

Artículos
Método simplex de programación lineal aplicado a una empresa distribuidora de mobiliario
The simplex method of linear programming as applied to a furniture distribution company
Entorno
Universidad Tecnológica de El Salvador, El Salvador
ISSN: 2071-8748
ISSN-e: 2218-3345
Periodicidad: Semestral
núm. 71, 2021
Recepción: 30 Enero 2021
Aprobación: 11 Mayo 2021

Resumen: La presente investigación aplica el método simplex de programación lineal (PL) en la empresa objeto de estudio para obtener la máxima utilidad en la venta de sus productos estrella. Una vez definido el problema, se establece la función objetivo y las restricciones, luego se procesa el modelo matemático utilizando el software Solver – Excel y se obtiene la solución óptima. Esto es, dadas ciertas condiciones en cuanto a la disponibilidad de recursos, se calcula un óptimo en las ganancias modificando restricciones en el problema de maximización inicialmente planteado. Demostrándose, en este estudio, que el método simplex resulta útil para contrastar hipótesis que contribuyen a la toma de decisiones institucionales, particularmente en escenarios complejos como el de la actual crisis sanitaria de la COVID-19.
Palabras clave: Programación lineal - Análisis – Metodología, Método Simplex, Análisis de sistemas, Investigación de operaciones, Administración de la producción.
Abstract: This research applies the simplex method of linear programming (LLP) in the target business, with the purpose of obtaining a maximum profit in the sales of its Stars products. Once the problem is defined, the objective function and the restrictions are established; then, the mathematical model is processed by using the Excel Solver software, and the optimum solution is achieved. This means that, given specific circumstances in relation to resource availability, an optimal profit is calculated by modifying the restrictions in the maximization problem initially posed. This study demonstrates that the simplex method is useful in contrasting hypotheses that contribute to institutional decision-making, particularly, in complex scenarios like the existing one due to the sanitary crisis caused by COVID-19.
Keywords: Linear programming – Analysis – Methodology, Simplex Method, Systems analysis, Operations research, Production management.
Introducción
La Investigación de Operaciones es una disciplina que consiste en la aplicación de métodos analíticos avanzados con el propósito de apoyar el proceso de toma de decisiones, identificando los mejores cursos de acción posibles. Es el caso del modelo de PL, caracterizado por la identificación de una función objetivo con una o más variables de decisión que se buscan maximizar o minimizar, tales como producción, transporte y asignación, costos, entre otros. El método incluye la presencia de restricciones de recursos o capacidades de la empresa, que en el modelo matemático se abstraen en ecuaciones o inecuaciones lineales, esto es, representaciones de las limitantes asociadas a la problemática (Anderson et al., 2016).
En este sentido, la PL es un modelo matemático que pretende la asignación eficiente de los recursos disponibles con el objetivo de satisfacer las metas deseadas de una organización —maximizar ganancias y minimizar costos. (Heizer y Render, 2020).
Pues, el principal problema de dichas organizaciones, como es el caso de la empresa objeto de estudio, consiste en establecer un modelo matemático que les permita encontrar soluciones óptimas y así alcanzar mayores beneficios económicos (Hillier y Lieberman, 2015), siendo los pioneros en la aplicación de la PL Dantzin, Leontief y Koopmans, entre otros (Winston, 2004).
Ahora bien, en esta investigación se toma como caso de estudio a la empresa Distribuciones Escobar Borja [DEBSA] (2020), cuyo giro de negocio es la producción y comercialización de mobiliario y cuenta con sucursales en el Ecuador, entre ellas, una ubicada en la ciudad de Ambato. En el contexto de la crisis sanitaria generada por la COVID-19, las ventas y, en consecuencia, las utilidades se han visto reducidas significativamente, obligando a la alta gerencia a la búsqueda de estrategias de producción y comercialización que optimicen, mediante cálculos cuantitativos, los recursos disponibles y, a la vez, satisfagan las expectativas de los clientes.
Señalado lo anterior, el presente artículo da respuesta a la pregunta: ¿existe o no un óptimo de utilidades dadas ciertas condiciones en cuanto a la disponibilidad de recursos de la empresa? Y, en el caso de que la respuesta sea afirmativa, cabe una segunda pregunta, a saber: ¿se puede obtener un óptimo si se modifican las restricciones en el problema de maximización inicialmente planteado? Consecuentemente, el objetivo de la investigación es aplicar el método simplex de PL a la empresa DEBSA (2020), que maximice las utilidades de los productos estrella de la empresa —alfombras, mesas y sillones—, siendo las hipótesis (nula y alternativa), las siguientes:
H0: No existe un valor óptimo de las utilidades de la empresa objeto de estudio dadas ciertas restricciones en los recursos que inciden en la función objetivo de maximización.
H1: Existe un valor óptimo de utilidades de la empresa objeto de estudio dadas ciertas restricciones en los recursos que inciden en la función objetivo de maximización.
Modelo simplex de programación lineal
La investigación de operaciones, según Moya (2003), implica “el desarrollo y aplicación de técnicas cuantitativas (procedimiento científico) para la solución de los problemas y toma de decisiones que enfrentan tanto los administradores de organizaciones públicas como de organizaciones privadas” (p. 24), constituyéndose en una herramienta clave para abordar y resolver problemas en las organizaciones, contribuyendo a la reducción de costos y maximización de beneficios económicos. Una de esas técnicas es el modelo de PL.
Por su parte, la PL es uno de los modelos más utilizados en la resolución de problemas de optimización para la toma de decisiones en diferentes campos y está integrada por los aspectos que guardan relación con la construcción, el análisis y la resolución de modelos lineales de tipo algebraico. Consta de un conjunto de restricciones que han de satisfacer las variables de decisión, para que sean tomadas en consideración, y un criterio o función objetivo, permitiendo el aprovechamiento al máximo de los recursos comprometidos en los procesos productivos. (Taha, 2017).
Según Render et al. (2012), se debe tomar en cuenta que:
“Una relación matemática lineal sólo significa que todos los términos utilizados en la función objetivo y en las restricciones son de primer grado (es decir, no se elevan al cuadrado ni a la tercera o a una potencia mayor, ni aparecen más de una vez). De aquí que la ecuación 2A + 5B = 10 se considere una función lineal aceptable, en tanto que la ecuación 2A2 + 5B3 + 3AB = 10 no se considere lineal puesto que la variable A se eleva al cuadrado, B al cubo y las dos variables aparecen nuevamente como producto una de la otra” (p. 242).
Ahora bien, siguiendo a este mismo autor, en el método de PL no todas las restricciones tienen que ser de la forma a + b = s. Esta relación, llamada ecuación, implica que el término a más b es exactamente igual a s; no obstante, en la mayoría de los problemas de PL se presentan desigualdades de la forma a + b ≤ s o a + b ≥ s. La primera se lee “a más b es menor o igual que s”, y la segunda, “a más b es mayor o igual que s”, proporcionando así flexibilidad a la determinación de las restricciones del problema.
En este sentido, los modelos de PL constan de tres elementos fundamentales: el primero, un conjunto de variables que, a criterio de Ulloa y Protti (2005), “no deben ser negativas y representan las actividades que van a programarse” (p. 15), por ejemplo, productos por fabricarse, unidades de un determinado producto, número de personas o máquinas, entre otras. Segundo, en la función objetivo, según Moya (2003), debe determinarse la cantidad que se va a optimizar y expresarla como función matemática. Deben identificarse claramente las variables que están actuando en el modelo, correspondiendo a una ecuación de primer grado y representa la meta de optimización que se desea alcanzar (ecuación 1), ya sea, por ejemplo, maximizar el retorno total de las inversiones o minimizar la distancia total que debe recorrerse para proveer a varios clientes, o también maximizar utilidades o minimizar costos. (p. 66).
F (x, y) = ax + by (1)
El tercer elemento son las restricciones, esto es, “el conjunto de ecuaciones que se originan una por cada uno de los recursos limitados que tiene el sistema que está en estudio, constituyen las llamadas restricciones lineales” (Taha, 2017, p. 67), las cuales permiten identificar todas las limitaciones estipuladas y expresarlas matemáticamente. El modelamiento matemático de las restricciones se expresa a continuación:

Para la solución de los problemas de maximización, González (2003), manifiesta que “se trata de determinar la combinación de actividades que da el mayor rendimiento de los recursos, basado en el criterio de máxima utilidad” (p. 14), determinándose el procedimiento para el planteamiento matemático así:
Determinar xi (i=1,2, .....m)
Maximizando la función objetivo:

El problema está sujeto a las siguientes restricciones:

Donde:
Bi= Es una constante que debe indicar la limitación de los recursos fundamentales para producir o servir
Aij= Concurso de un recurso a un determinado producto o servicio.
Xi ≥ 0; i=1, 2, …m; j = 1, 2, … n (8)
Mientras que, para los problemas de minimización González (2003), determina que:
“La relación entre cada uno de los recursos, especificaciones generales de la actividad y el costo unitario de cada recurso, determinar las cantidades necesarias de estas para obtener la cantidad con el máximo aprovechamiento de los recursos basados en criterios de mínimo costo total” (p. 19).
A continuación, se muestra el procedimiento del planteamiento matemático.
Determinar xᵢ (i = 1,2, ..... m)
Minimizando la función objetivo:

El problema está sujeto a las siguientes restricciones:

Donde:
Bi= Es una constante que debe indicar la limitación de los recursos fundamentales para producir o servir
Aij= Concurso de un recurso un determinado producto o servicio
Xi ≥ 0 ; i = 1, 2,...m; j = 1, 2, ... n (11)
Las propiedades básicas de un modelo de PL, que determinan Ulloa y Protti (2005), son la proporcionalidad, la aditividad y la divisibilidad. También debe considerarse que las cantidades disponibles de los recursos, las contribuciones unitarias y los coeficientes tecnológicos deben ser conocidos y constantes. Ahora bien, cuando se encuentran valores para las variables de decisión que cumplen todas las restricciones, pero no producen el mejor valor en la función objetivo, se denomina solución factible. A la solución que produce el mejor valor para la función objetivo se le llama solución óptima. Si no fuese posible encontrar una solución que cumpla con todas las restricciones, se denomina solución no factible.
Ahora bien, para la solución de los modelos de PL, se puede aplicar un procedimiento gráfico, algebraico, de aproximaciones sucesivas o simplex y el dual del primal, principalmente. En esta investigación se aplica el simplex, por cuanto, siguiendo a Ulloa y Protti (2005), el simplex es “un método sistemático altamente eficiente que permite resolver rápidamente, mediante el uso de programas de computadoras, problemas muy grandes, con gran número de variables, de restricciones o de ambos” (p. 80), reduciendo así el tiempo y la dificultad en la resolución de los problemas empresariales.
El método simplex se fundamenta en el álgebra y se emplea para resolver problemas de PL, tanto de funciones de maximización como de minimización. Se caracteriza por ser un proceso repetitivo numérico que permite llegar a una solución óptima, iniciándose en un punto extremo conocido; esto es, si una primera solución básica factible no maximiza la función objetivo, se continúa con la búsqueda de otra solución hasta llegar a la solución óptima final. (Taha, 2017).
Si bien se dispone de diversos programas informáticos para resolver modelos de PL; en este estudio se selecciona el Solver – Excel por su disponibilidad y accesibilidad para el tipo de empresas como la considerada en este caso de estudio. Solver dispone de un conjunto de comandos que permite encontrar un valor óptimo — mínimo o máximo—. En una de las celdas del cuadro de la solución Solver, se consigna la fórmula con la función objetivo, sujeta a las restricciones configuradas en una celda denominada variables de decisión, interactuando en el cálculo conjuntamente con las celdas objetivo y las celdas de restricciones. (Microsoft, 2021).
Asimismo, el uso del método simplex facilita la posibilidad de realizar modificaciones a las restricciones iniciales planteadas, de tal manera que se pueden establecer decisiones gerenciales, ya sea incrementando o reduciendo recursos vinculados con dichas restricciones y eventuales condiciones del mercado, potenciando aún más la utilidad de esta herramienta en las empresas. (Eppen et al., 2000).
Entre los estudios relacionados con la aplicación del método simplex de PL, se destaca Díaz de las Casas (2013), quien utiliza PL para obtener la solución óptima al proceso de producción de fotolitos. Así también, Quintanilha, Baptista y Meza (2012) determinan que, usualmente, no se le presta la suficiente atención a los problemas que tienen más de un objetivo, desaprovechando la oportunidad de la potencialidad de PL en la búsqueda de solución multiobjetivo. Otro autor, Wesner (2015), tiene como finalidad, en su estudio, la implementación del método de PL, tanto en la optimización del talento humano como de otros recursos utilizados en la construcción de vías en la Municipalidad de Morón; aplica el modelo de PL entera con el software SCIP (Gerald et al., 2020). Mientras, Flores-Tapia et al., (2016), aplican el método simplex de PL a la toma de decisiones con respecto a la optimización del portafolio de productos de una empresa comercializadora de material eléctrico en situaciones postcrisis, como fue el caso del terremoto del pasado 16 de abril de 2016 en Ecuador. Finalmente, se destaca el trabajo de Galindo (2016), quien busca el óptimo para la producción de alimentos de una empresa agroalimentaria, mediante PL.
No obstante, en los estudios antes referidos no se aplica un procedimiento metodológico de la Investigación de Operaciones ni se realizan simulaciones a la función óptima calculada como se realizan en la presente investigación.
Métodos
La presente investigación es de tipo cuantitativo, caracterizado, según Robbins (2015), por el uso de “… herramientas estadísticas, modelos de optimización, modelos de información y simulaciones por computadora a las diferentes actividades de la administración para la toma de decisiones” (p. 32). El alcance de la investigación es explicativa porque el estudio analiza las causas, condiciones y los resultados del caso de estudio aplicando el método simplex de PL (Hernández-Sampieri et al., 2014), y se ajusta a la Metodología de la Investigación de Operaciones, la cual contempla, de acuerdo con los autores Flores-Tapia et al. (2017); Hillier y Lieberman (2015); Taha (2017), las siguientes etapas o fases:
Definición del problema y recolección de datos.
Formulación de un modelo matemático que represente el problema.
Aplicación de un método utilizando sistemas computacionales para derivar una solución para el problema a partir del modelo.
Prueba del modelo y mejoramiento de acuerdo con las necesidades.
Preparación para la aplicación del modelo.
Implementación.
A continuación, siguiendo la metodología antes indicada, se desarrolla la aplicación del modelo a la empresa tomada como caso de estudio y se muestran los resultados.
Resultados
Definición del problema
La empresa DEBSA, ubicada en la provincia de Tungurahua en Ecuador, se dedica a la venta de mobiliario para el hogar y la oficina, destacándose como sus principales productos: alfombras, mesas de comedor y sillones de oficina. La disponibilidad de recursos y las ventas totales anuales se han visto reducidas en un 30 % durante el año 2020 por la afectación de circunstancias externas de tipo sanitario, social, político y económico, entre otras; las generadas particularmente por la COVID-19, así como también por deficiencias internas en la gestión. Lo anterior ha generado la reducción de las utilidades, obligando a los directivos a la búsqueda de combinaciones óptimas de los recursos disponibles que permitan la maximización de utilidades dadas ciertas restricciones, tales como volumen de compras de productos para la distribución, capacidad de almacenamiento, inversión en publicidad, talento humano, cupo de importación y política de crédito, principalmente.
Los datos de restricciones que facilita la empresa, utilizados para el planteamiento del modelo matemático de maximización de utilidades, son:
Ganancias por producto: alfombras $ 25, mesas $ 15 y sillones $ 30.
Almacenamiento: Capacidad total para 2.500 unidades, siendo que se debe almacenar, al menos, 1.000 alfombras, 500 mesas y 100 sillones.
Tiempo de trabajo: 800 horas para la producción de todos los productos con una dedicación de 160 horas por tipo de producto.
El límite de importación de la empresa es de hasta $5.000.
Cargas tributarias: $ 3.000
La política de créditos se presenta solo para los productos mesas y sillones, siendo, respectivamente, $3.000 y $500.
Publicidad: El presupuesto es de hasta $ 450, utilizados únicamente para los productos mesas y sillones.
A continuación, en la tabla 1, se procede con la organización de los datos proporcionados por la empresa objeto de estudio para el planteamiento de la función objetivo del problema.
| Alfombras | Mesas | Sillones | Productos |
| X1 | X2 | X3 | Variables |
| $25.00 | $15.00 | $30.00 | Utilidad |
En la tabla 2, se presenta el planteamiento de las restricciones del problema utilizando los datos proporcionados por la empresa objeto de estudio, en cuanto a los recursos, su uso y disponibilidad por cada uno de los tres productos seleccionados.
| Recursos | Productos | Disponibilidad | ||
| X1 | X2 | X3 | ||
| Almacenamiento | 1.000 | 500 | 100 | 2.500 |
| Talento humano | 160 | 160 | 160 | 800 |
| Límite de importación | 1 | 1 | 1 | 5.000 |
| Cargas tributarias | 1 | 1 | 1 | 3.000 |
| Politica de crédito/ Sillones | 0 | 0 | 1 | 500 |
| Politica de crédito/ Mesas | 0 | 1 | 0 | 300 |
| Publicidad | 0 | 1 | 1 | 450 |
Formulación de un modelo matemático que represente el problema
De acuerdo con las variables determinadas del problema, se debe diseñar un modelo matemático por medio de ecuaciones que permitan visualizar un panorama completo de la situación presentada, el mismo que permita evaluar eficientemente las alternativas de solución. En este caso se debe maximizar la función objetivo sujeta a las restricciones dadas.
Función objetivo
Se establece la función objetivo con la cual se maximiza la utilidad, corresponde a la suma de las cantidades vendidas multiplicada por la utilidad unitaria de cada producto.
Función objetivo: Z(máx.) =25x1+15x2+30x3 (12)
Restricciones
Se procede a utilizar los datos proporcionados para establecer las restricciones correspondientes, así:

Aplicación del método simplex en la solución del modelo
El modelo matemático presentado será resuelto mediante el método simplex de PL (Alzate, 2018); el cual se resuelve mediante la herramienta Solver de la hoja de cálculo de Microsoft Excel (Microsoft, 2021). Este método se emplea con un proceso interactivo, es decir, que se usa sucesivamente la misma rutina básica de cálculo, lo que da por resultado una serie de soluciones sucesivas, hasta que se encuentre la mejor. Primero se configura la tabla 3 con los datos que servirán para la aplicación en la hoja de cálculo Excel.
| Recursos | Alfombras | Mesas | Sillones | Disponibilidad | ||
| X1 | X2 | X3 | ||||
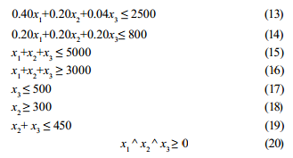
| Almacenamiento | 0,40 | 0,20 | 0,04 | 0 | ≤ | 2.500 |
| Talento humano | 0,20 | 0,20 | 0,20 | 0 | ≤ | 800 |
| Límite de importación | 1 | 1 | 1 | 0 | ≤ | 5.000 |
| Cargas tributarias | 1 | 1 | 1 | 0 | ≥ | 3.000 |
| Política de crédito/Sillones | 0 | 0 | 1 | 0 | ≤ | 500 |
| Política de crédito/Mesas | 0 | 1 | 0 | 0 | ≥ | 300 |
| Publicidad | 0 | 1 | 1 | 0 | ≤ | 450 |
| Coeficiente FO | 25 | 15 | 30 | 97.750 | FO | |
| Solución | 0 | 0 | 0 |
Solución del modelo
Para obtener la solución óptima del modelo planteado, se utilizan los valores proporcionados por la empresa con el objetivo de maximizar las utilidades, se procede con la configuración de la plantilla solución que será calculada mediante Solver – Excel (tabla 4).
| Recursos | Alfombras | Mesas | Sillones | Disponibilidad | ||
| X1 | X2 | X3 | ||||
| Almacenamiento | 0,40 | 0,20 | 0,04 | 1.486 | ≤ | 2.5 |
| Talento humano | 0,20 | 0,20 | 0,20 | 800 | ≤ | 800 |
| Límite de importación | 1 | 1 | 1 | 4.000 | ≤ | 5 |
| Cargas tributarias | 1 | 1 | 1 | 4.000 | ≥ | 3 |
| Política de crédito/Sillones | 0 | 0 | 1 | 150 | ≤ | 500 |
| Política de crédito/Mesas | 0 | 1 | 0 | 300 | ≥ | 300 |
| Publicidad | 0 | 1 | 1 | 450 | ≤ | 450 |
| Coeficiente FO | 25 | 15 | 30 | 97.750 | FO | |
| Solución | 3.550 | 300 | 150 |
Reemplazando los valores obtenidos del número de unidades por ser comercializadas, por cada uno de los productos en la función objetivo, una vez procesados los datos con Solver – Excel se obtiene una ganancia de $ 97.750, tal como se muestra a continuación.
Función objetivo: Z (máx) = 25(3550) +15(300) + 30(150) = 97.750 (21)
Luego de que la herramienta Solver realiza los cálculos con la información presentada y muestra la solución, la regla de decisión consiste en vender 3.550 unidades del producto alfombras, 300 unidades del producto mesas y 150 unidades del producto sillones, obteniéndose una utilidad de $ 97.750.00 por año.
Cálculo del óptimo modificando las restricciones iniciales
En la empresa, se decide dar prioridad en publicidad solo a la sección de oficina con su producto sillones, con un presupuesto de hasta $ 500, quedando la configuración de los datos como se muestra en la tabla 5.

Se aplica el método simplex – Solver y tenemos como resultado los valores consignados a continuación en la tabla 6.

Luego de los cálculos realizados con la herramienta Solver, la regla de decisión de la simulación, si se enfoca la publicidad únicamente en el producto sillones, con una asignación presupuestaria de hasta $ 500, se incrementan las utilidades, obteniéndose un nuevo óptimo a la función objetivo inicialmente planteada. La regla de decisión gerencial en este caso es vender 3.200 unidades del producto alfombras, 300 unidades del producto mesas y 500 unidades del producto sillones, obteniéndose una ganancia de $ 99.500.00, superiores a los $ 97.750.00 obtenidos con las condiciones del planteamiento inicial del problema de maximización.
A continuación, en la tabla 7, se presentan los resultados obtenidos con los datos y sus variaciones, tanto en unidades como en valor monetario.

En la comercialización, suelen presentarse incertidumbres y dilemas que afectan la toma de decisiones por parte de la gerencia, ya que, por ejemplo, si se observan los resultados de la tabla 7, las unidades que se recomienda vender del producto alfombras, para maximizar las ganancias, debe reducirse con respecto a lo calculado en el resultado 1; el número de unidades del producto mesas se mantiene en los dos casos y el producto sillones debe incrementarse su oferta de venta para mejorar el óptimo de utilidades del resultado 2 con respecto al resultado 1. No obstante, si el objetivo final de la gerencia es maximizar las utilidades — o minimizar costos, si fuese el caso— con respecto a determinadas condiciones o políticas de la empresa, se comprueba la utilidad de la PL y las simulaciones que se pudiesen aplicar, modificando la disponibilidad de sus recursos para la toma de decisiones en las organizaciones.
Todo lo anterior corrobora la fundamentación teórica que sustenta esta investigación, principalmente lo señalado por los autores Flores-Tapia y Flores-Cevallos (2018); Hillier y Lieberman (2015); Prawda (2004); Render et al., (2016); Winston (2004), entre otros.
Conclusiones
El modelo matemático del método simplex de PL se configura utilizando ecuaciones e inecuaciones algebraicas que permiten la solución de problemas de maximización de utilidades, como se ha comprobado en el caso de estudio aquí desarrollado. No obstante, puede aplicarse también a problemas de minimización de costos. Es un proceso repetitivo numérico de carácter iterativo que busca una solución óptima sujeta a unas condiciones de la empresa, alcanzándose en una región básica factible como punto de partida, y, si no resulta satisfactoria, se toman otra u otras soluciones hasta encontrar el valor máximo de la función objetivo por aproximaciones sucesivas. Este articulo lo facilitan aplicaciones de software como el utilizado en este caso, Solver - Excel.
Así también, se verifica que existe el óptimo de utilidades dadas ciertas condiciones en cuanto a la disponibilidad de recursos de la empresa y que se puede también obtener un óptimo en las ganancias de la empresa si se modifican las restricciones en el problema de maximización inicialmente planteado, alcanzándose, a lo largo del desarrollo del estudio, el objetivo inicialmente planteado, esto es, aplicar el método simplex de PL a la empresa DEBSA que maximice las utilidades de los productos estrella de la empresa: alfombras, mesas y sillones.
Además, se comprueba el cumplimiento de la hipótesis alternativa establecida inicialmente, esto es, se puede calcular un óptimo de utilidades de la empresa objeto de estudio dadas ciertas restricciones en los recursos que inciden en la función objetivo de maximización.
Asimismo, ha resultado de utilidad también verificar que si se modifican los valores de las restricciones inicialmente planteadas, también los nuevos valores inciden en la función objetivo de maximización óptima para la empresa objeto de estudio; por cuanto, por ejemplo, una vez que se procede con el incremento de la asignación presupuestaria en la variable publicidad, enfocándola exclusivamente a uno de los productos —sillones— se constata el incremento en las ganancias con respecto al planteamiento inicial del problema de maximización.
Por otra parte, cabe destacar que la aplicación de los modelos cuantitativos de Investigación de Operaciones con el apoyo de herramientas informáticas, como, por ejemplo, PL mediante Solver – Excel, contribuyen con información procesada técnicamente para la toma de decisiones técnicas en las organizaciones, confirmando su utilidad —más aún si las condiciones internas y del entorno empresarial resultan cada vez más complejas—. No obstante, es necesario recordar que este tipo de modelos también tienen limitaciones, por cuanto los modelos matemáticos no tienen la capacidad de incorporar todas las variables de una determinada realidad; son una representación o aproximación de esa realidad, quedando las decisiones de las empresas, en última instancia, en la capacidad gerencial de su talento humano y en su habilidad para apoyarse en este tipo de resultados.
Finalmente, se recomienda, en investigaciones futuras, complementar el uso de la PL con otros modelos de la Investigación de Operaciones, como por ejemplo la administración científica de inventarios, simulación, Montecarlo, entre otros, de tal manera que la gerencia cuente con soluciones que contribuyan a la toma de decisiones empresariales sustentadas técnicamente.
Referencias
Alzate, P. (2018). Investigación de operaciones: Conceptos fundamentales. Ediciones de la Universidad.
Anderson, D., Sweeney, D. y Williams, T. (2016). Métodos cuantitativos para los negocios (13aed.). Cengace Learning.
Diaz de las Casas, J. L. (2013). Programación lineal modelo para minimizar la merma en el proceso de cortes de rollos de película para la elaboración de fotolitos empresa grupo Digigraf S.A. [Tesis de pregrado, Universidad Nacional Mayor de San Marcos]. https://cybertesis.unmsm.edu.pe/handle/20.500.12672/3387
Distribuidora Escobar Borja. (2020). Distribuidora Escobar Borja S.A. http://www.debsa.com.ec/
Eppen, G., Gould, F., Schmidt, C., Moore, J. y Weattherford, L. (2000). Investigación de operaciones en la ciencia administrativa (5a ed.). Prentice Hall Inc.
Flores-Tapia, C., Flores-Cevallos, K., Mendoza, A. y Valdivieso, A. (2017). Análisis del volumen de ventas de rosas en la empresa High conecction flowers aplicando diseño de experimentos: Caso particular. Scientia et Technica, 22(3), 281–287. https://doi.org/10.22517/23447214.13891
Flores-Tapia, C. y Flores-Cevallos, L. (2018). Investigación operativa. Fundación Los Andes.
Flores-Tapia, C., Flores-Cevallos, L., Mera, R. y Garcés, C. (2016). Método simplex de programación lineal aplicado al caso Comercial Gutiérrez. I Congreso Internacional de Gestión Empresarial.
Galindo, M. (2016). Producción de alimentos apoyada con programación lineal. Universidad Rafael Landivar.
Gerald, D., Ksenia, B., Wei-Kun, C. y Leon, E. (2020). The SCIP optimization suite 7.0.https://scip.zib.de/index.php#cite
González, A. (2003). Manual práctico de investigación de operaciones. Ediciones Uninorte.
Heizer, J. & Render, B. (2020). Process strategy: In operations managment (7a ed.). Prentice Hall Inc.
Hernández-Sampieri, R., Fernández, C. y Baptista, P. (2014). Metodología de la investigación. McGraw Hill.
Hillier, F. y Lieberman, G. (2015). Introduction to operations research (10a ed.). McGraw Hill.
Microsoft. (2021). Microsoft Office Excel-Solver. https:// www.microsoft.com/es-ec/
Moya, M. (2003). Investigación de operaciones: La programación lineal (3a ed.). Universidad Nacional a Distancia Costa Rica.
Prawda, J. (2004). Métodos y modelos de investigación de operaciones. Limusa. http://www.bibvirtual.ucb.edu.bo:8000/opac/Record/41750/Details
Quintanilha, J., Baptista, J. y Meza, L. (2012). Evaluación de la eficiencia de las compañías aéreas brasileñas a través de un modelo híbrido de análisis envolvente de datos (DEA) y programación lineal multiobjetivo. Ingeniare, 20(3), 331–342.
Render, B., Stair, R. y Hanna, M. (2012). Métodos cuantitativos para los negocios (11a ed.). Pearson.
Render, B., Stair, R., Hanna, M. y Hale, T. (2016). Métodos cuantitativos para los negocios. Pearson.
Robbins, S. (2015). Administración (12a ed.). Pearson Educación.
Taha, H. (2017). Investigación de operaciones (Vol. 10). Pearson Educación.
Ulloa, L. y Protti, M. (2005). Investigación de operaciones. Universidad Nacional a Distancia Costa Rica.
Wesner, F. (2015). Técnicas de programación lineal entera para la optimización de la recolección de residuos reciclables en el Municipio de Morón. Universidad de Buenos Aires.
Winston, W. L. (2004). Investigación de operaciones: Aplicaciones y algoritmos (4ª ed.). Thomson.
Enlace alternativo

