

TRES SERIES FAMOSAS EN LA HISTORIA DE LA MATEMÁTICA
THREE FAMOUS SERIES IN THE HISTORY OF THE MATHEMATICS
Revista Colegiada de Ciencia
Universidad de Panamá, Panamá
ISSN-e: 2710-7434
Periodicidad: Semestral
vol. 5, núm. 2, 2024
Recepción: 13 diciembre 2023
Aprobación: 16 enero 2024
Resumen:
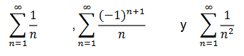
Las series armónica, armónica alternada y 𝑝–serie con 𝑝 = 2. (problema de Basilea),
son unas de las series infinitas más célebres de la matemática. Ellas se usan como ejemplos y contraejemplos para ilustrar la teoría de la convergencia de series. En este artículo, se presentan algunas de las contribuciones de los matemáticos que se dedicaron al estudio de la convergencia de estas tres series; resaltando los aportes de Nicole Oresme, Pietro Mengoli, Nikolaus Mercator y Leonhard Euler.
Palabras clave: Convergencia, serie armónica, serie alternada, 𝑝–serie, problema de Basilea.
Abstract:
The harmonic, alternated harmonic and 𝑝–series with 𝑝=2(Basel problem) series,
are some of the most famous infinite series in mathematics and, they are used as examples and counterexamples to illustrate the theory of convergence of series. In this article some of the contributions of the mathematicians who dedicated themselves to the study of the convergence of these three series are presented. The contributions of Nicole Oresme, Pietro Mengoli, Nikolaus Mercator and Leonhard Euler are highlighted.
Keywords: Convergence, divergence, harmonic series, alternated series, 𝑝–series, Basel proble.
INTRODUCCIÓN
Aunque las definiciones formales de series y series convergente no fueron establecidas hasta después de los trabajos de Augustin Louis Cauchy (1789 – 1857) y Karl Weirstrass (1815 –1897), las series han sido estudiadas desde la antigua civilización griega por matemáticos como Arquímedes de Siracusa (287 ac – 212 ac), quien derivó la identidad elemental 
de la cual se infiere que 
Estos estudios produjeron muchos resultados útiles y, en general, correctos; aunque bajo los estándares modernos sus demostraciones no eran totalmente satisfactorias.
El primer obstáculo que enfrentaban los matemáticos al estudiar las series numéricas era determinar la convergencia o divergencia de la serie numérica y, el segundo obstáculo era determinar la suma total (o límite) de la serie convergente. Aunque muchos resultados, sobre series numéricas particulares, se lograron sin probar primeramente que la serie era convergente.
Además de las series geométricas, se estudiaron muchas series numéricas interesantes. Por ejemplo, Gottfried Wilhelm Leibniz (1646 – 1716) estudió la serie de los recíprocos de los números triangulares 
la cual es una serie telescópica, ya que 
Por lo tanto 
De igual manera, Leibniz obtuvo la suma de la serie de los recíprocos de los números piramidales 
El objetivo de este trabajo es presentar las contribuciones de los matemáticos, a través de la historia, de tres series numéricas que jugaron un papel preponderante en el desarrollo y evolución del cálculo diferencial e integral y, en el nacimiento del análisis real. Estas series son la serie armónica, la serie armónica alternada y la 𝑝–serie con 𝑝 = 2 (conocida como el problema de Basilea)
MATERIALES Y MÉTODOS
Para lograr el objetivo planteado en este trabajo se toman las tres series 
Se presentarán varias demostraciones de que la serie armónica
es divergente, a pesar de que
. Posteriormente, se presentarán varias contribuciones de matemáticos probando que la serie armónica alternada
es convergente y, se calcula su suma total. Finalmente, se presenta la historia de la 𝑝–serie
, así como alguna demostración de que su suma total es ; usando tanto técnicas antiguas como técnicas modernas.
La Serie Armónica 
Como la serie
es divergente, la serie armónica es divergente.
En 1650, el matemático italiano Pietro Mengoli (1626 – 1686) en su obra Novae quadraturae arithmeticae seu de additione fractionum, presentó una demostración sobre la divergencia de la serie armónica, basado en la siguiente desigualdad (Bell, 2018) 
Su método consistía en agrupar los términos de la serie armónica en bloques de tres y, aplicar la desigualdad anterior. 
Si tomamos 
Entonces se tiene que 𝑆 > 1 + 𝑆
Aplicando esta desigualdad repetidamente se obtiene que 𝑆 > 1 + 𝑆 > 2 + 𝑆 > 3 + 𝑆 > 4 + 𝑆 > ⋯
Por consiguiente 𝑆 > 1, 𝑆 > 2, 𝑆 > 3, 𝑆 > 4, … y la serie armónica es convergente.
Una demostración similar a la de Mengoli es agrupar los términos de la serie armónica en bloques de dos y aplicar la desigualdad
o sea
con lo que se concluye que la serie armónica es divergente.
Similar a esta demostración, se obtiene la siguiente demostración, suponiendo que la serie armónica es convergente con suma 𝑆
. Con la contradicción 𝑆>𝑆 se concluye que la serie armónica es divergente.
Haciendo uso de las propiedades de las integrales impropias y el teorema de la convergencia dominada se pueden justificar los pasos de la siguiente demostración, que no es totalmente rigurosa 
Haciendo uso del cambio de variable 𝑡 = 𝑒𝑥, se obtiene la siguiente demostración equivalente a la anterior 
Como
se tiene que 
La siguiente demostración hace uso de las propiedades de los logaritmos, las series telescópicas y la desigualdad 𝑥 ≥ 𝑙𝑛(1 + 𝑥) , para todo 𝑥 > −1.
En efecto, 
El uso de la desigualdad 𝑥 ≥ 𝑙𝑛(1 + 𝑥) en la demostración anterior se puede evitar, usando el criterio de comparación por límite con la serie telescópica divergente
.
En efectos, por la regla de L’ Hopital, 
Luego como la serie
es divergente, por el criterio de comparación por límite, ls serie armónica
es divergente.
Esta última demostración hace uso de la integral de Riemann y del cálculo de área bajo una curva. En efecto considere la función 𝑦 = 𝑓(𝑥) =. 
De la figura se tiene que 
Denote por 𝐻𝑛 la n–ésima suma parcial de la serie armónica
y considere la sucesión
, donde 
Haciendo uso repetido de la desigualdad anterior, se obtiene 
De donde 
Esto implica que 
Por consiguiente, la sucesión
no es de Cauchy y, por ende, es divergente. Así, la serie armónica 
La Serie Armónica Alternada 
La serie armónica alternada o serie de Mercator (también llamada serie de Newton – Mercator) es la expansión en serie de potencias de la función 𝑓(𝑥) = 𝑙𝑛(1 + 𝑥) 
La cual fue publicada por primera vez por el matemático alemán Nikolaus Mercator (1620 –1687) en su libro Logarithmotechnia publicado en 1668. Aquí Mercator encuentra su famosa serie para el área bajo la hipérbola
sobre el intervalo [0,𝑥]. Él comienza calculando a través de la división de la serie geométrica 
Aunque Mercator no integró término a término, haciendo las justificaciones adecuadas, se obtiene 
Por lo tanto 
Tomando 𝑥 = 0, se tiene que 𝑐 = 0. Así 
Observe que por el criterio de las series alternadas de Gottfried Leibniz (1646 – 1716), se sabe que la serie armónica alternada es convergente. Luego, tomando 𝑥 = 1se obtiene 
Note que 
Finalmente, usando su fórmula de transmutación, Leibniz (Edward, 1994), (Dunham, 2018), (Komornik, 2022) probó que 
Dividiendo ambos miembros por 2, Leibniz obtuvo 

Además, 
La P – Serie
(El problema de Basilea)
A través de los siglos XVIII y XIX, las academias científicas propusieron premios a la solución de problemas, con el fin de guiar la investigación científica. En los principios del tiempo de Leonhard Euler (1707 – 1783), había sólo unos cuantos problemas grandes esperando ser resueltos. Los teoremas de Fermat no eran tomados muy en serio para esos tiempos, ya que sólo tenían pocas décadas de antigüedad. Euler, sin embargo, resolvió la mayoría de ellos y presentó solución parcial a el último teorema de Fermat para los casos 𝑛 = 3y 𝑛 = 4. (Dunham, 1999), (Dunham, 2007).
El premio más grande permanecía para el problema de Basilea, que consistía en calcular la suma de los recíprocos de los cuadrados de los números naturales; esto es, 
Este problema fue propuesto por Pietro Mengoli en 1650 en su obra Novae quadraturae arithmeticae seu de additione fractionum y, resuelto por Euler en 1734 donde probó (Hassler, 2022), 
Veamos primeramente la convergencia de la serie En efecto, para todo número natural 𝑛 se tiene que 2𝑛2≥𝑛2+𝑛=𝑛(𝑛+1)
Por lo tanto, 
Ahora bien, 
Luego por el criterio de comparación directa, se tiene que la serie
es convergente.
Euler se interesó en el problema de Basilea y en 1734 anuncia que lo había resuelto; sin embargo, por las críticas de los matemáticos de su época, Euler se vio obligado a presentar varias demostraciones de este problema. (Dunham, 2007), (Dunham, 2018).
En la siguiente demostración del problema de Basilea, Euler hace uso de las dos representaciones de la función seno. (Edward, 1994) 
Como
y 
Se tiene que 
Por lo tanto 
En 1735 Euler, presentó una demostración del problema de Basilea, usando herramientas no más controversiales que la integración por partes, el teorema del binomio y relaciones recursivas simples (Kalman, 1993).
Euler comienza la demostración considerando un círculo de radio 1, tomando 𝑠 como la longitud de arco y 𝑥 = 𝑠𝑒𝑛 𝑠, o sea 𝑠 = 𝑠𝑒𝑛−1 𝑥. Luego, 
Multiplicando estos dos valores obtiene 
Por el teorema del binomio se tiene que 
De donde 
Por consiguiente 
Posteriormente, Euler integra ambos lados desde 𝑥 = 0 hasta 𝑥 = 1. Esto implica que 𝑠 varía desde 𝑠 = 0 hasta , es decir 
Integrando un término arbitrario, usando integración por partes, Euler obtiene 
De donde,
y 
Así, Euler obtiene 
Así pues 
Finalmente, como la serie
es absolutamente convergente, se tiene que 
De donde
y 
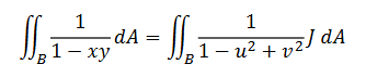
En 1983, Tom Apostol presenta la siguiente demostración del problema de Basilea (Apostol, 1983). Como
se tiene que 
Por otro lado,
donde 𝐵={(𝑥,𝑦)∈ℝ2:0≤𝑥≤1,0≤𝑦≤1}. Introduciendo el cambio de variables
simplemente se obtiene una rotación de los ejes coordenados
donde el jocabiano 
Luego, por simetría
donde 
Tomando el cambio de variable 𝑢 = 𝑠𝑒𝑛 𝜃, se obtiene 

Tomando el cambio de variable 𝑢 = 𝑐𝑜𝑠 2 𝜃, se obtiene 
Por consiguiente,
o sea
y 
Otra forma de probar el problema de Basilea usando integrales dobles es probar que (Kalman, 1993)
y utilizando el cambio de variable
probar que
donde 
Así 
Por consiguiente, 
La siguiente y última demostración hace uso de las siguientes identidades (Russel,1999) 
Denote 
Luego 
Por otro lado, como
se tiene que 
Integrando
De donde 
Así pues, 
Por consiguiente 
Pero como 𝐼 es un número real, se tiene que
o sea 
Note que se ha probado que 
CONCLUSIONES
es divergente, a pesar de que
. De esto se deduce que la condición
es necesaria, pero no suficiente, para que la serie
sea convergente.
es divergente, existen muchas otras demostraciones, utilizando diversas herramientas y técnicas matemáticas.
es convergente y que converge a 𝑙𝑛2; sin embargo, ella no es absolutamente converge, o sea que ella es condicionalmente convergente. Esto implica si se reordenan los términos de la serie armónica alternada, este resultado puede cambiar.
fue Euler 1734, el cual, utilizando varias técnicas, probó que
. Euler también probó que 
. La ecuación
relaciona el problema de Basilea con la serie de Leibniz (Komornik, 2022).REFERENCIAS BIBLIOGRÁFICAS
Apostol, T. M. (1983). A Proof that Euler Missed, Evaluating ζ (2) the Easy Way. The Mathematical Intelligencer. 5(3). 59-60.
Bell, J. y. Blasjo, V. (2018). Pietro Mengoli's 1650 Proof that the Harmonic Series Diverges. Mathematics Magazine. 91(5). 341-347.
Dunham. W. (1999). Euler: The Master of Us All. The American Mathematical Society.
Dunham. W. (2007). The Genius of Euler: Reflections on his life and work. The Mathematical Association of American.
Dunham, W. (2018). The Calculus Gallery: Masterpieces from Newton to Lebesgue. Princeton University Press.
Edward, C. H. (1994). The Historical Dvelopment of the calculus. Springer.
Hassler, U. y Hossein Kouchack, M. (2022). Basel Problem: Historical perspective and futher proofs from stochastic processes. Euleriana. 2(2). 120 -130.
Kalman, D. (1993). Six Ways to Sum a Series. The College Mathematics Jounal. 24(5). 402- 421.
Komornik, V. (2022). A "Luminous" Solution to the Basel Problem. Mathematics Magazine:
Komornik, V. y Schafke, R. (2021). Leibniz, Newton, and Cauchy; A Complex Relationship. The American Mathematical Monthly. 128(4). 367-369.
Russell, D.C. (1991). Another Eulerian-Type Proof. Mathematics Magazine. 64(5). 349-349.

