

Síntesis y caracterización de membranas piezoeléctricas en base al polímero fluoruro de polivinilideno, utilizando la técnica de electrospinning
Synthesis and characterization of piezoelectric membranes in based on the polyvinylidene fluoride polymer, using electrospinning technique
Revista de I+D Tecnológico
Universidad Tecnológica de Panamá, Panamá
ISSN: 1680-8894
ISSN-e: 2219-6714
Periodicidad: Semestral
vol. 17, núm. 1, 2021
Recepción: 15 Octubre 2020
Corregido: 15 Octubre 2020
Aprobación: 12 Enero 2021

Resumen:
La presente investigación está relacionada con la síntesis de membranas poliméricas con características piezoeléctricas, utilizando el material fluoruro de polivinilideno (PVDF), el cual es un polímero semicristalino termoplástico. Las membranas estarán conformadas por microfibras piezoeléctricas de este material, las cuales fueron fabricadas a través de la técnica de electrospinning, se utilizaron distancias de separación de 4.5 cm, 8.5 cm, 11.5 cm entre la aguja hipodérmica y el cilindro electrizado colector de muestras. Se sometió a prueba la hipótesis del efecto de los parámetros del proceso de fabricación de las membranas, sobre el diámetro de las microfibras del material piezoeléctrico (PVDF) y en la estructura rotacional de la fase piezoeléctrica Beta (β). Se realizaron las siguientes técnicas de caracterización: 1) difracción de rayos X (XRD), donde la dispersión de las muestras en 18.3o, 19.9o, 20.6o tienen relación con la estructura interna rotacional α y β; 2) microscopía por barrido electrónico (SEM), en la que se obtuvo el diámetro aproximado entre 100 a 250 nm de las nano fibras del PVDF; 3) espectroscopía infrarroja por la transformada de Fourier (FTIR), en la que se aplicaron dos protocolos diferentes para el análisis de los espectros: uno donde la posición de los picos están referenciados en la literatura, y el otro donde se consideran los cambios de frecuencia comparados con la línea de base y modificado de las membranas micro fibrosas del PVDF, 4) espectroscopía Raman, con la que se determinó un espectro de 800 a 840 cm-1, lo cual muestra los cambios de la estructura interna rotacional del PVDF modificado y no modificado, indicado en referencias bibliográficas con un análisis cualitativo. Se encontró que entre más pequeño el diámetro de las fibras, mayor concentración de la fase (β) estructural.
Palabras clave: microfibras, Electrospinning, Estructura β, Piezoeléctrico, PVDF.
Abstract:
The present investigation is related to the synthesis of polymeric membranes with piezoelectric characteristics, using the polyvinylidene fluoride (PVDF) material, which is a thermoplastic semicrystalline polymer. The membranes are made of micro piezoelectric fibers of this material, which were manufactured using the Electrospinning technique. We used the distances of 4.5 cm, 8.5 cm, 11.5 cm from the hypodermic needle to the cylinder to collect the samples. The hypothesis of manufacturing process parameters related to the diameter of the micro and nanofibers of the piezoelectric material PVDF with its rotational structure Beta (β) was tested. To characterize the samples, the following techniques were performed: XRD, where the dispersion of the samples were 18.3o, 19.9o, 20.6o, is related to the internal rotational structure α and β, for the SEM the approximate diameter of 100 to 250 nm was obtained of the micro and nano fibers of the PVDF, two protocols were applied to the FTIR for the analysis of the spectra, one of them with bibliographic reference and the other with the frequency changes shown with the baseline and modified the nano fibrous membranes of the PVDF , in Raman the spectrum from 800 to 840 cm-1 shows the changes in its internal rotational structure of the modified and unmodified PVDF by bibliographic reference is observed with a qualitative analysis. We found that the smaller fiber diameter, the more concentration of structural β phase.
Keywords: Diameter of the PVDF microfibers, Electrospinning, Piezoelectric, PVDF, Structure β .
1. Introducción
La cosecha de energía ha tomado mayor importancia en las últimas décadas, debido a la demanda que existe a
nivel mundial y al desarrollo tecnológico e industrial de nuestra sociedad. Se incluye, además, problemáticas
como la disminución de reservas de combustible fósil, el calentamiento global, y afecciones a nuestros recursos naturales [1]. Esto obliga a la búsqueda de fuentes de energía renovables y desarrollo de nuevas tecnologías para su aprovechamiento. Una parte integral es la transformación de energía mecánica a energía eléctrica. Existen varios mecanismos generadores de energía (hidroeléctricas, eólica, solar) y materiales específicos como los piezoeléctricos [2], [3]. Los materiales piezoeléctricos generan un voltaje alterno al aplicar una fuerza pulsante al material. De igual manera, el material se deforma cuando se aplica un voltaje. Estas propiedades poseen diversas aplicaciones en el área de las ciencias e ingeniería [5].
Para nuestra investigación se seleccionó un polímero con características térmicas, sintéticas, y con propiedades piezoeléctricas [4]. Este material es el Fluoruro de polivinilideno (PVDF), el mismo, posee una estructura
cristalina que puede variar en cinco fases rotacionales α, β, γ, δ, ε, cada una con sus propiedades y aplicaciones [5], [1] . La estructura β, figura 1, posee características con diversas aplicaciones tecnológicas, debido a su fuerte
actividad piezoeléctrica y ferroeléctrica [6], [7]; esta fase, posee un ordenamiento polar entre algunos de sus componentes moleculares: flúor-hidrogeno, siendo el flúor el elemento más electronegativo. Por otro lado, en su fase , la estructura molecular del PVDF es no polar, como se observa en la figura 1.

Por lo cual, la TE provoca un aumento de las propiedades piezoeléctricas del PVDF [4], [5], [6]. Esto se ha utilizado en diversas aplicaciones en el área de ciencias e ingeniería, para la cosecha de energía, [9].

Mediante la técnica de electrospinning (TE) [8], se provocan modificaciones en la fase rotacional del polímero aplicando un campo eléctrico, como se demuestra en la figura 2. Cuando se le aplica voltaje en magnitudes de kV, al polímero disuelto, el campo eléctrico induce una rotación molecular, generando predominantemente transiciones de la fase a β. La orientación molecular, inicia en la punta de la aguja de la TE, en donde, las fuerzas generadas por el campo eléctrico sobrepasan la tensión superficial y viscosidad de la solución de PVDF, provocando la formación del cono de Taylor (figura 2) [2], [3].
La presente investigación está relacionada con la síntesis de membranas poliméricas con características piezoeléctricas, utilizando el material PVDF, el cual es un polímero semicristalino termoplástico. Las membranas fueron compuestas por microfibras piezoeléctricas de PVDF, las cuales se sintetizaron con la TE o electro hilado. Las propiedades piezoeléctricas de las membranas se caracterizaron en la Universidad de Texas en Dallas-USA, a través de la pasantía proporcionada por la Secretaría Nacional de Ciencia y Tecnología (SENACYT), en conjunto con la Universidad Tecnológica de Panamá, usando las siguientes técnicas: Difractómetro de Rayo X (XRD) para el análisis de la
estructura α y β; Microscopia de Barrido de Electrones (SEM) para la observación de las microfibras de la
membrana de PVDF; FTIR, en la que fueron utilizadas dos metodologías para el análisis de la estructura del PVDF modificado, al igual que, en la Espectroscopia de Raman. Por otro lado, la síntesis y estudio de la respuesta
electromecánica de las membranas, se realizó en las instalaciones del Centro de Investigación de Física Aplicada (CIFA), ubicado en la Universidad Autónoma de Chiriquí (UNACHI).
2. Materiales y métodos
2.1 Materiales
El PVDF utilizado fue Polyk 1006, que es un polímero semicristalino de peso molecular medio-alto de fluoruro de vinilideno-granulado[7] . Los solventes utilizados fueron: N- N demitilformamida con una masa molar de 73.09 g/mol, cuya formula química es HCON(CH3)2, de marca MERK (REF- Merk site) y acetona del mismo proveedor, con masa molecular de 58.08 g/mol y fórmula química CH3COCH3. Estos materiales se utilizaron sin modificaciones adicionales.
2.2 Preparación de las membranas de PDVF
Para obtener las muestras de membranas micro fibrosas del PVDF (MMF-PVDF), se realizaron los siguientes procesos: para la disolución viscoelástica del PVDF, se agregó 2.00 g de PVDF granulado en recipiente de vidrio con rosca con 5.60 g del disolvente dimetilformamida DMF, luego se colocó en el agitador térmico a 80 oC por 6 horas continuas, agitador magnético marca Bunsen, serie MC-8-1201. Luego, se agregó 2.40 g de acetona al recipiente con la solución diluida del DMF + PVDF, seguidamente, se mantuvo por 4 horas en el agitador térmico a temperatura ambiente [5]. Posteriormente, se aplica la técnica de electrospinning, con un voltaje constante de salida de 15,0 kV, a temperatura ambiente, utilizando como parámetro variable la distancia de separación de la aguja hipodérmica, con respecto al cilindro giratorio metálico electrizado, el cual recolecta la muestra de la membrana micro fibrosa del PVDF, se utilizaron los valores de 4.5 cm, 8.5 cm y 11.5 cm. Durante el proceso, se mantuvo constante la salida de fluido de la aguja hipodérmica, calibre 18, colocando el inyector de motor de paso A-99 Razel a 1,73 mL/h.
Las condiciones de humedad y temperatura se mantuvieron constante durante la realización de la síntesis de las membranas. El valor de estas variables se determinó en 70% de humedad relativa y en 25,0 oC, utilizando un medidor de humedad de la marca Habor, Hab-584Y67.
2.3 Equipo de caracterización
Para el registro del voltaje generado por las membranas micro fibrosas de PVDF, se utilizó como instrumento de medición el multímetro TEKPOWER TP5000 DE 6000 cuentas, con un rango de 0 a 600 mV para corriente directa (DC), con un intervalo de tiempo de 1.0 s por cada medida de la muestra. Se experimentaron tres técnicas para medir los voltajes de la membrana y se seleccionó la más confiable y repetible. La técnica que se utilizó fue el pulso de voltaje, en donde se le daba un tiempo de (7.295 ± 0.009) segundos para la deformación y reformación de la membrana micro fibrosa del PVDF, la cual se colocó en medio de cinta adhesiva conductora; es decir, un dispositivo tipo sándwich, para medición de voltaje. Para el análisis de la estructura molecular no modificada y modificada de la muestra del PVDF, se utilizaron el FTIR-ATR del equipo Nicolet is, con zona de barrido de 400 cm-1 a 4000 cm-1 y con número de barrido por muestra de 200. Por otro lado, se utilizó el Nicolet Almega XR Raman, cuya longitud de onda láser es 780 nm. El análisis de XRD, fue conducido utilizando un Rigaku Ultima III XRD (40 kV,
44 mA, Rigaku Co. Difracción de Rayo X, Tokyo, Japón) con una fuente Cu kα, con longitud de onda de 0.15418 nm. El difractómetro fue grabado entre ángulos 2θ =10o y 2θ =50o, donde se realizó primero un escaneo de 0.1º, con una razón de 20o/min para calibrar y referenciar el
espectro de rayo X. Luego, se midió con 0.02o, con una razón de 3o/min a temperatura ambiente. Por último, la morfología de las microfibras del PVDF, fueron caracterizadas por el SEM, SEISS SUPRA-40, el diámetro de las fibras se midió utilizando el programa de procesamiento de imágenes ImageJ
3. Resultados y discusiones
3.1 Caracterización eléctrica:
En la figura 3, se observan tres muestras de membranas micro fibrosas de PVDF, sintetizadas con 4.5 cm, 8.5 cm y 11.5 cm de distancia de separación, entre la aguja hipodérmica y el cilindro metálico giratorio colector, obtenidas por la técnica de electrospinning (TE). Una apreciación visual de las membranas, indica diferencia es sus transparencias, lo cual infiere que la membrana sintetizada a 4.5 cm es más gruesa que la de
11.5 cm.

En la figura 4, se puede observar la tabla y gráfico de la respuesta del pulso voltaje para las MMF-PVDF. Para la distancia de separación de 8.5 cm, se obtuvo (2.5 ± 1.2) mV, como valor pico de voltaje y desviación estándar. En cambio, para la distancia de 11.5 cm se obtuvo (1.4 ± 0.4) mV, es decir, menor generación de voltaje. La respuesta de voltaje obtenida, para la distancia de separación de 4.5 cm, se aproxima a la de 8.5 cm.

Este resultado sugiere que el voltaje producido por el efecto piezoeléctrico puede depender tanto de la distancia entre la aguja y el cilindro de colección, así como el espesor de la muestra. Se necesita un mejor sistema de medición de voltaje generados para disminuir la desviación estándar de las mediciones realizadas y tener mayor confianza en las dependencias mencionadas.
3.2 Espectroscopia Raman
Como se puede apreciar en la figura 1, las diferencias estructurales entre la fase α y la fase β, se basan en rotaciones de la cadena de monómeros, lo cual provoca cambios en la polaridad de la molécula. Estas diferencias en la polaridad se pueden apreciar en regiones particulares del espectro Raman.
En la figura 5, se observan cuatro espectros Raman obtenidos en la muestras no modificada y modificada de la MMF-PVDF, el estudio se realizó en dos regiones específicas. En la figura 5 (A) se muestra la región 2940- 3080 cm-1, donde se encuentran las vibraciones de los hidrocarburos C-H [8] [9]. Se observa la presencia de una banda en todas las muestras en la vecindad de 2985 cm-1. La figura 5(A) muestra esta banda sin normalizar. Una vez normalizada la banda para todas las muestras, nos enfocamos en la banda a 840 cm-1, figura 5 (B). Como se puede apreciar, la muestra no modificada carece de intensidad en esta banda, mientras las muestras sintetizadas con la TE, presentan un aumento en esta banda, lo cual se asocia a la presencia de fase [0].

Se analizaron dos regiones de los espectros Raman de las muestras modificadas, figura 6, registrándose diferencias entre ellas. La intensidad de la base (curva negra) es mucho mayor que las otras, debido a que posee un espesor de casi dos órdenes de magnitud mayor, en comparación con las membranas de PVDF. Si se compara la intensidad de la banda de 540 cm-1, a la banda de interés de 520 cm-1 para cada una de las curvas, se puede concluir que la muestra 11.5 cm (azul) posee mayor contenido de la fase piezoeléctrica original. La banda de 520 cm-1 está relacionada con la aparición de la fase [8], [9].

Otras regiones analizadas se muestran en la figura 7. La figura 7(A), corresponde al espectro normalizado en la banda de 880 cm-1, la cual revela las intensidades relativas en la banda 840 cm-1. Se observa nuevamente la misma distribución de intensidades, donde la muestra
11.5 cm es mayor que las de 4.5 y 8.5 cm lo cual, indica el aumento de enlaces polares propios de la fase β. Lo cual, se puede atribuir a la disminución del campo eléctrico al variar la distancia de síntesis en la TE. Estructuralmente, X. Cai et al [10], explica que la banda de 840 cm-1 está relacionado con los modos vibracionales
de los C-H antisimétricos, C-C y C-F de flexión, por lo que es un indicador de la estructura β.
En la figura 7(b), al normalizar la banda a 610 cm-1,
propia de estructura [8], se observa otro cambio en las bandas del espectro de Raman, específicamente, en la región 450 cm-1 – 575 cm-1 del espectro, en donde se observan la disminución de dos picos ubicados en las intensidades de 485 cm-1 y 541 cm-1, lo cual, es una característica propia de la presencia de fase en la estructura molecular [11]. De manera similar, la banda a 510 cm-1 y 540 cm-1 [8] para la muestra sintetizada a 11.5 cm, indica que es la que posee mayor cantidad de fase .
, Importar tabla
La banda de 510 cm-1 además de estar relacionada con la estructura , se relaciona con el modo vibracional de
CF2 δ y CF2 , de la estructura γ para las muestras del PVDF [12]

La figura 8, muestra un gráfico del conteo de intensidad Raman en la banda de frecuencia de 840 cm-1,para cada MMF-PVD sintetizada con la TE. Se observa que la muestra con más intensidad, es la sintetizada a 11,5cm, lo cual significa que posee mayor formación de estructura cristalina en fase [8].

Los resultados indican que la muestra sintetizada a 4.5cm-1 tiene más fase b que la sintetizada a 8.5cm-1, lo cual, se puede atribuir a la intensidad local del campo eléctrico en la TE.
3.3 FTIR
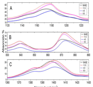
Las muestras no modificadas y modificadas de PVDF se caracterizaron a través de FTIR_ATR, los espectros de absorbancias obtenidos se muestran en la figura 9.
En la figura 9 A, se aprecia una mayor intensidad de absorbancia para la membrana sintetizada a una distancia de 11.5 cm, con un pico en la región del espectro ubicada en 1170 cm-1, la cual corresponde a vibraciones características de la fase . De manera similar, en la figura 9 B se muestran picos de absorbancia en las regiones ubicadas en 840 cm-1 y 875 cm-1, los cuales son vibraciones típicas de la fase [0], presentando mayor intensidad en la membrana sintetizada a 11,5 cm, lo cual confirma que es la membrana con más presencia de fase
.

En la figura 9 c, se observan picos de absorción en otra región correspondiente a vibraciones de la fase la ubicada en 1400 cm-1 [13], [14]. Nuevamente, se observa que la mayor intensidad corresponde a la muestra 11.5 cm y la menor para la sintetizada a 4.5 cm.
Para cuantificar los resultados, se normalizó la banda de 613.5 cm-1, la cual corresponde a la fase , para comparar con la intensidad relativa de la banda a 840 cm- 1, correspondiente a la fase . Esta técnica es utilizada como un método rápido para determinar la estructura de
la muestra [15]. Estos resultados se encuentran en la figura 10. Mediante este método, se encuentra que la mayor cantidad de fase , se presenta en la membrana sintetizada a 11.5 cm. Sin embargo, no se observan cambios significativos entre las muestras sintetizadas a
4.5 cm y 8.5 cm similar a los resultados de la figura 8.

3.4 XRD
En la figura 11, se observa las difracciones de las muestras no modificada del PVDF granulado y las m modificaciones de la MMF-PVDF, realizadas con el sistema electrospinning con recolector estacionario y automatizado, con variaciones en la de distancia de separación.
Se tomó como referencia el XRD de la muestra no modificada del PVDF granulado, sus picos difractados, en 2 = 18.3o y 19.9o, corresponden a una difracción total en los planos (020) y (100), propios de una celda unidad
monoclínica en fase cristalina α. El pico en 2 = 20.6o, corresponde a las reflexiones en el plano (200) de la fase
cristalina β, propio de celdas unidades ortorrómbicas [10], no visualizado en la muestra base, pero si en las MMF-PVDF sintetizadas a diferentes distancias [15],
[16].

Para determinar el contenido de la fase , presente en la muestra se realizó un ajuste en la región que contienen los picos de difracción de 18.3o, 19.9o y 20.6o utilizando el programa Fitek como se muestra en la figura 12 de la membrana sintetizada a 11.5cm. Este análisis se realizó en todas las muestras. Para el ajuste, el programa podía manipular la intensidad y el ancho de cada gaussiana, pero mantenía la posición de los picos bloqueados.

En la figura 13, se muestra la relación del área de las gaussianas utilizadas en el ajuste de la reflexión en 2 = 20.6o con la distancia de síntesis de las membranas. Este
análisis, permite obtener información sobre la cantidad de fase piezoeléctrica presente en cada muestra [17]. Se obtuvo un área de 4300 u2 para la muestra sintetizada a 11,5 cm, en las de 4,5 cm y 8.5 cm se registraron 1400 u2 y 880 u2, respectivamente. Esto indica que la muestra
sintetizada a 11.5 cm posee mayor cantidad de estructura rotacional de fase β, en comparación a las otras dos muestras.

3.5 SEM
La figura 14 muestra las imágenes SEM obtenidas para las membranas de PVDF sintetizadas. En la Figura 14 (A), se presenta la muestra no modificada del PVDF granulado, el cual se observa en forma de una pasta gruesa. En cambio, para la muestra de la UTD de la Figura 14 (B), se obtuvo una aleatoria distribución de las microfibras de PVDF. En la Figura 14 (C) poseen una distribución aleatoria con diámetros en la escala de los micrómetros. De manera similar, en la Figura 14 (D) y (E), para las muestras sintetizadas a 4.5 cm y 8.5 cm, se obtuvieron microfibra con diámetros promedios de (185
± 128) nm y (196 ± 99) nm, respectivamente. En la figura
14 (F), para la muestra de 11.5 cm, se observan distribuciones de microfibras con diámetros promedio de (104 ± 37) nm.
En la figura 15, se observa las distribuciones del diámetro de las microfibras (nm), para las tres muestras sintetizadas a las distancias de 4.5 cm, 8.5 cm y 11.5 cm por la TE. Para este análisis se utilizó el programa Image J, que es un programa procesador de imágenes en la que
se pueden medir distancias, una vez se calibre la regla con las escalas presentes en las figuras.

Se puede indicar que, las microfibras de las muestras de 4.5 cm y 8.5 cm, poseen distribuciones aleatorias y su tendencia es para diámetros de fibras mayores a 200 nm. En cambio, para la muestra de 11.5 cm, el diámetro de sus fibras poseen distribuciones menores a los 150 nm. El diámetro de las microfibras se encuentra relacionado
con la presencia de la estructura rotacional de la fase β
[3], ya que, el engolamiento de las fibras a través del
campo eléctrico en la TE, produce rotaciones en la estructura molecular del polímero.
Los resultados de las observaciones realizadas en este trabajo están resumidos en la figura 16. Los resultados
del SEM muestran que aumentos en la separación de la aguja y el cilindro colector, provocan disminuciones del diámetro de las fibras de PVDF.

Al mismo tiempo, los resultados presentados en las pruebas estructurales de FTIR-ATR, Raman y XRD, fueron acordes con la aparición de la fase piezoeléctrica
[17], [18], principalmente, en la muestra sintetizada a una distancia de 11.5 cm. Esto nos da a entender que existe una relación entre el diámetro de las microfibras del PVDF con la presencia de la fase β. La prueba que no corrobora esta hipótesis es la de pulso voltaje. Sin
embargo, como se puede apreciar en la figura 3, la muestra a 11.5 cm es porosa y delgada, y esta característica afecta la respuesta piezoeléctrica.
Los resultados indican que, el campo eléctrico producido entre la aguja y el cilindro colector tiende a alinear los monómeros del PVDF hacia la estructura . Entre más distante entre la aguja y el colector de la TE, más posibilidad de elongar la fibra, haciéndola más delgada y aumentando la densidad de la estructura . Para lograr una muestra con mayor espesor, el tiempo de fabricación se debe aumentar.
Las diferentes técnicas de caracterización estructural aplicadas, (figuras, 8,10 y 13) indican que la muestra sintetizada a 4.5 cm contiene más estructura que la
muestra de 8.5 cm, lo cual se puede atribuir a la intensidad del campo eléctrico local producido por el TE.

4. Conclusiones
Se logró obtener membranas micro fibrosas del PVDF por la técnica de electrospinning, a partir de una solución viscoelástica del polímero, variando la distancia de separación con respecto a la aguja hipodérmica al cilindro colector. Los resultados indican que la estructura rotacional presente en las membranas de PVDF
sintetizadas era predominante la fase piezoeléctrica β.
Las membranas micro fibrosas presentaron superficie porosa. La medición de la respuesta de voltaje permitió obtener valores picos de 2.0 mV, no repetitivos, atribuido al espesor no constante de las membranas y al ruido en las mediciones. Las técnicas de caracterización Raman y FTIR, presentaron bandas de absorción típicas de estructuras cristalinas en fase piezoeléctrica , presentando mayor proporción de esta fase, la membrana sintetizada a una distancia de 11.5 cm con la TE. Específicamente, el FTIR presentó mayor cambio en la región de 2 900 cm-1 a 3 000 cm-1, lo cuales son cambios de frecuencias asociados con los hidrocarburos. De manera similar, en la caracterización por XRD, el pico de difracción en 2 = 20.6o, confirma la presencia de
estructura rotacional β, con mayor proporción en la muestra sintetizada a 11.5 cm.
Los resultados en espectroscopia SEM, indicaron que el diámetro y distribución de mico fibras en las MMF- PVDF es afectado por la distancia de síntesis utilizada en la TE.
Para ampliar la investigación se sugiere realizar las siguientes recomendaciones: Encontrar el método y/o condiciones óptimas para la preparación solución visco elástica del PVDF, ajustando el conjunto de variables propios del proceso de síntesis. Evaluar el método y/o condiciones óptimas para la técnica de electrospinning para la membrana micro fibrosa del PVDF, ajustando las variables como flujo del inyector, diámetro de la aguja hipodérmica, voltaje aplicado de la fuente. Mejorar la técnica de medición eléctrica de las propiedades piezoeléctricas. Medir las propiedades ferroeléctricas de la membrana micro fibrosa del PVDF. Diseñar un modelo apropiado utilizando la membrana micro fibrosa del PVDF, para almacenamiento y transferencia de energía en dispositivos electrónicos.
Con la TE se pueden producir membranas piezoeléctricas utilizadas en dispositivos con múltiples aplicaciones en la cosecha de energía mecánica. R. Guigon comprobó [19] que mediante la utilización de caídas de gotas agua, con diámetros de 3.0 mm, a una velocidad de caída 4.5 m/s, que una membrana piezoeléctrica de PVDF, se puede generar 17 µW como pico de potencia.
Agradecimientos
Agradecemos al Doctor Orlando Auciello por la oportunidad de caracterizar la muestra en la Universidad de Texas en Dallas. Al Dr. Eleicer Ching por haber proporcionado el equipo de electrospinning, como guía para esta investigación. Además, a la Dirección de Relaciones Internacionales y Senacyt por su apoyo de financiamiento de pasantía. Al Dr. Majid Minari por la capacitación en la preparación de la solución visco elástica y técnica de electrospinning, en el Departamento de Ingeniería Mecánica del Instituto de Nano Tecnología de la Universidad de Texas en Dallas, con la colaboración del Magister Salvador Moreno. Por último, a la Universidad Autónoma de Chiriquí, por prestar sus instalaciones del Centro de Investigación de Física Aplicada, con el apoyo de los Doctores Pablo Weigandt.
Además, al profesor Armando González y la estudiante María Bryden, en la preparación de las muestras. La Dra.
Elida de Obaldía agradece el apoyo de la Universidad Tecnológica de Panamá. Esta investigación fue posible gracias al apoyo del Sistema Nacional de Investigación (SNI) de la Secretaría Nacional de Ciencia, Tecnología e Innovación (Panamá).
Referencias
[1] K. Tashiro, K. Takano, M. Kobayashi, Y. Chatani, and H. Tadokoro, “Structural Study On Ferroelectric Phase Transition Of Vinylidene Copolymers (111) Dependence Of Transitional Behavior On Vdf Molar Content Fluoride- Trifluoroetlene,” Ferroelectrics, vol. 57, no. 1, pp. 297–326, 1984, doi: 10.1080/00150198408012770.
[2] D. H. Reneker and A. L. Yarin, “Electrospinning jets and polymer nanofibers,” Polymer. 2008, doi: 10.1016/j.polymer.2008.02.002.
[3] J. Doshi and D. H. Reneker, “Electrospinning process and applications of electrospun fibers,” J. Electrostat., 1995, doi: 10.1016/0304-3886(95)00041-8.
[4] M. Baniasadi et al., “High-performance coils and yarns of polymeric piezoelectric nanofibers,” ACS Appl. Mater. Interfaces, vol. 7, no. 9, pp. 5358–5366, 2015, doi: 10.1021/am508812a.
[5] J. Chang, M. Dommer, C. Chang, and L. Lin, “Piezoelectric nanofibers for energy scavenging applications,” Nano Energy. 2012, doi: 10.1016/j.nanoen.2012.02.003.
[6] A. Gheibi, M. Latifi, A. A. Merati, and R. Bagherzadeh, “Piezoelectric electrospun nanofibrous materials for self- powering wearable electronic textiles applications,” J. Polym. Res., 2014, doi: 10.1007/s10965-014-0469-5.
[7] “Polyk lab.” http://www.polyk-lab.com/product-1102.
[8] Y. A. Barnakov et al., “Light intensity-induced phase transitions in graphene oxide doped polyvinylidene fluoride,” Opt. Mater. Express, 2018, doi: 10.1364/ome.8.002579.
[9] J. M. Pastor, T. Jawhari, and C. Merino, “CARACTERIZACIÓN DE MATERIALES POLÍMEROS MEDIANTE LA UTILIZACIÓN DE LA MICROESPECTROSCOPIA VIBRACIONAL Revista Iberoamericana de Polímeros Pastor , Jawhari y Merino,” Rev. Iberoam. polímeros, 2003.
[10] X. Cai, T. Lei, D. Sun, and L. Lin, “A critical analysis of the α, β and γ phases in poly(vinylidene fluoride) using FTIR,” RSC Adv., vol. 7, no. 25, pp. 15382–15389, 2017, doi: 10.1039/c7ra01267e.
[11] Y. Leng, Materials characterization: Introduction to microscopic and spectroscopic methods: Second edition. 2013.
[12] Y. U. R. I. A. B. Arnakov et al., “Light intensity-induced phase transitions in graphene oxide doped polyvinylidene fluoride,” vol. 8, no. 9, pp. 2579–2585, 2018.
[13] H. Xu, Z. Y. Cheng, D. Olson, T. Mai, Q. M. Zhang, and G. Kavarnos, “Ferroelectric and electromechanical properties of poly(vinylidene-fluoride-trifluoroethylene- chlorotrifluoroethylene) terpolymer,” Appl. Phys. Lett., vol. 78, no. 16, pp. 2360–2362, 2001, doi: 10.1063/1.1358847.
[14] P. Martins, A. C. Lopes, and S. Lanceros-Mendez, “Electroactive phases of poly(vinylidene fluoride): Determination, processing and applications,” Progress in Polymer Science, vol. 39, no. 4. Elsevier Ltd, pp. 683–706, 2014, doi: 10.1016/j.progpolymsci.2013.07.006.
[15] T. Lei, L. Yu, G. Zheng, L. Wang, D. Wu, and D. Sun, “Electrospinning-induced preferred dipole orientation in PVDF fibers,” J. Mater. Sci., 2015, doi: 10.1007/s10853- 015-8986-0.
[16] Y. J. Park, Y. S. Kang, and C. Park, “Micropatterning of semicrystalline poly(vinylidene fluoride) (PVDF) solutions,” Eur. Polym. J., 2005, doi: 10.1016/j.eurpolymj.2004.11.022.
[17] J. Liu, X. Lu, and C. Wu, “Effect of preparation methods on crystallization behavior and tensile strength of poly(vinylidene fluoride) membranes,” Membranes (Basel)., 2013, doi: 10.3390/membranes3040389.
[18] B. Mohammadi, A. A. Yousefi, and S. M. Bellah, “Effect of tensile strain rate and elongation on crystalline structure and piezoelectric properties of PVDF thin films,” Polym. Test., 2007, doi: 10.1016/j.polymertesting.2006.08.003.
[19] R. Guigon, J. J. Chaillout, T. Jager, and G. Despesse, “Harvesting raindrop energy: Experimental study,” Smart Mater. Struct., 2008, doi: 10.1088/0964-1726/17/01/015039.

