres 57% y en menor proporción hombres 43% (Fig. 3); los intervalos de edad, muestran mayor participación de personas entre 40 y 59 años, seguido de los intervalos 28-39 y 15-17 años, seguidos por la baja cantidad de personas en edades inferiores a 14 años y superiores a 60 años (Fig. 4). Esta alta participación de personas entre 40 y 59 años representa la respuesta significativa de quienes asumen mayor responsabilidad y educación como individuo ante la sociedad (Mazzoni y Gaffuri, 2009). En cuanto al estado civil la mayoría son solteros 44%, casado 33%, unión libre 13%, un porcentaje relativamente bajo señala ser viudo 1% o divorciado 6% (Fig. 5).
En cuanto al nivel de escolaridad de los encuestados, la mayoría tiene estudios de secundaria (54%), seguido por aquellos con educación primaria (14%) y pregrado (25%), sólo el 5% tienen posgrado y no hay personas sin estudios, ni preescolar (Fig. 6). Las personas se ocupan de la siguiente manera: empleado 40%, estudiantes 15% independiente 24%, el 12% de la comunidad representa amas de casa, 5% desempleado y solo 1% es pensionado (Fig. 7). El estrato dos predomina entre los hogares encuestado (84%), seguido de uno 8,9% y tres 6,7%. La cantidad estimada de integrantes por familia oscila entre 3 y 4 personas 55%, seguido de 4 a 5 personas 17%, 1 o 2 personas 12%, y un 12% son hogares con más de 5 personas (Fig. 8). Entre estas familias participantes el ingreso salarial se ubica en menos del salario mínimo legal vigente SMLV en 75,6 % hogares y 24,4% hogares declaran 1 SMLV, entre las personas encuestadas no se registran ingresos superiores a los 2 SMLV.






Identificación de bienes y servicios ambientales
Comprende cuatro coberturas de tierra: zona humedal (espejo hídrico), franja protectora (bosque), quebrada y potrero (Anexo 2), evaluadas a partir de las categorías de servicios descritas en la Tabla 2. Este ecosistema de humedal urbano proporciona beneficios para el mantenimiento del equilibrio ecológico y bienestar de la comunidad, pues los humedales urbanos son importantes para el desarrollo de ciclos de vida animal y vegetal (Castillo, et al., 2013), constituyendo el hábitat de una gran diversidad de especies. Como sumideros de CO2, almacenan las aguas de inundación, retienen los sedimentos y reducen la contaminación, entre otros beneficios ambientales. El resultado de estas evaluaciones se articula con planteamientos mundiales en pro de la recuperación y conservación de ecosistemas, reduciendo y mitigando diversos impactos ambientales, naturales o antrópicos, que modifican el funcionamiento natural del ambiente, adicionalmente, establecen lineamientos para el manejo, protección y rehabilitación ecológica, orientados a la incorporación de estrategias de gestión ambiental que favorecen la dinámica natural, política, económica y social de las comunidades.

Clasificación de los bienes y servicios ambientales según la VIBSE
La comunidad aledaña al humedal identificó tres tipos de servicios (Tabla 2). Los que representan mayor beneficio para la comunidad son los de regulación 46%, culturales 29% y de abastecimiento 25%. Este hallazgo se diferencia de estudios similares que indican valores con mayor porcentaje de percepción para servicios de regulación y culturales sobre los de abastecimiento (Ñánez -Martínez et al., 2021; Piraquive, 2018; Gómez y Martínez, 2018); otros autores señalan que los servicios mayormente percibidos son los de abastecimiento, seguidos por los de regulación y culturales (Iftekhar y Takama 2007; Agbenyega, et al., 2009; Rodríguez-Morales et al., 2020; Villamagua-Vergara, 2017).
El predominio de la preferencia sobre un tipo de servicio u otro radica en el área de estudio, pues las ciudades, a diferencia del área rural, son más demandantes por servicios de regulación y culturales (De Groot et al., 2010); en el área rural hay mayor preferencia por los servicios de abastecimiento y en la zona urbana se registra mayor preferencia por los servicios de regulación, pues influyen directamente en la satisfacción de necesidades básicas y la calidad de vida de la comunidad (Martín-López et al., 2012).
En cuanto a los servicios de abastecimiento, la comunidad identificó en las zonas de humedal, franja protectora y quebrada nueve subcategorías de servicio: ganadería (14,6%), agua (11,8%), madera (10,9%), leña (13,5%), plantas medicinales (13,5%) y ornamentales (15%). Es importante destacar que la comunidad aledaña al humedal no realiza extracción o aprovechamiento económico de estos, pero las respuestas a la encuesta se dieron de acuerdo a los potenciales beneficios percibidos, además, manifestaron que la extracción de los productos se realiza con fines comerciales, cuyo beneficio es obtenido por habitantes de calle y personas ajenas al predio (Fig. 9).

Servicios de abastecimiento
Por otro lado, la comunidad tiene una baja percepción de beneficio sobre los servicios de pesca (6,7%), caza (6,7%) y agricultura (7,4%); actualmente no hay aprovechamiento debido a que las prácticas en el territorio como ganadería, reducción y fragmentación de hábitat, cambios en el uso del suelo, crecimiento urbano, manejo inadecuado de residuos sólidos y vertimientos, y pérdida de biodiversidad, han generado problemáticas socio-ambientales, causando deterioro ambiental progresivo del ecosistema y transformados la cobertura vegetal natural comprendida por bosque y espejo de agua a potrero.
Los servicios culturales en las coberturas zona humedal, franja protectora y quebrada se distribuyen en seis subcategorías de servicio: conocimiento ecológico local (17%), belleza del paisaje (18%), patrimonio cultural (16,8%) y sentido de pertenencia (18,2%). Estas representan mayor valor frente a los servicios de recreación (15,3%) y espirituales (14,7%), lo que indica que la percepción de la comunidad se relaciona con la función biológica y apropiación con el ecosistema, mientras que la función productiva del humedal para el sustento no es relevante (Fig. 10).

Servicios culturales
Por otra parte, se encontró que los residentes en zonas alejadas al humedal demuestran menor interés y participación en este estudio, pues la percepción de beneficios es diferente de acuerdo al rol desempeñado en el territorio (Ñáñez - Martínez et al., 2021), en concordancia, los resultados de esta evaluación son proporcionales a los beneficios suministrados y la percepción del estado de conservación del ecosistema. En cuanto a la percepción de los servicios culturales disminuyen dependiendo del grado de ocupación del suelo, de esta manera se establece una relación directa con el deterioro ambiental del mismo (De Groot et al., 2010). En consecuencia, los servicios de abastecimiento y culturales son percibidos en una baja proporción de beneficio en la cobertura de potrero, pues esta se encuentra afectada por actividades antrópicas y sociales realizadas en el área de influencia.
Los servicios de regulación se presentan en 10 subcategorías: captación de CO 2 y liberación de O2 (11%), regulación de temperatura (10,9%), regulación hídrica (10,8%), polinización (10,3%), retención de suelo (9,1%), amortiguación de inundaciones (9,5%), protección ante tormentas (8,9%), prevención de plagas ( 9,1%), purificación del agua (9,8%) y purificación del aire (10,7%) (Fig. 11). Estas subcategorías constituyen beneficios resultantes de la regulación de los procesos ecosistémicos (Castro et al., 2017) y contienen una alta valoración en función de la utilidad percibida. Desde la perspectiva del conocimiento e importancia ambiental, la comunidad reconoce este escenario como proveedor de beneficios directos para el disfrute de la naturaleza y bienestar humano, siendo los únicos que no registran ausencia respecto a los demás servicios valorados.

Servicios de regulación
No obstante, a mayor explotación del suelo aumenta la transformación de la cobertura vegetal y el paisaje sobre la disminución de los servicios de regulación con respecto al incremento del uso intensivo del suelo (De Groot et al., 2010). En consecuencia, la comunidad está dispuesta a vincularse a talleres, capacitaciones, jornadas de limpieza, contribuciones económicas, entre otras actividades que permitan recuperar y fomentar estrategias de conservación del humedal. Hay que mencionar que, en definitiva, la evaluación de los tres tipos de servicios ambientales tiene como factor común la baja percepción de beneficio en la cobertura de potrero, además, las actividades antrópicas han provocado deterioro en el suministro de todas las categorías de BSA estudiadas en esta cobertura de tierra.
2. Valoración económica de los BSA
Este fue un ejercicio participativo donde se vincularon actores clave: líderes sociales-comunitarios, comité ambiental y comunidad aledaña al humedal. Se basó en el método de valoración contingente (Riera, 1994), de preferencia declarada, estimado en el formato precios en valores de rango, que consiste en realizar encuestas planteando un mercado hipotético sobre la cantidad máxima que estarían Dispuestos A Pagar - DAP por el mantenimiento o mejora de un bien o servicio o, la mínima Disposición A Aceptar - DAA una compensación por cambios que afecten el disfrute del bien o servicio (De Groot, et al., 2007). Debido a la disminución o pérdida de la cantidad o calidad de los BSA identificados, tal valor se estima mensualmente dentro de un lapso de dos años, para realizar actividades planteadas en el PMA del humedal que contribuyan a la recuperación y conservación de bienes y servicios ambientales. Este consta de cuatro programas, de los cuales se seleccionaron dos: A) Programa de Apropiación legal y Social del humedal: Cerramiento perimetral del humedal para evitar la invasión de animales externos, el depósito de residuos sólidos, entre otros. B) Programa de Recuperación Paisajística- Mantenimiento del arbolado y Reforestación.
Disponibilidad a pagar
El enfoque de la economía ambiental incorpora elementos para asignar valor económico a los bienes y servicios sin precios de mercado respecto a la DAP y DAA (Carbal, et al., 2015). La DAP considera cuánto están dispuestos a invertir para obtener los beneficios del ecosistema (Anexo 3); al respecto, se obtuvo que el 93,3% otorga respuestas positivas, es decir, estarían dispuestas a pagar (Fig. 12). Las cantidades se distribuyen de la siguiente manera: 30,8% pagarían entre $1000 y $2000, 23,1% pagarían entre $2000 y $4000, 38.5% pagarían entre $4000 y $5000, finalmente solo

Disponibilidad a pagar
También se registran respuestas negativas donde no se asigna ningún valor económico. El 6,7% de las personas no estarían dispuestas a pagar para tal fin (Fig. 13), 66,7% manifiestan conformidad con el estado actual del humedal y 33,3% falta de interés. Con el objetivo de ampliar la información, algunas personas comentaron que consideran que la responsabilidad de realizar aportes económicos para actividades de recuperación y conservación del humedal no depende de la comunidad sino de entidades locales como la Alcaldía municipal, Corporación Autónoma Regional del Cauca - CRC, Gobernación del Cauca y entidades nacionales encargadas de gestionar la protección ambiental.

Motivos de respuestas negativas
Teniendo en cuenta los bajos valores de disponibilidad a pagar y motivos manifestados, se estableció una relación de este fenómeno con el concepto de free rider, problema del polizón, que consiste en que las personas no se responsabilizan por el pago de BSA de uso común, suponiendo que este costo se asume por otros, aun obteniendo un beneficio colectivo (Olsson, 1965); este comportamiento se relaciona con el homo economicus o interés individual separado del interés social u homo reciprocantes aun tratándose de un beneficio colectivo, es decir que las personas buscan obtener un beneficio colectivo tomando los aportes realizados por otras personas, evitando un aporte económico individual (Gintis, 2000; Ostrom, 1990). Tales respuestas negativas o de oposición se denominan votos protesta originados por la incertidumbre sobre la estimación realizada y consiste en el análisis subjetivo que hacen las personas sobre el posible impacto económico y social de su aporte (Calia y Strazzera, 2001).
Sin embargo, cabe señalar que la valoración contingente, técnica de valoración económica que implica la realización de encuestas, que puede introducir fuentes de error (De groot, et al., 2007). Con el objetivo de disminuir los sesgos, se tuvo en cuenta el error vehículo de pago, donde la simulación mercados hipotéticos en algunos casos da lugar a rechazo por parte de los encuestados. Esto sucede cuando el individuo, a pesar de valorar los BSA, se opone al método presentado por distintos motivos, por ejemplo porque no esté de acuerdo con el vehículo de pago utilizado (Martín-López, et al., 2012), en este caso, se plantea la alternativa de cambiar el pago por mano de obra en actividades de recuperación y conservación del ecosistema mensualmente durante 2 años: el 89% está de acuerdo con esta opción, así: 75% ½ día de trabajo, 12,5% 1 día de trabajo, 10% 2 - 3 días de trabajo, 2,5% 4 o más días de trabajo (Fig. 14).

Disposición mano de obra
Entre las actividades sugeridas, la comunidad seleccionó las que estarían dispuestos a pagar, donando su tiempo con mano de obra (Fig. 15): campañas de educación ambiental, 70% jornadas para recuperación y conservación 97,7% donación de árboles y reforestación 67,5%, realización y/o participación en eventos culturales 52,5%, préstamo de herramientas trabajo 42,5%, otros 0%, revelando así que la comunidad considera la necesidad de incorporar herramientas de educación ambiental que permitan fomentar valores y principios de conservación en el humedal.

Disposición mano de obra
Disponibilidad a aceptar una compensación
La valoración contingente busca estimar la mínima disposición a aceptar DAA una compensación por la pérdida o disminución de las características de un bien o servicio (Tequia y Camargo, 2016). En este sentido, el 20% de la comunidad no está dispuesta a recibir ninguna cantidad de dinero pues consideran este ejercicio irreal; tal dinero se expone en un caso hipotético, por tanto, de ninguna manera será entregado a la comunidad, y por ello se niegan a responder esta pregunta, sin un compromiso de entrega real de dinero o insumos de trabajo (Anexo 3). El 80% restante si estaría dispuesto a aceptar la cantidad de dinero expuesta en el caso hipotético, como se ha registrado en ejercicios de valoración económica realizados anteriormente la disponibilidad a aceptar tiende a ser más amplia con respecto a la disponibilidad a pagar. El 6,1% aceptaría entre $1000 y $2000, 30,3% aceptaría entre $2000 y $4000 pesos, 42,4 % aceptaría entre $4000 y $5000 pesos, finalmente el 21,2% aceptaría más de $5000 (Fig. 16).

Disponibilidad a aceptar DAA
Por último, con el fin de comprender la variabilidad entre las respuestas encontradas en esta valoración (estimación de DAP y DAA) podríamos afirmar que la comunidad asigno valores económicos de acuerdo a su percepción; las personas que tienen sentimientos de apropiación por el humedal, en el aspecto social o ambiental se manifestaron valores altos o intermedios en el rango de valores propuesto, otros asignaron valores bajos justificando la información con variables sociodemográficas, consideradas en la sección anterior de identificación de BSA, tales como estrato bajo (2 y 3), respecto al género Sempertiga y Zavaleta (2021), encontraron que las mujeres representan mayor predisposición de contribuir económicamente, de modo similar Riechard y Peterson (1998), Momsen (2000) y Dietz et al. (2002) afirman que el comportamiento ambiental de las mujeres respecto a los hombres, prevalece porque las mujeres tienen mayor participación en actividades dentro del hogar y sus labores siempre han representado una relación más cercana a la naturaleza, de modo similar, la DAP de las mujeres revela cantidades económicas relativamente superiores y mayor donación de tiempo con respecto a los hombres, demostrando mayor compromiso por parte del grupo femenino para proteger los BSA provistos por el humedal, referente a la DAA, la proporción de género no tuvo diferencia significativa, ambos géneros revelaron valores altos. El rango de edad tuvo importancia entre las personas que registraron aportes superiores a 5000 pesos, pues tienen edades entre 40 años o más de 59 años, mostrando que a mayor edad aumenta la responsabilidad ambiental. Según Espinoza (2021) y Martín-López et al., (2012), las personas con mayor grado de educación e interés en la naturaleza están más dispuestas a pagar por iniciativas de conservación, demostrando la similitud con esta afirmación, la mayoría de encuestados tiene estudios entre la primaria y posgrado, no hay personas sin estudios.
Aspectos como el número de integrantes por familia, bajo ingresos o excedentes de dinero, ocupación influyen en la disponibilidad a pagar de la población es este caso, la cifra de desempleo registrada por la Alcaldía de Popayán (2021) refiere que “en el último informe del DANE, el índice de desempleo en Popayán es del 13.4 %,”. También, se presentaron casos particulares donde las personas se negaron a participar en este estudio pues consideran que el humedal no tiene oportunidad de recuperar sus propiedades naturales, debido a las perturbaciones antrópicas, por el contrario otra parte de la comunidad aledaña considera importante este ecosistema urbano puesto que de su funcionalidad se derivan elementos generadores de bienestar social, todos los componentes del ecosistema interactúan entre sí para mejorar la calidad de vida de las personas, brindando satisfacción humana percibida mediante beneficios directos e indirectos requeridos para el mantenimiento de la biodiversidad. Por lo que se refiere a los elementos requeridos para logar este propósito la educación ambiental propone una visión ecosistémica y enfoque interdisciplinario, para contribuir a la formación de conciencia, conocimientos y formación de individuos críticos con capacidad de participar en la resolución de los problemas ambientales (Espinoza, 2021).
Estado, tendencias y factores de cambio de los bienes y servicios ambientales
Conocer el estado, tendencia, y factores que inducen cambios futuros en la provisión y la demanda de los bienes y servicios ambientales es determinante en la comprensión del funcionamiento de los ecosistemas y BSA que suministran para la creación de medidas de manejo e intervención, para potenciar los impactos positivos como reforestación, oferta y mantenimiento de BSA y reducir los impactos negativos como alteración del paisaje, degradación del suelo, pérdida de biodiversidad, contaminación y déficit hídrico entre otros. En este sentido, se muestra que en los servicios de abastecimiento predomina el estado bajo con tendencia a empeorar tal y como se demuestra en las tablas y figuras siguientes, en sentido opuesto los servicios culturales y de regulación tienen mayor proporción de estado alto, seguido del estado medio, con tendencia a mejorar (Tabla 3).

Estado actual y tendencia de evolución de los bienes y servicios ambientales.
Fuente: Adaptado de Betancur, et al. (2016).Tomando en cuenta la variabilidad ante la percepción del estado y tendencia de los BSA estudiados, se evidencia similitud con la sección inicial de este documento sobre identificación y descripción de los mismos, tal percepción está sujeta a la interacción de los residentes cercanos con el ecosistema, por ejemplo, la categoría estado bajo y tendencia a empeorar representa bajo estado de los servicios, debido a factores naturales o antrópicos como crecimiento urbano, habitantes de calle, deforestación, manejo inadecuado de residuos sólidos y vertimientos entre otros, ejercidos al interior y exterior del humedal; la categoría estado medio y tendencia estable, quiere decir, que el estado de los servicios a evaluar es estable, se refiere a que el deterioro o conservación del servicio no afecta el balance entre la oferta o demanda del mismo; en cuanto al estado alto y tendencia a mejorar, representa que el servicio a evaluar tiene alto grado de conservación o percepción de beneficios directos a lo largo del tiempo.
Los servicios de abastecimiento como pesca, caza, agricultura y madera para construcción se encuentran predominantemente en estado bajo, la tendencia más significativa es a empeorar el estado de dichos servicios pues no hay aprovechamiento, ni percepción de beneficio sobre estos (Fig. 17 -18). por ejemplo la caza es una actividad que se encuentra aislada del sistema económico de la comunidad, cuyos principales ingresos se soportan como empleados, independientes, pensionados entre otros (Fig. 7); la pesca tampoco se ejerce pues como se describe anteriormente, en el humedal se ha reducido el espejo hídrico, además, se utiliza como receptor de vertimientos líquidos y sólidos que alteran las propiedades fisicoquímicas del recurso hídrico; la agricultura es un servicio que no se ejerce, en la extensión del terreno hay ausencia de cultivos y la comunidad desconoce prácticas relacionadas al sistema agrícola; la extracción de madera en plantas leñosos y guadua se ha realizado anteriormente por personas ajenas al predio, que no tienen relación con la comunidad.

Estado de los bienes y servicios de abastecimiento

Tendencia de los bienes y servicios de abastecimiento
Así mismo, en los siguientes servicios evaluados cada tendencia se determina por el aprovechamiento, observación y percepción de beneficio. Por lo que se refiere a la ganadería, agua y medicina natural, tienen tendencia a empeorar; pues mediante el arriendo del predio el propietario permite la ejecución de estas actividades; la leña y plantas ornamentales tienen tendencia estable, donde la utilidad obedece al aprovechamiento realizado por personas que no representan ningún vínculo con el humedal, de manera general, el estado bajo de los servicios de abastecimiento es producto de diversos aspectos: en el predio no hay control sobre el manejo de los BSA por parte de los entes encargados permitiendo el desarrollo de múltiples actividades que deterioran la oferta de los BSA provistos por el humedal, como prueba la comunidad manifestó que anteriormente existió mayor percepción de beneficio pero gran parte de estos de los servicios evaluados en este estudio se han deteriorado en el transcurso del tiempo. En el humedal, el estado de los servicios de abastecimiento es bajo con tendencia a empeorar; algo semejante al estudio realizado por (Betancur et al., 2017) en la laguna Sochagota, los servicios de abastecimiento de agua, para distintos usos tiene estado bajo y tendencia estable y los de producción de materias primas biológicas, producción natural de recursos alimentarios tienden a empeorar.
En los servicios culturales, la valoración que mayor predomina en las subcategorías de servicio, es estado alto seguido del estado medio, con tendencia a mejorar (Fig. 19-20), de modo similar (Betancur, et al., 2016 y Arana, 2015) encontraron que los servicios culturales estudiados se encuentran en estado alto con tendencia a mejorar gracias a la gestión ambiental comunitaria.

Estado de los bienes y servicios culturales

Tendencia de los bienes y servicios culturales
Entre los servicios culturales, los servicios de recreación y espirituales se encuentran en estado alto, con tendencia a empeorar debido a que su baja percepción se debe a la presencia de habitantes de calle, residuos sólidos y deterioro ambiental del humedal que impide el libre acceso y aprovechamiento de estas subcategorías de servicios, afectando la seguridad de los residentes; sin embargo, existe el reconocimiento de los beneficios directos e indirectos que oferta el humedal y como se podrían utilizar para fomentar espacios para fortalecer la dinámica socio-ambiental de la comunidad aledaña este ecosistema tan importante para el municipio (Castillo, et al., 2013).
Adicionalmente, los servicios de conocimiento ecológico local, belleza del paisaje, patrimonio cultural e histórico y sentido de pertenencia, se encuentran en estado alto, a excepción de la evaluación anterior en estos servicios predomina la tendencia a mejorar, se percibe sentimientos de apropiación con el ecosistema, entre los encuestados se evidencio gran interés por recuperar y conservar estos espacios a través de la educación ambiental y acción comunitaria en apoyo con las instituciones locales correspondientes para promover el mejoramiento del ecosistema en la medida que en el futuro haya mayor aprovechamiento de BSA; se planifique y administre el capital natural, como argumenta Betancur et al., (2016), es necesario involucrar a las personas en estrategias de educación ambiental para lograr la adquisición de información relevante sobre el funcionamiento de los humedales, de este modo se podrían mejorar ejercicios posteriores de valoración de BSA.
En los servicios de regulación, el servicio protección ante tormentas tiene tendencia a mantenerse estable, en los siguientes servicios predomina el estado alto con tendencia a mejorar, el ecosistema regula los ciclos biogeoquímicos por medio de la captación de CO2, que las plantas almacenan y transforman mediante la fotosíntesis y otros procesos ecológicos para la liberación de O2, regulación de temperatura, regulación hídrica, polinización, amortiguación de inundaciones, prevención de plagas, purificación del agua y purificación del aire (Fig. 21-22),. Su alta preferencia según la comunidad, se expresa de mismo similar al caso de los servicios culturales, la apropiación de los BSA del humedal, considerados ofrecen mayor beneficio permitiendo que el servicio ambiental tienda a mejorar con el paso del tiempo. Resultado similar surgió en la investigación de Cruz y Macalopu, (2020), donde los servicios de regulación estudiados se encuentran en estado alto con tendencia a mejorar. De manera general, se identificaron resultados positivos que sugieren la necesidad de continuar manteniendo y protegiendo las características de los servicios del humedal de presiones antrópicas que afectan tanto la estructura y el funcionamiento como la propiedad resiliente de los ecosistemas, al igual que la capacidad que estos tienen de ofrecer servicios a la sociedad (Díaz., 2006).

Estado de los bienes y servicios de regulación

Tendencia de los bienes y servicios de regulación
Impulsores de cambio
El funcionamiento ecológico y BSA suministrados por el humedal San Antonio de Padua se determinan por el estado y tendencias de los mismos. En este sentido, los impulsores de cambio directos, están definidos por Betancur et al., (2016), como aquellos factores que afectan los servicios ambientales, así como posibles tendencias futuras resultantes de cambios en estos factores. En la Tabla 4, se muestran los impulsores directos: la explotación intensiva de recursos, cambios en el uso del suelo y contaminación; también existen factores adicionales como perdida de hábitat, especies invasoras y cambio climático. Los impulsores indirectos de acuerdo a Kosmus et al., (2012), son factores que contribuyen con cambios en los impulsores directos de los BSA, entre estos se destacan cambios en la población, actividades económicas, tecnología, como también factores sociopolíticos y culturales.

Impulsores de cambios, grado de influencia y tendencia actual de evolución de cada impulsor en el funcionamiento del humedal
*Fuente: Adaptado de Betancur, et al. (2016).Los principales impulsores directos que inducen cambios en los BSA, son la explotación intensiva de recursos: extracción de agua (humedal y afluente) tiene impacto moderado, principalmente el agua es utilizada en la ganadería cuya tendencia es disminuir debido a la oposición de la comunidad ante esta práctica que afecta el ecosistema provocando procesos de erosión, alteración del paisaje, pérdida de biodiversidad y desecación del escaso espejo hídrico; el impulsor extracción de agua subterránea próxima y subterránea de la cuenca arrojo la categoría “no existe” en esta valoración. Los impulsores explotación biológica (cultivos, bosque) tienen impacto moderado con tendencia a disminuir rápidamente gracias a la continua acción de la comunidad por conservar al máximo las propiedades naturales del humedal, se han instaurado peticiones ante la CRC, Alcaldía Municipal, la Academia con el fin de apoyar tal propósito comunitario; la ganadería tiene impacto alto y tendencia a disminuir por los mismos motivos anteriores; la pesca tiene impacto bajo y tendencia a disminuir, tal impulsor esta apartado del sistema de vida de la comunidad donde la demanda de este servicio es baja. Por último, el humedal no está afectado por ninguno de los diversos factores relacionados con la explotación mineral. Revelando principalmente impacto moderado, se establece relación con el planteamiento de Franco et al., (2013), los pequeños sistemas productivos extractivos no implican una transformación severa de los humedales, son compatibles con el sistema ecológico y pueden mantenerse con el funcionamiento normal de los sistemas.
A continuación se examinan los cambios en el uso del suelo respecto a los principales impulsores: deforestación y manejo del bosque muestran impacto moderado con tendencia a disminuir, debido a que la extracción de leña y madera por parte de los habitantes de calle se ha detenido gracias a la acción de la policía ambiental, la academia y juntas de acción comunal de los barrios las vegas, los naranjos, maría occidente entre otros integrantes del comité ambiental; la reforestación tiene impacto moderado con tendencia a mantenerse estable, esta se realiza por algunos integrantes de la comunidad y otras entidades vinculadas con el objetivo de contribuir a la recuperación del ecosistema, sustentando el mantenimiento de interacciones socio ambientales que permitan proteger los insumos necesarios para la oferta de BSA evitando el deterioro progresivo del humedal.
La urbanización, habitantes de calle y vías de comunicación representan un impacto alto, con tendencia a aumentar, de modo similar a las principales afectaciones de humedales a nivel mundial, en el área exterior del humedal se han ejecutado construcciones que representan impactos para el humedal. Mientras tanto Caruso y Ríos (2021) menciona que en los humedales de buenos aires la urbanización se ha incrementado incluso en capitales inmobiliarios cuya inversión se manifiesta en urbanizaciones cerradas, ocupando un papel en la valorización de estos predios vacantes a precios bajos y próximos a la ciudad aumentando el deterioro/contaminación ambiental respecto a este impulsor se presentan tres aspectos: difusa atmosférica y puntual urbana/industrial presentan impacto medio, con tendencia a aumentar rápidamente, debido a los acelerados cambios en el uso del suelo y explotación intensiva de recursos; la contaminación difusa atmosférica se presenta por plantaciones ornamentales, tiene tendencia a disminuir, tales plantas se cultivan mediante con fertilizantes y abonos procesados, según Barragán y Rueda (2019) solo se aprovecha el 6% de la cantidad aplicada, el resto se dispersa mediante procesos biológicos del ambiente.
Los resultados obtenidos se reflejan en la percepción de bienestar, entonces, las actividades de desarrollo económico y social determinan los impulsores de cambio. Como señala Aponte et al., (2020), las actividades antrópicas que producen impulsores generan presión sobre los ecosistemas en gran parte del mundo evidenciando la necesidad de mejorar la aplicación de acciones jurídicas de manejo ambiental, por otra parte las actividades extractivas de BSA son necesarias para el sostenimiento de muchas comunidades aledañas al ecosistema de humedal, entonces, la estrategia a aplicar seria mantener las condiciones naturales, para disminuir el efecto de los impulsores de cambio en el ecosistema.
Conclusiones
El estudio de los bienes y servicios ambientales del humedal San Antonio de Padua aporta herramientas y datos importantes para la toma de decisiones sobre el capital natural, este propósito debe incluir aspectos sociales y económicos articulados con la participación comunitaria, reflexionando sobre cómo reducir las problemáticas socio-ambientales promotoras del deterioro ambiental. Los servicios ambientales permiten conocer la importancia del ecosistema en el suministro de utilidades directas e indirectas para el bienestar humano, destacando su compromiso con el territorio, condiciones necesarias para fomentar la recuperación y fortalecimiento de los BSA. Por su parte, la percepción comunitaria evidenció bajo suministro de servicios de abastecimiento en comparación con los servicios culturales y de regulación, considerados por proporcionar mayor beneficio para la comunidad residente.
El valor económico se estableció mediante la disponibilidad a pagar, determinada por variables sociodemográficas como aspecto influyente en la toma de decisiones que involucran costos económicos, respecto a la disposición a pagar el 93,3% responde positivamente, por lo tanto, el 89% de ellos aceptó contribuir con mano de obra. Asimismo, la disposición a aceptar se condiciona por la capacidad económica de los participantes en la investigación, sin embargo, si se parte del supuesto que los recursos provienen de otras personas, la aceptación es superior, aun obteniendo un beneficio colectivo, presentando incertidumbre por el destino económico y social de tal recurso. Este instrumento de valoración se proyecta como insumo necesario para incorporar medidas de manejo e intervención del ecosistema.
En los servicios de abastecimiento, predomina el estado bajo, con tendencia a empeorar, pues el grado de preferencia es bajo respecto a la utilidad percibida. Los servicios culturales se encuentran mayoritariamente en estado alto a excepción de la recreación y espirituales, que se encuentran en estado medio con tendencia a empeorar. Los servicios de regulación se encuentran en estado alto con tendencia a mejorar; en este sentido, hay mayor sentido de apropiación y se considera de mayor aprovechamiento respecto a los demás servicios ambientales evaluados. Por tanto, es importante vincular a la comunidad en estrategias participativas de educación ambiental que permitan conocer mejor el funcionamiento del ecosistema para comprender y resolver las problemáticas socio - ambientales causadas por actividades antrópicas a través de talleres, programas o proyectos fundamentados en la protección ambiental.
Adicionalmente, se sugiere aplicar el análisis multicriterio (AMC) propuesto en Sánchez et al. (2004), que permite determinar áreas prioritarias para la gestión sostenible de BSA, seguido del proceso de análisis jerárquico propuesto por Saaty (1970), diseñado para tomar decisiones en evaluaciones subjetivas respecto a múltiples objetivos, criterios, participantes y a la preferencia global de los evaluadores con respecto a las alternativas de solución e intervención en el territorio. Finalmente, es importante continuar este proceso investigativo con estudios relacionados con el dominio de valor biofísico, económico, y socio-cultural. Debido a la baja cantidad de estudios realizados en esta área, se sugiere incluir técnicas de muestreo probabilístico, entre otros instrumentos de análisis de información que permitan integrar los componentes del marco conceptual para la evaluación de los BSA del humedal como ecosistema estratégico urbano.
Agradecimientos
Al Grupo de Investigación en Ecología Tropical UNIET mediante el semillero de investigación Gestión Social y Legislación Ambiental del programa de Ecología de la Fundación Universitaria de Popayán por permitir atender los requerimientos en pro de la recuperación y conservación del humedal San Antonio de Padua. La comunidad, a través de los actores clave, tuvo una participación relevante en la ejecución de los lineamientos diseñados para realizar este proyecto de investigación.
Referencias
Agbenyega, O., Burgess, P.J., Cook, M. y Morris J. 2009. Application of an ecosystem function framework to perceptions of community woodlands. Land Use Policy Vol. 26(3): 551-557. Disponible en: https://doi.org/10.1016/j.landusepol.2008.08.011
Acuerdo número 06 de 2002. Por el cual se adopta el plan de ordenamiento Territorial para el municipio de Popayán. 2002. Alcaldía municipal de Popayán. Disponible en: http://popayan.gov.co/sites/default/files/files/ACUERDO%2006%202002%20NOMAS%20POT.pdf
Aponte, H., Gonzales, S. y Gómez, A. 2020. Impulsores de cambio en los humedales de América Latina: el caso de los humedales costeros de Lima. South Sustainability, 1(2), e023. Disponible en: https://doi.org/10.21142/SS-0102-2020-023
Arana, Medina V. 2015. Análisis y valoración de los servicios de los ecosistemas de humedales asociados al río león (Urabá Antioqueño-Colombia). Su relación con el sistema hídrico subterráneo y con el bienestar humano. Universidad Nacional de La Plata. Urabá Antioqueño-Colombia. 63 pp.
Barragán, D. y Rueda, V. 2019. Evaluación de la viabilidad económica financiera para la creación de la empresa Fert-eco dedicada a la producción de fertilizantes orgánicos. Disponible en: https://repositorio.utp.edu.co/items/ca3391f9-2908-4788-9769-0523d55e5b48/full
Betancur, T., Bocanegra, E., Custodio., E., Manzano M., y Cardoso da Silva G. 2016. Estado y factores de cambio de los servicios ecosistémicos de aprovisionamiento en humedales relacionados con aguas subterráneas en Iberoamérica y España. Biota colombiana. 17(1): 106 – 119. Disponible en: http://hdl.handle.net/20.500.11761/9355
Betancur, T., García, D., Vélez, A., Gómez, A., Flórez, C., Patiño, J. y Ortiz, T. 2017. Aguas subterráneas, humedales y servicios ecosistémicos en Colombia. Biota colombiana. 18(1): 1 – 28. Disponible en: https://doi.org/10.21068/c2017.v18n01a1
Carbal, A., Muñoz, J. y Solar, L. 2015. Valoración económica integral de los bienes y servicios ambientales ofertados por el ecosistema de manglar ubicado en la ciénaga de la virgen. Cartagena - Colombia. Saber, ciencia y libertad, 10(1), 125–146. Disponible en: https://doi.org/10.18041/2382-3240/saber.2015v10n1.918
Caruso, S. y Ríos, D. 2021. Urbanización, conservación de humedales y conflictos ambientales: el caso de la Laguna de Rocha. Boletín de Estudios Geográficos (114), 77–100. https://revistas.uncu.edu.ar/ojs/index.php/beg/article/view/4742
Castillo, D., Ipia, J., Zuñiga, J., Paz, J. y Londoño, L. 2013. Caracterización biológica y socioeconómica del humedal universidad, Municipio de Popayán, Colombia. Rev.Bio.Agro vol.11 (1) 174-183. Disponible en: http://www.scielo.org.co/pdf/bsaa/v11n1/v11n1a21.pdf
Castro, L., Guzmán, V., y Gutiérrez, J. 2017. La gestión integral de servicios ecosistémicos para la construcción de resilencia socioecológica. En I. Victorino, L. Castro, C. Caro Caro, F. Zabala Forero, I. Victorino, L. Castro, C. Caro Caro, y F. Zabala (Edits.), La cuenca del río Orotoy: Conocimientos para la gestión territorial. Bogotá. 244 pp.
Convención de Ramsar sobre los humedales. 2018. Ramsar. Disponible en: https://www.ramsar.org/sites/default/files/urbanwetlands_sp.pdf
Corporación autónoma regional del Cauca, CRC. 2018. Humedales. Disponible en: https://crc.gov.co/ambiental/ecosistemas-estrategicos/humedales/
Cruz, Yajahuanca, Y. R. y Macalopu Sandoval, G.M. 2020. Valoración ecológica para proteger los servicios ambientales de los humedales de la ciudad de Eten, 2019. Universidad de Lambayeque, Chiclayo, Perú. 41-42 pp.
De Groot, R., Stuip, M., Finlayson, M. y Davidson, N. 2007. Valoración de humedales: Lineamientos para valorar los beneficios derivados de los servicios de los ecosistemas de humedales, Informe Técnico de Ramsar núm. 3/núm. 27 de la serie de publicaciones técnicas del CDB. En Secretaría de la Convención de Ramsar, Gland (Suiza), y Secretaría del Convenio sobre la Diversidad Biológica, Montreal (Canadá). 25pp
De Groot, R., Fisher, B., Christie, M., Aronson, J., Braat, L., Gowdy, J., Haines-Young, R., Maltby, E., Neuville, A., Polasky, S., Portela, P y Ring, I. 2010. Integrating the ecological and economic dimensions in biodiversity and ecosystem service valuation. Pp 9-40. En Kumar, P. (Ed.). The Economics of Ecosystems and Biodiversity: Ecological and Economic Foundations, Earthscan Routledge, Londres. 422 pp.
Diaz, S., 2006. Biodiversity regulation of ecosystem services, en R. Hassan, R. Scholes y N. Ash (eds.), Ecosystems and hu-human well-being: Current state and trends, Vol. 1. Findings of the Condition and Trends Working Group of the Millennium Ecosystem Assessment. Island Press, Washington, D.C.
Dietz, T., Kalof, L. y Stern, P. 2002. Gender, values and environmentalism. Social Science Quarterly 83(1): 353-364. Disponible en: https://doi.org/10.1111/1540-6237.00088
Espinoza, Bardales J.L. 2021. Aplicación del método de valoración contingente para el mantenimiento de los servicios ecosistémicos del área de conservación regional humedales de ventanilla (Lima-Perú). Trabajo de grado en ecología y gestión ambiental. Universidad Ricardo Palma, Escuela de postgrado, Programa ecología y gestión ambiental. Lima. Perú -56 pp.
Evaluación de los Ecosistemas del Milenio (MEA). 2005. Los ecosistemas y el bienestar humano: humedales y agua. Informe de síntesis. World Resources Institute, Washington, D.C. 68 pp.
Franco, L., Delgado, J., y Andrade, I. 2013. Factores de la vulnerabilidad de los humedales altoandinos de Colombia al cambio climático global. Cuád. Geogr. 22(2) pp.69-85. Disponible en: http://www.scielo.org.co/scielo.php?script=sci_arttext&pid=S0121-215X2013000200005
Gintis, H. 2000. Beyond homo economicus: evidence from experimental economics. Ecological economics. 35(3): 311-322. https://doi.org/10.1016/S0921-8009(00)00216-0
Gómez, W.S. y Martínez, N.D. 2018. Evaluación de la percepción sociocultural de los servicios ecosistémicos en la cuenca del río Orotoy aplicando la metodología de proceso analítico jerárquico-ahp. Universidad Santo Tomás, Villavicencio-Meta, Colombia.84 pp.
Idrobo, Guevara M.E. 2018. Formulación de un plan de manejo ambiental para la conservación del humedal “San Antonio de Padua”, Popayán, Cauca. Corporación Universitaria Autónoma del Cauca, Popayán – Cauca, Colombia. 11-65 pp.
Iftekhar, S. y Takama, T. 2007. Perceptions of biodiversity, environmental services, and conservation of planted mangroves: A case study on Nijhum Dwip Island, Bangladesh. Wetlands Ecology and Management. 16, 119-137. https://doi.org/10.1007/s11273-007-9060-8
Índice de desempleo en Popayán tiende a la baja. 2021. Alcaldía municipal de Popayán. Disponible en: http://www.popayan.gov.co/ciudadanos/sala-de-prensa/noticias/%C3%8Dndice-de-desempleo-en-Popay%C3%A1n-tiende-a-la-baja
Instituto de hidrología, meteorología y estudios ambientales IDEAM. 2010. Leyenda Nacional de Coberturas de la Tierra. Metodología Corine Land Cover adaptada para Colombia escala 1: 100000. Disponible en: https://www.purace-cauca.gov.co/MiMunicipio/DocumentosGestinRiesgoYDesastres/Estudios%20gesti%C3%B3n%20del%20riesgo%20Purac%C3%A9/Leyenda%20nacional%20coberturas%20tierra.pdf
Kosmus, M. Renner, I. y Ullrich S. 2012. Implementar un enfoque sistemático de pasos para la integración de los servicios ecosistémicos en la planificación del desarrollo. pp 21 - 49.
Kosmus, M., Renner, I y Ullrich, S.2012. Integración de los servicios ecosistémicos en la planificación del desarrollo. Un enfoque sistemático en pasos para profesionales basado en TEEB. pp 1 - 92. Disponible en: http://www.aboutvalues.net/es/data/six_steps/integr_ecosys_serv_in_dev_planning_es.pdf
Martínez, A. y Cárdenas, K. 2018. Caracterización cuantitativa de los servicios ecosistémicos a partir de la percepción comunitaria de los pobladores en la región de La Mojana. Instituto de Investigación de Recursos Biológicos Alexander von Humboldt y Universidad de Córdoba. Bogotá. 73 pp.
Martín-López, B., González, J., Vilardy, S., Montes, C., García, M., Palomo, I., Aguado M. 2012. Guía docente. Ciencias de la sostenibilidad. Universidad del Magdalena, Instituto Humboldt y la Universidad Autónoma de Madrid. 30 pp.
Martín-López, B., Iniesta-Arandia, I., García-Llorente, M., Palomo, I., Casado-Arzuaga, I., García del Amo, D., Gómez-Baggethun, E., Oteros-Rozas, E., Palacios-Agundez, I,Willaarts, B., González, J.A., Santos-Martín, F., Onaindia, M., López-Santiago, C. y Montes, C. 2012. Uncovering ecosystem service bundles through social preferences. PLoS ONE 7: e38970. Disponible en: https://doi.org/10.1371/journal.pone.0038970
Mazzoni E. y Gaffuri P. 2009. Entornos de aprendizaje personales para superar fronteras de conocimiento entre sistemas de actividad en la edad adulta temprana. Elearning Papers 15(1) 1-10.
Ministerio de ambiente, vivienda y desarrollo territorial. 2012. Política Nacional para La Gestión Integral de la Biodiversidad y sus Servicios Ecosistémicos PNGIBSE. Disponible en: https://www.minambiente.gov.co/wp-content/uploads/2021/10/Poli%CC%81tica-Nacional-de-Gestio%CC%81n-Integral-de-la-Biodiver.pdf
Momsen, J. H. 2000. Gender differences in environmental concern and perception. The Journal of Geography, 99: 47-56.y. Disponible en: https://doi.org/10.1080/00221340008978956
Nieto, M., Cardona, L. F. y Agudelo, C. 2015. Análisis de servicios ecosistémicos. Provisión y regulación hídrica. Ungar, P. (ed.) Instituto de Investigación de Recursos Biológicos Alexander von Humboldt. Bogotá. 96 pp.
Ñáñez,-Martínez N.Y., Bustamante-Vidal L.G., Narváez- Zambrano I.A. y Fériz-García. D.A.2021. Valoración sociocultural de servicios ecosistémicos a nivel local. Novedades colombianas. 16(1):101 -134. Disponible en: https://doi.org/10.47374/novcol.2021.v16.2003
Ocampo, D. 2019. El enfoque mixto de investigación: algunas características. Investigalia. Disponible en: https://investigaliacr.com/investigacion/el-enfoque-mixto-de-investigacion/
Olson, M. 1965. The logic of collective action, 2a edicion., Cambridge Harvard University Press, 1971 [La lógica de la acción colectiva, México, Limusa, 1992].
Ostrom, E. 1990. Governing the commons: the evolution of institutions for collective action. Cambridge; New York: Cambridge University Press.
Perni, A., Martínez, F., y Martínez J. 2011. Economic valuation of coastal lagoon environmental restoration: Mar Menor (SE Spain). Ciencias Marinas, 37(2), 175–190. Disponible en: https://doi.org/10.7773/cm.v37i2.1889
Piraquive, R.C. y Velásquez, M.S. 2018. Valoración integral de los servicios ecosistémicos del humedal brisas del llano en el municipio de Restrepo. Universidad Santo Tomás, Villavicencio-Meta, Colombia. 79 pp.
Riechard, D. y Peterson, S. 1998. Perception of environmental risk related to gender, community socioeconomic setting, age and locus of control. The Journal of Environmental Education, 30(1), 11-19.
Sodhi, N. S., Ming Lee, T., Sekercioglu, C. H., Webb, E. L., Prawiradilaga, D. M., Lohman, D. J., Pierce, N. E., Diesmos, A. C., Rao, M. y Ehrlich, P. R. 2009. Local people value environmental services provided by forested parks. Biodivers Conserv, 19, 1175–1188. Disponible en: https://doi.org/10.1007/s10531-009-9745-9
Riera, P 1994. Manual de valoración contingente. Barcelona. 112 pp. Disponible en: http://132.247.70.26/profesores/blopez/valoracion-manual.pdf
Rodríguez-Morales, Beatriz., Roces-Díaz, José V., Kelemen, Eszter., Pataki, György., Díaz-Varela, Emilio. 2020. Perception of ecosystem services and disservices on a peri-urban communal forest: Are landowners’ and visitors’ perspectives dissimilar? Ecosystem Services, 43: 101089, Disponible en: https://doi.org/10.1016/j.ecoser.2020.101089
Romero, Castañeda J. A. y Cárdenas, Muñoz C. R. 2017. Valoración económica de los servicios ecosistémicos del PNN Tayrona mediante los métodos de valoración contingente y costos de viaje como aproximación al valor económico total. Universidad Santo Tomas, Bogotá – Colombia. 87 pp.
Sánchez, F. 2019. Fundamentos epistémicos de la investigación cualitativa y cuantitativa: consensos y disensos. Revista digital de investigación en docencia universitaria, 13(1) 102-122. Disponible en: http://dx.doi.org/10.19083/ridu.2019.644
Sánchez, K., Jiménez, F., Velásquez, S., Piedra, M. y Romero, E. 2004. Metodología de análisis multicriterio para la identificación de áreas prioritarias de manejo del recurso hídrico en la cuenca del río Sarapiquí, Costa Rica. Recursos naturales y ambiente 88-95. http://ciat-library.ciat.cgiar.org/articulos_ciat/Karla1.pdf
Sempertiga, Herrera K.A. y Zavaleta, Guajardo A.A. 2021. Valoración económica ambiental para la conservación de los humedales del distrito de Huanchaco, Trujillo, La Libertad 2019. Universidad Nacional de Trujillo, Trujillo - Perú. 92 pp.
Tequia, L. M. y Camargo, D. A. 2016. Análisis de valoración contingente de restauración ecológica de una cantera en Soacha, Cundinamarca, Colombia. Revista de investigación agraria y ambiental. 7(2) 171 -183. Disponible en: https://doi.org/10.22490/21456453.1566
Villamagua-Vergara, G. C. 2017. Percepción social de los servicios ecosistémicos en la microcuenca El Padmi, Ecuador. Revista iberoamericana de economía ecológica, 27: 102-114. Disponible en: https://ddd.uab.cat/pub/revibec/revibec_a2017v27/revibec_a2017v27p102.pdf
Yánes, G. G. y Caula, S. A. 2020. Valoración ciudadana de un proyecto de gestión ecológica en un humedal del mar Caribe en el Parque Nacional San Esteban, Venezuela. Ecosistemas, 29(3), 2010. Disponible en: https://doi.org/10.7818/ECOS.2010
Anexo 1
Anexo 1.
Revisión de información documental






Anexo 2.
Encuesta1: Identificación de bienes y servicios del humedal San Antonio de Padua. Metodología de Valoración Integral de los Servicios Ecosistémicos, VIBSE: https://docs.google.com/forms/d/1Kvwx_FgU0CcBN7RlxwcIHs83rcl5cfJVL1qZhmzDCIo/edit
Anexo 3.
Encuesta 2. Valoración contingente: https://docs.google.com/forms/d/17mellyvH1MF34_XZOF-entyR93ZK0xawbCE8ifjEyXs/edit#responses

