Resumen: El estudio de la valorización económica del medio ambiente se enfoca en la descripción detallada de los problemas más representativos de este y como afecta directamente al análisis económico global. De igual forma, se detallan los tipos de valoración de los bienes y servicios del medio ambiente. Estableciendo las categorías de valor de uso y valor de cambio de los bienes dentro de un análisis del sistema capitalista panameño. Luego de haber descrito estos conceptos, abordamos la solución de cinco (5) problemas matemáticos de economía ambiental avanzada. Utilizando técnicas de derivación e integración como metodología apropiada en la búsqueda de indicadores propicio en la toma de decisión nacional y local en Panamá. Palabra clave: Problemas Ambientales, Valor Económico ambiental, Realidad Ambiental en Panamá.
Palabras clave: Problemas Ambientales, Valor Económico ambiental, Realidad Ambiental en Panamá .
Abstract: In the study of the economic valuation of the environment focuses on the detailed description of the most representative problems of this and how it directly affects the global economic analysis. Similarly, the types of valuation of environmental assets or benefits and services are detailed. Establishing the categories of use value and exchange value of goods within an analysis of the Panamanian capitalist system. After having described these concepts, we addressed the five math problems solving approach of advanced environmental economics. Using derivation and integration techniques from Calculus as a suitable methodology in the search for favorable indicators in national and local decision making in Panama.
Keywords: Environmental Problem, Environmental economic Value, Environmental reality in Panamá, Math problem solving environmental.
La valorización económica del medio ambiente: resolución de problemas matemáticos en un ámbito de la realidad ambiental en Panamá
The economic valorization of the environment: resolution of mathematical problems in a scope of the environmental reality in Panama
Recepción: 26 Septiembre 2018
Aprobación: 18 Octubre 2018

El acto de valorar supone, de acuerdo con la Real Academia de la Lengua, un proceso mediante el cual “se señala el precio de una cosa” o, en términos más amplios, “se reconoce el valor de una cosa”. Esta definición, en apariencia sencilla, esconde, sin embargo, una realidad bastante compleja. Valor de acuerdo con la misma fuente, es el grado de utilidad o aptitud de las cosas, para satisfacer las necesidades o proporcionar bienestar o deleite». Si se quisiera, por tanto, analizar el valor del medioambiente en dos alternativas cualesquiera, entre las que es posible elegir, sería necesario descubrir su capacidad de satisfacer necesidades o proporcionar bienestar o deleite, en cada una de ellas. A quién se le reconoce el derecho a que su bienestar o deleite sea tenido en cuenta a la hora de decidir sobre cualquier modificación de la
calidad ambiental. El problema planteado con esta pregunta es ciertamente complejo, que el proceso de valoración establece un entramado de derechos y obligaciones entre el sujeto que valora. El sujeto en nombre de quien se lleva a cabo la valoración, y el propio objeto valorado, que lleva la discusión a desembocar en el no siempre fácil campo de la discusión ética.
Principales problemas ambientales
Como se apuntaba un poco más arriba, los principales problemas ambientales, si bien constituyen la materia prima sobre la que se pretende aplicar el razonamiento propio del análisis económico, no son el objeto de estudio del economista como tal, por lo que este epígrafe no puede sino presentarlos a grandes rasgos, de una forma sencilla e intuitiva (y seguramente con errores), siguiendo alguno de los textos especializados que se ocupan de ello. Teniendo en cuenta que la sociedad ya ha abordado, en mayor o menor medida, la resolución de algunos de estos problemas, se mencionará, en su caso, el marco institucional internacional dentro del cual se pretende encontrar la misma.
En la línea apuntada, una relevante publicación institucional, al hacer el diagnóstico de la situación del medio ambiente en el mundo, presentaba el siguiente catálogo de problemas ambientales (PNUMA, 2000):

El valor económico total
Una vez decidido el conjunto de derechos de los distintos colectivos sociales con respecto al disfrute de la naturaleza, resulta operativo tratar de condensar la información obtenida en una serie de categorías que ayuden al analista a aproximarse a los distintos componentes del valor de aquello que está estudiando, hasta alcanzar su denominado Valor Económico Total. Como se ha ido exponiendo a lo largo de este capítulo, el medio ambiente puede tener distintos tipos de valor, de acuerdo con el sentido literal del término, para diferentes personas y colectivos. La
primera gran distinción que puede establecerse en este sentido es aquella que separa los valores de uso, de los valores de no uso:

Por otro lado, tanto los valores intrínsecos, como un subconjunto de los valores extrínsecos, son considerados valores de orden superior. Con ello se quiere dar a entender que la relación que se establece entre el sujeto que valora y el bien, o servicio, valorado trasciende el campo de los simples valores de uso, y no permite que el objeto de valoración sea considerado como una simple mercancía. Las implicaciones de este hecho se analizarán detalladamente en el siguiente capítulo. Mientras tanto, la información recopilada hasta ahora podría resumirse tal y como aparece en la Figura 2.
Sea como fuere, éstos son a grandes rasgos los distintos tipos de valor, tanto de uso como de no uso, que puede tener un determinado bien para distintas personas. Como es natural, la decisión sobre cuáles de ellos van a ser tenidos en cuenta a la hora de valorar cambios en el bienestar, condiciona la selección del colectivo que va a ser objeto de estudio. El analista se enfrenta a un problema que requiere pues de una definición previa de los derechos individuales y colectivos con respecto al medio ambiente, y que se relaciona con lo ya apuntado un poco más arriba. Es necesario definir, en efecto, cuáles son los valores, de entre los anteriormente enunciados, que la persona o el colectivo de referencia, puede exigir que se consideren a la hora de tomar una decisión, como parte de sus derechos. Restringir, como es práctica tradicional, el análisis a los directamente afectados como usuarios por la modificación propuesta, puede constituir una limitación ilegítima de los derechos de un colectivo de personas mucho más amplio.
Yacimiento Minerales en Panamá.
Con la Ley 13, de 03 de abril de 2012 se logra la restitución de algunos artículos que habían sido derogados con la Ley 08 de 11 de febrero de 2011, lo cual había creado un vacío jurídico. Con esta Ley, se aumentó el canon superficial, a las concesiones metálicas y no metálicas; y las regalías de producción en lo que concierne a la minería metálica. Con estos cambios se les aumento a las concesionarias el pago de las regalías en 4%, 5%, 6% y hasta un 8%. Estas regalías cuando sean del 5% o más, de las sumas que se perciban por este concepto, el Estado transferirá el 2% para la construcción de obras de infraestructuras y programas de desarrollo sociales en las comunidades aledañas a las concesiones, y el 1 % se transferirá directamente a la Caja de Seguro Social para fortalecer el financiamiento del Riesgo de Invalidez, Vejez y Muerte (Ministerio de Comercio e Industria de Panamá, 2016)
Otro beneficio es el incremento del porcentaje que recibe el Municipio en donde realicen actividades de exploración y explotación minera, lo cual antes era del 15% y con la nueva Ley le corresponde al Municipio el 20% de los beneficios, el mismo va dirigido para programas de desarrollo, en áreas de educación, salud y proyectos de inversión socio ambiental requeridos por las comunidades. (Ver figura N° 3)

Cuando surgen cuestiones concernientes a la razón entre dos cantidades variables, entramos en los dominios del Cálculo Diferencial. Son por tanto objeto de estudio del cálculo diferencial temas como la velocidad (razón entre la distancia recorrida y el tiempo empleado en
recorrerla), de una partícula en un momento determinado, la pendiente (razón entre la diferencia de las ordenadas y las abscisas de dos puntos en el plano cartesiano) de la recta tangente a una curva en un punto dado de ésta, etc.
Incrementos: cuando una cantidad variable pasa de un valor inicial a otro valor, se dice que ha tenido un incremento. Para calcular este incremento basta con hallar la diferencia entre el valor final y el inicial. Para denotar esta diferencia se utiliza el símbolo Dx, que se lee "delta x". El incremento puede ser positivo o negativo, dependiendo de si la variable aumenta o disminuye al pasar de un valor a otro. Por ejemplo, si el valor inicial de una variable x, x1, es igual a 3, y el valor final x2 es igual a 7, el incremento Dx = x2 - x1 = 7 - 3 = 4: la variable se ha incrementado positivamente en 4 unidades. En cambio, si el valor inicial es 7 y el valor final 3, Dx = x2 - x1 = 3 - 7 = -4: la variable ha tenido un incremento negativo (decremento) de 4 unidades.
Derivada de una función: Sea f una función definida en todo número real de algún intervalo I, la derivada de f es aquella función, denotada por f ', tal que su valor en cualquier número x de I, está dado por:

. Se dice que una función es diferenciable o derivable cuando es posible hallar su derivada.
. Los símbolos utilizados para denotar la derivada de una función 𝑦 = 𝑓(𝑥)

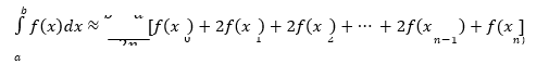
Para calcular la integral definida, aplicando el Teorema Fundamental del Cálculo, es preciso obtener previamente una integral indefinida. Aunque se conocen diversos métodos para hallar la integral indefinida de una cantidad considerable de funciones, existen funciones para las cuales estos métodos no son aplicables. Este inconveniente se supera haciendo uso de la integración numérica. La integración numérica permite evaluar la integral definida de una función continua en un intervalo cerrado con la exactitud deseada. En este apartado vamos a estudiar dos métodos de integración numérica: la Regla del trapecio y la Regla de Simpson (debida a Thomas no a Homero).
Regla del trapecio:
Si 𝑓es continua en [a, b], y los números 𝑎 = 𝑥0, 𝑥1, … . , 𝑥𝑛 = 𝑏 forman una partición regular de [a, b], entonces

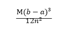
Estimacióndel error en la regla del trapecio:
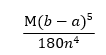
Si Μ ∈ ℝ+ 𝑦 |𝑓"(𝑥)| ≤ Μ, ∀𝑥 ∈ [𝑎, 𝑏], entonces el error que se comete al usar la regla del trapecio no es mayor que

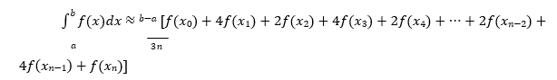
Regla de Simpson
Si 𝑓es continua en [a, b], y 𝑛 es un numero par. Y si 𝑎 = 𝑥0, 𝑥1, … , 𝑥𝑛 = 𝑏 forman una partición regular de [a, b], entonces

Si Μ ∈ ℝ+ 𝑦 |𝑓4(𝑥)| ≤ Μ, ∀𝑥 ∈ [𝑎, 𝑏], entonces el error que se comete al usar la regla de Simpson no es mayor que

Problemas relacionados con la valorización de los bienes y servicios ambientales
Ejercicio N°1: Debido a la creciente importancia del carbón como una posible fuente alternativa de energía, su producción ha aumentado a razón de

Miles de millones de toneladas métricas por año, t años después de 1980) correspondiente a t=0. De no ser por la crisis de la energía, la tasa de producción del carbón desde 1980 solo sería

Miles de millones de toneladas métricas por año, t años después de 980. ¿Cuál es la cantidad adicional de carbón producida entre 1980 y el fin de siglo como fuente alternativa de energía?
Suponga que dentro de x años un plan de inversión generará utilidades a la razón de
𝑅1(𝑥) = 50 + 𝑥2 dólares al año, mientras que un segundo plan lo hará a la razón de
𝑅2(𝑥) = 200 + 5𝑥 dólares por año.
Solución:
Tasa de producción de carbón por la crisis energética 𝑓(𝑡) = 3.5 𝑒0.05𝑡
Tasa de producción de carbón si no hubiera crisis energética 𝑔(𝑡) = 3.5 𝑒0.01𝑡

La cantidad adicional de carbón producto entre 1980 y el fin de siglo (2000), es:


En el caso de Panamá la producción de carbono es casi nula, lo importante es que a partir de un buen nivel de medición y asumiendo una disciplina en el manejo de los recursos naturales y conservar el valor de herencia ambiental sin someterse a las condiciones del mercado energético como una causa de desarrollo económico.
Ejercicio N°2: Una fábrica contamina un lago de manera que la razón de elementos contaminantes que ingresan en el lago en el tiempo t, en meses, está dada por N'(t)280𝑡3/4) donde N es el número total de libras de contaminación en el lago en el tiempo t. ¿Cuantas libras de contaminantes ingresan en el lago en 16 meses?
Un experto en asuntos ambientales dice que la fábrica tendrá que comenzar un procedimiento de limpieza después de que hayan ingresado 50,000 libras de contaminantes en el lago. ¿Después de cuánto tiempo ocurrirá esto?
Solución:

Tabulando la función para elaborar el gráfico:

a. Para determinar la cantidad de contaminantes que ingresan al lago durante los 16 meses

b. Para determinar en qué tiempo se debe limpiar los 50,000 libras que ingresan al lago

Esta metodología matemática nos debe ayudar a detectar con mayor eficiencia y eficacia los daños ambientales provocados por la externalidad económica y el manejo de los desechos sólidos y químicos. Es importante desatacar que, con una medición exacta de la contaminación, es consecuente entrar en compensación del daño ambiental y proceder en acciones legales y normativas en defensa de la sociedad panameña.
Ejercicio N°3: Un agricultor ha estado usando un nuevo fertilizante que brinda un mejor rendimiento de su cosecha, pero como este fertilizante agota otros nutrientes del suelo, debe usar otros fertilizantes en cantidades cada vez mayores, por lo que su costo se incrementa cada año. El
nuevo fertilizante produce una razón de incremento en ingresos (en cientos de dólares) dada por𝑅(𝑡) = −0.4𝑡2+8t+10, donde t se mide en años. La razón del incremento en costo anual (también en cientos de dólares) debido al uso del fertilizante está dado por 𝐶(𝑡) = 2𝑡 + 5.
¿Cuánto tiempo puede el agricultor usar en forma redituable el fertilizante? ¿Cuál será su incremento neto en ingreso en este proceso?
Solución:

Tabulando la función para elaborar el grafico

Igualando ambas funciones para determinar el tiempo de rentabilidad:

Aplicando la fórmula:

Remplazando el valor de t:

Esta metodología matemática y de economía ambiental ayuda a sectores vulnerables y de frágil desarrollo como es el sector agrícola. La utilización de fertilizante y herbicidas sin control y medición nos lleva a debilitar los suelos y la producción del rubro que se esté enfocando el agricultor. Por lo tanto, se necesita estos cálculos y así minimizar sus efectos y aplicar rotación de cultivos como medidas de equilibrio en el factor tierra.
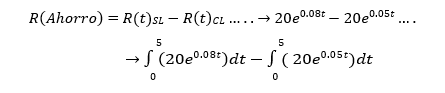
Ejercicio N°4: En un estudio de 1994 para el comité de Desarrollo Económico de un país en desarrollo, los economistas del gobierno y los expertos en energía concluyeron que, si se implementa la Ley de la conservación de la energía en 1995, el consumo nacional de petróleo del país durante los siguientes cinco años aumentaría de acuerdo con el modelo 𝑅𝑡 = 20𝑒0.05𝑡donde t se mide en años (t=0 corresponde al año 1995) y 𝑅𝑡 en millones de barriles por año; sin embargo. Si el gobierno no imponía medidas de conservación de la energía, la tasa esperada de
aumento del consumo de petróleo estaría dada por 𝑅𝑡 = 20𝑒0.08𝑡 millones de barriles por año. Con estos modelos determinar la cantidad de petróleo que se habría ahorrado de 1995 a 2000 de haberse implantado la ley.
Solución:

Tabulando la función para elaborar el grafico:

Igualando las funciones para determinar la cantidad de petróleo que se habría ahorrado entre 1995 a 2000:


En Panamá la explotación petrolera es mínima. Pero se descarta, que las exploraciones y explotaciones de este recurso natural debe ir correlacionado con el desarrollo nacional. Por lo tanto, la metodología aplicada nos debe llevar a una certera política económica de utilización y conservación del recurso energético en Panamá.
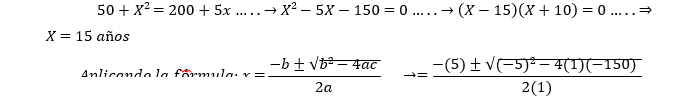
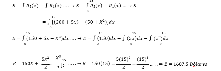
Ejercicio N°5: Suponga que dentro de x años un plan de inversion generará utilidades a la razón de 𝑅1(𝑥) = 50 + 𝑋2 dolares al año, mientras que un segundo plan lo hará a la razón de
𝑅2(𝑥) = 200 + 5𝑥 𝑑ó𝑙𝑎𝑟𝑒𝑠 𝑝𝑜𝑟 𝑎ñ𝑜.
Calcular :
a. En que constante de tiempo da utilidades….
b. Comprobar
c. ¿ Cual es el exedente de utilidad del plan 𝑅1(𝑥) con respecto al plan 𝑅2(𝑥)
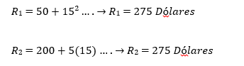
Plan de inversión 1) 𝑅1 = 50 + 𝑥2 Dólares Plan de inversión 2) 𝑅2 = 200 + 5𝑥 Dólares
a. Igualando ambas funciones, para obtener el tiempo que transcurre para que la utilidad de ambos sean iguales:

b. Para obtener la utilidad, remplazar el valor: x=15 años

Tabulando la función para elaborar el grafico:

c. Para Calcular el excedente de utilidad del Plan 𝑅2(𝑥) con respecto al plan

Esta metodologìa matematica nos ayuda a proyectar los rendimientos y utilidades de los negocios ambientales y como el nuevo empresario se puede beneficiar y calcular los
rendimientos a futuro de su inversión en una nueva forma de hacer empresa. Por lo tanto, nos lleva a un nuevo orden economico para Panamá y el mundo.
Los problemas ambientales y la valorización economica se puede modelar a partir de procedimientos matematicos y econometricos. La utilización de técnicas y software aplicados en la matemáticas y la economia nos proporciona con mas nitidez y rapidez resultados de diferentes mercados de recursos naturales.
Es importante destacar que en la docencia superior los aprendizajes de procedimientos y tecnicas educativas apropiadas para el uso de la matematicas son la logica de este artículo.
La valorización de bienes y servicios ambientales en panamá, es una asignatura pendiente del estado panameño, debemos enfocar la solución al equilibrio entre desarrollo economico y desarrollo ambiental.










