

Estado del arte de la planeación de expansión de sistemas de transmisión
State of the art transmission expansion planning
Estado del arte de la planeación de expansión de sistemas de transmisión
Revista de I+D Tecnológico, vol. 16, núm. 2, 2020
Universidad Tecnológica de Panamá
Recepción: 26 Octubre 2019
Corregido: 05 Mayo 2020
Aprobación: 12 Julio 2020
Resumen: El crecimiento de la demanda en los sistemas eléctricos de potencia ha creado la necesidad de la expansión en todos sus niveles, el problema de la planeación de la óptima expansión de los sistemas eléctricos de transmisión es, considerar todos los factores y restricciones que se involucran como: confiabilidad, cargabilidad máxima, desviación angular, perfil de voltaje, método de resolución, contingencias y pérdida del sistema; en busca de una óptima expansión de los sistemas de transmisión la presente investigación es orientada hacia el método de flujos óptimos de potencia AC; por lo tanto, se realizó un levantamiento de información de artículos científicos relevantes que permitan ser la base del inicio de futuras investigaciones, permitiendo robustecer el sistema de transmisión a bajos costo, con el fin de mantener el sistema eléctrico de potencia con estabilidad y confiabilidad.
Palabras clave: Flujo óptimo de potencia, sistema eléctrico de potencia, planeación de la expansión de transmisión, método de optimización.
Abstract: The growth of demand in electric power systems has created the need for expansion at all levels, the problem of planning the optimal expansion of electric transmission systems, considering all the factors and restrictions that are involved as: reliability, maximum chargeability, angular deviation, voltage profile, resolution method, contingencies and system loss; in search of an optimal expansion of the transmission systems the present investigation is oriented towards the method of optimal power flow AC; Therefore, gathering information of relevant scientific articles was carried out that would be the basis of the beginning of future research, allowing to strengthen the transmission system at low cost , in order to maintain the power electrical system with stability and reliability.
Keywords: Optimal power flow, power electrical system, transmission expansion planning, optimization method .
1. Introducción
En las últimas décadas se ha incrementado la demanda de energía eléctrica y para atender el complejo crecimiento, es indispensable la óptima expansión de los sistemas de transmisión (TEP) [1], [2] ya que es la columna vertebral del sistema eléctrico de potencia (SEP); el sistema de transmisión tiene que ser estructurado adecuadamente, sin embargo la problemática para los planificadores es que, tienen que analizar restricciones como: cargabilidad máxima, perfil de voltaje, desviación angular y pérdidas del sistema [3]. En muchos de los casos la óptima TEP busca fortalecer la red para que sea estable, segura y confiable; de esta forma pudiese mantener su operatividad ante la presencia de contingencias.
El método de mayor utilización hace algunos años es el de flujos óptimos de potencia DC [4], ya que solo considera la potencia activa, bajo esta circunstancia la resolución utiliza un algoritmo lineal considerado de baja complejidad; no obstante, la TEP, mediante el método de flujos óptimos de potencia AC, permite tener soluciones apegadas a la realidad de un SEP, ya que considera la potencia activa y reactiva, bajo lo mencionado, la resolución utiliza un algoritmo no lineal entero mixto [5], [6].
La investigación consiste en la revisión bibliográfica y análisis de artículos científicos sobre la TEP, el objetivo del procesamiento de esta información permitirá establecer un punto de partida para futuras investigaciones orientadas a una temática especifica [7]– [12].
La función objetivo de la óptima TEP es garantizar la continuidad del suministro eléctrico con calidad y confiabilidad a bajos costo: construcción (inversión), operación, producción o generador [2], [13]–[17].
Sujeto a las restricciones que se podrían presentar y tomando en cuenta contingencias. En un análisis profundo hay que considerar que, para tener una óptima planificación global se debe utilizar un esquema correctivo y preventivo, para manejar las contingencias de las líneas de transmisión y las unidades generadoras [18] en tal situación, se debería realizar la TEP y la expansión de la generación de forma conjunta y no por separado, ya que las restricciones del sistema de transmisión afectan la ubicación y la capacidad de las unidades de generación proyectadas [17], [19], sin embargo, por la complejidad de los posible algoritmos matemático la investigación solo se enfocara en la TEP.
Es necesario tener claro el camino para la óptima TEP del SEP, por lo que, consideramos que primero se debe determinar el problema, posterior realizar el análisis y desarrollo de simulaciones de posibles soluciones, si el análisis es aceptable se tendrá una optimización en la expansión de la transmisión, caso contrario se debe seguir analizando las posibles soluciones [20].
En base a las referencias citadas se busca enfocar la tendencia para que futuras investigación tengan un punto de partida que permita encontrar una óptima.
El documento tiene la siguiente organización: La sección II, revisa los modelos de expansión con el análisis de ciertas investigaciones; la sección III, trata sobre los flujos óptimos de potencia y su clasificación; en la sección IV, presenta el análisis genérico de otras investigaciones sobre el problema de la planificación de la transmisión.
2. Modelos de Expansión
Dentro de los modelos de la TEP, podemos encontrar la optimización matemática y heurística, no obstante, existen herramientas tecnológicas que los pueden combinar y a este modelo se lo denomina meta- heurísticos [10], [21], [22].
Los modelos de optimización matemática son procedimientos de cálculos que resuelven la formulación matemática de la TEP, este ha sido considerado un modelo práctico, sin embargo al no poder considerar todos los factores o restricciones, se convierte en óptimo solo omitiendo algunos detalles de los aspectos técnicos, ambientales y financieros.
Dependiendo el tipo de flujo de potencia que se considere para el análisis se utilizara una las opciones matemáticas como: la programación lineal, programación no lineal, programación dinámica y programación de enteros mixtos [23]; Si el modelo direcciona la utilización de un algoritmo no lineal la TEP, se limitará en el proceso de la optimización.
El Modelo Heurístico (MH) es un tipo de conocimiento específico que sirve para resolver problemas complejos en determinados eventos y situaciones, por lo tanto es considerado como un medio de inventar para crear. Los MH realizan búsquedas para generar y clasificar las opciones con la orientación de reglas lógicas o empíricas y sensibles; esto permite llevar a cabo el proceso heurístico hasta obtener el algoritmo [23]–[25].
Dicho en forma sencilla, es un método que comprende el desarrollo de habilidades, procedimientos y procesos que nos ofrecen una posibilidad razonable para solucionar un problema [26]. Estando orientado a la generación de conocimientos, recurso, técnicas y modelos creativos e innovadores, proyectados a aportar con los avances tecnológicos y científicos, para hacer frente a las cambiantes demandas del SEP.
Los MH tienen una gran deficiencia que al no ser matemáticamente sólidos, los resultados no son confiables para las redes complejas [27]. Actualmente hay una cantidad muy importante de trabajos científicos publicados que abordan problemas de optimización usando los modelos meta-heurísticos (MMH), se puede determinar que son reglas de sentido común que permiten hacer una búsqueda inteligente siendo la principal característica, a pesar de esto no existe un marco teórico que las sustente, sin embargo, es a través de los buenos resultados se encuentra su justificación.
Los MMH se dividen en tres categorías principales: La primera, los algoritmos evolutivos, La segunda, inteligencia de enjambre, y, La tercera, una mezcla que comparte los mismos principios de las dos primeras categorías. Otra situación importante de considerar es que mientras un MMH es eficiente para un caso [28], el mismo modelo puede presentar ineficiencia para otro; el comportamiento es igual cuando se relacionan todas las variables posibles, entonces dependiendo de varios factores o restricciones como: modelado, método de resolución, fiabilidad, cargabilidad máxima, desviación angular, perfil de voltaje y pérdida del sistema; Puede ser que un modelado X sea más óptimo que un modelado Y, pero al variar los valores de los factores, podría el modelado Y, ser más óptimo que el modelado X; esta teoría determina que, ningún MMH es mejor que otro. Una segunda característica que presentan los MMH es que existen pocas pruebas sobre su aproximación hacia un óptimo global; es decir, que no se puede asegurar la calidad de la solución obtenida 29].
Torres [16] muestra un modelo de optimización de la saturación de partículas modificadas, la optimización de partículas de enjambre que incorpora un nuevo procedimiento de inicialización de enjambres para resolver el problema de planificación de líneas de transmisión. El método propuesto se ha probado en sistemas de ensayo y los resultados son prometedores.
A pesar de los problemas de este modelo, muchos investigadores han demostrado que el comportamiento de la mayoría de los MMH es cuasi óptimo, siendo una alternativa factible de muchos problemas difíciles de resolver, creando una solución de calidad en corto tiempo. Muchas veces los MMH se comportan muy robustos pero eficientes y se pueden aplicar con relativa facilidad a una variedad amplia de problemas.
3. Flujos óptimos de potencia
Los flujo de potencia también llamado flujos de carga, es la herramienta básica para analizar o investigar los sistemas de transmisión y distribución eléctrica [30], [31]. Esta herramienta que se desempeña en estado estacionario, determina la magnitud del voltaje y corrientes en cada una de las líneas o barras, el flujo a través de los elementos del sistema de potencia, las pérdidas, los niveles de cargabilidad, la desviación angular y el perfil de voltaje.
El objetivo del estudio de flujos de potencia, es el análisis de lo que puede acontecer en el SEP en una supuesta condición operativa. Además, es la condición inicial para muchos estudios e investigaciones, adicional calcula los flujos de potencia real y reactiva, para todos los dispositivos eléctricos interconectados en las líneas, así como las pérdidas en las líneas de transmisión.
Dichos procedimientos mezclan heurísticas con algoritmos matemáticos de optimización, programación lineal o no lineal para resolver la problemática [32]–[34], paso a paso la TEP se pueden encontrar soluciones factibles, económicamente competitivas, mediante un esfuerzo computacional. Sin embargo, un modelo matemático no garantiza, una óptima expansión de los sistemas de transmisión. Los flujos de potencia se clasifican en dos: Flujos de Corriente Directa DC y Flujos de Corriente Alterna AC.
3.1 Flujos de potencia DC
Este tipo de flujo de potencia realiza su análisis solo con potencia activa, el cual está basado en un algoritmo lineal sin complejidad, este tipo de modelos son aceptables en sistemas pequeños o casos en especiales [31], [35], [36].
Las desventajas de los flujos DC es que no considera el análisis la potencia reactiva, adicional es difícil considerar las pérdidas de potencia y no se pueden tomar en cuenta ciertas restricciones [2], 29].
| Simbología de las ecuaciones | |
| i,j | Índice de barras |
| Li | Índice de líneas |
| g | Índice de generadores |
| e | Índice de existentes |
| c | Índice de candidatas |
| Bus | Conjunto de barras |
| A | Parámetros de las barras del sistema existente |
| B | Parámetros de líneas existentes |
| C | Parámetros de líneas candidatas |
| D | Parámetros del generador |
| Q | Potencia reactiva |
| P | Potencia activa |
| T | Topología óptima |
| R | Resistencia |
| X | Reactancia |
| PG | Potencia activa de generación |
| QG | Potencia reactiva de generación |
| PD | Demanda de potencia activa |
| QD | Demanda de potencia reactiva |
| Voltaje mínimo de la barra | |
| Magnitud de voltaje | |
| Voltaje máximo de la barra | |
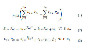
Para este caso la función objetivo se representan en las ecuaciones de la 1 a la 3 [37].

La limitación está dada por las restricciones que se muestran a continuación.

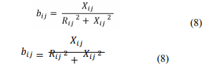
En la ecuación (8) podemos observar el cálculo de la susceptancia.

3.2 Flujos de potencia AC
Hay que tener claro que la corriente alterna AC tiene magnitud y dirección que varían cíclicamente. La forma de onda de la corriente alterna más comúnmente utilizada es la Onda senoidal, la transmisión es trifásica la que está formada por un conjunto de tres fases que forman ondas, desfasadas entre si 120 grados, a esto se lo conoce como sistema balanceado. Para ser más objetivo en la TEP se tiene que considerar un análisis detallado que englobe todo el sistema eléctrico de potencia, esto incluye la generación [19], [21] , la transmisión y las cargas.
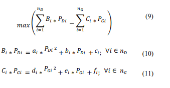
A continuación, representamos en ecuación la función objetivo.

Restricciones

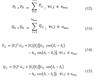
Para dar confiabilidad al sistema real se tiene que considerar, la magnitud del voltaje es de aproximadamente 1 p.u. para todos los buses de la red.
En la ecuación (16) la conductancia.

En la ecuación (17) podemos observar el límite de restricción en la potencia activa y en la ecuación (18) el límite de restricción de la potencia reactiva.


Dentro de los estudios de algunos investigadores llegaron a concluir que son muy complejos los modelos de flujo de potencia AC [21], [36], [38], sin embargo se tienen algunas ventajas [2]:
· Se considera la potencia activa y reactiva dentro de la planificación para mantener estable el SEP.
· El análisis puede tomar en cuenta más parámetros y restricciones, para optimizar TEP.
· Dentro de los análisis se pueden incluir las pérdidas de potencia en el SEP.
· Los diversos tipos de cargas ocasionan desbalance en el sistema eléctrico lo que permite realizar otros análisis como: contingencia, estabilidad de voltaje, análisis nodal e investigación de estabilidad transitoria.
· Se pueden incluir sistemas de compensación como bancos de capacitores o dispositivos FACTS.
Un modelo interesante es el que propone Ploussard [21], este se basa en la reducción de redes, es decir disminuir las barras y formando un conjunto de redes relevantes al sistemas, el proceso consiste en dividir las barras en grupos o áreas, después se agrega líneas de transmisión para reducir el número de barras en cada zona, el último paso consiste en calcular la equivalente de los enlaces de las líneas y barras de la red reducida.
Si bien es cierto realizar el análisis con flujo de corriente AC, dan resultados más reales y tiene ciertas desventajas como por ejemplo [9]:
· El problema más trascendental es la programación no lineal tan grande y compleja.
· Al considerar tantas restricciones se convierte en un modelo de optimización no tan eficiente para determinar una expansión del SEP.
· Tener restricciones variables que cambian constantemente el alcance del problema.
Montes [39] realiza una comparación de resultados utilizando el método convención de flujos de potencia DC con un reforzamiento, y el modelo de flujos de potencia AC; en los sistemas de 6 barras de Garver y en el de 118 barra de la IEEE. El modelo de flujos de potencia AC supero de forma notable los obtenidos por el modelo DC.
La función objetivo de esta propuesta busca minimiza el costo total de la expansión y operación, considerando el voltaje en la barra, la potencia reactiva y las pérdidas de potencia.
Khandelwal [5],[28], propones un método llamado lobo gris basado en su primera investigación y posterior lo modifico; mostró su manejo para solucionar los problemas de optimización complejos multimodales y no separables. Por medio de flujos de potencia AC expreso un algoritmo no lineal de números enteros complejos y de gran escala, valido sus resultados realizando pruebas en los sistemas: 6 barra de Garver y 46 barras brasileño; obteniendo buenos resultados en la TEP. Según el investigador el problema de la incertidumbre de la demanda y generación, puede manejarse utilizando lógica difusa y/o red neuronal.
Das [38] propone un modelo en dos etapas; la primera, se resuelve utilizando flujos de potencia DC para reducir la cantidad de posibles soluciones; la segunda, mediante flujos de potencia AC y planeación de expansión reactiva. Dicho modelo utilizo un algoritmo modificado de colonia de abejas artificial, para su comprobación utilizó los sistemas: 6 barras de Garver, 24 barras de IEEE, 118 barras de IEEE y 300 barras de IEEE. La investigación presento una solución de contingencia y de estabilidad de voltaje muy similares en comparación con métodos rigurosos, siendo su fortaleza una aceptable carga computacional, es decir, converge los resultados en poco tiempo.
4. Análisis genérico comparativo
El estado del arte de la presente investigación busca proporcionar la actual temática de la literatura científica con respecto a la óptima TEP en el SEP, por lo que se consideran las restricciones del problema y la propuesta de solución.
Es difícil considerar todas las investigaciones, sin embargo, las presentadas en la tabla 2 son consideraras como aportes importantes para empezar un estudio, adicional nos podemos orientar en la tendencia de las investigaciones y definir la ruta a tomar para futuros análisis, sin descartar la posibilidad de mejor alguno de los diversos métodos propuestos por los investigadores citados.
| Datos Restricciones del problema Propuesta de solución del problema Año de publicación Investigador Contingencias Perfil de voltaje Cargabilidad Desviación angular Técnicas de optimización Modelo de flujo de potencia ac Heurística o meta heurísticas 2013 Hemmati[2] 2007 Rider[24] 2010 Molina[11] 2014 Quintero[10] 2006 Sum-Im[4] 2017 Khandelwal[28] 2017 Verma[13] 2007 Choi[14] 2008 Gajbhiye[20] 2016 Montes[39] 2012 Lotfjou[32] 2017 Moreira[19] 2018 Li[36] 2018 Koltsaklis[17] 2002 Romero[29] 2018 Morquecho[16] 2010 Khodaei[25] 2013 Bolaños[1] 2018 Ploussard[21] 2018 Duque[18] 2014 Alhamrouni[22] 2011 Akbari[27] |
| 2003 Al-Hamouz[6] 2018 Abbasi[31] 2011 Cedeño[3] 2005 Choi[34] |
5. Conclusiones
El presente documento presenta una relevante lista de investigación sobre la planificación de la explosión de los sistemas de transmisión, el crecimiento constante de la demanda eléctrica ha generado una búsqueda de un óptimo modelo TEP del SEP, en tal situación es difícil considerar todas las investigaciones sobre la temática, no obstante, se tomó en cuenta investigaciones relevantes que permiten enfocar la actual tendencia en el campo de la TEP.
Muchas de las investigaciones utilizan un modelo matemático ya que su método son los flujos de potencia DC, puesto que al no tener tantas restricciones y por ser un algoritmo lineal, permite tener soluciones aceptables en redes pequeñas o específicas, por lo tanto, no son confiables. Una alternativa muy utilizada son los modelos heurístico y meta-heurísticos, sin embargo tiene limitaciones en los diversos procesos, es así; que como herramienta de optima planificación es poco considera dentro de los requerimientos de los mercados energéticos.
La óptima TEP debe considera muchos parámetros y restricciones, sin embargo no se puede descartar que hay modelos que son cuasi óptimos para problemas específicos, los cuales deberían ser reforzados. La mayoría de investigaciones tratan de encarar una restricción a la vez, ya que tratar de considerar más al mismo tiempo volvería complejo el modelo.
Es relevante indicar que para obtener una óptima TEP, se debe considerar el análisis desde el modelo de flujo de potencia AC y a través de técnicas de optimización manejar una sola restricción, que permita robustecer el SEP.
Agradecimientos
El presente trabajo investigativo lo dedicamos principalmente a Dios, por ser el inspirador y darnos fuerza para continuar en este proceso de obtener uno de los anhelos más deseados.
A la Universidad Politécnica Salesiana y su cuerpo docente por haber compartido su conocimiento y experiencia, que ha sido una guía importante durante todo el proceso académico.
Referencias
[1] R. A. Bolaños Ocampo and C. A. Correa Florez, “Planeamiento de la transmisión considerando seguridad e incertidumbre en la demanda empleando programación no lineal y técnicas evolutivas,” Tecnura, vol. 18, no. 39, p. 62, 2013.
[2] R. Hemmati, R. A. Hooshmand, and A. Khodabakhshian, “State-of-the-art of transmission expansion planning: Comprehensive review,” Renew. Sustain. Energy Rev., vol. 23, pp. 312–319, 2013.
[3] E. B. Cedeño and S. Arora, “Performance comparison of Transmission Network Expansion Planning under deterministic and uncertain conditions,” Int. J. Electr. Power Energy Syst., vol. 33, no. 7, pp. 1288–1295, 2011.
[4] T. Sum-Im, G. A. Taylor, M. R. Irving, and Y. H. Song, “A comparative study of state-of-the-art transmission expansion planning tools,” 41st Int. Univ. Power Eng. Conf. UPEC 2006, Conf. Procedings, vol. 1, pp. 267–271, 2006.
[5] A. Khandelwal, A. Bhargava, A. Sharma, and H. Sharma, ACOPF-Based Transmission Network Expansion Planning Using Grey Wolf Optimization Algorithm. Springer Singapore.
[6] Z. M. Al-Hamouz and A. S. Al-Faraj, “Transmission- expansion planning based on a non-linear programming algorithm,” Appl. Energy, vol. 76, no. 1–3, pp. 169–177, 2003.
[7] P. V. Gomes and J. T. Saraiva, “Electrical Power and Energy Systems State-of-the-art of transmission expansion planning : A survey from restructuring to renewable and distributed electricity markets,” Electr. Power Energy Syst., vol. 111, no. March, pp. 411–424, 2019.
[8] A. R. Mazhar, S. Liu, and A. Shukla, “A state of art review on the district heating systems,” Renew. Sustain. Energy Rev., vol. 96, no. September 2017, pp. 420–439, 2018.
[9] P. F. S. Freitas, L. H. Macedo, and R. Romero, “A strategy for transmission network expansion planning considering multiple generation scenarios,” Electr. Power Syst. Res., vol. 172, no. August 2018, pp. 22–31, 2019.
[10] J. Quintero, H. Zhang, S. Member, and Y. Chakhchoukh, “Planning Framework : Models , Tools , and Educational Opportunities,” vol. 29, no. 4, pp. 1–8, 2014.
[11] J. D. Molina and H. Rudnick, “Transmission of Electric Energy : A Bibliographic Review,” IEEE Lat. Am. Trans., vol. 8, no. 3, pp. 245–258, 2010.
[12] G. Latorre, R. Darío Cruz, J. M. Areiza, and A. Villegas, “Classification of publications and models on transmission expansion planning,” IEEE Trans. Power Syst., vol. 18, no. 2, pp. 938–946, 2003.
[13] S. Verma and V. Mukherjee, “Investigation of static transmission expansion planning using the symbiotic organisms search algorithm,” Eng. Optim., vol. 50, no. 9, pp. 1544–1560, 2018.
[14] J. Choi, T. D. Mount, and R. J. Thomas, “Transmission expansion planning using contingency criteria,” IEEE Trans. Power Syst., vol. 22, no. 4, pp. 2249–2261, 2007.
[15] D. Rios, F. Fernandez, and G. Blanco, “Analysis of power systems expansion processes based on System Dynamics- state-of-the-art,” 2016 IEEE Bienn. Congr. Argentina, ARGENCON 2016, 2016.
[16] E. G. Morquecho et al., “AC transmission network expansion planning considering losses,” 2018 IEEE PES Innov. Smart Grid Technol. Conf. Eur., no. 1, pp. 1–6, 2018.
[17] N. E. Koltsaklis and A. S. Dagoumas, “State-of-the-art generation expansion planning: A review,” Appl. Energy, vol. 230, no. April, pp. 563–589, 2018.
[18] A. Duque, “Transmisson network expansion planning using spectral clustering,” SBSE 2018 - 7th Brazilian Electr. Syst. Symp., pp. 1–5, 2018.
[19] A. Moreira, D. Pozo, A. Street, and E. Sauma, “Reliable Renewable Generation and Transmission Expansion Planning: Co-Optimizing System’s Resources for Meeting Renewable Targets,” IEEE Trans. Power Syst., vol. 32, no. 4, pp. 3246–3257, 2017.
[20] R. K. Gajbhiye, D. Naik, S. Dambhare, and S. A. Soman, “An expert system approach for multi-year short-term transmission system expansion planning: An Indian experience,” IEEE Trans. Power Syst., vol. 23, no. 1, pp. 226–237, 2008.
[21] Q. Ploussard, L. Olmos, and A. Ramos, “An efficient network reduction method for transmission expansion planning using multicut problem and Kron reduction,” IEEE Trans. Power Syst., vol. 8950, no. 1, pp. 1–10, 2018.
[22] M. S. Ibrahim Alhamrouni, Azhar Khairuddin, Ali Khorasani Ferdavani and Faculty, “Transmission expansion planning using AC-based differential evolution algorithm,” IET Gener. Transm. Distrib., vol. 8, no. 10, pp. 1637–1644, 2014.
[23] A. Mahmoudabadi, M. Rashidinejad, M. Mohammadian, M. Z. Maymand, M. Rahmani, and H. Khorasani, “An Application of CHA to Concurrent Short- Term Transmission Expansion & Reactive Power Planning,” 2011 IEEE Trondheim PowerTech, pp. 1–6, 2011.
[25] A. Khodaei, M. Shahidehpour, and S. Kamalinia, “Transmission switching in expansion planning,” IEEE Trans. Power Syst., vol. 25, no. 3, pp. 1722–1733, 2010.
[26] R. Romero and A. Monticelli, “A hierarchical decomposition approach for transmission network expansion planning,” IEEE Trans. Power Systens, vol. 9, no. 1, pp. 373–380, 1994.
[27] T. Akbari, A. Rahimikian, and A. Kazemi, “A multi-stage stochastic transmission expansion planning method,” Energy Convers. Manag., vol. 52, no. 8–9, pp. 2844–2853, 2011.
[28] A. Khandelwal, A. Bhargava, A. Sharma, and H. Sharma, “Modified Grey Wolf Optimization Algorithm for Transmission Network Expansion Planning Problem,” Arab. J. Sci. Eng., vol. 43, no. 6, pp. 2899–2908, 2018.
[30] J. López and L. Gallego, “Flujo de potencia óptimo usando el método del gradiente para reducción de pérdidas en sistemas de potencia,” Ing. y Ciencia, ISSN, vol. 4, no. 7, pp. 71–85, 2008.
[31] S. Abbasi, H. Abdi, S. Bruno, and M. La, “Electrical Power and Energy Systems Transmission network expansion planning considering load correlation using unscented transformation,” Electr. Power Energy Syst., vol. 103, no. November 2017, pp. 12–20, 2018.
[32] A. Lotfjou, Y. Fu, and M. Shahidehpour, “Hybrid AC/DC transmission expansion planning,” IEEE Trans. Power Deliv., vol. 27, no. 3, pp. 1620–1628, 2012.
[33] W. Peng, L. Chuanquan, L. Jie, and H. Cheng, “Transmission network expansion planning under interval load,” CICED 2010 Proc., pp. 1–6, 2010.
[34] J. Choi, “A method for transmission system expansion planning considering probabilistic reliability criteria,” Proc. IEEE Power Eng. Soc. Transm. Distrib. Conf., vol. 20, no. 3, p. 1240, 2005.
[35] G. Qu, H. Cheng, L. Yao, Z. Ma, and Z. Zhu, “Transmission surplus capacity based power transmission expansion planning,” Electr. Power Syst. Res., vol. 80, no. 1, pp. 19– 27, 2010.
[36] Z. Li, J. Yu, and Q. H. Wu, “Approximate Linear Power Flow Using Logarithmic Transform of Voltage Magnitudes with Reactive Power and Transmission Loss Consideration,” IEEE Trans. Power Syst., vol. 33, no. 4, pp. 4593–4603, 2018.
[37] K. Zare, S. Abapour, and B. Mohammadi-Ivatloo, “Dynamic planning of distributed generation units in active distribution network,” IET Gener. Transm. Distrib., vol. 9, no. 12, pp. 1455–1463, 2015.
[38] S. Das, A. Verma, and P. R. Bijwe, “Security constrained AC transmission network expansion planning,” Electr. Power Syst. Res., vol. 172, no. March, pp. 277–289, 2019.
[39] C. V. Montes, J. F. Franco, M. J. Rider, L. H. Macedo, and R. Romero, “MILP branch flow model for concurrent AC multistage transmission expansion and reactive power planning with security constraints,” IET Gener. Transm. Distrib., vol. 10, no. 12, pp. 3023–3032, 2016.
[24] M. J. Rider, L. A. Gallego, S. Member, R. Romero, and A. V García, “Heuristic Algorithm to Solve the Short Term Transmission Network Expansion Planning,” pp. 1–7, 2007.
[29] R. Romero, A. Monticelli, A. Garcia, and S. Haffner, “Transmission Network Expansion Planning,” IEEE Proc.- Gener. Transm. Distrib., vol. 149, no. 1, p. 10, 2002.

