Abstract: Conyza genus includes herbs of ruderal habit, also referred to as weeds in pastures, perennial crops, and no-tillage crops. The unsuitable use of herbicides, the incorrect identification of species, and the lack of monitoring, among others, explain the fact that Conyza species have become a growing problem in production systems under no-tillage. Therefore, the knowledge of the biology and the adaptive response to diverse cultural practices is paramount. Two of the most important characteristics to establish management guidelines are the height and growth stages of these species since their herbicide sensitivity has been associated with these characteristics. The objective of this study was to analyze the results that affect the reproductive success (germination %, fecundity), and the most effective weed control time (height and determination of the phenological stages) of Conyza blakei, C. bonariensis, C. lorentzii, and C. sumatrensis. Trials were conducted at the Agricultural Experimental Station of Balcarce, inta, Argentina. We analyzed 35 individuals of each species. The germination percentage presented significant differences, being C. sumatrensis the species with the highest number of emerged seedlings. The phenological stages also showed differences, being C. bonariensis the species that began to elongate the stem earliest, the first in flowering, and that had the greatest fecundity. The senescence of the 4 species occurred within the first year of growth. The species with greater reproductive success would be C. bonariensis and C. sumatrensis, the first requiring earlier control practices.
Keywords: weeds, stage of development, germination, fecundity, cycle.
Resumen: El género Conyza incluye hierbas de hábito ruderal, también citadas como malezas en pasturas, cultivos perennes y cultivos sin labranza. El uso inadecuado de herbicidas, la incorrecta identificación de especies y la falta de monitoreo, entre otros, explican el hecho de que las especies de «rama negra» se hayan convertido en un problema creciente en sistemas de producción bajo siembra directa. Por lo tanto, resulta primordial el conocimiento de su biología y la repuesta adaptativa a diversas prácticas culturales. Dos de las características más importantes para establecer pautas de manejo son la altura y estado de desarrollo fenológico, ya que la sensibilidad a herbicidas está ligada a dichos caracteres. Se planteó como objetivo analizar parámetros que afecten el éxito reproductivo (% de germinación, fecundidad) y el momento óptimo de control (altura y determinación de las etapas fenológicas) de Conyza blakei, C. bonariensis, C. lorentzii y C. sumatrensis. Los ensayos se realizaron en la Estación Experimental Agropecuaria de Balcarce, inta, Argentina. Se analizaron 35 individuos de cada especie. El porcentaje de germinación presentó diferencias significativas, C. sumatrensis fue la especie con mayor cantidad de plantas emergidas. Las etapas fenológicas también mostraron diferencias, C. bonariensis fue la especie que comenzó a elongar el tallo en forma más temprana, y la primera en llegar a floración, presentando también la mayor fecundidad. La senescencia de las 4 especies se produjo dentro del primer año de crecimiento. Las especies con mayor éxito reproductivo fueron C. bonariensis y C. sumatrensis, requiriendo la primera controles más tempranos.
Palabras clave: malezas, estadios de desarrollo, germinación, fecundidad, ciclo.
Resumo: O gênero Conyza inclui ervas de hábito ruderal, também citadas como ervas daninhas em pastagens, culturas perenes e culturas sem lavoura. O uso indevido de herbicidas, a identificação incorreta de espécies e a falta de monitoramento, entre outros, explicam o fato de que espécies de "rama negra" se tornaram um problema crescente em sistemas de produção sob semeadura direta. Portanto, o conhecimento de sua biologia e a resposta adaptativa a várias práticas culturais são essenciais. Duas das características mais importantes para o estabelecimento de diretrizes de manejo são altura e estágio do desenvolvimento fenológico, uma vez que a sensibilidade aos herbicidas está ligada a essas características. O objetivo foi analisar parâmetros que afetam o sucesso reprodutivo (% de germinação, fertilidade) e o momento ótimo de controle (altura e determinação dos estágios fenológicos) de Conyza blakei, C. bonariensis, C. lorentzii e C. sumatrensis. Os testes foram realizados na Estação Experimental Agrícola de Balcarce, (INTA), Argentina. Foram analisados 35 indivíduos de cada espécie. A porcentagem de germinação apresentou diferenças significativas, C. sumatrensis foi a espécie com maior número de plantas emergidas. Os estágios fenológicos também apresentaram diferenças, C. bonariensis foi a espécie que começou a alongar o caule mais cedo e a primeira a atingir a floração, apresentando também a maior fertilidade. A senescência das 4 espécies ocorreu dentro do primeiro ano de crescimento. As espécies com maior sucesso reprodutivo foram C. bonariensis e C. sumatrensis, os primeiros controles que exigiram o primeiro.
Palavras-chave: ciclo, estágios de desenvolvimento, fertilidade, germinação, plantas daninhas.
Plant Biology
Analysis of the agronomic interest characteristics for the management of Conyza blakei, Conyza bonariensis, Conyza sumatrensis, and Conyza lorentzii
Análisis de caracteres de interés agronómico para el manejo de Conyza blakei, Conyza bonariensis, Conyza sumatrensis y Conyza lorentzii
Análise de características de interesse agronômico para o manejo de Conyza blakei, Conyza bonariensis, Conyza sumatrensis e Conyza lorentzii
Received: 11 December 2018
Accepted: 12 August 2019
Published: 29 April 2020
Corresponding author: diezdeulzurrun.p@inta.gob.ar
The genus Conyza Less. belongs to the Asteraceae or Compositae family, it consists of approximately 100 species and its origin is the American continent(1). It includes annual/biennial and perennial species that are distributed in temperate and subtropical areas(2)(3). They have ruderal habits, of primary succession(4) and usually grow in vacant lots, roadsides and railroads. They have also been cited as weeds in pastures and perennial crops, adapting to these little disturbed environments since they are sensitive to soil removal(5). These species were introduced on several continents with a wide distribution in Europe, Australia, Africa and Asia(3).
The Conyza species are herbs with simple stems or branched from the base, alternate and sessile leaves, of variable margin, from whole to pinnatisect. The generally pedunculated capitulums are arranged on their own or in secondary inflorescences, they have compressed, glabrous or laxly sericeous achenes with papus formed by a series of sub-equal scabrous bristles(6)(7).
Twenty-three species of Conyza have been identified in Argentina, which are commonly known as rama negra, mata negra or carnicera, among others(1)(8). In the province of Buenos Aires, 9 species were cited: C. blakei (Cabrera) Cabrera; C. bonariensis (L.) Cronquist; C. laevigata (Rich.) Pruski; C. lorentzii Griseb.; C. monorchis (Griseb.) Cabrera; C. pampeana (Parodi) Cabrera; C. primulifolia (Lam.) Cuatrec. & Lourteig; C. serrana Cabrera and C. sumatrensis (Retz.)(7).
The Conyza species are annual, although they can behave as biennials, depending on the characteristics of the environment. Most seeds germinate during fall, however, the emergence period extends until the end of spring, so the emergence is staggered in this period(9). Various studies in Argentina have demonstrated the existence of two emergence periods for these species, early fall and early spring(5)(9)(10)(11). Cardinal germination temperatures (base, optimal and maximum temperature) are unknown in most species of the genus Conyza(12). In C. albida, C. bonariensis and C. Canadians, germination was registered in a temperature range of 10-25 °C, with the optimum temperature being close to 20 °C in C. bonariensis(12)(13). Seedlings that emerge in the fall and vegetate during the winter months at the rosette stage bear fruit towards the end of spring in response to the photoperiod, elongating the flower stem (a state known as bolting)(14). In C. bonariensis and C. canadensis, the stem elongation and the beginning of flowering respond to the photoperiod, taking place in fewer days under long-day conditions(13). Flowering induction can take 14 to 22 weeks, depending on the time of germination, so plants that emerge in autumn require more days than those of spring emergence(15).
Species of the genus Conyza are considered highly invasive weeds due to their ability to colonize different environments(16). Although there are several species in the afore mentioned genus, not all of them behave like weeds in crops, nor do they cause the same loss level(5)(17). At world level, they are considered as weeds in more than 40 crops from 70 countries(3)(16)(17). The most outstanding species as harmful plants worldwide, both in annual and perennial crops, are Conyza bonariensis and C. canadensis (L.) Cronquist(18). The first is native to South America and is abundantly present in Argentina, Brazil, Paraguay, and Uruguay. It is also found in Colombia and Venezuela(19). While Conyza canadensis is native to North America and is present on all continents except the Antarctic(18).
They have been cited as weeds in grazing systems, as well as in extensive crops, including corn, soybeans, sorghum, cotton, chickpea, wheat and alfalfa(20). They were also reported infesting perennial crops, adapting very well to these little disturbed environments(5)(21). Their presence is also important in fallows, since they use the water stored in the soil during this period, causing more damage to the crop(22). On the other hand, in Argentina before the eighties, the “black branch” species were only problematic in pastures, since conventional tillage was used in areas with intensive and extensive cultivation not allowing them to prosper(23).
Certain characteristics such as high fecundity, small seed size, and anemophilous dispersion, among others, have favored its implantation in minimum tillage systems(24). Thus, they become very important as weeds in fallow and annual crops under Direct Sowing systems (ds)(3). In Argentina, around 90% of the cultivated soybean surface is carried out under ds, and in the last campaigns, the “hairy fleabane” species were the most important weeds of the crop(23). The presence of weeds in the crop causes yield decreases mainly due to competition for water, light, and nutrients. Also, they can cause a decrease in grain quality and an increase in the costs of harvest(25).
Bedmar and others(26) observed losses that oscillated between 20% of the yield with densities of 5-10 plants/m2, and 90% with densities greater than 60 plants/m2 in soybean crops in the southeast of Buenos Aires with the presence of Conyza. Likewise, internationally, yield decreases that range between 22 and 83% have been reported in soybean crops, depending on the level of infestation(25)(27).
Herbicide modes of action used for Conyza control include glycins (glyphosate), hormonal (2,4-D> fluroxipir> dicamba> picloram), triazines (atrazine, promethrin, and metribuzin), inhibitors of als enzyme (metsulfuron, chlorimuron), among others, which in many cases are used in mixtures to improve their action(11)(12)(24). In addition, there are effective non-chemical methods for controlling species of the genus Conyza, such as tillage and the use of grass coverings(5)(28).
The sensitivity of “black branch” to different herbicide modes of action is conditioned by the plant size, dose, time of application and species. Therefore, the opportunity for treatment is key in the efficient and effective management of this weed(29). Chemical control is most effective in the early rosette stage(20). In other words, as plant height increases, chemical control decreases, whatever the mode of action used. The inflection point for this fall seems to be 15 cm of height, coinciding with the shift from vegetative to reproductive state (stem elongation)(5). One of the possible causes would be the greater accumulation of biomass in roots, which provides the plant with reserve energy for subsequent regrowth after chemical control(5).
Several factors, such as the inappropriate use of herbicides, the incorrect identification of species and the lack of monitoring, among others, explain why the species of “black branch” have become a growing problem in production systems under ds. Therefore, knowledge of its biology and the adaptive response to various cultural practices, such as crop rotation or increased management intensity, is essential(17)(30). For this reason, the objective was to analyze parameters that affect the reproductive success (germination %, fecundity), and the optimal moment of control (height and determination of phenological stages) of Conyza blakei, C. bonariensis, C. lorentzii and C. sumatrensis.
The analyzed species were Conyza blakei, C. bonariensis, C. lorentzii and C. sumatrensis. Their identification was conducted using the keys of the Flora of the Province of Buenos Aires(6), the Prodrome of the Phanerogamic Flora of Central Argentina(31), and the Vascular Flora of the Republic of Argentina(7). The seeds were harvested manually during December-January-February 2014/2015 in a ruderal environment within the premises of the Agricultural Experiment Station (AES) inta, Balcarce (37° 45' S; 58° 18' W). The seeds were kept at room temperature (18-20 °C) until sowing, which took place on May 5, 2015. For this, 3-liter black polypropylene pots were used, with a mixture of 4 parts of soil and 1 part of sand as a substrate, covering the surface with 5 cm of sterile soil to prevent germination of other species. They were kept outdoors and watered periodically to keep them in optimal humidity conditions. Thirty-five individuals in pots according to a randomized complete block design (rcbd) were analyzed for each species. In turn, a growth chamber test was carried out to determine the germination percentage in the 4 species. One-hundred seeds were placed in Petri dishes, making 3 repetitions for each one, and kept in a growth chamber at 22-25 °C, and with a photoperiod of 12 h of light(32). The number of emerged plants was counted at 7, 14 and 21 days after sowing. Germination was evaluated for 21 days since staggered germination has been reported for these species.
Observations were made on each population every 2/3 weeks to record the beginning of the different phenological stages (emergence-rosette stage-elongation-flowering-senescence), which were established when half of the plants analyzed reached this stage.
At the end of each phenological stage, the accumulated thermal time was calculated (thermal time = average daily temperature - base temperature), using as the base development temperature that quoted for C. bonariensis (4.2 °C)(12). Temperature and rainfall records of the meteorological station of the aes inta Balcarce were collected.
The plants' height was measured (from the base to their apex) on three sampling dates (09/12/2015, 12/01/2016, 02/02/2016).
The “number of capitulums/plant” and the “number of achenes/capitulum” were quantified to calculate the fecundity of the species with the following formula:
fecundity = No. of capitulums* (No. of achenes/capitulum)
Characters with a high level of significance were analyzed using univariate statistical programs (anova) and the means were compared with the least significant difference test (lsd) (p<0.05). For data analysis, infostat statistical software(33) was used.
The germination percentage presented significant differences between the evaluated Conyza species, at the different sampling dates. The species with the highest germination percentage at 21 days was C. sumatrensis (55%), in second place C. bonariensis and C. lorentzii with very similar behavior (44 and 43.5% respectively). Lastly, C. blakei was the one with the lowest germination percentage (31.6%). In general, the number of emerged plants increased with the number of days (Figure 1). The determination of the germination percentage will provide vital information to explain the invasion of these species in different environments. Thus, complementary studies of the viability and dynamics of seed emergence together with the competitive ability of the species could explain the differences registered on presence and abundance of the different species in different environments(34).

Nandula and others(35) obtained 61% germination in the species C. canadensis with a thermal alternation of 24/20 °C and 13 hours of light. Meanwhile, Yamashita and Guimaraes(36) reported 90-93% germination in C. canadensis and 78-82% in C. bonariensis with a temperature of 25 °C and a photoperiod of 12 hours of light. Hao and others(37) studied the germination percentage under different pollination treatments in the species C. sumatrensis (cross-pollination, self-pollination in the same section and self-pollination with the same individual), resulting in more than 90% germination, in all cases. The values cited in the bibliography are higher than those obtained for C. bonariensis and C. sumatrensis in the present study, while there are no references for the other studied species. The seeds used in the experiment were collected in the field, so they could have suffered stress that limits their germination and/or present some type of dormancy. However, it would provide information about the behavior of the species in coincidence with the first germination flow registered in the field in the evaluated area.
The emergence of the species of Conyza in the field was studied in the southeast of Buenos Aires, establishing 70% of emergence in the months of April and May. During the spring, a second emergence peak occurred, not exceeding 20% of the total emergence(9).
The height of the four Conyza species showed significant differences in the different dates evaluated (Figure 2). Conyza bonariensis was the species that began the stem elongation earlier, reaching 65 cm of final height. Meanwhile, C. sumatrensis and C. lorentzii began to elongate in mid-November, reaching, however, the highest final height (80 and 76 cm, respectively). While C. blakei with 59 cm was the species with the lowest final height and the slowest growth. These data do not agree with the final height cited in the bibliography, being C. sumatrensis the species with the highest height at 150-200 cm, followed by C. bonariensis (100 cm), C. blakei (80 cm) and finally C. lorentzii (60 cm)(7). Metzler, Puricelli, and Papa(5) recorded a maximum height of 120 cm in C. bonariensis, and of 200 cm in C. sumatrensis. The values cited are higher than those recorded in the present study, where the pot capacity could have limited this variable.

The Conyza height is very important when establishing management guidelines, since their sensitivity to herbicides is closely linked to this character, in accordance with the transition from vegetative to the reproductive stage and the stem elongation. It has been proved in various tests that once the rosette stage has passed, the plant becomes more tolerant to chemical treatments; this coincides with a height of 15 cm or more, when herbicide controls become difficult, losing efficacy(23).
Consequently, C. bonariensis would be the species that requires earlier control, since at the end of October (TT = 1300 °C) it was reaching 15 cm in height. Species C. sumatrensis and C. lorentzii showed an intermediate response, reaching that height on November 7-10 (TT = 1400/1446 °C respectively), while C. blakei was the latest (December 5-10, TT = 1800 °C). The species evaluated in the present study colonize different environments, thus, C. sumatrensis is mainly present in soybean crops, fallows, and ruderal environments, while C. bonariensis and C. blakei invade pastures, being C. lorentzii a more ruderal species(34). The thermal time accumulated in each stage is relevant to design management strategies by environment, according to the predominant species. In this way, for example, if control is required in a pasture environment, it should be carried out earlier compared to that required in a soybean crop, since in the first one it is C. bonariensis the predominant species, while in soybean C. sumatrensis was registered as the predominant species(34).
The first species to flower was C. bonariensis, reaching this state on November 20 (27 weeks after germination, TT = 1586 °C) (Figure 3). Secondly, the flowering of C. blakei was recorded on January 27 (37 weeks after germination, TT = 2747 °C). Finally, during the month of February, the species C. sumatrensis and C. lorentzii started flowering on February 10 and 18, respectively (39 and 40 weeks after germination, TT = 2997/3151 °C respectively). Zinzolker and others(13) analyzed the phenology in C. bonariensis and C. canadensis, recording that stem elongation and the beginning of flowering occurred in fewer days under long-day conditions. It was recorded that in optimal thermo-period conditions (27-22 °C) C. bonariensis takes 11 weeks to lengthen the stem and an additional 3 weeks to flower(16). In this case, the accumulated thermal time is around 1960 °C ((24.2-4.2) * 14 weeks * 7 days), similar to that recorded in this study. During the 2014-2015 campaign, the flowering date of the four species of Conyza analyzed in the present study(34) was recorded in the town of Balcarce (average annual temperature 13.3 °C). In this study, the earliest flowering species was C. bonariensis (December 10-15), which also had a longer flowering period, extending until April. Conyza sumatrensis and C. blakei began flowering two months after the previous one (February 10-15), while C. lorentzii was the last recorded species, February 20. Although the dates were similar for C. sumatrensis and C. lorentzii, they differed for C. bonariensis and C. blakei, being earlier in the year 2015-2016 and under the study conditions. Metzler, Puricelli, and Papa(5) recorded in Parana (average annual temperature 18.2 ºC), Entre Rios, the flowering of C. bonariensis in mid-October and C. sumatrensis at the end of January. The later flowering in southeast Buenos Aires could be due to the lower temperature compared to the province of Entre Rios.

The senescence of the 4 species occurred within the first year of growth, behaving like annual species. The senescence of C. sumatrensis and C. blakei occurred during the first week of April 2016 (TT = 3800 °C), being the last week of May of the same year for C. bonariensis and C. lorentzii (TT = 4250 °C). Although all species are referred to as annual in the bibliography, it is known that depending on the time of emergence they can behave as biennials when they emerge during spring(17)(21)(23).
In addition, the accumulated thermal time was calculated for the 4 species of Conyza at the end of each phenological stage (Table 1). Such data will be very useful to consider the duration of each stage in different geographical areas.

The number of capitulums per plant presented significant differences in the different species of Conyza analyzed. The highest production of capitulums was observed in C. lorentzii and C. blakei, with an average number of 1,202 and 1,056 capitulums per plant, respectively. C. sumatrensis and C. bonariensis showed significant differences (α = 0.05) with the previous group with 529 and 415 chapters, respectively (Figure 4).

The maximum number of capitulums per plant found in C. bonariensis matches the 400 capitulums/plant recorded by Wu and others(12) under laboratory conditions. Yet, it is higher than those recorded by Kempen and Graf(38), and Green and others(20), who reported an average of 290 and 232 capitulums/plant, respectively. Zambrano Navea(21) registered the number of capitulums in C. bonariensis for different cohorts, born in the field during fall, recording a decrease in the number of sections with the emergence delay (200-83-30 in 2010 and 184-58-38 in 2011-2012), although the number of achenes per section did not show significant differences in the different groups.
The number of achenes per capitulum showed significant differences in the different evaluated species (Figure 5). The behavior of this variable was inverse to that observed in the production of capitulums/plant, being C. bonariensis (276.72 achenes/capitulums) the species that produced the highest number of achenes, second C. sumatrensis (138.3 achenes/capitulum), and finally, C. blakei (66.4 achenes/capitulum) and C. lorentzii (53.04 achenes/capitulum), not showing a significant difference between them.

Diez de Ulzurrun and others(34) determined the number of achenes/capitulum in the same species, under natural conditions, during the 2014-2015 campaign. The species with the highest prolificacy was C. bonariensis (178.5 achenes/capitulum), followed by C. sumatrensis (105.7 achenes /capitulum), C. blakei (73.8 achenes/capitulum) and C. lorentzii (46.9 achenes/capitulum). Although they are slightly lower than those recorded in this study, the decreasing order of the species according to the production of achenes is preserved. Similarly, Urdampilleta and others(1) recorded an average of 83.4 achenes/capitulum in C. blakei, 226.4 achenes/capitulum in C. bonariensis and 142 achenes/capitulum in C. sumatrensis.
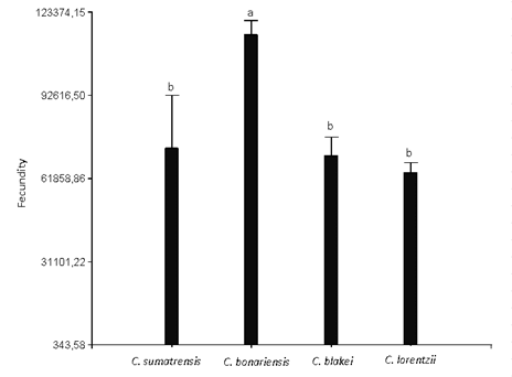
This variable showed significant differences between the 4 Conyza species analyzed, being C. bonariensis the species that showed the highest fecundity, with an average of 114,838.8 achenes/plant, followed in order of importance by C. sumatrensis (73,176.5 achenes/plant), C. blakei (70,139.5 achenes/plant) and C. lorentzii (63,785.9 achenes/plant), these last did not differ significantly between each other (Figure 6). The species with the longest cycle duration were C. bonariensis and C. lorentzii (TT = 4200 °C), however, this longer duration and, consequently, resource uptake was not associated with higher fecundity in the second species.

In Spain, Zambrano Navea(21) recorded early cohorts of C. bonariensis with an average fecundity of 86,066 achenes/plant, which is significantly lower than that recorded in the present study. However, they are similar to those obtained by Wu and others(12) under controlled irrigation and temperature conditions, who recorded 119,100 achenes/ plant. The C. sumatrensis species in field conditions had an average fecundity of 60,000 achenes/plant, being slightly lower than those registered in the present study(37). Moreover, Metzler, Puricelli and Papa(5) estimated in this species a production of 30,000 achenes/plant at low densities. However, Gianelli and others(14) estimated a production of 3,418,293 achenes/plant with a density of 1 plant/m2 in C. sumatrensis, confirming a greater distribution of biomass in terms of allocation to reproduction (biomass of reproductive organs/total biomass) at low densities.
The data recorded in this study, while preliminary, will be of interest in planning environmental management strategies, taking into account the distribution of these species in the southeast. It could also be validated for other zones using the tt required for each species. Furthermore, it will provide valuable information for species C. blakei and C. lorentzii, limited in the national/international literature.
· The germination percentage presented significant differences between species, being Conyza sumatrensis the species with the highest number of births.
· The different phenological stages were established for the four species of Conyza, being C. bonariensis the species with the earliest elongation, the first to reach the reproductive stage and the one with the highest fecundity.
· All species completed the life cycle within one year from germination.
· Under the study conditions, the species with the greatest reproductive success were C. bonariensis and C. sumatrensis, the first requiring earlier controls.
Author
contribution statement: DUP:
design of the experiments, collection of data, analysis of data, writing of the
paper.
AMB:
collection of data, analysis of data.
GME:
collection of data, analysis of data, writing of the paper.
GV:
collection of data, analysis of data, writing of the paper.
Editor: The
following editor approved this article.
Magdalena
Vaio
ORCID: https://orcid.org/0000-0001-8377-6485 Universidad de la República,
Montevideo, Uruguay.
http://agrocienciauruguay.uy/ojs/index.php/agrociencia/article/view/112/283 (pdf)
diezdeulzurrun.p@inta.gob.ar








