

Socioeconómicas
Características de la comercialización de los frutos de berenjena en las principales ciudades de consumo en Colombia
Characteristics of eggplant-fruit commercialization in the main cities of consumption in Colombia
Temas Agrarios
Universidad de Córdoba, Colombia
ISSN: 0122-7610
ISSN-e: 2389-9182
Periodicidad: Semestral
vol. 25, núm. 2, 2020
Recepción: 30 Septiembre 2020
Aprobación: 27 Diciembre 2020

Resumen: El presente estudio se realizó con el objeto de conocer los requisitos de calidad para la comercialización de los frutos de berenjena en las principales ciudades de consumo en Colombia. Para ello, se realizaron encuestas semiestructuradas que contemplaban aspectos sobre la comercialización, mercado, uso, consumo y calidad de los frutos en relación con las preferencias de los comercializadores de la fruta y los restaurantes de comida árabe y sirio-linabesa. Se realizó estadística descriptiva, análisis de componentes principales y correspondencias múltiples. Los resultados permitieron identificar las características de los comercializadores, procedencia de frutos, precios, presentaciones, mercados de destino y aspectos más relevantes asociados a la calidad extrínseca del fruto. Se encontró que, aunque existe un mercado para todo tipo de frutos, en las ciudades del interior del país prefieren frutos de color negro, brillante, firmes y con forma aperada, mientras que en la región Caribe se prefieren frutos de color lila o morado, más largos que anchos, con forma tipo bombillo. Los resultados permitieron concluir que los aspectos de calidad que más determinan las decisiones de compra en los restaurantes son el tamaño, la firmeza, forma y brillo de los frutos, mientras que, en las plazas de mercado y centros de acopio, son el color, tamaño y la sanidad de los frutos. Se recomienda que los programas de mejoramiento genético en el país se orienten hacia la obtención variedades con colores, forma y tamaño, acordes a las preferencias del mercado regional y local, resaltando la importancia de obtener frutos con mayor firmeza con el fin de mejorar la vida de anaquel
Palabras clave: Mercadeo, Hortalizas, Uso, Consumo, Preferencias de mercado, Calidad.
Abstract: The present study was carried out in order to know the quality requirements for the commercialization and consumption of eggplant fruits in the main cities in Colombia. For this, semi-structured surveys were carried out that considered aspects of the commercialization, market, use, consumption, and quality of the fruits concerning the preferences of the fruit marketers and restaurants of Arab and Syrian-Lebanese food. Descriptive statistics, principal component, and multiple correspondences analysis were performed. The results made it possible to identify the characteristics of the traders, the origin of the fruits, prices, presentations, destination markets, and the most relevant aspects associated with the extrinsic quality of the fruit. It was found that, although there is a market for all types of fruits, in the cities of the interior of the country, black, shiny, firm, and shaped fruits are preferred, while in the Caribbean region, lilac or purple fruits longer than wide, bulbshaped fruits are preferred. The results allowed us to conclude that the quality aspects that determine most purche decisions in restaurants are the size, firmness, shape, and brightness of the fruits, while in marketplaces and supply centers, color, size, and health of the fruits are more determinant. It is recommended that genetic improvement programs in the country should be oriented to obtain varieties with colors, shape, and size according to the preferences of the regional and local market, highlighting the importance of obtaining fruits with greater firmness to improve shelf life.
Keywords: Vegetable marketing, Use, Consumption, Market preferences, Quality.
INTRODUCCIÓN
La berenjena (Solanum melongena L.) es una planta de la familia Solanáceas, introducida a Colombia por los migrantes árabes y Sirio-Libaneses en el siglo pasado (Aramendiz et al., 2008; Cadena et al., 2011b). A través de los años esta hortaliza se ha convertido en un cultivo de importancia social en la región Caribe, debido a que a él se dedican principalmente pequeños productores en los departamentos de Córdoba, Sucre, Bolívar, Atlántico y Magdalena (Cadena et al., 2011b). Los frutos cosechados son comercializados en centros de abasto, plazas de mercado, supermercados, tiendas de barrio y puestos informales de venta que recorren las calles o se ubican alrededor de las vías principales. A nivel mundial el consumo de frutos de berenjena se ha incrementado en los últimos años al ritmo que se incrementan las exportaciones de los países productores (Maya Ambía, 2004), en especial debido a la preferencia de los consumidores por dietas cada vez más saludables, con menos contenidos de grasas y carbohidratos, especialmente en la población adulta (Martínez et al., 2019). Los frutos de berenjena cumplen con estas expectativas, y además aportan fibra, vitaminas y nutrientes esenciales para la dieta alimenticia (García et al., 2003). En Colombia, la berenjena es cultivada en siete departamentos, en un área de 601 ha con producción de 4603 t y rendimientos variables que oscilan entre 8 y 26 t ha-1 dependiendo del nivel de tecnificación implementado (Martínez et al., 2019). En el ámbito nacional, Sucre es el mayor productor con una participación del 40,24% de la producción de berenjena, seguido por Córdoba (31,98%), Magdalena (14,97%), Atlántico (5,82%), Bolívar (4,32 %), y Valle del Cauca y Antioquia con el 1,33% (Agronet, 2018). Históricamente se ha observado un mayor volumen de comercialización y consumo de la berenjena en la región Caribe, sin embargo, se ha observado un mercado con tendencia creciente en el interior del país, con cada vez mayor presencia de los frutos en las estanterías de supermercados y tiendas de cadena (Tapia, 2019). Las siembras del cultivo en la región Caribe se realizan usando semillas criollas correspondientes a un sin número de variedades referenciadas con nombres vernáculos como Lila, Morada, Negra, Campana, Redonda, Pompa, etc., que presentan características muy diversas y calidad de los frutos variable (Gomez-Correa, et al., 2019). Agrosavia, por su parte ha liberado al mercado las variedades Corpoica C015 y Corpoica C029 (Cadena et al., 2011a y 2011b), las cuales ocuparon buena parte del área de siembra en la región Caribe, pero su uso se ha limitado debido a los cam bios que se han presentado en el mercado de los frutos (Martinez et al., 2020). Paralelamente, emerge en el interior del país, un incremento en las siembras en el Valle del Cauca, con variedades y/o híbridos importados, con frutos de alta uniformidad y calidad, que podría llegar a competir con las variedades nacionales. Se requiere que los programas de mejoramiento genético orienten la producción de nuevos cultivares acorde a los gustos y las preferencias del mercado, específicamente usar las variedades existentes en los bancos de germoplasma, realizar cruzamientos y obtener variedades y/o híbridos que se ajusten a las características deseadas por el mercado. Por lo anterior, el presente estudio se llevó a cabo con el objeto de conocer los cambios que se han presentado en las características del mercado y los requisi tos de calidad de los frutos de berenjena en las principales ciudades de consumo en Colombia (Montería, Cereté, Sincelejo, Barranquilla, Cartagena, Santa Marta, Bogotá y Medellín) y así orientar el desarrollo de nuevas variedades para el mercado.
MATERIALES Y METODOS
Área de estudio
El estudio se adelantó entre propietarios de restaurantes de comida árabe y Sirio-Libanesa, y comercializadores de frutos de berenjena de las plazas mayoristas, minoristas, tiendas de barrio y vendedores informales en las ciudades de mayor volumen de comercialización en la región Caribe (Barranquilla, Soledad, Cartagena, Montería, Sincelejo, Cereté y San Pelayo) y en el interior del país (Bogotá, Medellín y Rionegro), las cuales fueron seleccionadas dado los estudios de consumo realizados por Mejia etal. (2013) y los reportes del DANE (2021). Entre las principales centrales de abastos visitadas se encuentran la Central de Abastos del Caribe (Granabastos) y el Mercado “Barranquillita” localizados en Barranquilla, Centro de Acopio de Supertiendas Olímpica en Soledad, el Mercado de Bazurto en Cartagena, el Mercado del Sur en Montería, la Central de Abastos de Sincelejo, Cereabastos en Cereté, Corabastos en Bogotá, Central Mayorista de Antioquia y Central Minorista de Medellín, y Plaza de Mercado de Rionegro en Antioquía. De igual forma se entrevistaron en cada ciudad vendedores informales y propietarios de supermercados y tiendas de barrio.
Marco muestreal
Para los restaurantes, el marco muestral se construyó a través de las reseñas que aparecen en los aplicativos webs acerca de los principa les restaurantes de comida Árabe o Sirio-libanesa en cada ciudad, con lo cual se conformó un listado de 51 restaurantes ubicados en las ciudades de Barranquilla, Bogotá, Cartagena, Cereté, Medellín, Montería, Sincelejo y Santa Marta. Para los comerciantes el estudio se adelantó considerando una población indefinida y poco conocida, localizados en las distintas centrales de abasto y plazas de mercado de las ciudades objeto del estudio. Para los restaurantes, el tamaño de muestra se calculó aplicando la fórmula propuesta por Aguilar (2005), para estudios de carácter exploratorio, con una población finita y conocida:

En donde:
Z: Coeficiente para un nivel de confianza del 90% (1.645)
N= tamaño de la población (51 restaurantes) p: Proporción de restaurantes de comida árabe
q: Proporción de restaurantes de otro tipo de comida
e: Error máximo admisible, se asumió en 10%
Para el caso de los comercializadores de frutos de berenjena, el tamaño de muestra se calculó aplicando la fórmula recomendada para estudios de carácter exploratorio, para poblaciones infinitas y desconocidas (Aguilar, 2005):

En donde:
Z: Coeficiente para un nivel de confianza del 90% (1.645)
p: Proporción de comerciantes de frutos de berenjena
q: Proporción de individuos que comercializan otro tipo de hortalizas
e: Error máximo admisible, se asumió en 15%
Debido a que en ambos casos se desconoce la varianza de la población objetivo, se asumió la mayor varianza posible, considerando los valores de p=q=0.50. La aplicación de las anteriores formulas, arrojó una muestra (n) de 29 restaurantes y 30 comercializadores de fruta a encuestar. Los restaurantes encuestados estaban ubicados en las ciudades de Barranquilla (8), Bogotá (4), Cartagena (4), Cereté (3), Medellín (3), Montería (2), Sincelejo (4) y Santa Marta (1). Los comercializadores encuestados estaban ubicados en las ciudades de Barranquilla (5), Bogotá (4), Cartagena (4), Cereté (5), Medellín (6), Montería (3), Sincelejo y Rionegro (4).
Para cada caso se elaboró una encuesta semiestructurada que contenía 30 variables de tipo categórico y cuantitativo relacionadas con aspectos como origen de frutos de berenjena, preferencias del mercado, variedades usadas o comercializadas, precios, presentación, uso y aspectos relacionados con la calidad de frutos de berenjena. El estudio se realizó basados en dos encuestas, de tipo semiestructurado y consistieron en preguntas que aceptaban opción de respuestas múltiples en cada uno de los ítems evaluados para comercializadores (origen, frecuencia de compra, cantidad, presentación, precio, calidad de fruto y destino) y para restaurantes (origen, frecuencia de compra, color, forma, tamaño, brillo, firmeza, sanidad, precio del fruto, tipo de empaque, entre otros).
Para los restaurantes se realizó un muestreo estratificado con afijación proporcional al número de restaurantes de comida árabe identificados en cada ciudad (Hernández y Carpio, 2019). Para los comercializadores, debido a lo desconocido de la población objetivo, se practicó un muestreo intencional o de conveniencia, a través del cual en cada centro de acopio se indagaba acerca de la localización de los comercializadores de berenjena, los cuales una vez entrevistados conducían a otros comercializadores, y estos a su vez otros, hasta obtener una muestra representativa de los mismos en cada ciudad. Lo anterior dio como resultado la obtención de 29 encuestas aplicadas en restaurantes y 33 encuestas aplicadas a los comerciantes de la fruta en las ciudades de interés. Con la información obtenida se conformaron bases de datos en Microsoft Excel®.
Análisis estadísticos
A los datos obtenidos, por separado para restaurantes y comercializadores, se realizaron análisis estadísticos descriptivos, correspondientes a características generales de restaurantes y comercializadores de la fruta. De igual forma se realizaron análisis de componentes principales y correspondencias múltiples cuyo objetivo fue identificar la asociación entre las variables y poder identificar patrones de comportamiento por ciudad o región. Para los análisis estadísticos se utilizó el paquete estadístico SAS v9.4
RESULTADOS Y DISCUSIÓN
Características de los comercializadores
Los análisis de las encuestas realizadas a restaurantes y comerciantes de frutos de berenjena en Barranquilla, Soledad, Cartagena, Santamarta, Sincelejo, Montería, Cereté, Bogotá, Medellín y Rionegro, permitieron evaluar aspectos de calidad de frutos considerados de alta relevancia para el mercado.
El tamaño de los restaurantes encuestados varió entre 6 y 60 mesas, siendo la moda un total de 16 mesas por restaurante. Las entrevistas fueron atendidas en primera instancia por administradores de restaurantes (48,2%), propietarios (24,1%), chefs (13,8%), auxiliares (6,9%) o jefes de cocina (3,4%) y en algunos casos por los jefes de compras (3,4%). La mayor parte de estos restaurantes presentaban una tenencia propia (86,2%) con un bajo porcentaje de restaurantes en la modalidad de arriendo (13,7%). El nivel educativo de las personas que atendieron la visita tenía título profesional completo (51,7%), bachilleres (31,7%), técnicos (6,9%) y tecnólogos (10,3%). Por su parte los comercializadores de fruta de berenjena entrevistados correspondieron a mayoristas (21,2%), minoristas (57,6%), tenderos de barrio (3,0%), supermercados (3,1%) y vendedores informales (12,1%). La mayor proporción de los comercializadores de frutos de berenjena correspondieron a individuos del sexo masculino (81,8%), con rango de edad entre 27 y 78 años, en general con un bajo grado de escolaridad (bachilleres, 45,5%, primaria, 21,2%, profesionales 15,2%, analfabetas, 15,2% y técnicos o tecnólogos 3,0%), la mayor parte de ellos (60,6%), con grado completo en su nivel de estudios. Estos resultados acerca de la escolaridad de la población de comercializadores de frutos de berenjena, en general coinciden con reportes previos de Correa et al., (2010).
Origen del fruto de berenjena comercializado
En la región Caribe, los frutos provienen de los departamentos de Córdoba, Sucre, Atlántico, Magdalena y Bolívar; mientras que, los frutos comercializados en el interior del país provienen exclusivamente del Valle del Cauca. En este departamento las estadísticas oficiales reportan incrementos del 39,9% entre los años 2016 y 2017 en las áreas de siembra, especialmente en municipios como La Unión, Roldanillo, La Victoria, El Dovio y Versalles (Agronet, 2018), lo cual lo ha llevado a convertirse en el principal proveedor de frutos de berenjena para los mercados de las principales centrales de abastos localizadas en las ciudades de Bogotá y Medellín.
Los restaurantes, en su mayor parte obtienen los frutos de berenjena principalmente en plazas de mercado (44,8%), o a través de intermediarios mayoristas (27,6%), supermercados (24,1%) y en algunos pocos casos, directamente del agricultor, que actúa como un proveedor permanente para cierto tipo de restaurantes (3,4%).
Variedades de berenjena comercializadas
En los mercados del interior del país se observó una alta uniformidad en las características de los frutos de berenjena que son comercializados. Esto probablemente se debe a que en el Valle del Cauca, solo se registran tres materiales genéticos (Black Beauty, Galine y Barcelona). Estos genotipos son ampliamente sembrados en varias regiones productoras del mundo, provienen de programas de mejoramiento genético de otros países, las semillas son importadas, y las características de los frutos son muy similares y uniformes, en cuanto color, tamaño y forma del fruto (color negro oscuro, brillantes, tamaño grande y forma aperada). De igual forma, dadas sus características y rusticidad han sido utilizados para la generación de nuevos materiales genéticos (Prohens et al., 2013; Plazas et al., 2013; Gisbert et al., 2011).
Sobresale de estos genotipos la alta firmeza o resistencia de los frutos, comparada con los materiales criollos nacionales, lo cual le confiere una mayor durabilidad en la estantería y resistencia a daños durante la manipulación y el transporte (Chen et al., 2015). Los resultados mostraron que en el mercado del interior del país prácticamente se desconocen frutos de berenjenas de colores distintos al negro.
Por el contrario, en los mercados de la región Caribe existe una alta variabilidad en las características de los frutos, con desconocimiento casi total en cuanto a la identidad de las variedades que son comercializadas. Esto a pesar de que los programas de mejoramiento genético de Agrosavia y la Universidad de Córdoba han liberado al mercado y difundido variedades como Corpoica C015 y Corpoica C029 (Cadena et al., 2011a y 2011b; Gómez et al., 2019). La mayor parte (66,7%) de los comercializadores indicaron desconocer el nombre de las variedades que son comercializadas en la región Caribe, algunos pocos (9,5%) las refieren como “Berenjena Criolla” o “Berenjena Lila” (23,8%), sin identidad exacta del nombre de las variedades. Contrario a los frutos comercializados en el interior del país, las berenjenas en la región Caribe son de baja firmeza y pierden rápidamente su consistencia y reducida vida de anaquel.
Los principales compradores que adquieren los frutos de berenjena en las grandes centrales de abastos corresponden a minoristas de las plazas de mercado, pequeños supermercados, tiendas de barrio y restaurantes locales. La cadena de distribución tanto en la región Caribe como el Interior del país, en su mayor parte ocurre del agricultor al mayorista, de éste a los minoristas y de éstos a las tiendas de barrio, vendedores informales, supermercados y restaurantes. Una baja proporción de minoristas (40%), obtienen los frutos directamente del agricultor.
Frecuencia de compra
La frecuencia con que los usuarios compran o adquieren los frutos de berenjena es variable. Por una parte, las grandes superficies (cadena de almacenes y supermercados) realizan adquisición de frutos en forma diaria, mientras que los mayoristas en general obtienen frutos cada 1-2 días, los minoristas y tenderos cada 2-3 días, mientras que los informales obtienen los frutos semanalmente. En el caso de los restaurantes la frecuencia de compra es preferencialmente semanal (62,1%), aunque algunos realizan compras a diario (20,7%), cada cuatro (3,4%), tres (6,9%) o dos días (3,4%), acorde al tamaño y consumo del restaurante. Un bajo porcentaje de los restaurantes manifestó realizar compra de frutos en forma mensual (3,4%). El consumo de berenjena por parte de los restaurantes es en promedio 25 kg semanales y su uso o procesamiento es inmediato (37,9%), debido a la pérdida de su consistencia, aunque algunos manifiestan almacenar los frutos en nevera o cuarto frío, en cuyo caso la vida de anaquel máxima registrada fue de siete días.
Presentación y comercialización
Para la comercialización de los frutos en las plazas de mercado y centros de acopio de la región Caribe se prefieren los bultos o sacos de polietileno o fique, mientras que las grandes superficies prefieren las canastillas plásticas. Los sacos presentan un peso entre 56,7 y 59,1 kg y contienen entre 185 y 202 frutos. Por el contrario, en los mercados del interior del país se prefiere para la comercialización las cajas de cartón con un peso promedio de 10 kg, las cuales contienen entre 30-35 frutos, y las canastillas plásticas con un peso promedio de 15 kg y un contenido de 50 frutos de berenjena.
En algunas ciudades como Barranquilla y Cartagena se observó un nuevo sistema de empaque de la berenjena para la comercialización (distinto al bulto de 56,7 kg), consistente en bolsas plásticas de polietileno de 10,0 kg, cuyo mercado son los minoristas, que les facilita la venta de las frutas antes que se les deteriore. Esto a diferencia del saco o bulto de 56,7 kg, que debido a su alto contenido de frutos, algunos se deterioran antes de lograr su venta completa.
El precio de comercialización de la berenjena varió durante el año de acuerdo con las fluctuaciones de la oferta y la demanda en el mercado. La temporada de precios más altos según el concepto de los comercializadores, ocurre entre los meses de enero-marzo alcanzando precios entre $1070,7 (US$0,33) y $1738,8 (US$0,53) kg-1. La temporada de precios más bajos ocurre en los meses de agosto-octubre, con precios que fluctúan entre $343,0 (US$0,10) y $438,8 (US$0,13) kg-1. Los anteriores resultados coinciden con lo reportado por Tapia (2019), quien indica una similar variación en los precios durante el año, debido a la época de siembra y al no contar el cultivo con sistema de riego. De igual forma, según los reportes de Agronet (2018), las áreas cosechadas de berenjena en los meses de enero, febrero, marzo, abril, mayo y junio es inferior al 5%, lo cual coincide con la temporada de precios más altos. En promedio el precio de comercialización es superior en las ciudades del interior del país con valores superiores a$1,000.oo kg-1 (>US$0,30 kg-1).
Tanto en el caso de los restaurantes como de comercializadores, el precio no es un factor que determinante las decisiones de los volúmenes de compra. Lo anterior fue corroborado al relacionar la cantidad de sacos comercializados y consumidos por comercializadores y restaurantes a lo largo del año frente a las fluctuaciones de los precios, que indicó un volumen constante, independiente del comportamiento de los precios. Lo anterior explica el comportamiento más o menos estable del área anual de siembra, independiente de la fluctuación de los precios de mercado. El área de siembra se ha estabilizado en el país alrededor de las 601 hectáreas independientemente del comportamiento de los precios. Esto contrario al comportamiento de otros cultivos, en donde las áreas de siembra fluctúan asociadas al comportamiento de los precios. Lo anterior coincide con los resultados de Tapia (2019), en cuanto a la estabilidad en las áreas anuales de siembra, ajustadas al tamaño del consumo.
Los restaurantes adquieren el fruto a precios que fluctúan entre $900,oo (US$0,27) y $4000,oo (US$1,22) kg-1, siendo la moda $2000,oo (US$0,61) kg-1. La ciudad donde se registra el mayor precio promedio de compra por los restaurantes es Bogotá, con un precio promedio de $3733,30 (US$1,14) kg-1.
Calidad de los frutos
Los resultados indicaron que los comercializadores valoran en mayor medida el color (53,1%), el tamaño (18,8%) y la sanidad de los frutos (12,5%); mientras que, para los restaurantes, los aspectos de mayor relevancia en la decisión de compra fueron el tamaño (62,1%), la sanidad (6,8%) y la firmeza del fruto (6,8%). De los anteriores aspectos, la firmeza de los frutos es uno de los aspectos sobre los cuales los restaurantes llaman en mayor medida la atención, debido a que la baja firmeza es relacionada con corta vida en anaquel y el deterioro del fruto en almacenamiento. Para los propietarios de restaurantes el color del fruto no es un factor determinante en razón a que no afecta la preparación de los platos o recetas. Por el contrario, el tamaño de los frutos es de crucial importancia en razón a que los platos preparados requieren distintos tamaños del fruto. A este aspecto se encontró una gran coincidencia en los platos preparados en los restaurantes de la región Caribe y el interior del país, siendo los más frecuentes y de mayor salida las Berenjena Rellenas (34,4%), el Babaganush (20,7%) y la Musaca (10,3%). Mientras para el primero son deseables berenjenas de tamaño pequeño, para los segundos, el rendimiento de los platos es superior con berenjenas de tamaño grande. Lo anterior resalta la disponibilidad de mercado para todos los tamaños del fruto, lo cual en cierta medida difiere de la preferencia de los comercializadores por frutos de tamaño cada vez más grandes. Otros platos frecuentes en los restaurantes son el Tahine, Fatte, encurtidos de diferentes tipos y las ensaladas con berenjena, los cuales requieren diverso tamaño de los frutos.
Lo anterior resalta los aspectos de calidad de mayor relevancia en la comercialización de los frutos de berenjena. En un estudio adelantado por Villalobos Monge (2010), se indica que las características de calidad del producto son las más valoradas para el consumo (57% de la población), seguida de la frescura (32% de las opiniones) y en último lugar el precio (53% de los consultados). Igualmente indican que las características de mayor importancia para la comercialización de hortalizas son principalmente la calidad del producto (85%), la procedencia (57%) y por última el precio (22,4%). Lo anterior coincide con los resultados obtenidos en este trabajo.
Análisis factorial de correspondencias múltiples
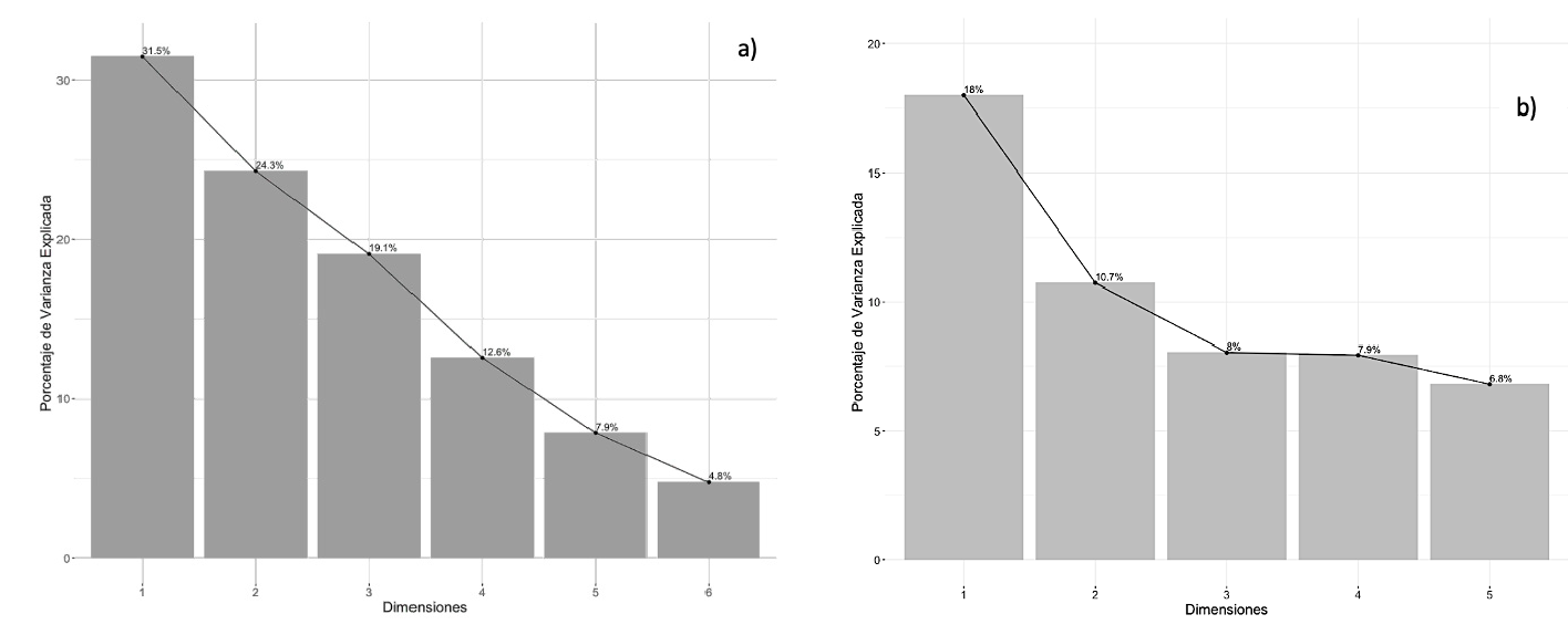
Se realizó un análisis cuyo objetivo fue identificar aquellos aspectos de la calidad que resultan de mayor importancia para la comercialización de la fruta en los diferentes mercados, a fin de encontrar asociación entre variables e identificar patrones de comportamiento entre regiones o centros de mercadeo. Para el caso de los restaurantes, el análisis de componentes principales mostró que las dimensiones 1 y 2 del modelo capturaron más el 55,8% de la variabilidad, lo que indicó una buena calidad de ajuste para la información obtenida. Por el contrario, en el caso de los comercializadores las dimesiones 1 y 2, capturaron tan solo 28,7% de la variación, mostrando tendencias menos definidas para la comercialización de los frutos de berenjena (Figura 1).

En la dimensión 1 las variables tamaño del fruto y firmeza fueron las que en mayor medida contribuyeron con la variabilidad presentada en las decisiones de compra de frutos de berenjena por parte de los restaurantes, mostrando los dos aspectos de mayor relevancia para el consumo. Por el contrario, variables como color, precio y origen de los frutos no ejercen mayor influencia sobre las decisiones de compra por parte de los restaurantes. Los análisis factoriales mostraron la conformación de grupos alrededor de los cuales se definen las características que son o no de mayor relevancia en las decisiones de compra de por parte de los restaurantes. La representación en el mapa factorial se observa en la Figura 2, en donde se observa la conformación de un grupo mayoritario de restaurantes con un comportamiento promedio, distribuido alrededor de los ejes, para los cuales todos los frutos de berenjena son igualmente apetecidos y para quienes características como color, forma no afectan las decisiones de compra. En este grupo se encuentran la mayor parte de los restaurantes de la región Caribe y el interior del país.
A pesar de la retención del 55,8% de la inercia total por parte de las dimensiones 1 y 2 del modelo, se observó que los puntos se encuentran igualmente distribuidos en las dos dimensiones, por lo que para el análisis se utilizó el coseno cuadrado (cos2), el cual mide el grado de asociación entre las categorías de las variables. Los resultados de este análisis mostraron que variables como firmeza, forma, tamaño y brillo del fruto, corresponden a criterios de calidad que se representan bien en ambos ejes y explican en mayor medida la variabilidad en el conjunto de datos recolectados. En menor proporción participa la sanidad del fruto y en mucho menor proporción el color. Este último carácter de calidad es el de menor representación, indicando que esta variable no tiene mayor incidencia en las decisiones de compra por parte de los restaurantes. Los anteriores resultados indican que las carac terísticas de calidad de los frutos de berenjena que presentan mayor relevancia para los restaurantes en general son en su orden la firmeza, forma, tamaño y brillo del fruto.

Para el caso de los comercializadores, en la dimensión 1 se asocian variables como ciudad de comercialización, presentación y forma del fruto, mientras que en la dimensión 2 asocian variables como la frecuencia de compra, el origen y el mercado de destino de los frutos (Figura 3). En este caso, los análisis mostraron la conformación de grupos muy asociados a la región de comercialización, en donde los comercializadores del interior del país (Bogotá, Medellín y Rionegro), muestran preferencia por frutos de color negro, brillantes, grandes, forma redonda o aperada. Un segundo grupo, lo conforman los comercializadores de Montería, Cartagena, Sincelejo, Cereté en la región Caribe, quienes prefieren para la comercialización frutos grandes, de color lila o morado, tipo bombillo, cuyo mercado de destino son los minoristas, tiendas de barrio, supermercados y consumidores finales (Figura 4). En la región Caribe también se observa un tercer grupo, asociado a los comercializadores de Barranquilla que son indiferentes en cuanto al color y tamaño del fruto, pero como empaque pueden utilizar también bolsas de polietileno para comercialización con minoristas y tiendas de barrio. Este último grupo, aunque muestra alguna preferencia por frutos de color morado o lila, también comercializa frutos de color más oscuro o negro.


CONCLUSIONES
Los resultados del presente estudio indican que en términos generales todos los colores, formas y tamaños de los frutos de berenjena son comercializables en el país, pues se registraron mercados y usos para todo tipo de fruto. Sin embargo, se observó una segmentación del mercado en donde los frutos de color negro se orientan al interior del país, mientras que los de color lila o morado hacia el mercado de la región Caribe. Los comercializadores en las plazas de mercado y centros de acopio muestran una tendencia a preferir frutos de tamaño grande para la comercialización; mientras que los propietarios de restaurantes prefieren frutos de diferente tamaño.
Los programas de mejoramiento genético deben orientar la producción de nuevas variedades acorde a las tendencias del mercado, en especial concentrando los esfuerzos en mejorar los aspectos de tamaño del fruto, firmeza, vida de anaquel y uniformidad en la presentación de los frutos. Lo anterior resulta de especial importancia para acceder al mercado de grandes superficies y el potencial mercado de exportación.
Agradecimientos
Este estudio fue financiado con recursos de la transferencia TV19 firmado entre el Ministerio de Agricultura y Desarrollo Rural y la Corporación Colombiana de Investigación Agropecuaria (Agrosavia), a quien los autores expresan sus agradecimientos. Código de Agenda 1000951.
REFERENCIAS
Aguilar, S. 2005. Fórmulas para el cálculo de la muestra en investigaciones de salud. Salud en Tabasco 11(1-2):333-338.
Agronet. 2018. Área sembrada y área cosechada del cultivo de berenjena 2007-2017. Agronet. https://www.agronet.gov.co/estadistica/ Paginas/home.aspx?cod=1
Aramendiz, H., Cardona, C., Jarma, A., y Espitia, M. 2008. El cultivo de la berenjena (Solanum melonjena L.). Editorial Produmedios. Universidad de Córdoba. 152 p.
Cadena, J., Gómez, G., Araméndiz, H., y Ibañez, KI. 2011a. C015 y C029 Nuevas variedades de berenjena para la Región Caribe. Corporación Colombiana de Investigación Agropecuaria-Corpoica, CI-Turipaná, Cereté, Córdoba. 32 pg.
Cadena, J., Gómez, G., y Ibañez, KI. 2011b. Selección de cultivares competitivos de berenjena para los mercados nacionales y de exportación, con adaptación a las condiciones del Caribe Colombiano: Resumen de resultados. Corporación Colombiana de Investigación Agropecuaria-Corpoica, CI-Turipaná, Cereté, Córdoba. 52 pg.
Chen, H., Cao, S., Fang, X., Mu, H., Yang, H., Wang, X., Xu, Q., and Gao, H. 2015. Changes in fruit firmness, cell wall composition and cell wall degrading enzymes in postharvest blueberries during storage. Scientia Horticulturae, 188: 44–48.
Correa, E., Araméndiz, H., Azeredo, L., Pombo, C., y Cardona, CE. 2010. Tipificación de comercializadores de berenjena en zonas productoras del Caribe Colombiano. Temas Agrarios, 15(2):46-57 https://doi.org/10.21897/rta.v15i2.679
DANE. 2021. Boletines semanales del Sistema de Información de Precios-SIPSA.
García, E., Hernández, E., De Paula, C., y Aramendiz, H. 2003. Caracterización bromatológica de la berenjena (Solanum melongena L.) en el departamento de Córdoba. Temas Agrarios 8(1): 27–32. https://doi.org/10.21897/rta.v8i1.613
Gisbert C., Prohens J., Raigon MD., Stommel JR., and Nuez F. 2011. Eggplant relatives as sources of variation for developing new rootstocks: effects of grafting on eggplant yield and fruit apparent quality and composition. Scientia Horticulturae, 128, 14–22.
Gómez, J., Leon, R., Cadena, J., Cantero, J., Correa, E., Espinosa, M., Ibañez, KI.; De La Ossa, V., Perez, SP., y Romero, JL. 2019. Fenotipos estables de berenjena (Solanum melongena L.) para la región Caribe colombiana. In: M. Castellanos, ML; Bastidas (Ed.), Memorias del I Congreso Internacional: Gestión frente al Cambio Climático. 233–238
Hernández, CE. y Carpio, N. 2019. Introducción a los tipos de muestreo. ALERTA Revista Científica Del Instituto Nacional de Salud, 2(1): 75–79.
Martinez, AM; Tordecilla, L; Grandett, LM; Rodriguez, MDV. 2020. Adopción de la variedad de berenjena C015 (Solanum melongena L) en la región Caribe Colombiana. Ciendia y Agricultura, 17(3):1–10.
Martínez, AM., Tordecilla, L., Rodríguez, MDV., y Grandett, LM. 2019. Análisis de las preferencias del consumidor por las hortalizas frescas en el Caribe colombiano. Temas Agrarios, 24(2): 119–
Maya Ambía, CJ. 2004. Características de la competencia en el mercado hortícola estadounidense: el caso de la berenjena mexicana. Estudios Sociales, XII(24): 8–53. https://www.redalyc.org/articulo. oa?id=41751459001
Mejia, SL., Cadena, J., Ibañez, KI., y Molinares, I. 2013. Estudio para la comercialización internacional de la berenjena en fresco para el mercado de los Estados Unidos. Documento interno de trabajo; Informe final Exportación de berenjena.
Prohens, J., Whitaker, BD., Plazas, M., Vilanova, S., Hurtado, M., Blasco, M., Gramazio, P., & Stommel, JR. 2013. Genetic diversity in morphological characters and phenolic acids content resulting from an interspecific cross between eggplant, Solanum melongena, and its wild ancestor (S. incanum). Annals of Applied Biology, 162(2): 242–257. https://doi.org/10.1111/aab.12017
Plazas, M., Andújar, I., Vilanova, S., Hurtado, M., Gramazio, P., Herraiz, FJ., & Prohens, J. 2013. Breeding for Chlorogenic Acid Content in Eggplant: Interest and Prospects. Notulae Botanicae Horti Agrobotanici Cluj-Napoca, 41(1): 26–35. https://doi.org/10.15835/nbha4119036
Tapia, L. M. 2019. Diseño de la cadena de suministro agroalimentaria de la berenjena en córdoba-colombia mediante la integración del modelo scor y el enfoque de optimización. In Tesis de grado, MS Ingenieria, U. Universidad Tecnológica de Bolívar, Facultad de Ingenierías, Cartagena, Bolívar.
Villalobos Monge, A. 2010. Aspectos de demanda para 41 productos hortícolas en la Zona Sur de Costa Rica. Tecnología En Marcha 23(2): 3–13. https://revistas.tec.ac.cr/index.php/tec_ marcha/article/view/61/60
Información adicional
Conflicto de Intereses: Los autores declaran que es un trabajo original y no existió conflicto de
intereses de ningún tipo en la elaboración y publicación del manuscrito.

