Resumen: : Se analizó el estado biológico del poliqueto de importancia comercial Americonuphis reesei en zonas de captura, en periodos de extracción y veda en las playas Pacora y Tres Islas, golfo de Montijo, Panamá. Se recolectaron muestras durante seis meses, tres en periodo de extracción de 2015 y tres en periodo de veda de 2016, durante la marea más baja de sicigia mensual, en tres cuadrantes de 5 x 5 m., paralelo a la línea de agua, capturados con bomba de aire de bicicleta, para analizar la biometría y cálculo de la densidad. La talla y peso en período de extracción fue de 1,06 m y 40,45 g, mientras que en período de veda fue de 0,98 m y 29,0 g respectivamente, la densidad en período de extracción varió de 2,45 a 12,85 ind/.. en Playa Pacora, en período de veda de 0 a 0,05 ind/..en Playa Tres Islas.
Palabras clave: densidad,talla,peso.
Abstract: : The biological status of the commercially important polychaete Americonuphis reesei was analyzed in capture areas, during extraction and closed periods at Pacora and Tres Islas beaches, gulf of Montijo, Panama. Samples were collected for six months, three in the extraction period of 2015 and three in the closed season of 2016, during the lowest monthly syzygy tide, in three quadrants of 5 x 5 m, parallel to the waterline, captured with bicycle air pump, to analyze biometrics and calculate density. The height and weight in the extraction period were 1.06 m and 40.45 g, while in the closed season were 0.98 m and 29.0 g respectively. The density in the extraction period varied from 2.45 to 12.85 ind/..in Playa Pacora, and in the closed period from 0 to 0.05 ind/.. in Playa Tres Islas.
Keywords: density, length, weight.
Relaciones biométricas y sedimentarias de Americonuphis reesei en períodos de extracción y veda, golfo de Montijo, Panamá.
Recepción: 07 Septiembre 2020
Aprobación: 13 Noviembre 2020

El litoral areno-fangoso se puede definir como uno de los sistemas ecológicos marinos con características mixtas de arena y fango. El sustrato arenoso se encuentra en la zona de movimiento activo de las aguas y los fondos fangosos en zonas más tranquilas. Las adaptaciones de los organismos que ahí viven responden a las características mecánicas y a la granulometría e influye en la disposición de los organismos, ya que es un elemento de abrasión y fijación (Villalaz, Vega, Ávila y Gómez, 2002).
Entre los organismos distintivos de los fondos marinos están los poliquetos, macroinvertebrados importantes en el litoral areno-fangoso gracias a su contribución alimentaria para otras especies marinas y complemento dietético de otras de valor comercial que son abundantes y frecuentes en los ambientes litorales; son numéricamente dominantes en la mayoría de los sustratos blandos, colonizan y exhiben una amplia variedad de hábitos (del Pilar Ruso, de la Osa Carretero, Jiménez Casalduero y Sánchez Lizaso, 2011).
El poliqueto Americonuphis reesei se distribuye en diferentes sectores del Pacífico panameño y parece estar relacionado con el tipo de sustrato y el flujo de agua dulce (Spadafora, 1994),
alcanza tallas mayores a un metro, por lo que se le considera uno de los anélidos más grandes del mundo, habita dentro de galerías con tubo principal en forma de U (Rojas y Vargas, 2008),
que sobresalen hasta 12 cm sobre el sustrato (Luna, Villalaz y López, 2001a).
Entre los aspectos relevantes de este poliqueto es su aplicación comercial, debido a que es fuente de prostaglandinas que induce a la maduración gonadal de camarones peneidos (D’Croz, Wong, Justine y Gupta, 1988),
por lo que la extracción comercial inició en Panamá en la década de los setenta, para ser utilizado en la alimentación de camarones reproductores en los laboratorios de producción larvaria (Spadafora, 1994).
Estudios realizados sobre la biología de A. reesei en Panamá se encuentran los reportados por Luna y López (2001a) sobre alimentación y comportamiento en acuario, Luna y López (2001b), Gómez, Herrera, Ríos y Villalaz (2001) y Villalaz, Vega, Ávila y Gómez (2002) en fisiología y bioquímica. Con respecto a la reproducción, morfometría y bioacumulación de metales traza, destacan los estudios de Luna, Villalaz y López (2001a), Luna, Villalaz y López (2001b) y Rodríguez (2017).
El golfo de Montijo es una de las principales zonas de pesca del Pacífico panameño, donde se explota comercialmente: moluscos, peces y crustáceos (Vega, Robles, Jordán y Chang, 2004), además Vega, Robles y Torres (2014) estudiaron las características de captura de A. reesei en dicha zona. A pesar de que este fue ampliamente estudiada en la bahía de Parita (Universidad de Panamá, 1998), no se conocen otros estudios que hagan referencia a la importancia al golfo de Montijo, aun cuando es explotado y comercializado por su gran valor nutricional, en el cultivo de camarón, por lo que en este estudio se pretende determinar las características de talla, peso y densidad de tubos en períodos de extracción y veda, características granulométricas y sedimentológicas en dos zonas de este ecosistema.
El estudio se realizó en las zonas de extracción: playa Pacora, coordenadas UTM 480656.38 m E, 856466.55 m N, playa Tres Islas, coordenadas UTM 492476.78 m E, 856466.55 m N, y golfo de Montijo (figura 1).

Las colectas se realizaron durante los periodos de extracción (noviembre, diciembre y enero de 2015) y periodo de veda (junio, julio y agosto de 2016). En cada área se estableció un transepto paralelo a la línea de marea, durante la sicigia mensual de luna nueva, con 3 cuadrantes de 5 x 5 m, para completar un total de 36 cuadrantes.
En cada zona de extracción se colectaron al azar, 10 organismos enteros mensuales, capturados con el método tradicional de explotación, por medio de bomba de aire de bicicleta, para determinar la talla, con una cinta métrica, fijados en formalina al 10 %, y pesados en una balanza marca Cobos de 0,1 g de precisión.
La densidad de individuos se determinó mediante la metodología establecida por Rojas y Vargas (2008).
En cada área se estimó la densidad a partir del promedio de tres cuadrantes de 25 m2. El número de tubos habitados se confirmó mediante el factor de corrección desarrollado por estos mismos autores.
En cada cuadrante, se colectó una muestra al azar de sedimento, con un barreno cilíndrico de 0,11 m de diámetro interno, el cual se introdujo hasta 0,15 m de profundidad.
El análisis granulométrico se realizó mediante el método de tamizado en seco, con la serie de tamices USSM: 10, 18, 35, 60, 120, 230 y fondo (Suguio, 1973). La estadística gráfica granulométrica se realizó mediante las ecuaciones de Folk y Ward (1957) y los coeficientes de curvatura y uniformidad (Lambe y Whitman, 2004). Los procesos sedimentarios se determinaron mediante el diagrama de Passega (1964).
La determinación de materia orgánica del sedimento se realizó mediante colecta manual con una pala introduciéndola hasta 0,15 m de profundidad; 5 g de cada muestra, se colocaron en el horno a 100 °C por 24 horas, para obtener el peso seco y el porcentaje de humedad. Posteriormente, se tomó 1 g de muestra seca y se incineró en un crisol a 524 °C por 1 hora, en una mufla, para determinar el porcentaje, por la pérdida de peso.
La talla promedio general de A. reesei, fue de 1,0 m. Se determinó que no hay diferencias significativas (U = 1 227,00 p = 0,7016) entre las zonas de colecta, Pacora y Tres Islas.
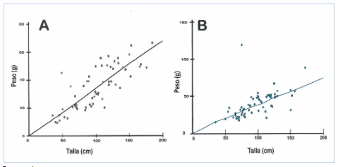
Con relación al periodo de extracción y veda la talla promedio fue de 1,06 m y 0,94 m respectivamente (figura 2A) cuya diferencia resultó ser altamente significativa entre ambos periodos (U = 1 300,50 p = 0,0087). El peso promedio de los poliquetos colectados fue de 35,95 g. No se encontró diferencias significativas entre zonas de colecta (U = 1 580,50 p = 0,2483), no así entre periodos de extracción y veda con 40,45 g y 29,0 g respectivamente, (U= 1 083,50 p = 0,0002). Ver figura 2B.

La relación peso y talla, para el período de extracción (Peso = 0,6491 * Talla0.8852, R2 = 0,4698 p < 0,001) (figura 3A) y para el período de veda (Peso = 0,2957* Talla1,0208, R2 = 0,5753 p < 0,001), (figura 3B).

La densidad total de poliquetos para ambas zonas de colecta fue de 1,23 ind/m2 en playa Pacora y 0,37 ind/m2 para Tres Islas durante el periodo de estudio. En el periodo de extracción, playa Pacora presentó una densidad entre 2,45 y 12,85 ind/m2, mientras que en Tres Islas varió entre 0 a 1,72 ind/m2. Para el periodo de veda la densidad en playa Pacora fue de 0,52 a 1,68 ind/m2 y para Tres Islas 0 a 0,05 ind/m2. Existe diferencia significativa de la densidad entre períodos (U = 94,50 p = 0,0327).
La granulometría media en el periodo de extracción fue de Mz de 1,20 φ, arena media, y de 0,77 φ, arena gruesa, en el período de veda.
Para el periodo de extracción, a pesar de que la granulometría media no es diferente entre playas, el diagrama ternario de Shepard muestra que playa Pacora presenta sedimento arenoso, mientras que playa Tres Islas el sedimento es areno gravoso, (figura 4).

Durante el periodo de veda ambas zonas presentaron valores diferentes granulométricamente, ya que playa Pacora se caracterizó por ser arena gruesa a arena media (Mz: 0,41 a 1,73 φ), mientras que en playa Tres Islas predominó la arena media (Mz: 0,92 a 1,23 φ), el análisis multidimensional no métrico de las características sedimentológicas y granulométricas indicó que ambos periodos son diferentes, especialmente por alta variabilidad en Tres Islas en el periodo de veda (figura 5).

Las características sedimentológicas que explican la variabilidad de la zona, de acuerdo con el análisis de componentes principales son el coeficiente de uniformidad (Cu) y las variables de Passega: (C) que representa la competencia del medio de transporte y (M), la energía cinética media del transporte, las otras variables no muestran ser importantes en la descripción granulométrica, (figura 6).

Por otro lado, no existe relación de la densidad con ninguna variable granulométrica ni sedimentológica, con excepción de la C de Passega, R2 = 0,2152 p = 0,0043).
La materia orgánica en el sedimento durante el periodo de extracción, promedio, fue de 4,18 % ± 1,61 %, mientras que en periodo de veda la media fue de 3,93 % ± 1,43 %. No hay diferencia significativa de la materia orgánica entre periodos (t = 0,4842 p = 0,3157).
El porcentaje de humedad en el periodo de extracción fue de 30,30 % ± 3,62 %, mientras que en el periodo de veda fue de 27,84 % ± 8,09 %. No hay diferencia significativa del porcentaje de humedad retenido en el sustrato (U = 114,0 p = 0,1289).
Mediante la prueba de correlación de Spearman se confirmó que la única variable granulométricas que se correlacionó con la densidad fue la grava; además, se encontró correlación inversa entre materia orgánica y arena media (r = -0,049 p = 0,0132) y correlación directa entre humedad y arena muy fina (r = 0,3589 p = 0,0315).
La talla promedio registrada del poliqueto A. reesei en el presente estudio es de 1,0 m, y varió de 1,08 m en el periodo de extracción y 0,91 m en el período de veda, este valor es superior al registrado por Vega et al. (2014), para esta misma zona, donde señalan un promedio de 0,72 m.
Estudio realizado en la playa El Agallito, Chitré, reporta frecuencias de talla entre 1,15 m y 1,50 m, mientras que, en la playa El Salado, Aguadulce, varía entre 1,05 m y 1,25 m. (Luna, Villalaz y López, 2001b), valores semejantes a los reportados en este estudio.
Las poblaciones de tallas mayores de A. reesei, sometidas a presión de captura tienden a disminuir, incluso desaparecer por convertirse en un atractivo para los extractores (Vega, Robles y Torres, 2014).
La talla registrada en el presente estudio es similar a la reportada por Rojas y Fournier (1999) en Costa Rica, quienes señalan un promedio de 0,83 m, con un ámbito entre 0,6 y 1,2 m. Meglitsch (1972) explica que las mediciones en poliquetos son variables, debido a la elongación del cuerpo, además de la regeneración de los metámeros posteriores.
Estudio realizado por Andrade, Charzeddine, De La Cruz, Heymans, Ganuza et al. (1999), reportan que el poliqueto Americonuphis magna, presenta tallas entre 0,65 y 0,70 m. Estos mismos autores indican que la composición por tallas de una población es de gran utilidad, para demostrar si la población está integrada por individuos jóvenes, o por el contrario, si lo es por ejemplares maduros.
Con respecto al peso de A. reesei, presenta un promedio de 35,5 g, parecido al registrado por Vega, Robles y Torres (2014) el cual fue de 32,2 g. Sin embargo, Rojas y Vargas (2008) reportan pesos entre 50 g a 70 g. Por otro lado, el estudio de A. magna, en Venezuela de Andrade, Charzeddine, De La Cruz, Heymans y Ganuza et al. (1999) registra pesos de 0,91 a 120,50 g.
Las zonas de extracción de Pacora y Tres Islas presentan organismos estadísticamente semejantes en cuanto a la talla y peso, lo que trae como consecuencia que los colectores pueden optar por la zona más accesible para la extracción de A. reesei.
La relación talla – peso resulta ser geométrica e isométrica negativa, lo cual difiere de lo reportado en el Informe Técnico sobre el estudio de A. reesei (Universidad de Panamá 1998), quienes presentan relación exponencial en la Bahía de Parita, tanto para la playa El Salado, como para El Agallito, probablemente por el mayor ámbito de tallas en dicho estudio.
La densidad de individuos promedio registrada en las zonas de estudio es semejante a la reportada por Vega, Robles y Torres (2014) e inferior a la reportada por Rojas y Vargas (2008) en el golfo de Nicoya, Costa Rica, de 9,3 ind/m2, donde señalan que A. reesei es una de las especies mayor concentración de biomasa por unidad de área.
Por otro lado, la densidad observada en playa Pacora en período de extracción es superior a lo encontrado en Tres Islas, variación que reafirma lo reportado en el presente estudio, donde la diferencia de densidad entre períodos es significativa.
La composición granulométrica para playa Pacora es arenosa, mientras que playa Tres Islas es areno-gravosa. Estos resultados son diferentes a los encontrados por Villalaz, Vega, Ávila y Gómez (2002) en playa El Agallito, Chitré, quienes reportan predominio de arena media y a la playa El Salado, Aguadulce, caracterizada por arena media a fina (Gómez, Herrera, Ríos y Villalaz, 2001), mientras que el estudio de Rojas y Vargas (2008) en el golfo de Nicoya, muestra composición granulométrica areno-arcillosa.
La granulometría en el periodo de extracción varía de arena gruesa a arena media, mientras que, en el periodo de veda, para playa Pacora presenta una composición granulométrica de arena gruesa y playa Tres Islas arena media. Esta diferencia se debe, entre otros factores, al efecto que ejerce la energía hidrodinámica sobre el sustrato, lo cual afecta la capacidad de enterramiento de los poliquetos y a la disponibilidad de alimento, factores que contribuyen a definir la estructura de la comunidad, McLachlan y Brown (2010), Benavente (2015), además, Gray y Elliot (2009) indican que la composición granulométrica más gruesa es producto de la energía hidrodinámica más fuerte.
La densidad en el presente estudio no muestra relación con las características granulométricas ni sedimentológica, por lo que se infiere que factores no estudiados como la hidrodinámica, la afectan. Cabe mencionar que la única relación con la densidad fue la grava, lo cual concuerda parcialmente con Rojas y Vargas (2008) quienes destacan que el sedimento grueso (arena gruesa, arena muy gruesa y grava) tienen alguna relación estadísticamente significativa con la densidad.
En cuanto al materia orgánica y humedad, ambas zonas de extracción son similares. Los valores de materia orgánica en los dos periodos de estudio son levemente superiores a los obtenidos por Gómez et al. (2001) en playa El Salado, Aguadulce, la cual fue de 2,92 % y Villalaz, Vega, Ávila y Gómez (2002) en playa El Agallito, Chitré, con promedio de 3,17 %, y Rojas (2007) en Costa Rica, quien reporta un promedio de 2,38 %.
La humedad de ambas zonas es baja en comparación al estudio de Villalaz, Vega, Ávila y Gómez (2002) en playa El Agallito, Chitré ya que estos reportan humedad promedio de 75,60 %, lo cual refleja una granulometría más fina, debido a que esta fracción del sedimento retiene mejor la humedad (Romero, 2014).
La veda de A. reesei decretada en el 2016 caracterizada por menor densidad de individuos, talla y peso, exposición de playa, amplitud de marea y bancos reducidos, producen menor volumen de captura, con menor rendimiento, elementos que favorecen el establecimiento de la misma con fines comerciales. En ese sentido, desde el punto de vista de la protección del recurso, no han sido suficientemente estudiadas las características biológicas pesquera para establecer la veda con propiedad, lo que garantizaría la extracción y permanencia del recurso en el tiempo
· La talla, peso y densidad durante el período de extracción fueron superiores al período de veda.
· La granulometría media en época de extracción fue de arena media, mientras que en período de veda arena gruesa. No se observa correlación de la densidad con las variables granulométricas y sedimentológicas
· El poliqueto A. reesei no presenta selectividad granulométrica por su plasticidad sedimentológica con relación a la composición del sustrato, lo que le permite adaptarse al sedimento que predomine en la zona.







