

ARTÍCULOS DE INVESTIGACIÓN
Detection of mycotoxins in dry dog food. A risk for animal health in Santa Cruz de la Sierra, Bolivia
Detección de micotoxinas en alimentos balanceados secos para caninos. Un riesgo para la salud animal en Santa Cruz de la Sierra, Bolivia
Journal of the Selva Andina Animal Science
Selva Andina Research Society, Bolivia
ISSN: 2311-3766
ISSN-e: 2311-2581
Periodicity: Bianual
vol. 12, no. 1, 2025
Received: 01 August 2024
Corrected: 01 November 2024
Accepted: 01 January 2025
Published: 01 April 2025

Abstract: The presence of mycotoxins represents a serious health risk as they are secondary fungal metabolites, which cause both acute and chronic diseases in humans and animals. Cereals, which are major components in dry pet food formulation, are particularly susceptible to mycotoxin contamination. This study aimed to investigate aflatoxin, fumonisin and zearalenone contamination in dry balanced dog foods, which will serve as a basis for estimating the risk of developing liver and kidney pathologies in canines in Santa Cruz de la Sierra. For this purpose, 45 samples of dry balanced dog food obtained from Municipal District 1 of the city of Santa Cruz de la Sierra, Bolivia, were analyzed. The results revealed that aflatoxins were the most frequent mycotoxin (67 %), fumonisin (47 %) and zearalenone (2 %). According to the place of purchase of the samples, markets showed a percentage of positive samples of 63 % aflatoxins, 26 % fumonisin and 5 % zearalenone. In contrast, shops 69, 62 and 0 % for the same mycotoxins, respectively. Bulk foods had the highest aflatoxin contamination (100 %), 53 % in closed bags and 47 % hand-packed. On the contrary, the foods with the highest fumonisin contamination were in closed bag (73 %), bulk (40 %) and handmade (27 %). In addition, 35% of the samples showed simultaneous contamination by aflatoxins and fumonisin, which underlines the importance of further investigating the potential risk of simultaneous exposure to these mycotoxins. These findings highlight the need to implement strict controls on raw material selection, handling and storage conditions, as well as to further investigate the impact of mycotoxins on pet health.
Keywords: Aflatoxins, fumonisin, zearalenone, food contamination, dry dog food, ELISA.
Resumen: La presencia de micotoxinas representa un riesgo grave para la salud ya que son metabolitos fúngicos secundarios, que causan enfermedades tanto agudas como crónicas en humanos y animales. Los cereales, que son componentes principales en la formulación de alimentos secos para mascotas, son especialmente susceptibles a la contaminación por micotoxinas. Este estudio tuvo como objetivo investigar la contaminación por aflatoxinas, fumonisinas y zearalenona en alimentos balanceados secos para perros, que servirá como base para estimar el riesgo del desarrollo de patologías hepáticas y renales en caninos de Santa Cruz de la Sierra. Para ello se analizaron 45 muestras de alimentos balanceados secos para perros obtenidas del Distrito Municipal 1 de la ciudad de Santa Cruz de la Sierra, Bolivia. Los resultados revelaron que las aflatoxinas fueron, la micotoxina más frecuente (67 %), fumonisinas (47 %) y zearalenona (2 %). En función al lugar de adquisición de las muestras, en los mercados se obtuvo un porcentaje de muestras positivas del 63 % aflatoxinas, 26 % fumonisinas y 5 % zearalenona. En contraste, las tiendas 69, 62 y 0 % para las mismas micotoxinas, respectivamente. Los alimentos a granel, la mayor contaminación por aflatoxinas (100 %), 53 % en bolsa cerrada y 47 % envasados artesanalmente. Por el contrario, los alimentos con mayor contaminación por fumonisinas fueron en bolsa cerrada (73 %), a granel (40 %) y artesanal (27 %). Además, un 35% de las muestras presentaron contaminación simultánea por aflatoxinas y fumonisinas, lo que subraya la importancia de continuar investigando el riesgo potencial de una exposición simultánea a estas micotoxinas. Estos hallazgos resaltan la necesidad de implementar controles estrictos en la selección de materias primas, la forma de manipulación y en las condiciones de almacenamiento, así como de continuar investigando el impacto de las micotoxinas en la salud de las mascotas.
Palabras clave: Aflatoxinas, fumonisinas, zearalenona, contaminación de alimentos, alimento seco para perros, ELISA.
Introduction
The history of the pet food (PF) industry dates to 1860 in England, when the first baked dog biscuits were marketed. Since then, this industry has experienced significant evolution over almost 2 centuries globally, distinguishing 3 basic forms of commercial pet foods: dry, semi-moist, and wet, with dry food (DF) being the most commercialized1,2. Currently, DF is available in various presentations, adapted to different life stages, physiological states and pathological conditions. Its popularity is partly due to its easy acquisition and administration, making it a preferred choice for pet owners3.
This industry largely shares the same ingredient supply chain as the human food, relying primarily on utilizing by-products and co-products. Consequently, the potential risks to food safety in PF ingredients are like those faced by the food industry in general, with one of the main challenges being biological contamination (pests), microbiological (bacteria and fungi), and chemical (pesticides, insecticides, metals, and fungicide residues). Such contamination poses a significant risk to pet health and can occur during production, storage, transportation, or even at the point of sale4-6. According to the Food and Agriculture Organization of the United Nations (FAO) report, 25 % of the world’s agricultural products are contaminated by mycotoxins each year7.
The clinical effects of mycotoxins vary depending on their type, concentration, and frequency of exposure. Some mycotoxins can cause both morbidity and mortality, either acutely at high doses or chronically with prolonged low-dose exposures. Acute symptoms may include anorexia, depression, gastrointestinal bleeding, jaundice, or acute liver injury manifesting as seizures8. On the other hand, chronic exposure to low doses of mycotoxins has been linked to chronic diseases such as hepatic and renal fibrosis, immune suppression-related infections, and cancer9.
Mycotoxins are secondary fungal metabolites synthesized by various fungi belonging to the genera Aspergillus, Fusarium, Penicillium, Alternaria, and Claviceps, which can contaminate cereal grains10. The main mycotoxins affecting animals and humans are aflatoxins (AF), deoxynivalenol (DON), zearalenone (ZEA), fumonisins (FUM), and ochratoxin A (OTA)11. AF, mainly produced by A. flavus and A. parasiticus, include common types such as (AFB1, AFB2, AFG1, and AFG2)4, being highly toxic, hepatotoxic, mutagenic, teratogenic, and carcinogenic12,13. DON, also known as vomitoxin, is produ- ced by Fusarium and causes vomiting and diarrhea4. ZEA, also produced by Fusarium, affects the reproductive system14. FUM (FB1 and FB2), produced by F. moniliforme and F. proliferatum, are hepatotoxic and nephrotoxic6. OTA, produced by different species of Aspergillus and Penicillium, is nephrotoxic, immunosuppressive, carcinogenic, and teratogenic6.
The traditional use of a wide variety of cereals (corn, sorghum, rice, wheat, oats, barley, and millet) by PF manufacturers, particularly in DF, contributes to the risk of mycotoxin intoxication in companion animals15. This problem is exacerbated by the ability of mycotoxins to withstand high temperatures and physical or chemical treatments, making their elimination difficult even through cooking8,15-17. Moreover, the contamination of PF can be especially relevant because they are usually kept and fed for a long period of their life, making them more vulnerable to chronic exposure to these toxic substances11.
In Bolivia, information on the contamination of dog food with these toxins is limited. Therefore, the present study aimed to detect the presence of mycotoxins in dry food marketed in Municipal District 1 of Santa Cruz de la Sierra.
Materials and methods
The study was conducted in markets and specialized pet stores located in Municipal District 1 (DM-1) of Santa Cruz de la Sierra, Bolivia. The investigation began on September 12 and concluded on December 12, 2023.
Santa Cruz de la Sierra is the capital of the Santa Cruz department, located at an altitude of 437 meters above sea level. Located at coordinates 17° 47’ 20” S and 63° 10’ 30” W, covering a total area of 1590 km². The city has a tropical climate, with average minimum temperatures of 18° C and maximums of 30° C in spring, 23° C and 33° C in summer, 18° C minimum and 30° C maximum in autumn, and in winter 12° C minimum and 20° C maximum18,19.
The municipality of Santa Cruz de la Sierra is divided into 15 municipal districts. DM-1, created on September 10, 1954, is in the western zone of the city and covers an area of 1578 ha. It is composed of 22 neighborhood units, approximately 70 barrios, and has a population of 112 000 inhabitants. It extends from the second to the fourth ring between Cristo Redentor and Piraí avenues. Among the historical barrios are Villa San Luis, Brígida, Villa Mercedes, and 4 de noviembre20. Figure 1 shows DM-1, the red dots indicating the specific locations where samples were collected.

The collected samples were analyzed at the Veterinary Research and Diagnostic Laboratory PROVETSUR of the Faculty of Veterinary Sciences at Gabriel René Moreno University.
Twenty-nine sampling units were identified and selected, comprising three municipal markets and ten specialized pet stores. The selection was based on the results of a previous survey using the Epicollect application21, considering only the markets registered in the official list of municipal markets and pet stores with permits from the competent authorities for the commercialization of PF. Unregistered or clandestine markets, as well as establishments without the appropriate authorization for the sale of pet food, were excluded from the study. Both the establishments and the samples were selected at random to avoid any bias throughout the research work.
Three categories of DF for dogs were evaluated: i) bulk food (BF), which is food that is sold without individual packaging, directly from the container, ii) artisanally packaged food (APF), food that is repackaged in bags or containers prepared by the seller and iii) sealed bag food (SBF), food marketed in the original manufacturer’s packaging.
A total of 45 DF samples for canines were acquired, distributed in 3 categories: 15 BF samples, 15 APF samples and 15 SBF samples. These samples were identified and classified according to the point of purchase and their characteristics, ensuring that they were obtained before the manufacturer’s indicated expiration date.
Each of the samples was crushed in a blander Oster classic chrome blender with ergonomic 3-speed knob BLST4655 until obtaining small and uniform particles, with the aim of obtained homogeneous samples. The ground samples were stored in Ziploc airtight bags, identified with a unique code, ready for the extraction process. For each sample, 10 g of each sample was obtained from the grinding carried out and liquefied for 3 minutes with 50 ml of a 70 % methanol extraction solution. The mixture was allowed to rest to ensure the separation of the solid and liquid phases (5 min), after which the upper extract layer was carefully filtered using a Whatman No. 1 filter. The pH of each extract was measured to verify that it was in a range of 6 to 8, according to the specifications of the analysis kit manufacturer22-24.
The laboratory technique employed was a direct competitive enzyme-linked immunosorbent assay (ELISA) for determination of AF, FUM and ZEA in samples of dry balanced food for dogs. This technique is a widely used analytical tool due to its high sensitivity, specificity, and speed.
For sample processing, 3 commercial ELISA kits from the AgraQuant® brand (Romer Labs Division Holding GmbH, Getzersdorf, Austria) were used to detect the presence of each mycotoxin. For AF, the AgraQuant® Total Aflatoxin 4/40 ELISA test kit was employed, which quantifies total aflatoxins (B1, B2, G1, and G2) in grains, cereals, nuts, animal feed, and other staple products22. For FUM, the AgraQuant® Fumonisin 0.25/5.0 ELISA test kit was used, designed for the quantitative analysis of fumonisins (B1, B2, and B3) in food and feed components23. For ZEA analysis, the AgraQuant® Zearalenone 25/1000 competitive ELISA test kit was used, which quantitatively determines the presence of ZEA in grains, cereals, and other staple products24. Each kit uses 5 reference standards, and 96 uL coated with antibodies and color-coded dilutions in the microwells, along with the conjugate, substrate, and stop solution, all samples were processed following the manufacturer’s guidelines, thereby meeting intrinsic validation criteria22-24. Statistical analyses were performed using MedCalc® Statistical (Software version 20.218)25.
The laboratory data were subjected to a statistical analysis to obtain the percentage of contaminated samples and the probability that a random sample in the study area presents concentrations of mycotoxins higher than the limits recommended by the European Federation of Pet Food (FEDIAF)26-28.
For this purpose, a gamma distribution is assumed, due to its applicability for variables whose values are always positive and may present unbalanced results. This applies to concentrations of mycotoxins to be analyzed. To this, the average obtained as an arithmetic mean and the standard deviation of each analysis group are first found, so that using the equations presented below (1)(2)(3)(4) the probability density function and the cumulative distribution function are obtained. This last function is the one that will allow us to know the probability of finding contaminated food.




PDF: Probability Density Function, CDF: Cumulative Distribution Function, k: Shape parameter, θ: Scale parameter, Γ(k): Gamma function evaluated at k, x: Mycotoxin concentration, μ: Mean, σ: Standard deviation.
Results
In this study, 45 samples of dry balanced dog food were analyzed for AF, FUM and ZEA and the results were compared with the maximum tolerable levels established by the FEDIAF (Table 1)26-28. The results revealed that 67 % (30/45) were contaminated with AF, FUM and ZEA were detected in 47 % (21/45) and 2 % (1/45), respectively.
| Mycotoxin | Maximum tolerable level in finished product (FEDIAF) |
| Aflatoxina | .01 |
| Fumonisinas | 5 |
| Zearalenona | .2 |
Figure 2 illustrates the percentages of positive and negative samples for the evaluated mycotoxins (AF, FUM and ZEA) based on the point of purchase. In markets, the percentage of positives samples was 63 % for AF, 26 % FUM, and 5 % for ZEA (n = 19 samples). In contrast, pet stores showed values of 69 %, 62 %, and 0 % (n = 26 samples) for the same mycotoxins, respectively.

The analysis of samples according to their mode of sale (BF, APF and SBF) revealed a high presence of AF, with 100 % of BF samples testing positive. In contrast, FUM and ZEA showed lower positive percentages in this category, at 40 % and 0 %, respectively. The APF samples exhibited 47 % positivity for AF, 27 % for FUM, and 7 % for ZEA. In the SBF category, the results for AF, FUM, and ZEA were 53 %, 73 %, and 0 %, respectively (Figure 3).
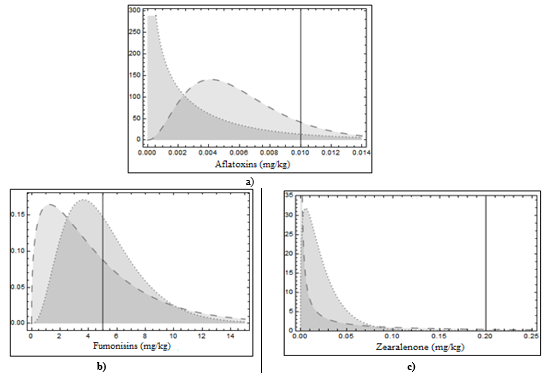
Figures 4 and 5 show the distributions obtained for each type of mycotoxin according to the point of sale and the sales format. From this analysis it was observed that AF concentration values are higher in the markets compared to stores. On the other hand, FUM values are very similar in markets and pet stores. As ZEA concentration values are very low in stores and presented a fairly small standard deviation (Figure 6).

| Mycotoxin | Point of Sale | Mean (mg/kg) | Std. Dev. (mg/kg) |
| Aflatoxin | Market | .005938817 | .003279171 |
| Store | .002976384 | .004087124 | |
| Bulk | .009073905 | .001750922 | |
| Artisanally | .001254229 | .001840163 | |
| Sealed Bag | .002353432 | .00238418 | |
| Fumonisin | Market | 4.462631579 | 3.783553359 |
| Store | 5.030769231 | 2.656404974 | |
| Bulk | 5.367333333 | 3.907895792 | |
| Artisanally | 3.621333333 | 2.991368217 | |
| Sealed Bag | 5.384000000 | 2.200203887 | |
| Zearalenone | Market | .048880988 | .138261996 |
| Store | .023465791 | .020541238 | |
| Bulk | .018588164 | .008249258 | |
| Artisanally | .057247643 | .155607155 | |
| Sealed Bag | .026754149 | .025823462 |
According to the sales format of the balanced dog food, the probability of finding aflatoxin-contaminated samples is higher in bulk sales compared to APF and SBF. In contrast, the probability of contamination by FUM was similar in BF (44.04 %) as in SBF (51.65 %), the probability in APF is lower (24.70 %). As for ZEA, the probability of contamination is low across all 3 sales formats. Figure 7.
The co-contamination by AF and FUM in markets and stores is presented in Table 3. It was found that 26 % of all samples analyzed from markets showed co-contamination, while in samples acquired from stores the percentage was 42 %.


Table 4 shows the co-contamination by AF and FUM according to the sales format. BF, co-contamination reached 40 %, whereas in APF samples the percentage was 20 % and in SBF samples it was 47 %.
Discussion
In the present study, total AF and FUM contamination in general was 67 % and 47 %, respectively, representing a significant percentage of the total number of samples. These results are consistent with the findings of similar studies. A study conducted in the Italian market29 found that 88 % of 48 DF samples were contaminated with AF and FUM, and 75 % showed contamination with ZEA. In Vienna, Austria, 76 samples of dry dog food collected from retail stores, supermarkets, and specialized pet stores revealed FUM contamination in 42 % of the samples11. In South Africa, samples from supermarkets, pet stores, and veterinary establishments, regardless of the distribution channel, showed that all 20 analyzed samples were contaminated with AF, exceeding the permissible limits by regulations in South Africa30.


The percentage of AF detected in both markets and stores is considerably high (67%), while for FUM the percentage of contaminated food is higher in stores than in markets. In both paces of sale, there is no guarantee that dry balanced dog food is free from contamination; one might assume that pet stores, being specialized in pet products and having more in-depth knowledge about proper handling, would present a lower contamination percentage.
| Mycotoxins | Point of Sale | Total Samples | Number of Samples | Positive Samples | Positive Samples (%) |
| AF+FUM | Market | 45 | 19 | 5 | 26 |
| Store | 45 | 26 | 11 | 42 |
| Mycotoxins | Point of Sale | Total Samples | Number of Samples | Positive Samples |
| AF+FUM | Bulk | 15 | 6 | 40 |
| Artisanally | 15 | 3 | 20 | |
| Sealed Bag | 15 | 7 | 47 |
It is important to note that the study area has a warm climate, with an average annual temperature between 29 and 32° C, which could be a triggering factor for fungal growth and, consequently, mycotoxin production. Elevated temperatures, high humidity, and water activity favor fungal growth and toxin production31.32. Notably, A. flavus and A. parasiticus, producers of AF, grow in a temperature range from 10 to 43° C, with an optimal temperature between 32-33° C, and produce AF at 12 and 40° C, with an optimum at 0.99 water activity (aw). F. graminearum produces deoxynivalenol and ZEA, has an optimal growth and mycotoxin production temperature between 24° C and 26° C, with an optimal water activity of 0.97 aw. F. verticillioides and F. proliferatum grow between 4° C and 37° C, with an optimum around 30° C and require a water activity of at least 0.90 aw. Regarding pH influence, fungi can grow in a (pH range between 3 and 8, with an optimum near 5)6,31-33.
This study reveals an alarming percentage of contamination by AF and FUM in dry balanced dog foods, varying according to the sales format: bulk, artisanally packaged, and sealed bag. All bulk samples tested were positive for AF suggests improper handling and storage practices. Prolonged environmental exposure, especially to high temperatures and humidity, favors fungal growth and mycotoxin accumulation; other influencing factors include the time elapsed from opening the food until its sale and consumption16,34.
A study conducted in Peru35 analyzed 32 dry balanced dog food samples from different markets, 100 % of the samples were positive. The similarity of results suggests that this mode of sale increases the probability of contamination. It is worth noting that the environmental conditions in that study were like those in our study, indicating that climatic factors would be decisive in AF contamination.
This study also found high levels of FUM contamination across all 3 sales formats, with the SBF category presenting the highest percentage (73 %). Research conducted in Brazil36 reported similar findings, with 10 out of 12 samples (83 %) contaminated by FUM. The toxicity of this mycotoxin is associated with alterations in cellular sphingolipid metabolism, leading to cellular lesions, apoptosis, necrosis, and hyperplasia. Although scientific evidence regarding its effects in companion animals is limited, studies in other species have demonstrated that FUM can cause hepatotoxicity and nephrotoxicity in cases of acute intoxication, as well as immunodepression in chronic exposure9.
The presence of several mycotoxins was identified in the samples analyzed, representing a complex challenge with significant implications for animal health. The toxicity of a mycotoxin depends not only on its concentration but also on the interaction between different mycotoxins, that can generate synergistic or additive effects, amplifying their toxicity. It is recognized that mycotoxins that act on common sites are more likely to produce cumulative toxic effects9. The simultaneous presence of FUM with OTA, ZEA and DON can lead to additive and synergistic effects in the development of various pathologies32. Therefore, it is essential to deepen the understanding of these interactions, to implement effective strategies for the prevention and control of mycotoxins in animal feed.
Our study demonstrates that purchasing of DF, regardless of the place or mode of sale, does not guarantee a product free from mycotoxins. This contamination represents a significant threat to animal health and food safety, requiring a comprehensive and collaborative approach to establish a regulatory framework at the international level. This framework should include effective strategies to reduce mycotoxin contamination throughout the supply chain from raw material production to the final product by applying good agricultural, storage, and manufacturing practices, as well as continuous monitoring to ensure food safety.
Combating mycotoxin contamination in foods is a shared responsibility involving regulatory authorities, the feed industry, the scientific community, and consumers. All stakeholders must work together to raise awareness about this problem, implement preventive measures (deactivation and decontamination methods), and promote research to better understand the effects of mycotoxins on animal health.
Given that the bond between humans and companion animals has strengthened considering them as important members of the family and society the commitment to their health and well-being has increased. Concerns about mycotoxin contamination in pet food have grown, reflecting a deep concern among pet owners, veterinarians and pet food manufacturers regarding food safety and quality. It is important to emphasize that dogs, having a longer lifespan compared to animals raised for food, are more vulnerable to chronic exposure to toxins due to the practicality of administering such diets.
Finally, the lack of previous studies evaluating mycotoxins in PF sold in different formats makes comparison difficult. Therefore, it is essential to carry out further research to better understand the prevalence and risk factors associated with mycotoxin contamination and to implement preventive measures to protect the health of companion animals.
Cited literature
1. The history of pet food [Internet]. Pet Food Institute. 2024 [cited 18 September 2023]. Retrieved from: https://www.petfoodinstitute.org/the-history-of-pet-food/
2. Crane Stephen W, Cowell CS, Stout NP, Moser EA, Millican J, Romano Jr P, et al. Commercial pet foods. In: Mark Morris Institute, editors. Small Animal Clinical Nutrition [Internet]. Topeka: Mark Morris Institute; 2022. p. 158-90. Retrieved from: https://www.markmorrisinstitute.org/sacn5_download.html
3. Case LP, Daristotle L, Hayek MG, Raasch MF. History and regulation of pet foods. In: Case LP, Daristotle L, Hayek MG, Raasch MF, editors. Canine and Feline Nutrition: A Resource for Companion Animal Professionals. Mosby: Missouri; 2011. p. 121-9. DOI: https://doi.org/10.1016/B978-0-323-06619-8.10014-3
4. Carrión PA, Thompson LJ. Pet food. In: Lelieveld HL, Motarjemi Y, editors. Food Safety Management. A Practical Guide for the Food Industry. Amsterdam: Academic Press; 2014. p. 379-96. DOI: https://doi.org/10.1016/B978-0-12-381504-0.00015-9
5. Biological, chemical and physical contaminants in animal feed [Internet]. Food and Drug Administration. 2024 [cited 19 October 2024]. Retrieved from: https://www.fda.gov/animal-veterinary/animal-food-feeds/contaminantes-biologicos-quimicos-y-fisicos-en-alimentos-para-animales
6. Bhat R, Rai RV, Karim AA. Mycotoxins in food and feed: present status and future concerns. Compr Rev Food Sci Food Saf 2010;9(1):57-81. DOI: https://doi.org/10.1111/j.1541-4337.2009.00094.x
7. Eskola M, Kos G, Elliott CT, Hajšlová J, Mayar S, Krska R. Worldwide contamination of food-crops with mycotoxins: Validity of the widely cited 'FAO estimate' of 25. Crit Rev Food Sci Nutr 2020;60(16):2773-89. DOI: https://doi.org/10.1080/10408398.2019.1658570
8. Tegzes JH, Oakley BB, Brennan G. Comparison of mycotoxin concentrations in grain versus grain-free dry and wet commercial dog foods. Toxicol Commun 2019;3(1):61-6. DOI: https://doi.org/10.1080/24734306.2019.1648636
9. Boermans HJ, Leung MC. Mycotoxins and the pet food industry: toxicological evidence and risk assessment. Int J Food Microbiol 2007;119(1-2):95-102. DOI: https://doi.org/10.1016/j.ijfoodmicro.2007.07.063
10. Janik E, Niemcewicz M, Ceremuga M, Stela M, Saluk-Bijak J, Siadkowski A, et al. Molecular aspects of mycotoxins-a serious problem for human health. Int J Mol Sci 2020;21(21):8187. DOI: https://doi.org/10.3390/ijms21218187
11. Böhm J, Koinig L, Razzazi-Fazeli E, Blajet-Kosicka A, Twaruzek M, Grajewski J, et al. Survey and risk assessment of the mycotoxins deoxynivalenol, zearalenone, fumonisins, ochratoxin A, and aflatoxins in commercial dry dog food. Mycotoxin Res 2010;26(3):147-53. DOI: https://doi.org/10.1007/s12550-010-0049-4
12. Deng J, Zhao L, Zhang NY, Karrow NA, Krumm CS, Qi DS, et al. Aflatoxin B1 metabolism: regulation by phase I and II metabolizing enzymes and chemoprotective agents. Mutat Res Rev Mutat Res 2018;778:79-89. DOI: https://doi.org/10.1016/j.mrrev.2018.10.002
13. Böhm J. Effects of mycotoxins in domestic pet species. In: Laue DK, Tucker LA, editors. Recent advances in pet nutrition [Internet]. Switzerland: CABI Digital; 2006. p. 169-92. Retrieved from: https://www.cabidigitallibrary.org/doi/full/10.5555/20093200583
14. Leung MC, Díaz-Llano G, Smith TK. Mycotoxins in pet food: a review on worldwide prevalence and preventative strategies. J Agric Food Chem 2006;54(26): 9623-35. DOI: https://doi.org/10.1021/jf062363+
15. Boermans HJ, Leung MC. Mycotoxins and the pet food industry: toxicological evidence and risk assessment. Int J Food Microbiol 2007;119(1-2):95-102. DOI: https://doi.org/10.1016/j.ijfoodmicro.2007.07.063
16. Alshannaq A, Yu JH. Occurrence, toxicity, and analysis of major mycotoxins in food. Int J Environ Res Public Health 2017;14(6):632. DOI: https://doi.org/10.3390/ijerph14060632
17. Kara K. Comparison of some mycotoxin concentration and prevalence in premium and economic class of adult dog foods. Ital J Anim Sci 2022;21(1):1380-9. DOI: https://doi.org/10.1080/1828051X.2022.2117105
18. Santa Cruz atlas de potencialidades productivas del Estado Plurinacional de Bolivia 2009 [Internet]. Biblioteca Virtual de la Cooperación Alemana. 2024 [citado 5 de mayo de 2024]. Recuperado a partir de: https://www.bivica.org/file/view/id/3397
19. Clima de Bolivia [Internet]. Bolivia Turismo.2024 [citado 4 de mayo de 2024]. Recuperado a partir de: https://www.boliviaturismo.com.bo/clima-temperatura.html
20. Sub Alcaldía del Distrito Municipal 1 [Internet]. Gobierno Autónomo Municipal de Santa Cruz de la Sierra. 2024 [citado 10 de enero de 2025]. Recuperado a partir de: https://www.gmsantacruz.gob.bo/Mi-Ciudad/Distrito-Municipales/Distrito-Municipal-1/
21. Aanensen DM, Huntley DM, Feil EJ, al-Own F, Spratt BG. EpiCollect: linking smartphones to web applications for epidemiology, ecology and community data collection. PLoS One 2009;4(9):e6968. DOI: https://doi.org/10.1371/journal.pone.0006968
22. AgraQuant® Total Aflatoxin ELISA Test [Internet]. Romer Labs. 2023 [cited May 5, 2023]. Retrieved from: https://www.romerlabs.com/en/shop/agraquant-r-total-aflatoxin-elisa-test/
23. AgraQuant® Fumonisin ELISA test [Internet]. Romer Labs. 2023 [cited May 5, 2023]. Retrieved from: https://www.romerlabs.com/es/shop/agraquant-r-fumonisin-elisa-test/
24. AgraQuant® Zearalenone Plus ELISA test [Internet]. Romer Labs. 2023 [cited May 5, 2023]. Retrieved from: https://www.romerlabs.com/es/shop/agraquant-r-zearalenone-elisa-test/
25. User-friendly statistical software [Internet]. MedCalc. Easy-to-use statistical software. 2020 [cited 14 October 2023]. Retrieved from: https://www.medcalc.org/
26. Potential safety risks in pet food ingredients [Internet]. Food for pets - promoting excellence in the Australian pet food industry. 2020 [cited August 19, 2024]. Retrieved from: https://pfiaa.com.au/contaminants-residues-and-ingredients-with-safety-risks-in-pet-food/
27. The European Parliament and the Council of the European Union. Directive 2002/32/Ec of the European Parliament and of the Council [Internet]. Brussels: The European Parliament and the Council of the European Union; 2002 [cited August 18, 2023]. 22 p. Retrieved from: https://eur-lex.europa.eu/LexUriServ/LexUriServ.do?uri=CONSLEG:2002L0032:20061020:EN:PDF
28. Kyprianou M. Commission Recommendation of 17 August 2006 on the presence of deoxynivalenol, zearalenone, ochratoxin A, T-2 and HT-2 and fumonisins in products intended for animal feeding families [Internet]. Brussels: Official Journal of the European Union; 2006 [cited August 11, 2023]. 3 p. Retrieved from: https://eur-lex.europa.eu/LexUriServ/LexUriServ.do?uri=OJ:L:2006:229:0007:0009:EN:PDF
29. Gazzotti T, Biagi G, Pagliuca G, Pinna C, Scardilli M, Grandi M, et al. Occurrence of mycotoxins in extruded commercial dog food. Anim Feed Sci Technol 2015;202:81-9. DOI: https://doi.org/10.1016/j.anifeedsci.2015.02.004
30. Singh SD, Chuturgoon AA. A comparative analysis of mycotoxin contamination of supermarket and premium brand pelleted dog food in Durban, South Africa. J S Afr Vet Assoc 2017;88(0):e6. DOI: https://doi.org/10.4102/jsava.v88i0.1488
31. Atungulu GG, Mohammadi-Shad Z, Wilson S. Mycotoxin issues in pet food. In: Ricke SC, Atungulu GG, Rainwater CE, Park SH, editors. Food and Feed Safety Systems and Analysis. Amsterdam: Academic Press; 2018. p. 25-44. DOI: https://doi.org/10.1016/B978-0-12-811835-1.00002-6
32. Soriano del Castillo JM, editor. Micotoxinas en alimentos [Internet]. Madrid: Ediciones Díaz de Santos; 2007 [citado 22 de octubre de 2023]. 34 p. Recuperado a partir de: https://www.editdiazdesantos.com
33. Martínez-Martínez L, Valdivia-Flores AG, Guerrero-Barrera AL, Quezada-Tristán T, Rangel-Muñoz EJ, Ortiz-Martínez R. Toxic effect of aflatoxins in dogs fed contaminated commercial dry feed: a review. Toxins (Basel) 2021;13(1):65. DOI: https://doi.org/10.3390/toxins13010065
34. Maia PP, Bastos de Siqueira ME. Occurrence of aflatoxins B1, B2, G1 and G2 in some Brazilian pet foods. Food Addit Contam 2002;19(12):1180-3. DOI: https://doi.org/10.1080/0265203021000011214
35. Vizcarra Perales MA. Presencia de aflatoxinas en alimento balanceado para perros (Canis familiaris) comercializado a granel en mercados del distrito de Barranco [tesis licenciatura]. [Lima]: Universidad Científica del Sur; 2014 [citado 7 de septiembre de 2023]. Recuperado a partir de: https://repositorio.cientifica.edu.pe/handle/20.500.12805/455
36. Pereira EF, Mozart GG, Teixeira LDSS, Aronovich M, Rodrigues E, Keller LAM. Evaluation of mycobiota and mycotoxins in moist and natural pet foods sold in Brazil. R Bras Ci Vet 2021;28(2):26-8. DOI: https://doi.org/10.4322/rbcv.2021.038
Notes
__________
___________
___________
__________
__________
___________
__________
____________
___________
Author notes
Mayori Adamary Vargas-Gomez E-mail address : mayorivargas1805@gmail.com
Alternative link

