

Artículos científicos originales en producción pecuaria
Precisiones sobre el diámetro de fibra en alpacas de la región Puno, Perú
Precisions on the diameter of fiber in alpacas of the region Puno, Peru
Revista de Investigación e Innovación Agropecuaria y de Recursos Naturales
Universidad Mayor de San Andrés, Bolivia
ISSN: 2409-1618
ISSN-e: 2518-6868
Periodicidad: Semestral
vol. 7, núm. 2, 2020
Recepción: 29 Julio 2020
Aprobación: 13 Diciembre 2020

Resumen: El diámetro y la distribución de diámetros de fibras en alpacas son importantes para la determinación de la calidad, confort y apariencia del producto final. Sin embargo, estos parámetros no son exactamente determinados en poblaciones de alpacas, debido a deficiencias procedimentales y conceptuales que sesgan sus estimados. El presente trabajo establece valores referenciales para la media, desviación estándar y otros, del diámetro de la fibra en alpacas de la región Puno, así como evidencia deficiencias y debilidades de las determinaciones realizadas. Se analizó dos grupos de muestras de vellón de alpacas, ejecutándose determinaciones de diámetro a través del microscopio de proyección y el equipo OFDA. Se utilizó procedimientos de resumen y análisis de datos de estadística descriptiva. Se determinó que las medias de los diámetros de fibra, se distribuyen conforme una función Gamma. La media y desviación estándar para el diámetro de fibra en alpacas de la raza Huacaya de la región Puno fue de 23.42±6.08 µm, obtenidos por parámetros de la función Gamma. La media y desviación estándar obtenidos de las distribuciones de medias, no son reales; son menores ya que usan una variable diferente que reduce el rango de los valores de diámetro de fibra. Un 8.95 % fibras en alpacas corresponden al área más gruesa. Más del 60.00 % de las fibras de alpacas Huacaya de la región Puno tienen un diámetro menor a 23 µm, que garantiza la calidad de la fibra de las alpacas de la región Puno.
Palabras clave: distribución, diámetro, media, media de medias.
Abstract: The diameter and the distribution of diameters of fibers in alpacas are important for the determination of the quality, appearance and comfort of the product. However, these parameters are not exactly resolute for alpaca populations, due to conceptual and procedural deficiencies that slant their estimates. The present work establishes reference values for the average, standard deviation and others of the diameter of the fiber in alpacas of the region Puno, as well as it evidences deficiencies and weaknesses of the carried-out determinations. It was analyzed two groups of samples of fleece of alpacas, being executed diameter determinations through the projection microscope and the OFDA. It was used summary procedures and analysis of data of Descriptive Statistic. It was determined that the fiber diameter, the means of the fiber diameters, is distributed as a function Gamma. The average and standard deviation for the fiber diameter in alpacas of the region Puno was of 23.42 ± 6.08 µm obtained by of the Gamma function parameters. The average and standard deviation obtained of the distributions of means are not real, and they are smaller since they use a different variable that reduces the range of the values of fiber diameter. 8.95 % fibers in alpacas corresponds to the thickest area. More than 60.00 % of the fibers of alpacas of the region Puno has a smaller diameter to 23 µm, that guarantees the quality of the fiber of the alpacas of this region.
Keywords: distribution, diameter, average, average of average.
INTRODUCCIÓN
La alpaca (Vicugna pacos) es la especie de los Camélidos Sudamericanos Domésticos con orientación productiva hacia fibras de calidad para la industria textil y artesanía. El diámetro de la fibra (DF) es una de las características importantes de la fibra (Manso, 2011), considerada como el principal objetivo de selección (Gutiérrez et al., 2011). La media de los diámetros de fibras (MDF), es el parámetro físico de calidad más importante del vellón de la alpaca, pues permite definir la mejor utilización y valor de las fibras (Rojas, 2006); está relacionado con la finura y sobre cuya base se han fijado distintas categorías de calidad (Aylan-Parker y McGregor, 2002).
Existen investigaciones científicas a nivel regional, nacional e internacional a cerca de la finura de la fibra en alpacas, determinados utilizando muestras de tamaño diferente y realizan inferencias a cerca del DF a partir de MDF, obviamente con resultados sesgados; es decir, refieren a la media de muchas MDF como referente de la MDF. Por lo que es ineludible precisar estos conceptos, su significado, procedimientos estadístico matemático utilizado en su determinación, que garanticen la fidelidad de dichos parámetros, por las inferencias e implicancias que generan sus usos.
La distribución de los diámetros de fibra (DDF) es importante para la determinación de la calidad, debido al efecto sobre la apariencia y el confort del producto (Mayo et al., 1994), en camélidos, éstos con vellones mixtos o doble capa (Sachero y Mueller, 2005) y con mayor variación en tipo de fibra (Frank et al., 2007), la cola derecha del gráfico de distribución es más prolongada, que representa el área de frecuencias de fibras con más de 30 µm de diámetro, y determina el denominado borde grueso (Frank, 2008).
Los objetivos del estudio fueron determinar la función de la distribuciones y parámetros para las distribuciones de DF y MDF, a través de la mejor función de ajuste, estableciendo relaciones de parámetros de tendencia central y dispersión; determinar el porcentaje del área que corresponde al extremo de fibras más gruesas en la distribución, y clasificar la fibra en función de su finura, en alpacas de la región Puno.
MATERIALES Y MÉTODOS
Ubicación de la zona de estudio
El estudio se realizó en la región Puno, se encuentra ubicada en la parte Sur-Este del territorio peruano, en la meseta del Collao, entre las coordenadas geográficas: 13° 00′ 00′′ y 17° 17′ 30′′ de latitud sur y los 71° 06′ 57′′ y 68° 48′ 46′′ de longitud oeste del Meridiano de Greenwich.
Metodología
Para el estudio se utilizaron muestras de vellón, obtenidos de la zona del costillar medio de alpacas (Aylan-Parker y McGregor, 2002).
Dos grupos de muestras fueron tomadas simultáneamente entre los años 2013 a 2014, y analizadas separadamente entre los años 2015 al 2017, en alpacas de la raza Huacaya de diferentes edades y sexos. El primer grupo, constituido por mil muestras, corresponden a alpacas de propietarios de las provincias o localidades de Melgar, Azángaro, Mañazo, Vilque, Capazo, Santa Rosa y Condoriri; De estas 253 (25.3 %) correspondieron a la edad de dientes de leche, 266 (26.6 %) a la edad de dos dientes, 243 (24.3 %) a la edad de cuatro dientes y 238 (23.8 %) a la edad de boca llenas; un 15.0 % fueron machos y 75.0 % hembras. En cada muestra se realizó una media de 116 389 lecturas de DF, haciendo un total de 116 408 determinaciones de DF. El segundo grupo, de tamaño mucho más grande (24 894), fueron tomados en doce provincias del departamento de Puno, el número de distritos considerados fue 55 y 362 comunidades. Muestras que según edad fueron clasificadas también por cronología dentaria en: dientes de leche 6 628 (26.6248 %), dos dientes 5 975 (24.0017 %), cuatro dientes 5 837 (23.4474 %) y boca llena 6 454 (25.9259 %), y según sexo, en hembras (19 666) y machos (3 923); todas, de ambos grupos, distribuidas a lo largo de los dos sectores de la zona agroecológica Puna: Seca (13 052) y Húmeda (10 537) de la región Puno (ALT, 2001).
El primer grupo de muestras fueron analizados en el Laboratorio de Fibras de la Facultad de Medicina Veterinaria y Zootecnia de la Universidad Nacional del Altiplano, Puno; utilizando un microscopio de proyección (MP), implementado normas establecidas en su designación D2130-90 (Sommerville, 2005). El segundo grupo fueron analizados en el Laboratorio de Fibras del Proyecto Especial Camélidos Sudamericanos (PECSA) del Gobierno Regional Puno, utilizando el Optical Fibre Diameter Analyser 2000.
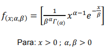
Los datos de ambas muestras, fueron compilados en la hoja electrónica Excel del Microsoft. Previo al análisis estadístico se ejecutó pruebas de Kolmogorov-Smirnov y Ryan-Jonier de las variables DF y MDF a la Normal. Los parámetros y gráficos se determinaron recurriendo al software estadístico MINITAB v19. Las distribuciones de frecuencias fueron ajustadas a la función densidad Gamma cuya función es:
(1)Los estadísticos de
centralización y de dispersión:
fueron determinados con los parámetros de la
distribución Gamma: y de los que depende su forma (Shape) y alcance por la derecha (Scale),
y también la función gamma
, responsable de la
convergencia de la distribución (Arroyo et al., 2014); e es la base de
logaritmos neperianos
RESULTADOS Y DISCUSIÓN
Distribución del diámetro de fibra (DDF)
La Figura 1 revela intuitivamente que el DF en alpacas es una variable cuya distribución es asimétrica derecha por tener valores de diámetros de fibra altos o relativamente altos, con frecuencias absolutas escasas, la cual se ajusta a una función densidad: Gamma.

De manera similar, la Figura 2 muestra la distribución de frecuencias de Medias del Diámetro de Fibra (MDF), obtenidos por los métodos del MP y OFDA para ambos grupos de muestras, respectivamente. En ambos casos, es evidente que las variables DF y MDF muestran una distribución asimétrica derecha, en las distribuciones de MDF es más manifiesto la determinada por el procedimiento MP.
Es axiomático puntualizar que la Distribución de medias del diámetro medio de fibra (DMMDF) alpacas, asume un modelo de probabilidad continua de tipo Gamma, tienen el extremo derecho más extendido respecto del del lado izquierdo, tanto para las obtenidas en muestras procesadas por el MP, así como por el OFDA.

La Tabla 1 presenta estadísticos de Kolmogorov-Smirnov (K-S) y Ryan–Jonier (R-J), y la significancia de los mismos, como pruebas de bondad de ajuste a la normal de las variables DF y MDF. Estadísticos que permiten rechazar la hipótesis de que las variables se distribuyen conforme a una distribución normal; confirmando la razón del porqué de la forma que adoptan los gráficos de las Figuras 1 y 2.
| Variable: Diámetro de fibra n = 116 408 datos | Variable: Medias de diámetros de fibra | ||||
| Microscopio de proyección N = 1 000 | OFDA N = 24 894 | ||||
| K-S | R-J | K-S | R-J | K-S | R-J |
| 0.149 pvalue<0.010 | 0.954 pvalue<0.010 | 0.073 pvalue<0.010 | 0.969 pvalue<0.010 | 0.051 pvalue<0.010 | 0.986 pvalue<0.010 |
Al respecto, Mayo et al., (1994) afirman que el DF es importante para la determinación de la calidad, debido al efecto sobre la apariencia y el confort del producto, su media es el parámetro más significativo para determinar las características físicas del tejido terminado (Vara, 2010); es entonces, necesario abordar el tema de su distribución con el suficiente análisis crítico. Rojas (2006), indica que la distribución del DF puede ser presentada en una tabla de frecuencias o un histograma de frecuencias. Gilmur y Atkins (1992), procesando muestras de lana de ovinos, indican que éstas se ajustan a una diversidad de distribuciones normales ajustadas a diferentes escalas respeto de la normal, analizando 2 544 histogramas de frecuencias.
En alpacas es exigua la información sobre la distribución del diámetro de fibra (DDF). Gutiérrez et al., (2011) y Gutiérrez et al., (2013), refieren únicamente figuras de la DDF, sin hacer precisiones sobre la forma ni función de su distribución, Frank et al., (2007) refieren que la cola derecha del gráfico de la distribución de frecuencias es mucho más prolongado en vellones mixtos (camélidos); afirmación congruente con los obtenidos en el presente estudio; además la DDF en alpacas se ajusta a una función continua Gamma, refrenda la afirmación que DDF no tiene una distribución normal, el arreglo que presentan las medidas de tendencia central (Media>Mediana>Modo), la que se satisface en esta circunstancia.
Distribución de medias del diámetro medio de fibra (DMMDF)
McColl (2006) menciona que la media del diámetro de fibra (MDF), es un concepto de uso internacional común, y conjuntamente con la desviación estándar y el coeficiente de variabilidad, se relacionan (aproximadamente) a la distribución normal de los diámetros de fibra animal. En lana de ovinos se refiere ser el criterio primario para determinar el precio comercial, el rendimiento en el proceso y el uso final (Stobart et al., 1986) así como en Mohair de cabras Angora (Hunter, 1993).
Varios trabajos de investigación refieren a la DMMDF (Huanca et al., 2007; Gonzales et al., 2008; Manso, 2011; Cordero et al., 2011; Paredes et al., 2011; Gutiérrez et al., 2011; Gutiérrez, 2009; Gutiérrez et al., 2013, Lupton et al., (2006) a objeto de ejecutar inferencia a cerca de la MDF y otras medidas de dispersión, sin hacer referencia a la variable ni la forma de cómo se distribuyen las medias del diámetro de fibra en esta especie animal.
Se demostró que la DMMDF asume distribución similar que la DDF, especialmente para datos obtenidos que utilizó el MP; así como también para los que fueron determinados por el equipo OFDA. En ambos casos, estas distribuciones se ajustan a una función Gamma. La razón de este comportamiento, se asiente se debe a que las lecturas individuales de los diámetros de fibra en cada muestra no constituyen lecturas aleatorias de la población de diámetros de fibra; en cuyo caso la distribución sería normal típica.
Media del diámetro de la fibra (MDF)
La Tabla 2 presenta estadísticos descriptivos de centralización y dispersión para el diámetro de fibra (DF) de alpacas de la región Puno, determinados mediante el MP. Es evidente que la desviación estándar (DE) y la variancia que asumen valores relativamente altos, corroborado por los valores extremos que definen un amplio Rango.
| Nº datos | Media | Mediana | Modo | Variancia | D.E. | V. mínimo | V. máximo |
| 116408 | 23.42 | 23.00 | 19.00 | 36.99 | 6.08 | 9.00 | 69.00 |
El principal parámetro de tendencia central, la media de los diámetros de fibras (MDF) fue de 23.42 µm. valor que debe ser considerado referente de la característica DF, para la población de alpacas de la región Puno, acreditado por el hecho de que el procedimiento metodológico que utiliza el MP es el único que registra diámetros de fibra individuales; además, el tamaño de muestra utilizado en el estudio, del cual no se tiene referencia científica que superen esta cantidad, y que representa a toda la región. La media como tal es un parámetro que no informa mucho a cerca del comportamiento del carácter si no es complementada con parámetros de dispersión: Desviación estándar (DE) y Variancia (VAR); cuyos valores encontrados en el presente estudio, también deben ser considerados referenciales de la dispersión de este carácter para la población de alpacas de la región Puno. Los valores de DE y VAR obtenidos y considerados relativamente altos, se asume que es debido al efecto inherente a individuo mismo, como los genéticos o de otros efectos como la edad, el sexo, la localidad, la nutrición, etc., coincidiendo con aseverado por Quispe et al., (2009). Sin embargo, es necesario precisar que los valores mínimo y máximo, son a típicos (outliers), los que son registrados solo en una única oportunidad, y que inciden manifiestamente sobre los valores de desviación estándar y variancia.
No se dispone información científica documentada del valor de este parámetro para la población de alpacas en la región o fuera de ella, determinados por el procedimiento asumido en el presente estudio, dada la exigencia de la disponibilidad de muchísimos datos individuales para su determinación.
Media de los diámetros medios de la fibra (MDMF)
La Tabla 3 presenta estadísticos descriptivos para la característica MDMF en alpacas de la región Puno.
| Número de medias | Media | Mediana | Modo | Desviación estándar | Variancia | EE | Mínimo | Máximo | Coeficiente de asimetría | CC | |
| MP | 1 000 | 23.38 | 22.76 | 21.50 | 3.76 | 14.18 | 0.019 | 15.43 | 46.49 | 1.15 | 2.51 |
| OFDA | 24 894 | 21.38 | 21.00 | 19.40 | 3.31 | 11.02 | 0.019 | 12.60 | 42.80 | 0.74 | 1.12 |
Las MDMF determinadas por ambos procesos, refieren a la misma variable, pero con data diferente; señalando que esta variable posee la misma unidad de medida que la variable original (µm), circunstancia que conduce a interpretaciones erróneas a cerca del parámetro DF.
En ambos grupos de muestras los valores de MDMF son diferentes; el mayor corresponde al determinado por el MP respecto del hallado por OFDA. Además, se cumple el arreglo: Media>Mediana>Modo; comportamiento típico de las distribuciones asimétricas a la derecha (Balzarini et al., 2011); para ambos casos, los CA obtenidos ratifican y explican el comportamiento de las distribuciones (Figura 2). Cabe precisar los parámetros: MDF (Tabla 2) y MDMF (Tabla 3) determinados por el procedimiento del MP, se puede considerar similares; sin embargo, la MDMF determinado por el procedimiento OFDA es menor que MDF definido por el método del MP.
La MDMF un estadístico frecuentemente utilizado para referirse a la MDF; varios investigadores infieren el valor de la MDF sobre la base de una distribución de MDMF (Vázquez et al., 2015; Huanca et al., 2007; Gonzales et al., 2008; Chaparro, 2011; Manso 2011; Cordero et al., 2011; Paredes et al., 2011; Ormachea et al., 2015; Gutiérrez et al., 2011; Gutiérrez et al., 2009; Gutiérrez et al., 2013; Lupton et al., 2006; McColl 2006; Wuliji et al., 2000; Arango, (2016) sin hacer referencia de la distribución que tienen. Del análisis se instituye que no es correcto inferir la MDF utilizando una distribución MDMF dado la diferencia de variables; situación muy frecuentemente cuando se utiliza instrumentos que miden la calidad de la fibra de manera automatizada.
Las MDMF obtenidas de distribuciones de medias a través del MP y OFDA, fueron de: 23.38 y 21.36 µm, respectivamente. Es mayor el obtenido por MP que el obtenido por OFDA; situación que se sustenta debido a que las frecuencias absolutas de las medias cuyos diámetros son relativamente menores, son más frecuentes en las determinaciones realizadas por el equipo OFDA, por el mayor número de lecturas que ejecuta; lo que implica que existe una mayor cantidad de valores menores de MDF, trasladando a la MDMF hacia el sector de valores menores.
Es necesario puntualizar que este valor no representa a la MDF, se refiere a la media de la distribución de medias, al que paradójicamente se atribuye ser buen estimador de la verdadera media. No es viable ejecutar contrastes de comparaciones entre la MDF y MDMF, dado que son variables diferentes, en la que se espera que MDMF siempre será menor, los resultados no son congruentes es este sentido cuando éstos son obtenidos por el procedimiento del MP.
Desviación estándar y variancia de la distribución de DF y distribución de MDMF
Los estadísticos de DE y VAR para la distribución de MDMF, en ambas muestras fueron 3.76 y 14.18 µm, 3.31 y 11.02 µm, respectivamente; ambos parámetros son inferiores a los encontrados por el MP, resultados que tienen una justificación lógica dado que no corresponden a una misma variable, además la distribución de MDMF reduce indiscutiblemente la variabilidad de la variable original, lo que explica que estos sean menores que los parámetros de la variable DMF (Tabla 2), consecuentemente no es procedente comparar los valores de DE y VAR de la distribución de DF, con los de las distribuciones de MDMF. Algunas investigaciones refieren que la DE del carácter DF a aquella obtenida de una distribución de medias, valor que no refleja la magnitud de la variabilidad de carácter, sino que es menor, debido a que usa una variable que reduce la variabilidad del carácter.
Los resultados de las investigaciones referidas, son similares a los determinados en el presente estudio para la misma variable, con la diferencia de que en el presente estudio éstos fueron determinados asumiendo que las medias se distribuyen conforme a una función Gamma, circunstancia que no se hace referencia en las otras investigaciones.
Investigadores como: Vázquez et al., (2015); Wuliji et al., (2000), no refieren a la DE como medida de dispersión del carácter, refieren al error estándar (EE) aceptando, tal vez, el hecho de que la distribución de medias asume una distribución normal tipificada, situación que no ocurre así en esta variable, además, las medias no son producto de muestras aleatorias de la población de datos. Otros, prefieren únicamente mencionar solo el valor de la media de la distribución de medias, sin mencionar ningún estadístico de dispersión (Manso 2011; Paredes, 2011; Gutiérrez et al., (2013).
El extremo derecho de la distribución del diámetro medio de fibra en alpacas
La Tabla 4 presenta estadísticos descriptivos de CEM (Coarse Edge Micron), obtenidos por el procedimiento OFDA. CEM cuantifica la cantidad promedio de micras que se incrementa a la MDF, a partir del cual se encuentra el área que representa el 5 % más grueso de fibras, en ovinos (Schlink, 2009).
| Nº de datos | Media | Error típico | Desviación estándar | Valor mínimo | Valor máximo |
| 24 894 | 9.485 | 0.001 | 1.795 | 0,440 | 26.80 |
De los resultados se deduce que en 9.485 µm en promedio, por encima de la MDF (23.42 µm), se espera que las fibras correspondan al 5.00 % más grueso; sin embargo, de un total de 116 408 registros individuales de diámetros de fibra, 10 421 determinaciones tuvieron un diámetro de fibra mayor a 32.90 µm, que representa el 8.95 %, implica que este es el porcentaje de fibras que tienen un diámetro mayor o igual a 33.00 µm, en alpacas de la región Puno; superior al de los ovinos. Por otro lado, si el valor de CEM se adiciona a la MDMF, dado que el procedimiento OFDA no proporciona MDF para la población, se tiene que a partir de 32.86 µm, para la distribución de medias obtenido por el procedimiento de MP, y 30.84 µm para el procedimiento OFDA, se encuentra el 5.00 % más grueso de fibras, lo cual no es cierto. Obviamente, en ambas circunstancias no satisfacen la condición teórica de representar el 5.00 %, por corresponder estas a otra especie animal: la alpaca.
Si se aplica el criterio de que las fibras con un diámetro mayor a 30.00 µm corresponden a pelos (INDECOPI, 2004), entonces, las fibras del vellón de alpacas de la región Puno con diámetros mayores a 32.90 μm representan el área del borde grueso de la distribución de diámetros de fibra. En la relación entre CEM y el Factor de confort, se determinó que las fibras del vellón de alpacas de la región Puno, en una alta proporción satisfacen el requisito establecido por el factor de confort, debido a que las fibras que tienen 21 micras o menos tienden a ser suaves al tacto.
Clasificación de la fibra de alpacas por el diámetro en la región Puno
En la Tabla 5 se aprecia el número de registros individuales de diámetro de fibra, determinados por el procedimiento que utilizó el MP, y los porcentajes pertinentes a las categorías establecidas por NTP 231-301-2014. Es evidente que el mayor porcentaje corresponde a la categoría Alpaca Baby, seguida por Medium Fleece, Fleece, Gruesa y Huarizo, respectivamente. De los resultados se infiere que existe un alto porcentaje de fibra de calidad, en cuanto a diámetro de fibra se refiere; más del 60 % de las fibras tienen diámetros menores a 23 µm, el remanente, aproximadamente un 40 %, corresponden a fibras de diferentes categorías, del cual solo un 15 % corresponden a fibras clasificadas como Huarizo y Gruesa.
| Clasificación | NTP (2014)* | Rango de diámetro** | Número de registros | Porcentaje |
| Alpaca Baby | Hasta 23 | ≤ 23 | 72.647 | 62.4172 |
| Alpaca Fleece | 23.1 - 26.5 | 25 | 12.741 | 10.9451 |
| Alpaca Medium Fleece | 26.6 - 29.0 | 27.0 - 29.0 | 15.933 | 13.6872 |
| Alpaca Huarizo | 29.1 - 31.5 | 31 | 4.666 | 4.0083 |
| Alpaca gruesa | 31.6 - más | Más de 31 | 10.421 | 8.9521 |
| Total | 116.408 | |||
En lo que corresponde a la clasificación por la media de los diámetros de fibra, se encontró que los porcentajes son diferentes para cada categoría. Es mayor en la categoría Alpaca Baby definido por el procedimiento OFDA respecto del procedimiento MP, diferencia atribuible al número de muestras tomadas para cada procedimiento y al mayor número de lecturas individuales que ejecuta el procedimiento OFDA, la que incrementa la frecuencia de valores que se repiten más veces, lo que trae como consecuencia la centralización de medidas alrededor de la media, incrementando sus frecuencias. Además, difieren del porcentaje de fibras cuyos diámetros son menores a 23 µm, por el efecto de variables diferentes.
Varios trabajos de investigación recurrieron a esta distribución de medias de diámetros de fibra, para determinar los porcentajes correspondientes a las categorías de clasificación de la fibra según su diámetro (NTP 231.301.2014); Vázquez et al., (2015) refiere que los resultados de MDF conllevan a considerar que un alto porcentaje de fibras son de buena calidad en alpacas de la región Apurímac, sin hacer referencia de la magnitud de este porcentaje; aseveración que concuerda con lo encontrado en el presente estudio para los obtenidos por el procedimiento OFDA. Porcentajes diferentes y contradictorios son referidos por De los Ríos (2006), quien indica que más del 50 % corresponden a calidades inferiores (Huarizo y Grueso), 35 % a Fleece y solo un 8 % a Alpaca Baby; opinión similar tiene Pando (2011), manifestando que existe un mayor porcentaje de alpacas de fibra gruesa en un 42 %, seguido de fibra media con 33.94 %, Fibra fina con 21.13 % y extrafino solo con en 2.75 %. Sin embargo, Montes et al., (2008) coincidentemente con los nuestros, refieren que más de un 60 % de alpacas tienen vellones con medias de diámetro de fibra (MDF) menor a 23 µm. el cual corresponde a fibras de la mejor calidad; aproximadamente un 4 % tienen vellones de mala calidad (media del diámetro mayor a 29 µm), en una muestra de 203 alpacas de la región Huancavelica; así mismo, De la Cruz (2010) indica un 21 % de Baby, 33 % de Fleece, 30 % de Huarizo y 16 % de grueso, para fibras de alpacas de la provincia de Lucanas en Ayacucho.
Los porcentajes de fibras de alpacas clasificadas por el diámetro de fibra, obtenidos por el procedimiento de MP de fibra en la región Puno, deben de considerarse referenciales. Las inferencias de los porcentajes de las categorías que se determinen sobre la base de una distribución de medias son sesgadas, dado que corresponden a otra variable.
CONCLUSIONES
El diámetro de fibra y el diámetro medio de fibra son variables que se distribuyen adecuadamente a una función densidad Gamma. La media del diámetro de fibra fue de 23.42 ± 6.08 (µ ± D.E.); Las medias para las distribuciones de medias fueron de 23.38 ± 0.019 y 21.36 ± 0.019 (µ ± D.E.) obtenidos muestras y tamaño diferentes y por procedimientos de MP y OFDA, respectivamente, todos determinados con parámetros de una función: Gamma, los que deben ser considerados referenciales para la población de alpacas de la raza Huacaya de la región Puno. En 9.48 µm por encima de la media del diámetro de fibra (32.90 µm) corresponde al 8.95 % de fibras con mayor diámetro. El 62.41 % del total de fibras tiene un diámetro menor igual a 23.0 µm.
AGRADECIMIENTOS
Los autores hacemos extensivo nuestro más sincero reconocimiento al siguiente personal: Dr. Samuel Cazorla Chambi, Dr. Cesar Condori Carbajal, Dr. Fredy R. Arpasi Meléndez, Dra. Isabel Tumi Figueroa y al Ing. Willam Yana Viveros, todos ellos personal del Proyecto Especial Camélidos Sudamericanos del Gobierno Regional de la Región Puno, sin cuyo apoyo no hubiera sido posible la ejecución del presente trabajo de investigación.
BIBLIOGRAFÍA
ALT. 2001. Autoridad Binacional del Lago Titicaca. Conservacion de la Biodiversidad de la Cuenca del Lago Titicaca-Desaguadero- Poopo-Salar de Coipasa TDPS. En Línea: http://www.alt-perubolivia.org/Web_Bio/PROYECTO/Docum_peru/21.11.pdf
Arango, Q. S.J.S. 2016. Variación del factor confort en vellones de alpaca Huacaya con relación al sexo y edad. Tesis para optar el título de ingeniero zootecnista. Universidad Nacional Agraria La Molina.
Arroyo, ILC; Bravo, M; Llinás, H; Muñoz, FL. 2014. Distribuciones Poisson y Gamma: Una Discreta y Continua Relación. Poisson and Gamma Distributions: A Discrete and Continuous Relationship. Prospect. Vol. 12, No. 1, enero-junio de 2014. p. 99-107.
Aylan-Parker, J.; McGregor, BA. 2002. Optimising sampling techniques and estimating sampling variance of fleece quality attributes in alpacas. Small Ruminant Res 44, 53-64.
Balzarini, M; Di Renzo, J; Tablada, M; Gonzales, L; Bruno, C; Córdoba, M; Robledo W; Casanoves, F. 2011. Introducción a la bioestadística. Aplicaciones con InfoStat en Agronomía. Editorial Brujas. Córdoba, Argentina.
Chaparro, AY. 2011. Relación del diámetro de fibra con el número de rizos y la proporción de pelos en el vellón de alpaca (Vicugna pacos) en Huaytire de la provincia de Candarave-Tacna. Facultad de Ciencias Agropecuarias, Escuela Académico Profesional de M V y Z. Universidad Nacional Jorge Basadre Grohman de Tacna.
Cordero, FA; Contreras, PJ; Mayhua, MP; Jurado, EM; Castrejón, VM. 2011. Correlaciones fenotípicas entre características productivas en alpacas Huacaya. Rev Inv Vet Perú 2011; 22(1):15-21.
De Los Ríos, E. 2006. Producción textil de fibras de camélidos sudamericanos en el área alto-andina de Bolivia, Ecuador y Perú. Organización de las Naciones Unidas para el Desarrollo Industrial (UNIDO). Distribution to the Wool Industry. Textile and Fibre Technology. www.tft.csiro.au
De la Cruz, RLT. 2010. Rendimiento de fibra de alpaca categorizada a la clasificación en cuatro asociaciones de productores en la provincia de Lucanas y Sucre – Región Ayacucho. Tesis Ing. Zootecnista. Universidad Nacional del Centro de Perú.
Frank, EN. 2008. Camélidos sudamericanos. Producción de fibra, bases físicas y genéticas, Revista Argentina de Producción Animal 28(2):119-122.
Frank, EN; Hick, MVH; Adot, O. 2007. Descriptive differential attributes of type of fleeces in Llama fiber and its textile consequence. 1-Descriptive aspects. The Journal of the Textile Institute 98(3): 251-259.
Gilmour, AR; Atkins, KD. 1992. Modelling the FFDA fibre diameter histogram of fleece wool as a mixture distribution. Aust. J. Agric. Res 43(8): 1177-1788
González, GH; Velarde, RCL; Rosadio, AR; García, VW; Gavidia, Ch. 2008. Evaluación de un método numérico de medición del diámetro de la fibra de alpaca. Rev Inv Vet Perú 2008; 19(1):1-8.
Gutiérrez, G; Candio, J; Ruiz, J; Mamani, G; Corredor, A; Flores. E. 2013. Performance of alpacas from a dispersed nucleus in Pasco region, Perú. 64 th EAAP Annual meeting, 25-30 August, 2013, Nantes, France Symposium on South American Camelids and other Fibre Animals.
Gutiérrez, JP; Varona, L; Pun, A; Morante, R; Burgos, A; Cervantes, I; Pérez-Cabal, MA. 2011. Genetic parameters for growth of fiber diameter in alpacas. J. Anim Sci. 2011, 89:2310-2315. doi:10.2527
Gutiérrez, JP; Goyache, F; Burgos, A; Cervantes, I. 2009. Genetic analysis of six production traits in Peruvian alpacas. Livestock Science 123 (2009) 193–197. doi: 10.1016/j.livsci.2008.11.006
Huanca, T; Apaza, N; Lazo, A. 2007. Evaluación del diámetro de fibra en alpacas de las comunidades de los distritos de Cojata y Santa Rosa – Puno. Sitio Argentino de Producción Animal.
Hunter, L. 1993. Mohair: A review of its properties, processing and applications. p. 41. CSIR Div. Text. Tech., Port Elizabeth, South África.
INDECOPI (Instituto Nacional de Defensa de la Competencia y de la Protección de la Propiedad Intelectual, PE). 2004. NTP.231.304:2004 fibra de alpaca clasificada. Determinación de longitud de mecha. INDECOPI y Sub Comisión de Normas Técnicas de la fibra de alpaca. Lima, Perú.
Lupton, CJ; McColl, A; Stobart, RH. 2006. Fiber characteristics of the Huacaya Alpaca. Small Rumin. Res., 64: 211-224.
Manso, MC. 2011. Determinación de la calidad de fibra de alpaca en Huancavelica (Perú): validación de los métodos de muestreo y valoración. Escuela técnica superior de ingenieros agrónomos. Universidad pública de Navarra.
Mayo, O; Crook, B; Lax, J; Swan, A; Hancock, TW. 1994. The determination of Fibre Diameter Distribution. Wool Tech. Sheep Breed, 42(3):231-236.
McColl, A. 2006. Objective Fiber Diameter Measurement Methods for Measuring Microns, Yocom-McColl Testing Laboratories, Inc., Denver, USA, 2004
Montes, M; Quicaño, I; Quispe, R; Quispe, E; Alfonso, L. 2008. Quality characteristics of Huacaya alpaca fibre produced in the Peruvian Andean Plateau region of Huancavelica. Spanish Journal of Agricultural Research 2008 6(1):33-38 ISSN: 1695-971-X
Pando, S.E. 2011. Evaluación de principales características productivas y reproductivas en alpacas Huacaya en el INIA Santa Ana. Periodo 2004-2008. Tesis Ing. Zootecnista. Universidad Nacional del Centro del Perú.
Paredes. MM; Alonso, A; Analla, M; Machaca, J; Muñoz, A. 2011. Genetic parameters and fixed efects estimation for fibre traits in alpacas Huacaya (Lama pacos). Journal of Animal and Veterinary Advances 10 (11)1484-1487. ISSN: 1680-5593.
Ormachea, E; Calsín, B; Olarte, U. 2015. Características textiles de la fibra en alpacas Huacaya del distrito de Corani Carabaya, Puno. Rev. Investig Altoandin. 2015 17(2):215-220.
Quispe, EC; Rodríguez, TC; Iñiguez, LR; Mueller, JP. 2009. Producción de fibra de alpaca, llama, vicuña y guanaco en Sudamérica. Animal Genetic Resources Information, 45:1–14.
Rojas, VDA. 2006. Caracterización del espesor de las fibras de alpaca basada en análisis digital de imágenes. Facultad de Ingeniería Electrónica y Eléctrica, Universidad Nacional Mayor de San Marcos, Lima Perú.
Sacchero, DM; Mueller, JP. 2005. Diferencias en el perfil de diámetro de fibras, largo de mecha y resistencia a la tracción de la lana, en ovejas de una majada merino seleccionada y otra no seleccionada. RIA, 36(2):49-61. INTA, Argentina.
Schlink, T. 2009. Fiber diameter, Staple strength, Style, Handle and Curvature. Australian wool education trust license for eduational activities. University of New England. https://www.woolwise.com/wp-content/uploads/2017/07/Wool-412-512-08-T-03.pdf
Sommerville, P. 2005. Fundamental principles of fiber fineness measurement. Australian Wool Testimg Authority Ltd. En Línea: https://www.woolwise.com/.../Fibre_Fineness_Measurement_Fund...
Stobart, RH; Russell, WC; Larsen, SA; Johnson, CL; Kinnison, JL. 1986. Sources of variation in wool fiber diameter. J. Anim. Sci. 62:1181.
Vara, C. 2010. Diámetro de fibra, número de rizos y porcentaje de pelos de alpaca Huacaya del plantel del SPAR-Macusani-Carabaya. Tesis Médico Veterinario y Zootecnista UNA-PUNO, Puno.
Vásquez, OR; Gómez-Quispe, OE; Quispe, PE. 2015. Características tecnológicas de la fibra blanca de alpaca Huacaya en la zona alto andina de Apurímac. Rev Inv Vet Perú 2015; 26(2):213-222. http://dx.doi.org/10.15381/rivep.v26i2.11020
Wuliji, T; Davis, GH; Dodds, KG; Turner, PR; Andrews, RN; Bruce, GD. 2000. Production performance, repeatability and heritability estimates for live weight, fleece weight and fiber characteristics of alpacas in New Zealand. Small Rumin. Res. 37: 189-201.
Enlace alternativo
http://riiarn.agro.umsa.bo/index.php/RIIARn/article/view/155 (davmount)

