

Artículo científico
El subrégimen industrial de Tierra del Fuego: propuesta de reformulación para una política industrial fallida
The Tierra del Fuego Industrial Sub-regime: A Reformulation Proposal for a Failed Industrial Policy
Económica
Universidad Nacional de La Plata, Argentina
ISSN: 0013-0419
ISSN-e: 1852-1649
Periodicidad: Frecuencia continua
vol. 70, 2024
Recepción: 18 mayo 2024
Aprobación: 25 junio 2024
Publicación: 06 diciembre 2024

Resumen: El subrégimen industrial de Tierra del Fuego es el más controvertido y oneroso régimen de promoción económica de Argentina. Creado en 1972 como parte central de un régimen de incentivos más amplio, regula la entrada de productos fabricados en Tierra del Fuego al resto del mercado argentino, estableciendo los beneficios asociados y las condiciones de acceso. A pesar de su importancia y centralidad en la discusión pública, no se han formulado hasta ahora propuestas concretas de reformulación integral del subrégimen ni se han desarrollado herramientas de análisis que permitan evaluar sus impactos esperables. En este trabajo, a partir de un diagnóstico en el cual identificamos un problema de diseño en el esquema de incentivos, que caracterizamos como inadecuado al premiar la facturación de las empresas en vez del valor agregado que generan, planteamos una propuesta de reformulación que busca bajar gradualmente, en un plazo de 11 años, la mayor parte de la renuncia fiscal asociada al subrégimen. A la vez, desarrollamos un modelo de simulación que permite evaluar los impactos de esta propuesta en términos de empleo, producción y resultado fiscal. Los resultados muestran que el costo fiscal del subrégimen asciende a US$ 1070 M y que la implementación de nuestra propuesta generaría un ahorro fiscal acumulado en 11 años de aproximadamente US$ 5900 M (más casi US$ 900 M en cada año subsiguiente). A la vez, se perderían aproximadamente 7250 empleos, que podrían verse compensados –según un estudio complementario (Bril Mascarenhas et al., 2023)– con la creación de un número similar de empleos en nuevos sectores autosustentables.
Palabras clave: políticas de desarrollo productivo, política industrial, políticas de desarrollo territorial, zonas económicas especiales, subrégimen industrial, Tierra del Fuego, costo fiscal.
Abstract: The Tierra del Fuego industrial sub-regime is Argentina's most controversial and costly economic promotion program. Established in 1972 as a central component of a broader incentive framework, it regulates the entry of products manufactured in Tierra del Fuego into the rest of the Argentine market, detailing the associated benefits and access conditions. Despite its significance and centrality in public discourse, no concrete proposals for a comprehensive reformulation of the sub-regime have been advanced to date, nor have adequate analytical tools been developed to assess its expected impacts. This paper proposes a reformulation based on a diagnostic analysis that identifies a design flaw in the incentive scheme, which rewards company sales rather than the value they add. Our proposal aims to gradually reduce most of the tax expenditure associated with the sub-regime over an 11-year period. Additionally, we develop a simulation model to assess the impacts of this proposal in terms of employment, production, and fiscal outcome. The results indicate that the sub-regime’s fiscal cost amounts to approximately USD 1,070 million per year, and that implementing our proposal would result in an accumulated fiscal saving of approximately USD 5,900 million over 11 years (with nearly USD 900 million in additional annual savings thereafter). Simultaneously, an estimated 7,250 jobs would be lost, though these could be offset – according to a complementary study (Bril Mascarenhas et al., 2023) – by the creation of a similar number of jobs in emerging self-sustaining sectors.
Keywords: Productive development policies, industrial policy, regional development policy, special economic zones, industrial sub-regime, Tierra del Fuego, fiscal cost.
Introducción
Un nuevo interés en torno a las políticas de desarrollo productivo ha resurgido en los últimos años, tanto en el ámbito académico como en el debate público. A pesar de que una primera manifestación de este resurgimiento había sido disparada en América Latina por un influyente flagship report del Banco Interamericano de Desarrollo (Crespi et al., 2014), solo recientemente las políticas de desarrollo productivo (o industrial policy, como suelen denominarse en inglés) han vuelto a ser abiertamente reconocidas y discutidas en ámbitos internacionales. Tradicionalmente identificadas con la protección a industrias infantes y con los magros resultados en países latinoamericanos de la llamada estrategia por sustitución de importaciones (ESI), las diversas formas que puede tomar su diseño e implementación habían dejado de ser motivo de análisis y discusión en las últimas décadas, confinándose su evaluación a las características particulares que tomó la ESI en la región (Baldwin, 1969; Pack y Saggi, 2006). Sin embargo, un nuevo conjunto de evidencia sobre impactos positivos de dichas políticas en las experiencias de industrialización asiáticas (Cherif y Hasanov, 2019; Liu, 2019; Lane, 2022), junto con el predominio que tuvieron en la reciente industrialización de China, ha provocado una renovada atención sobre ellas.
El resurgimiento del interés por este tipo de políticas también se manifiesta en su creciente aplicación por parte de los gobiernos. Estudios recientes basados en el relevamiento de medidas de política de más de 175 países recopiladas por Global Trade Alert (Juhász et al., 2022; Evenett et al., 2024) advierten que en los últimos años –particularmente luego de la crisis de 2008-2009– ha aumentado su uso de forma significativa. Aunque tradicionalmente se ha señalado a los países en desarrollo como aquellos más proclives a recurrir a políticas de desarrollo productivo para promover su desarrollo, estos trabajos señalan que, por el contrario, son los países desarrollados los que están traccionando esta nueva ola de industrial policy. Esta se lleva a cabo principalmente a partir de la aplicación de subsidios, en contraposición a la inclinación más habitual de los países en vías de desarrollo hacia las trabas al comercio –posiblemente por restricciones fiscales–.
Tanto el retorno de la discusión de políticas de desarrollo productivo en América Latina durante la última década (Crespi et al. 2014) como la incipiente discusión de estas políticas en el mundo desarrollado (Criscuolo et al., 2022; Juhász et al., 2023) ponen de relieve sus varias dimensiones más allá de la protección comercial y las distintas estrategias que enmarcan su uso. Criscuolo et al. (2022) distinguen cuatro tipos de estrategias: (1) orientadas por misiones, cuyo objetivo es abordar un determinado problema o desafío, sea este definido en forma amplia (p. ej., estrategias verdes de mitigación y adaptación al cambio climático) o específica (p. ej., proyectos de desarrollos tecnológicos de la Defense Advanced Research Projects Agency –DARPA– de los Estados Unidos); (2) sectoriales, que buscan desarrollar sectores específicos a través de beneficios a las empresas que los conforman; (3) focalizadas en la tecnología, que buscan impulsar el desarrollo de tecnologías claves; y (4) de desarrollo territorial .place-based), orientadas a desarrollar determinadas localidades rezagadas, usualmente por la presencia de población vulnerable o por la posibilidad de aprovechar economías de aglomeración (Neumark y Simpson, 2015; Duranton y Venables, 2019). Dentro de este último grupo se incluyen políticas de formación de capital humano, inversión en infraestructura y fortalecimiento de clusters, así como la creación de zonas económicas especiales (ZEE). El Régimen de Tierra del Fuego, del que trata este trabajo, corresponde a este último grupo de políticas, en este caso establecidas con fines geopolíticos de ocupación territorial.
Las ZEE suelen ofrecer ventajas a las empresas tales como exoneraciones impositivas, menores controles a los flujos de divisas, facilitación de servicios de importación y exportación, y provisión de infraestructura para la producción y la logística (McCallum, 2011). Algunos surveys recientes (United Nations Conference on Trade and Development, 2019; Buba y Wong, 2017; Zeng, 2021) indican que, aunque estas zonas pueden tener efectos positivos sobre la atracción de inversiones y el desempeño en términos de producción, exportaciones, empleo y productividad de las empresas atraídas, suelen tener un impacto limitado sobre el crecimiento del país que las establece. A la vez, los impactos que generan las ZEE dependen de la preexistencia de capacidades industriales, así como del acceso a centros de transporte, proximidad a grandes mercados y adecuada disponibilidad de recursos humanos e infraestructura (Buba y Wong, 2017; Frick et al., 2019). Además, los resultados suelen verse favorecidos por la implementación de políticas de empleo como capacitaciones y vinculaciones laborales, y por un marco legal e institucional transparente y previsible.
El establecimiento del Régimen de Tierra del Fuego se remonta a 1972 cuando las tensiones limítrofes en ese espacio geoestratégico (por su proximidad a la Antártida y el paso internacional bioceánico) motivaron a avanzar con el objetivo de fomentar el aumento de la población y el empleo en la región que hoy es la Provincia de Tierra del Fuego, Antártida e Islas del Atlántico Sur (“la isla” o “Tierra del Fuego”). Así, la sanción de la Ley 19.640 definió un conjunto de exenciones tributarias para este territorio (el “Régimen”) que apunta a disminuir el costo de vida en esa región aislada de los principales centros económicos y promover la radicación de empresas para impulsar el empleo. Un subconjunto de beneficios, el llamado “subrégimen industrial” (o simplemente “subrégimen”), regula las condiciones que permiten la entrada al “continente” de bienes “originarios” de la isla, manteniendo dichas exenciones.
Desde su establecimiento en 1972, el objetivo geopolítico poblacional se ha logrado: en cincuenta años la población fueguina se multiplicó por 14, mientras que la nacional solo se duplicó. El empleo industrial provincial, por su parte, se triplicó entre 1996 y 2021, en tanto que el nacional solo creció un 30%. Diversas industrias se han establecido en la isla bajo el amparo del subrégimen: principalmente la industria electrónica, que hoy reúne a algunos de los grupos económicos de capital local de mayor facturación de la Argentina (Rabinovich, 2018; “Ranking de las 1000 empresas que más venden”, 2024), aunque también las industrias química, plástica, textil, e incluso empresas pesqueras que procesan pescado capturado en aguas internacionales. También se lograron crear capacidades industriales, logísticas y de gestión de la calidad (García y Lavarello, 2022), además de algunas vinculaciones puntuales con otras industrias, particularmente la automotriz. Sin embargo, esto se ha logrado a costa de un creciente costo fiscal para el erario público, que actualmente supera los mil millones de dólares estadounidenses anuales (US$ 1000 M), siendo este el principal componente del gasto tributario en regímenes de promoción económica del Estado nacional (Subsecretaría de Ingresos Públicos, 2022) –aun sin contar la porción de beneficios que no forman parte del subrégimen–. Como se argumentará en este trabajo, este creciente costo fiscal es consecuencia intrínseca de un mal diseño de los incentivos otorgados, que se determinan en función de la facturación total de las empresas en lugar de en función de su valor agregado (que en particular no incluye el valor del componente importado). Ello desincentiva los esfuerzos productivos por innovar y generar valor propio, en un ya difícil contexto de aislamiento geográfico y organización de las cadenas globales de valor.
Si bien el subrégimen industrial de Tierra del Fuego no se planteó como objetivo principal el desarrollo de sectores de alta tecnología, el sector electrónico supo erigirse como el de mayor relevancia, especialmente a partir de los beneficios adicionales impulsados por el gobierno nacional en 2009. Esta orientación productiva incrementó los desafíos de esta ZEE. Como indica la evidencia, las zonas que han intentado desarrollar sectores de alta tecnología han sido menos exitosas que aquellas intensivas en trabajo de baja calificación (Frick et al., 2019) debido a que los derrames buscados se encuentran condicionados por la capacidad local de absorción del entramado productivo circundante, que suele requerir de políticas industriales complementarias como son los esquemas de promoción científico-tecnológico. Aun así, Frick y Rodríguez-Pose (2021), a partir del análisis de más de cien ZEE de Colombia y países de África y Asia, encuentran que el aprovisionamiento de insumos y servicios locales tiende a ser bajo y se limita a aquellos de baja complejidad tecnológica –como empaques–.
A lo largo de los últimos cincuenta años se han invertido cuantiosos recursos para compensar las difíciles condiciones de desarrollo de la isla, que se apartan significativamente de las condiciones asociadas a una mayor probabilidad de éxito de las ZEE. Sin embargo, no se ha logrado desarrollar un ecosistema competitivo de proveedores y servicios especializados en torno a industrias competitivas, apoyados en una adecuada infraestructura física, que contrarreste dichas condiciones. Las industrias bajo el subrégimen industrial no han podido generar encadenamientos productivos con capacidad de traccionar una mayor actividad económica más allá de aquella directamente beneficiada por el subrégimen, así como tampoco han logrado autonomía con respecto a sus beneficios. Incluso, en el caso de la electrónica, han requerido mayores incentivos para hacer viable la actividad –como la introducción en 2009 del diferencial de la tasa de impuestos internos sobre los productos importados–.
Un relevamiento de Comisión Económica para América Latina y el Caribe [CEPAL] y OXFAM Internacional (2019) sobre estudios de ZEE en América Latina y el Caribe indica que estas zonas en general no han sido costo-eficientes en tanto insumen grandes erogaciones fiscales que no suelen ser compensadas en términos de generación de empleo o inversiones. A pesar de ello, la frecuente conformación de ZEE en Latinoamérica, como caso particular de una amplia variedad de regímenes de exenciones impositivas utilizados en la región, podría explicarse, según Hallak y López (2022), por los bajos requerimientos de capacidades estatales que demanda su operación. A la vez, suelen persistir en el tiempo a pesar de los altos sacrificios fiscales que conllevan –que contrastan con beneficios inciertos y raramente bien identificados– por la captura política, de la mano de controles deficientes y baja transparencia. El subrégimen industrial es un claro ejemplo de ello: lleva cincuenta años de permanencia a pesar de su alto costo fiscal y de no haber generado mayor beneficio que los puestos de trabajo creados bajo su amparo.
En este trabajo proponemos una reformulación del subrégimen industrial que busca eliminar gradualmente (en un plazo de 11 años) la mayor parte del costo fiscal asociado al subrégimen. Para estimar dicho costo y evaluar los impactos de la propuesta en términos de empleo, producción y resultado fiscal, desarrollamos un modelo de simulación. Tomando como base el análisis en Hallak, Park y Bentivegna (2023) –el segundo de tres documentos que componen el estudio “Hacia una transformación productiva posible en Tierra del Fuego” (Fundar, 2023)– en este artículo reproducimos su contenido esencial profundizando aspectos de interés académico como la conexión con la literatura sobre estrategias de desarrollo territorial a partir de ZEE y la estructura matemática y funcionamiento del modelo de simulación. Es la primera vez, hasta donde tenemos conocimiento, que se desarrolla una herramienta de este tipo para estimar y hacer públicas las implicancias esperables de una propuesta de reformulación del subrégimen.
El modelo de simulación se focaliza en los tres principales productos del subrégimen –teléfonos celulares, televisores y equipos de aire acondicionado, que conforman el 77 % de su facturación total– y luego extrapola los resultados hacia la porción del subrégimen restante. Para cada uno de estos productos, el modelo permite estimar cómo los cambios en los beneficios impositivos impactan en el precio y en la demanda relativa del producto importado relativamente a aquel producido en Tierra del Fuego. De esta manera, permite estimar escenarios contrafactuales, en particular aquellos asociados tanto a la implementación de nuestra propuesta de reformulación del esquema de incentivos del subrégimen, así como a la eliminación total de sus beneficios (el cual determina nuestro cálculo de costo fiscal). Los resultados muestran que el costo fiscal del subrégimen asciende a US$ 1070 M anuales y que la implementación de la propuesta de base generaría un ahorro fiscal acumulado en 11 años de aproximadamente US$ 5900 M (más casi US$ 900 M en cada año subsiguiente). A su vez, después de 11 años dejarían de ensamblarse los teléfonos celulares (el producto de menor valor agregado local), mientras que en televisores y acondicionadores de aire se mantendría el 61% y el 28% de la producción (y el empleo) de 2021, respectivamente. Con respecto a los precios, el cambio en teléfonos celulares no sería significativo (+2%), pero sí subiría el precio promedio de los televisores (+27%) y de los acondicionadores de aire (+10%). Además de la propuesta de base, analizamos también una propuesta alternativa en la que se aplica a los teléfonos celulares la misma alícuota de impuestos internos que al resto de los productos electrónicos, y escenarios alternativos considerando una mayor sensibilidad de relocalización de empresas hacia el exterior y ganancias de eficiencia logística en la producción fueguina. Los resultados no se ven modificados en forma significativa.
La reformulación propuesta implicaría también, según el modelo, la pérdida de casi 7300 empleos. Sin embargo, en Bril Mascarenhas et al. (2023) –tercer componente de Fundar (2023)– se discute la viabilidad de una propuesta integral de transformación productiva en la provincia que permitiría el desarrollo de nuevas actividades autosustentables –entre ellas, el turismo y los servicios basados en conocimiento– con un potencial de creación de empleo mayor a esa cantidad. A la vez, se argumenta allí que esta reconversión de la matriz productiva de la isla podría ser financiada con solo parte del ahorro fiscal generado. De esta manera, implementada integralmente con el desarrollo de nuevos sectores, nuestra propuesta no atentaría contra las consideraciones geopolíticas que le dieron origen al Régimen, ya que dejaría inalterado el empleo total en Tierra del Fuego.
Además de su relevancia para la política pública, este trabajo contribuye a la literatura académica existente sobre el Régimen de Tierra del Fuego. Un primer grupo de estudios incluye trabajos abocados a relevar los cambios normativos a lo largo del tiempo y a sistematizar y caracterizar el marco legal del subrégimen industrial (Consejo Federal de Inversiones [CIF], 2013; Schorr y Porcelli, 2014; Romano et al., 2018). Estos estudios, sin embargo, no destacan –como se hace aquí– el error de diseño que conlleva un esquema de incentivos que premia la facturación total de las empresas en vez de solo el componente de valor agregado. Otro grupo incluye a aquellos que se han focalizado en la industria electrónica (Azpiazu et al., 1987; Cimillo y Roitter, 1989; García y Lavarello, 2022), la mayoría de los cuales la caracteriza como un “enclave ‘maquilador’” con “escasa o nula integración local” y sesgo mercado internista, aunque García y Lavarello (2022) destacan la existencia de nichos de valor pasibles de ser aprovechados a partir de las capacidades desarrolladas. En nuestro caso, no enfatizamos ni cuantificamos el valor del conocimiento tecnológico adquirido, aunque nuestra propuesta lleva implícita la noción de que no compensa la onerosidad de la renuncia fiscal que genera el subrégimen industrial. Finalmente, un último grupo ha explorado distintas oportunidades de diversificación productiva por fuera del subrégimen industrial (Centro Interdisciplinario de Estudios en Ciencia, Tecnología e Innovación [CIECTI], 2018; Comisión Económica para América Latina [CEPAL], 2023); el análisis de estas oportunidades es un componente esencial de la propuesta integral de transformación productiva de la que es parte este trabajo (ver en particular Bril Mascarenhas et al., 2023).
El trabajo se organiza de la siguiente manera. La sección 2 explica los principales beneficios del Régimen y, especialmente, del subrégimen industrial de Tierra del Fuego. La sección 3 caracteriza la estructura económica resultante, con particular atención sobre la industria electrónica. Esta sección también describe, analiza y compara las estructuras de costos nacional e importada de los tres productos más significativos del subrégimen. La sección 4 describe el funcionamiento del modelo de simulación. La sección 5 presenta los resultados de aplicar el modelo para estimar el costo fiscal del subrégimen. La sección 6 presenta la Propuesta de Reformulación del subrégimen industrial, detallando todos sus componentes y su implementación en el tiempo. La sección 7 utiliza el modelo de simulación para evaluar las implicancias esperables de la implementación de la Propuesta de Reformulación. Finalmente, la sección 8 presenta las conclusiones.
2. El Régimen de Tierra del Fuego y el subrégimen industrial
El Régimen de Tierra del Fuego consiste en un conjunto especial de beneficios fiscales y aduaneros otorgados a partir de la Ley 19.640 de 1972 con el objetivo geoestratégico de fomentar el aumento de la población y el empleo en ese territorio. Algunos beneficios están destinados a disminuir el costo de vida desgravando el consumo y la actividad económica a través de la exención del Impuesto al Valor Agregado (IVA), el Impuesto a las Ganancias, los impuestos internos y los aranceles a la importación, entre otros. Otro conjunto de beneficios, denominado subrégimen industrial, regula las condiciones que permiten la entrada al “continente”, manteniendo dichas exenciones, de bienes “originarios” de la isla (aunque compuestos de una alta fracción de insumos importados). Esta sección se focaliza en este último conjunto de beneficios, que es aquel que determina gran parte del costo fiscal del Régimen1.
El principal requisito para acceder a los beneficios del subrégimen industrial es la acreditación, en el marco de proyectos aprobados, de que la mercadería sea “originaria” (de Tierra del Fuego). Aunque el artículo 24º de la Ley 19.640 ofrece tres vías para acreditar origen, la mayoría de los bienes entran al continente bajo una de ellas, que exige haber sido objeto de un proceso final que implique una transformación o trabajo sustancial de insumos importados (Álvarez, 2013)2. Este requisito es una pieza clave de la regulación del subrégimen3.
El principal beneficio que reciben las empresas bajo el subrégimen industrial es un crédito fiscal generado en cada venta de igual magnitud que el débito fiscal correspondiente al IVA facturado. Como la venta en continente no está exenta de IVA, el productor manufacturero de la isla discrimina y cobra este impuesto en la factura que le entrega a su cliente en continente (por ejemplo, una cadena de electrodomésticos) de tal forma que esta última pueda descontarlo como crédito en su propia declaración de IVA. Ahora bien, en lugar de abonar el débito fiscal del 21 % correspondiente a dicha venta (como dicta la norma general), el productor de la isla computa un crédito fiscal que compensa dicho débito, cancelándolo en esta operación. En otras palabras, se queda con el IVA cobrado incorporándolo como parte de sus ingresos. Es importante notar que este 21 % se calcula sobre un monto de facturación, compuesto en una porción minoritaria por su propio valor agregado y en una porción mayoritaria por el valor de los insumos mayormente importados del exterior (ya exentos de IVA al entrar a la isla). Cabe aclarar, sin embargo, que el crédito fiscal no necesariamente se convierte en ganancia empresaria, sino que puede ayudar a mantener competitividad frente a la oferta importada de productos terminados en presencia de costos más altos (ver sección 7).
El segundo estímulo más importante que reciben los fabricantes manufactureros de la isla es la exención del pago de aranceles (y la tasa de estadística) en la importación de insumos. La magnitud de esta exención dependerá de la composición de los insumos que requiera la producción de cada producto, aunque promedia cerca del 11 % del valor de importación en los principales productos. Teniendo en cuenta que los insumos importados dan cuenta de la porción mayoritaria del costo de los productos fabricados al amparo del subrégimen industrial, esta exención aduanera también constituye un beneficio económico sustancial.
Existen también incentivos adicionales, aunque con impacto fiscal significativamente menor. Primero, las empresas se encuentran beneficiadas con la exención del Impuesto a las Ganancias. Segundo, tributan una alícuota del Impuesto a los Débitos y Créditos Bancarios (IDCB) menor a la general (2,50 ‰ frente a 6 ‰). Tercero, en el caso de la electrónica, tributan una alícuota de la tasa de impuestos internos sustancialmente menor a la que se aplica sobre la competencia (actualmente de 9,5 % frente a 19 %), la cual proviene casi exclusivamente del exterior. Otros impuestos de recaudación provincial que deben abonar, aunque no constituyen beneficios adicionales con respecto a lo pagado en continente, son Ingresos Brutos y la Tasa de Verificación de Procesos Productivos (TVPP).
Finalmente, existen otros beneficios que, si bien no forman parte del marco normativo del subrégimen, contribuyen con ventajas adicionales a la producción en Tierra del Fuego. Uno de ellos es la existencia de medidas antidumping aplicadas a los acondicionadores de aire provenientes de China (precios FOB mínimos de entre US$ 110,49 y US$ 332,42 según el modelo) y Tailandia (antidumping ad-valorem de 85%). Otro, es el uso de licencias no automáticas (LNA), vigentes en el periodo de referencia (año 2021) pero eliminadas en diciembre de 2023.
Un aspecto central del esquema de incentivos del subrégimen, así como de la magnitud de su costo fiscal, es que el crédito fiscal por IVA que obtiene el productor de la isla se determina sobre la base del valor de facturación en lugar de sobre la base del valor agregado. Este elemento, poco tenido en cuenta en la discusión pública sobre el Régimen, implica que, sumado a que los insumos importados tampoco pagan IVA, el monto del beneficio que obtienen las empresas es independiente de la fracción de insumos que importen. Por este motivo, este esquema de incentivos implícitamente fomenta la importación de insumos si estos son más baratos que su costo de producción local –lo cual es casi siempre el caso– premiando así el agregado de valor realizado en el exterior y dejando al Régimen, paradójicamente, sin mecanismos de incentivo fiscal para la agregación de valor local. Este inadecuado diseño de incentivos debe entonces ser contrapesado con regulación específica para garantizar que las empresas realicen localmente al menos algunas actividades del proceso productivo.
A diferencia del Régimen general, el acceso a los beneficios del subrégimen requiere de admisión formal por parte de la Secretaría de Industria de la Nación (SIN) o la que cumpliera esa función. En primer lugar, la SIN establece los requerimientos de los procesos productivos que otorgan a un determinado producto el carácter originario, definiendo parámetros mínimos tales como el porcentaje de despiece requerido para los insumos importados, la obligatoriedad de producción local de ciertas partes o componentes, o ciertas normas de seguridad. En los hechos, las empresas no suelen apartarse de los requisitos mínimos establecidos, lo cual hace que todas aquellas que producen un mismo bien terminen realizando actividades productivas similares. En segundo lugar, la SIN debe aprobar los proyectos productivos presentados por las empresas para la fabricación de los productos, que deben encuadrarse en los procesos productivos aprobados (el acceso a nuevas empresas se encuentra cerrado). En síntesis, las condiciones de acceso a los beneficios del subrégimen consisten tanto en la regulación de los procesos productivos para los productos autorizados como en la aprobación y el monitoreo de los proyectos productivos presentados por las empresas. En su conjunto, dan lugar a un entramado normativo y administrativo engorroso que, junto con el marco de incentivos fiscales imperantes, termina generando un corsé que desalienta la innovación de las empresas y los esfuerzos de agregación de valor.
Otro aspecto para destacar es la fuerte orientación hacia el mercado interno de la producción realizada en el marco del subrégimen, determinada por el hecho de que los beneficios otorgados solo son relevantes para las ventas al continente argentino, no así para la exportación. En efecto, una empresa radicada en la isla que quisiera exportar encontraría pocos incentivos diferenciales de relevancia respecto a los que ya tiene una empresa localizada en territorio continental visto que cualquier exportación desde el continente recupera el IVA pagado a lo largo de la cadena, a la vez que a través del régimen de importación temporaria puede ser eximida de gran parte de los aranceles sobre los insumos importados. En otras palabras, el diseño de incentivos económicos del subrégimen solo tiene tracción para atraer a la isla actividad industrial de empresas orientadas hacia el mercado interno. En concordancia con este esquema de incentivos, la exportación de empresas que operan bajo el subrégimen desde la isla hacia terceros países es prácticamente nula.
Mientras que el Régimen general tiene una duración indeterminada (no tiene fecha de vencimiento, pero tampoco garantía de continuidad), los beneficios del subrégimen han sido garantizados ininterrumpidamente por períodos de entre 10 y 15 años en sucesivos decretos. Esto significa que, si un Gobierno decidiera avanzar sobre los beneficios otorgados en el marco del período garantizado, la medida podría ser judicializable. En 2021, el Decreto 727/21 determinó la prórroga de sus beneficios hasta 2038 y previó una extensión por 15 años adicionales siempre y cuando Brasil mantenga el régimen análogo en Manaos4.
El Decreto 727/21 también introdujo un elemento novedoso al determinar que para mantener los beneficios las empresas debían solicitar su “adhesión” a este, comprometiéndose a realizar aportes mensuales al Fondo para la Ampliación de la Matriz Productiva Fueguina (FAMP) equivalentes al 15 % del crédito fiscal obtenido por el IVA (es decir, aproximadamente el 3 % de las ventas). Los fondos del FAMP tienen previsto financiar proyectos productivos que diversifiquen la matriz productiva de la provincia, aunque no se podrán aplicar a actividades ya promocionadas. Alternativamente, las empresas pueden optar por destinar el 40 % de esos aportes a proyectos de inversión productivos propios, siempre que se apliquen a nuevas actividades no contempladas actualmente en el subrégimen.
3. Estructura económica del subrégimen concentrada en 3 productos electrónicos
El esquema de incentivos del subrégimen fueguino permitió un marcado crecimiento poblacional: entre 1970 y 2022, la población fueguina se multiplicó por 14 (pasando de 13.500 a 190.000 habitantes), mientras que la nacional solo se duplicó. Por su parte, el empleo industrial se triplicó entre 1996 y 2021, mientras que en Argentina creció solo 30 %. En 2021, año de referencia de este estudio, las industrias promovidas por el subrégimen emplearon, en promedio, a 10.800 personas, lo cual representa alrededor del 30 % del total de los asalariados registrados privados de Tierra del Fuego y del 20 % del total de asalariados registrados, públicos y privados5. La mayor parte del empleo industrial registrado (70 %) se concentra en la ciudad de Río Grande (Hallak, Bril Mascarenhas et al., 2023).
Existen aproximadamente 50 establecimientos industriales beneficiados por este marco (48 en promedio en 2021). Estos establecimientos pertenecen principalmente a la industria electrónica, aunque también a las industrias química, plástica, textil e incluso empresas pesqueras que procesan pescado capturado en aguas internacionales. Un reducido número de grupos económicos concentra la actividad del subrégimen. En particular, dos grupos –Mirgor y Newsan– concentran más del 50 % de las ventas mientras que cinco grupos –los dos anteriores más Radio Victoria, Río Chico, y BGH– concentran cerca del 80 %.
La electrónica es, por lejos, la más relevante entre las industrias promovidas. Representa el 77,4 % del empleo bajo el subrégimen, así como el 81,3 % de la facturación, que en 2021 alcanzó los US$ 3.900 M. Las siguientes industrias en importancia son la plástica y textil, que representan un 8 % y un 6 % del empleo cada una. El sector electrónico está compuesto por empresas de servicios de manufactura electrónica (electronics manufacturing services, EMS) orientadas al mercado interno de consumo masivo, que realizan, bajo contrato con fabricantes de productos originales (original equipment manufacturers), el montaje de circuitos impresos, el ensamblado y la prueba final, entre otras actividades (García y Lavarello, 2022). En algunos casos, las terminales de Tierra del Fuego producen también bajo marcas propias. Más allá de que la marca del producto final sea propia o de una compañía líder global, salvo en contadas excepciones6, el diseño del producto lo hacen las design houses, que concentran la inversión en I+D y la creación de nuevas tecnologías7. Las actividades de innovación suelen estar orientadas a mejorar la eficiencia de los procesos productivos. Por ejemplo, han incorporado y desarrollado tecnologías para la automatización, han desarrollado precisos sistemas de trazabilidad y han implementado sistemas de gestión como “5S”. Así, han adquirido capacidades para la producción de productos electrónicos a la escala del mercado interno argentino adaptando procesos de fabricación a escala global, aunque permaneciendo en segmentos productivos de bajo valor agregado (García y Lavarello, 2022). Por otro lado, los encadenamientos productivos con el continente son escasos y están confinados a productos de baja complejidad tecnológica (por ejemplo, materiales de embalaje, manuales y gas refrigerante para acondicionadores de aire).
Dentro del sector de electrónica, los principales productos son teléfonos celulares, televisores y equipos de aire acondicionado. En 2021 la facturación correspondiente a estos tres productos alcanzó aproximadamente los US$ 3.000 M, que representaron el 94 % de la facturación de la electrónica. El producto de mayor facturación entre estos tres fueron los teléfonos celulares (US$ 1700 M), luego los televisores (US$ 800 M) y, finalmente, los acondicionadores de aires (US$ 500 M). En 2021 se produjeron más de 10 millones de teléfonos celulares, 2,7 millones de televisores y 1,4 millones de equipos de aire acondicionado, que abastecieron casi a la totalidad de la demanda del país: la penetración de importaciones es casi nula (3 % en teléfonos celulares y televisores y 1 % en acondicionadores de aire). En términos de empleo, a partir de datos de fuentes oficiales y entrevistas a informantes clave, estimamos que más del 90 % de los puestos de trabajo en electrónica se registran en estos tres productos (aproximadamente 2800 en teléfonos celulares, 2600 en televisores y 2400 en acondicionadores de aire). Dada la importancia de estos tres productos, nuestro estudio hace foco en ellos extrapolando los resultados al resto de la actividad bajo el subrégimen.
La agregación de valor local es heterogénea entre los tres productos considerados. En el caso de los teléfonos celulares, el “proceso productivo” local se limita al ensamble final de componentes importados. En el de televisores y acondicionadores de aire (y otros productos electrónicos), se fabrican también las placas electrónicas, lo cual es un proceso de mayor complejidad que consiste en el montaje –manual o automático– de chips importados sobre una placa de PVC –también importada– que ya viene del exterior impresa con un circuito de cobre, cuyo diseño determina la ubicación de componentes y posterior funcionamiento del sistema. En el caso de los acondicionadores de aire, el proceso productivo local incluye también la fabricación de algunas tuberías de cobre8.
Un último elemento para considerar es que la actividad industrial del subrégimen se desarrolla en el marco de una infraestructura desatendida –especialmente la logística portuaria–, que demanda considerables inversiones (Bril Mascarenhas et al., 2023). En particular, el puerto de Ushuaia se halla sobrecargado por la simultánea demanda de buques turísticos y de carga marítima, mientras que Río Grande no cuenta con infraestructura portuaria. Por este motivo, a pesar de que el transporte marítimo sería el medio más eficiente para el traslado de productos entre Tierra del Fuego y Buenos Aires, se estima que aproximadamente el 90 % de la entrada de insumos y salida de productos ocurre por vía terrestre, el cual implica atravesar Chile (con los consecuentes trámites de aduana y migraciones) y subir a una barcaza operada por una firma privada para luego reingresar al territorio argentino.
Estructuras de costos de productos nacionales
La heterogeneidad entre productos en la profundidad de los procesos productivos realizados localmente se manifiesta en sus respectivas estructuras de costos. Denominamos “estructura de costos”, en el caso de la producción nacional, a la descomposición del precio promedio de un producto en los distintos componentes de su costo más el beneficio neto. Tanto este precio como la estructura de costos que lo determina difieren entre empresas y variedades de modelos de un mismo producto. Por este motivo, tomamos para cada uno de ellos el ingreso unitario (precio promedio) y la estructura de costos promedio, ponderados ambos por el valor de la producción, considerándolos en cada caso representativos de la industria. Si bien las estimaciones sobre estructuras de costos que presenta este trabajo no son exactas ni reflejan los costos de ninguna empresa en particular, consideramos que son una adecuada aproximación a la estructura de costos promedio de cada producto.
El Gráfico 1 presenta la estimación de la estructura de costos correspondientes a 2021 de los tres productos principales – teléfonos celulares, televisores y acondicionadores de aire– agrupándolos en los siguientes: kit (insumos importados); costo de la logística interna; costo local no laboral (insumos y servicios locales); costo laboral; costo financiero, amortizaciones y depreciaciones; impuestos; y beneficios netos9.

Como puede observarse en el Gráfico 1, en los tres productos considerados el componente importado (el llamado kit) explica la mayor parte del costo de producción. Sin embargo, el peso del kit importado es mayor en teléfonos celulares (70,9 %), donde solo se realizan actividades de ensamble, intermedio en el caso de televisores (65,8 %), donde además de ensamble se fabrican placas electrónicas, y menor en acondicionadores de aire (48,9 %), donde además de ensamble y fabricación de placas electrónicas, se mecanizan y sueldan tubos de bronce para obtener distintos componentes de conducción.
El resto de los ítems representa una porción menor dentro de la estructura de costos. Entre ellos, destacamos en primer lugar el costo de la logística interna, que incluye tanto el costo de transportar los insumos entre Buenos Aires y Tierra del Fuego como el de transportar los productos finales entre Tierra del Fuego y las provincias de destino. El peso de este ítem es bajo en teléfonos celulares (0,7 %), aunque es más relevante en televisores y en acondicionadores de aire (5,3 % y 8,7 %, respectivamente) a causa de su mayor volumen. A su vez, el peso de los insumos locales –material de empaque y manuales, más gas refrigerante en acondicionadores de aire– y del costo laboral en la estructura de costos están inversamente relacionados con el peso del kit, siendo el peso de los primeros mayor en acondicionadores de aire (2,6 % y 10,9 %, respectivamente), intermedio en televisores (1,8 % y 7,8 %, respectivamente) y menor en teléfonos celulares (1,2 % y 4,4 %, respectivamente).
El costo financiero, que pondera tanto el costo del capital (el costo de oportunidad de no invertir el capital propio en un activo libre de riesgo) como el costo del financiamiento de terceros (intereses por préstamos financieros), representa un 4,4 % del ingreso unitario, mientras que las amortizaciones y depreciaciones representan el 1 % de dicho ingreso. Los impuestos, por su parte, incluyen todos aquellos que no están exentos: impuestos internos, IDCB, TVPP e Ingresos Brutos. Cabe recordar que los aranceles a los insumos se encuentran exentos; varían entre el 0 % y el 25 %, pero el promedio es en los tres casos de aproximadamente el 11 %. En su conjunto, los impuestos representan en los tres productos el 8,2 % del ingreso unitario. Finalmente, el peso de los beneficios netos, que son aquellos que exceden a aquellos considerados como costo de capital –ya incluidos como costo financiero–, es mayor en acondicionadores de aire (5,3 %) y en teléfonos celulares (4,4 %) que en televisores (0,8 %)10.
El ingreso unitario del productor en Tierra del Fuego es a la vez el pago del retailer que compra desde el continente. Estos son cadenas de electrodomésticos, supermercados, comercios minoristas y, en el caso de los teléfonos celulares, las compañías telefónicas, que en su conjunto canalizan la mayor parte de las ventas a los consumidores. Dicho pago incluye el precio sin IVA (“precio en el depósito del retailer”) más el pago por IVA. El retailer paga el monto de IVA, aunque luego lo descuenta del débito fiscal generado por la venta del bien en el canal minorista, por lo que su costo relevante es solo el primer componente. Por el contrario, como explicamos en la sección 2, el débito fiscal devengado por el cobro del IVA al productor en la isla es compensado por el “crédito fiscal IVA”, haciendo que en los hechos se quede con el monto cobrado por este impuesto. Como puede observarse en el Gráfico 1, este beneficio genera una brecha entre el precio relevante para el retailer (sin IVA) y el precio relevante para el productor (con IVA), permitiéndole a este último ofertar el producto a un precio neto de IVA más bajo que sus propios costos.
Estructura de costos de los productos importados
En el caso del producto importado, la “estructura de costos” también descompone el precio del bien puesto en el depósito del retailer. En este caso, dicho precio puede asociarse a lo que comúnmente se denomina import parity. Este precio está principalmente determinado por el precio CIF (cost, insurance and freight) del producto importado, antes de gastos de nacionalización e impuestos11. Estimar el precio CIF del bien importado presenta algunos desafíos. Principalmente, dado que se requiere que los productos sean comparables, los llamados “valores unitarios” (precios promedio) de las importaciones realizadas por Argentina o por terceros países no son útiles, ya que surgen de una composición de canastas importadoras que son diferentes a la canasta de producción argentina con la cual se pretende comparar. Para resolver este problema, relevamos el precio al que se importan al mercado chileno algunos productos específicos que se fabrican localmente y, previa ponderación y ajustes por costos de branding en el caso de marcas locales, extrapolamos ese valor a la canasta representativa argentina (ver Anexo 1).
El segundo mayor componente corresponde a los gastos e impuestos para que el producto llegue al depósito del retailer quien, cuando importa, generalmente lo hace sin intermediarios. Obtuvimos el peso de estos costos de los informes de la CNCE sobre equipos acondicionadores de aire y los extrapolamos a los otros dos productos considerados. Los gastos e impuestos se aproximan en los tres productos a un tercio del precio en depósito, y surgen de la aplicación sobre el precio de importación de alícuotas de impuestos internos (17 % en 2021), aranceles (16 % teléfonos celulares, 20 % televisores y 18 % acondicionadores de aire) y tasa de estadística (3 %). Finalmente, existen otros gastos de nacionalización que tienen un impacto menor, en el entorno del 1 % del precio en depósito.
Durante ciertos periodos, y particularmente en nuestro año de referencia (2021), la importación de estos tres bienes estuvo sujeta a barreras no arancelarias, que incluyen LNA y restricciones cambiarias, así como medidas antidumping en el caso de los acondicionadores de aire. En el modelo de simulación estas barreras son calibradas por medio de un artificio de modelación llamado “equivalente arancelario” (EA), que capta el arancel extra que induciría voluntariamente una demanda de importaciones igual a la observada. Este procedimiento permite convertir una variable dicotómica (presencia o ausencia de barreras) en una variable continua que cuantifica las implicancias en la intensidad de su uso. La calibración del modelo según los datos de 2021 arrojó para dicho año una estimación del EA de 18 % para teléfonos celulares, 20 % para televisores y 58 % para acondicionadores de aire (ver Anexo 2)12. El equivalente arancelario es incluido en el modelo como un componente más del costo de importación que ocasionan estas barreras al comercio que capta la pérdida de tiempo y recursos de gestión administrativa asociados a ellas.
Comparación nacional versus importado
Dado que el retailer tiene la posibilidad tanto de comprar el producto nacional como de importarlo, para decidir su compra se esperaría que compare el precio que el productor de Tierra del Fuego le ofrece por el producto puesto en su depósito con el costo de importar ese producto y traerlo hasta el mismo depósito (import parity). El modelo de simulación capta esta decisión de aprovisionamiento asumiendo que su elección estará determinada por el precio relativo de estos dos bienes, que es aquel que determinará también la elección de compra de los consumidores aguas abajo en la cadena de valor. El Gráfico 2 resume la información más relevante. Como se observa en la columna A del gráfico, el precio de los productos fabricados en Tierra del Fuego es considerablemente inferior al import parity, siendo 24 % más bajo en teléfonos celulares, 34 % más bajo en televisores y 20 % más bajo en acondicionadores de aire. La diferencia sería aún mayor (35 %, 45 % y 49 %, respectivamente) si incluyéramos además en el precio de importación, como lo hace el modelo de simulación para el año 2021, el EA de las restricciones cuantitativas a la importación (LNA) vigentes a nivel nacional con fines de protección comercial sin ser producto de la normativa del subrégimen. La implicancia de ello es que la remoción, parcial o total, de los beneficios económicos asociados al subrégimen puede empujar al alza los precios promedio del sector. Este último también es un hallazgo que difiere de lo que se suele afirmar en la discusión pública sobre el régimen de promoción fueguino.



La columna B del Gráfico 2 también descompone los precios, para cada uno de los tres productos considerados, entre el “costo real” y otros componentes. Para el producto nacional, el costo real incluye el precio del kit más otros elementos que componen el valor agregado (como el costo salarial e insumos de embalaje), mientras que los otros compontes del precio son los beneficios netos (BN) y los impuestos. Para el producto importado, el costo real incluye el precio CIF del producto final más otros costos menores (gastos de nacionalización), mientras que los otros componentes del precio corresponden a aranceles a la importación y otros impuestos (ver mayor detalle en las tablas A1 y A2 del Anexo 1). Esta descomposición permite entender en qué medida los beneficios tributarios y de política comercial son necesarios para mantener competitiva la producción local frente a la oferta importada. En los tres productos, el costo real del bien nacional es superior al del bien importado. Este costo es 21 % superior para teléfonos celulares, 12 % superior para televisores y 27 % superior para acondicionadores de aire13.
Estas diferencias en el costo real, que favorecen a los bienes importados, son ampliamente contrarrestadas por una mayor carga impositiva hacia dichos bienes. Como ejemplo, sólo el diferencial de impuestos internos, o alternativamente sólo el crédito fiscal por IVA, más que compensan la diferencia de costo real en teléfonos celulares y televisores, mientras que casi la compensan en acondicionadores de aire. De esta forma, las medidas de protección no arancelarias (cuyo EA no se incluye en el gráfico) son redundantes para conferirle competitividad a la producción nacional, sólo profundizando su preeminencia en el mercado interno –en el cual las importaciones son casi nulas–.
Una cuestión clave en la que vale la pena detenerse es la diferencia entre el precio al que se importa el kit y el precio al que se podría importar el producto final que corresponde a ese kit. En el caso de los teléfonos celulares, se observa en el gráfico que el kit se importa al mismo precio que el bien final. Ello podría explicarse teniendo en cuenta que el proceso de ensamble del celular aporta una fracción muy reducida de su valor internacional. A la vez, al apartarse del circuito de producción y logística habitual, el envío del kit relativo al envío del celular ya ensamblado podría generar costos adicionales al proveedor que compensen el ahorro por no realizar la etapa final del proceso productivo. En el caso de televisores y de acondicionadores de aire, en cambio, existe una diferencia de precio relevante entre el kit y el producto final – US$ 38 y US$ 60, respectivamente– debido a que localmente se efectúa una fracción mayor del proceso productivo.
La diferencia de precio entre el kit y el producto final es una medida del valor agregado por las fábricas en Tierra del Fuego según su valuación internacional. Utilizando esta forma de medición, este representa el 0 % sobre el precio internacional de los teléfonos celulares, el 17 % sobre el de los televisores y el 26 % sobre el de los acondicionadores de aire. Esta medida, a la vez, también indica el ahorro de divisas que genera la producción fueguina. En este sentido, es interesante la consideración particular del caso de los teléfonos celulares; según los datos del Gráfico 2, el hecho de que se produzcan en Tierra del Fuego no genera ahorro de divisas con respecto a la alternativa de importar directamente los teléfonos celulares armados como bien final, ya que el costo de importación en ambos casos sería el mismo.
Una medida potencialmente engañosa del agregado de valor que se genera localmente es computar el valor agregado usando los precios domésticos en vez de los internacionales. Por ejemplo, en presencia de menores niveles de protección comercial a los insumos que al producto final, el cómputo del valor agregado a precios locales podría arrojar un número positivo aun cuando no se genere valor internacional. Tomando esta forma de cálculo (que incluye también el contenido nacional no generado por las terminales), el valor agregado nacional –como fracción del ingreso unitario del productor antes de impuestos– sería un 23 % en teléfonos celulares, 28 % en televisores y 47 % en acondicionadores de aire.
4. Modelo de simulación
Disponer de herramental analítico para predecir cuantitativamente los impactos esperados de distintas alternativas de política pública contribuye enormemente a una evaluación más informada de las opciones disponibles y al logro de mejores decisiones. En nuestro caso, a pesar de que un ejercicio de esta naturaleza no puede ser realizado sin margen de error, se puede reducir considerablemente la incertidumbre asociada mediante un modelo de simulación que capte la actual estructura económica del subrégimen y anticipe la respuesta posible de empresas y consumidores a los cambios generados. El resto del trabajo persigue dicho fin. En esta sección, se presenta el modelo de simulación utilizado para cuantificar el costo fiscal asociado al subrégimen y predecir de qué manera los cambios en los incentivos económicos que introduciría nuestra Propuesta de Reformulación del subrégimen industrial afectaría a los precios, cantidades, empleo y recaudación fiscal. A la vez, para dimensionar el potencial de error en las predicciones, se realiza también un análisis de sensibilidad considerando escenarios con supuestos alternativos, que serán discutidos en la sección 6.
El modelo de simulación hace foco en los tres principales productos del subrégimen: teléfonos celulares, televisores y equipos acondicionadores de aire; luego, extrapola los resultados al resto de los productos. Focalizamos la simulación en estos tres productos porque representan el 77 % de las ventas al continente y, como mostraremos más adelante, el 82 % del costo fiscal del subrégimen14. Para cada uno de los tres productos, el modelo realiza simulaciones independientes entre sí basadas en la siguiente lógica de funcionamiento:
El Gráfico 3 resume esta lógica de funcionamiento del modelo.

El primer paso consiste en evaluar cómo los cambios en los beneficios impositivos impactan en los precios (con IVA) a los que el retailer compra los productos nacional e importado puestos en su depósito. En el caso del producto nacional paga un precio , mientras que en el caso del producto importado paga un precio , donde representa un equivalente arancelario (EA) ad-valorem de las barreras no arancelarias. Suponemos que las barreras no arancelarias elevan el costo unitario de importación que debe pagar el retailer, y por su importancia distinguimos este costo extra en forma separada. El modelo de simulación construye y con base en los costos reales e impositivos descritos en la sección anterior (para una descripción detallada de las ecuaciones del precio nacional e importado ver el Anexo 2). Excepto en uno de los escenarios alternativos considerados en la sección 7, el modelo asume que los costos reales se mantienen constantes, lo cual implica, por ejemplo, asumir que no cambian los precios de los insumos ni se producen cambios tecnológicos relevantes. Los precios, en cambio, se ven principalmente afectados por las modificaciones propuestas al esquema de incentivos económicos del subrégimen.
A la vez, asumimos la existencia de un retailer representativo que compra y vende productos nacionales e importados. Por simplicidad, asumimos que el retailer carga un mark-up uniforme sobre el precio de compra de estos productos, por lo que ofrece al consumidor el producto nacional al precio y el producto importado al precio . El problema del retailer se reduce a anticipar la demanda final de los consumidores, dados estos precios, para realizar sus propias compras.
El segundo paso consiste en modelar la demanda de los consumidores. Suponemos que existe un consumidor representativo cuyas preferencias pueden representarse a través de una función de utilidad del tipo CES (Elasticidad de Sustitución Constante) definida sobre las cantidades consumidas de producto nacional e importado, y respectivamente. Este consumidor representativo maximiza dicha función de utilidad sujeto a una restricción presupuestaria:

donde E representa el gasto del consumidor en el producto, es la elasticidad de sustitución entre el producto nacional e importado, y es un demand shifter interpretado como un parámetro que capta el número de variedades relativas nacionales e importadas (Feenstra, 1994)16.
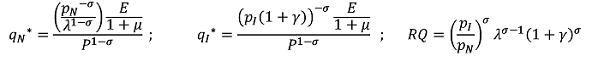
La solución a este problema determina las demandas de equilibrio de los productos nacional e importado, así como la demanda relativa, , la cual muestra el impacto del precio relativo en el “margen intensivo” de sustitución (es decir, manteniendo fijo ):

donde es el índice de precios correspondiente a una CES:

Por el lado de la oferta, también es razonable pensar que las empresas buscarán ubicar la producción en aquellas localizaciones que les permitan llegar al depósito del retailer con un costo menor. Por ello, la relación de precios entre y , que para el retailer representan los costos unitarios de reposición del producto en el depósito (cuando existen barreras no arancelarias habría que tener en cuenta también ), deberían influir en las decisiones de localización de las empresas.
Para capturar esta dinámica en nuestro modelo, asumimos que el precio relativo afecta también el valor de , afectando adicionalmente por esta vía indirecta a las cantidades relativas (el “margen extensivo”). En particular, asumimos que:

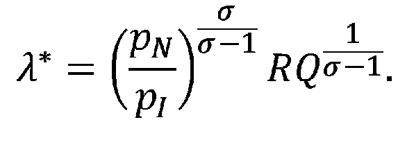
Mientras el precio nacional se mantenga igual o por debajo del precio importado, entonces se mantendrá inalterado en su valor calibrado para el año 2021, . En cambio, en la medida en que el precio nacional comience a aumentar por encima del precio importado, se iniciará un proceso de relocalización creciente hacia el exterior (por ej., China, Vietnam, India17). Pasado un umbral porcentual , toda la producción en Tierra del Fuego se habrá deslocalizado, lo que es captado por un valor de igual a cero. En tal caso, y . En síntesis, combinando oferta y demanda, podemos ver que aumentos en el precio relativo provocan dos efectos: un efecto directo de sustitución por el lado de la demanda (margen intensivo) y un efecto indirecto de relocalización por el lado de la oferta (margen extensivo) a través de .
En el caso de las marcas internacionales, el modelo asume un valor de 10 %, contemplando que una diferencia de precios dentro de dicho rango podría ser contrarrestada con una preferencia por una localización más próxima a la demanda. En el caso de las marcas nacionales, se asume que también pueden tercerizar su aprovisionamiento hacia un proveedor global en el exterior manteniendo su propia marca, aunque en este caso se asume de 20 % teniendo en cuenta que la sensibilidad de respuesta podría ser menor18. Considerando que las participaciones de mercado de las marcas nacionales e internacionales difieren según el producto, el promedio ponderado del umbral Importar imagen consolidado es de 10,20 % para teléfonos celulares, 12,55 % para televisores y 13,67 % para acondicionadores de aire.
Los restantes parámetros del modelo son calibrados de la siguiente manera. En el caso de la elasticidad de sustitución Importar imagen utilizamos el valor 3,65 estimado por Michelena y Bertín (2022)19 para el sector de Electrónica. Para calibrar , tomamos un año sin barreras no arancelarias, para el cual podamos asumir que , y despejamos de la ecuación de RQ obteniendo20:

Como proxy de barreras no arancelarias, consideramos las LNA y seleccionamos años en los que los tres productos en estudio no estaban sujetos a estas barreras. En el caso de los teléfonos celulares y televisores, calibramos utilizando datos de 2019, mientras que, para los acondicionadores de aire, utilizamos datos de 20182122. Como resultado, obtuvimos que es igual a 2,04 para teléfonos celulares, 1,54 para televisores y 2,45 para acondicionadores de aire.
Una vez calibrado , podemos despejar para cualquier año de interés utilizando la fórmula de :

Calibramos utilizando datos de 2021, lo cual arrojó para dicho año una estimación del equivalente arancelario de 18 % para teléfonos celulares, 20 % para televisores y 58 % para acondicionadores de aire. En nuestro modelo, simulamos la quita de las barreras no arancelarias como una reducción de a 0.
Por último, para calibrar el parámetro , suponemos que el gasto que realiza el consumidor representativo en cada producto es igual al de 2021, tal que se cumple:. En nuestras simulaciones, asumimos que este gasto se mantiene constante durante los años venideros. Esto permite estudiar los cambios en el subrégimen eludiendo consideraciones macroeconómicas que podrían afectar los ingresos de los consumidores.
Una vez que el modelo determinó los niveles de producción local contrafactuales, el cálculo del empleo requerido para la producción de cada producto se realiza asumiendo un coeficiente técnico constante entre empleo y producción. Por último, dados los precios y cantidades simuladas, se puede calcular cuánto recauda el Estado por cada uno de los impuestos, lo cual permite estimar el ahorro fiscal asociado a un conjunto dado de modificaciones tributarias, tanto aquellas especificadas en la Propuesta de Reformulación como cualquier otra que se pretenda analizar, en particular aquella correspondiente a la total remoción del subrégimen utilizada para calcular el costo fiscal.
Como paso final, los resultados obtenidos sobre empleo y ahorro fiscal para los tres productos principales se extrapolan –utilizando datos de empleo del IPIEC para 2021– al resto de productos del subrégimen. Este último paso requiere de algunas aclaraciones. En primer lugar, la normativa vigente a la fecha de estimación de este modelo (Decreto 727/21) establecía la exclusión del sector textil de la renovación del Régimen23. Dada la pérdida inmediata de todos los beneficios del subrégimen para este sector que se establecía en dicho decreto, el modelo simplemente asume que se discontinúa totalmente la producción textil en Tierra del Fuego, pasando por lo tanto el empleo a 0 en 202424. A su vez, el ahorro fiscal que se generaría se obtiene multiplicando las ventas al continente del sector textil y confección en 2021 por el cociente entre el ahorro fiscal y las ventas obtenido para teléfonos celulares, televisores y acondicionadores de aire en el escenario simulado sin subrégimen (ver sección 5)25.
Asimismo, se considera en el modelo que los niveles de producción, empleo y recaudación fiscal asociados a los productos que se exportan de manera directa desde Tierra del Fuego, así como a aquellos que se venden al continente como insumos para productos que se terminan exportando, no se verán afectados por la propuesta de reformulación que aquí se estudia. En primer lugar, dado que los beneficios del subrégimen también pueden ser obtenidos por los bienes que se exportan, directa o indirectamente (ver sección 2), la producción de estos bienes no enfrentaría cambios de relevancia en los incentivos efectivamente recibidos. En segundo lugar, los beneficios fiscales tampoco generarían mayor costo, ya que en la mayoría de los casos serían dados de todas formas en ausencia del subrégimen, como a cualquier esquema de exportación regular26.
En el caso de las exportaciones directas, se consideró a todo el sector de pesca (466 empleos) –debido a que toda su producción es exportable– y a la porción del sector de plásticos (51 empleos) correspondiente a las silobolsas que se exportan, tomando en el último caso la fracción del empleo en el sector de plásticos en Tierra del Fuego que correspondería de aplicar la relación exportaciones/ventas totales en dicho sector. Como exportaciones indirectas, se consideró parte de la producción de equipos de infotainment y sistemas de climatización (que compran empresas automotrices que exportan, 96 y 109 empleos, respectivamente), así como parte de la producción de silobolsas (111 empleos), herbicidas y pesticidas (151 empleos), utilizados en la producción de granos, gran parte de los cuales tiene a la exportación como su destino final. En todos estos casos, para calcular la cantidad de empleos asociados se multiplicó la cantidad de puestos de trabajo dedicados a estos productos en Tierra del Fuego por la proporción que representan las exportaciones en la producción de los sectores demandantes (automotriz y agroindustria). En total, en 2021, el empleo estimado asociado a exportaciones directas e indirectas representó 984 empleos dentro del actual subrégimen industrial.
Para el resto de los productos del subrégimen (que representan 1144 empleos), el modelo asume que el empleo cambia en proporción al cambio en la suma del empleo en teléfonos celulares, televisores y acondicionadores de aire. Asimismo, para calcular el ahorro fiscal correspondiente a estos productos, se multiplica el monto de sus ventas al continente por la razón ahorro fiscal-ventas obtenido para celulares, televisores y equipos de aire acondicionado en el escenario de reformulación correspondiente. Es importante mencionar que la producción de hidrocarburos se excluye del análisis porque no generaría costo fiscal para el Estado Nacional en la medida en que la producción resultante (1) se exporte al exterior directamente desde Tierra del Fuego (y no desplace a la oferta interna que sí paga IVA) o (2) sustituya gas importado subsidiado por el propio Estado y que esta sustitución disminuya los subsidios en una cuantía mayor al crédito fiscal IVA generado en Tierra del Fuego27.
5. Costo fiscal
Uno de los aspectos centrales de la discusión pública sobre el Régimen de Tierra del Fuego es la renuncia fiscal derivada de los beneficios económicos que concede. En otras palabras, su “costo fiscal”. El costo fiscal de una política de incentivos tributarios es la recaudación que el Estado resigna al implementarla. En nuestro caso, esta definición responde la siguiente pregunta: ¿cuántos recursos fiscales deja de recaudar el Estado nacional al otorgar los beneficios fiscales del subrégimen industrial? Para calcular dicho costo, es necesario estimar el dinero que recauda el Estado en dos escenarios alternativos: uno en el cual la política en cuestión está vigente y otro en el cual no lo está, siendo el costo fiscal la diferencia de recaudación entre ambos escenarios.
Si bien conceptualmente la tarea parece sencilla, la misma presenta el desafío de estimar el contrafactual. En el caso de Tierra del Fuego, mientras que es posible observar cuánto recauda el Estado en el escenario actual con el subrégimen vigente, no es posible observar cuál sería la recaudación en el escenario contrafactual (o contrafáctico) sin subrégimen. Por lo tanto, este último debe ser estimado. En ausencia del dato real, ello requiere predecir el valor que adoptarían variables económicas tales como cantidades producidas, importaciones, consumo, precios y bases imponibles, teniendo en cuenta que los agentes económicos (por ejemplo, consumidores y productores) modifican su comportamiento en función de las políticas económicas que se implementan, lo cual genera cambios en la actividad económica que, a su vez, impactan en la recaudación del Estado. Por ejemplo, una quita de beneficios fiscales a las empresas beneficiarias del subrégimen podría inducir a que se sustituya producción que hoy se realiza en Tierra del Fuego por producción en el exterior del país, provocando a la vez una caída en la recaudación de impuestos vinculados a la producción local y un incremento en aquella vinculada a las importaciones de bienes finales. Por este motivo, para estimar el escenario contrafáctico debemos poder predecir todos estos cambios. El modelo de simulación presentado en la sección anterior permite realizar dicho ejercicio. Esto es, no solo estimar con mayor precisión el esfuerzo fiscal que se hace desde el Estado nacional en la promoción económica de Tierra del Fuego, sino también evaluar cómo este se vería modificado ante potenciales cambios en el paquete de incentivos fiscales.
En la Argentina, la Dirección Nacional de Investigaciones y Análisis Fiscal de la Subsecretaría de Ingresos Públicos (SIP) es el órgano responsable de calcular el costo fiscal de los regímenes de promoción de actividades económicas. No obstante, la SIP no reporta las estimaciones de costo fiscal entendido como se explicó aquí más arriba, sino que publica estimaciones de gasto tributario, que define conceptualmente en forma similar a nuestra definición de costo fiscal, aunque adoptando un método de cálculo que “supone la inexistencia de cambio alguno en el comportamiento de los agentes” (SIP, 2022). La simplicidad de este supuesto se contrapone con el objetivo de obtener un cálculo más preciso del costo fiscal. No obstante, como veremos más adelante, este supuesto es solo una de las fuentes de discrepancia entre el gasto tributario estimado por la SIP y nuestra estimación de costo fiscal.
El costo fiscal del subrégimen industrial
Calculamos el costo fiscal del subrégimen industrial de Tierra del Fuego con base en el modelo de simulación aplicado al año 2021, el año de referencia en todo el estudio. La medición del costo fiscal se dividió en dos partes. En primer lugar, calculamos el costo fiscal atribuible a los teléfonos celulares, televisores y acondicionadores de aire. Luego, extrapolamos el costo fiscal por dólar de ventas obtenido para estos tres productos al resto de los productos del subrégimen.
El escenario contrafáctico que simulamos aquí –distinto del escenario de la Propuesta de Reformulación– considera que se eliminan todos los beneficios fiscales que son propios del subrégimen. Es decir, el crédito IVA por las ventas desde la isla hacia el continente y la exención del pago de aranceles a la importación de insumos. A la vez, consideramos que se unifica la alícuota de impuestos internos en el nivel aplicado a la producción del subrégimen en el año 2021, y que se elimina toda barrera no arancelaria como las LNA y toda otra restricción cambiaria. Por el contrario, no consideramos cambios en beneficios impositivos cuando no son específicos al subrégimen. Por ejemplo, en el escenario sin subrégimen se mantiene la exención al pago de Impuesto a las Ganancias que se aplica a todo el territorio de Tierra del Fuego, así como la alícuota más reducida (0,25 %) al pago del IDCB. Destacamos que este escenario contrafáctico elimina todo beneficio propio del subrégimen en un único momento, mientras que la Propuesta de Reformulación propone mantener parte de ellos, y a la vez avanzar de manera gradual durante un período de 11 años.
El costo fiscal del subrégimen industrial para el Tesoro Nacional es explicado casi en su totalidad por solo dos componentes: el crédito fiscal por IVA sobre las ventas de bienes desde la isla al continente y la exención del pago de aranceles a la importación de insumos importados. El crédito fiscal por IVA es el principal componente. Como se puede observar en la primera fila de la Tabla 1, este monto es de US$ 630 M, donde casi la mitad corresponde a los teléfonos celulares. Este monto surge simplemente de la aplicación de la alícuota de IVA a los aproximadamente US$ 3000 M que representan dichas ventas (sin IVA)28. Nótese que esta cuenta no depende de si, ante la quita de beneficios, la producción se ve parcial o totalmente sustituida por bienes importados, ya que en ambos casos se aplicaría la misma alícuota de IVA29. Después de esta “primera venta” –por ejemplo, a una cadena de electrodomésticos– los efectos fiscales son nulos, ya que el IVA se paga independiente del origen de la mercadería.
El segundo mayor componente del costo fiscal corresponde a la eximición de los aranceles a la importación de insumos, que suman para todo el subrégimen US$ 436 M. En este caso, la interpretación es más compleja porque depende de la respuesta (simulada) de las empresas a la remoción de beneficios fiscales. La recaudación por aranceles será distinta si se mantiene la producción en la isla, y entonces se importan insumos con aranceles más bajos, o si se sustituye dicha producción por importación de bienes finales con aranceles más altos. La simulación del escenario contrafáctico de remoción total de beneficios propios del subrégimen indica que solo el 16 % de la producción a su amparo se mantendría en la isla. Por ello, el costo fiscal es ligeramente inferior al que tendría lugar si cesara toda producción bajo el subrégimen (US$ 458 M), y que surgiría de aplicar la alícuota promedio de 17,36 % para los tres productos electrónicos considerados más el 3 % de tasa de estadística a los US$ 2252 M estimados de valor CIF de importaciones de bienes finales (US$ 2252 M 20,36% = US$ 458 M).
La consideración o no de un tercer gravamen, el impuesto interno a la electrónica, dentro del cálculo del costo fiscal presenta un problema conceptual. Este gravamen tenía en el 2021 una alícuota de 6,55 % para los productos fabricados en Tierra del Fuego y de 17 % para los productos importados. En principio se podría considerar que la diferencia entre estas alícuotas, aplicada a la producción del subrégimen, constituye renuncia fiscal. De hecho, así lo considera la SIP en su cálculo de gasto tributario. Consideramos, sin embargo, que la alícuota superior cobrada al producto importado fue establecida en ese nivel solo como medida de protección comercial –en un escenario casi sin importaciones– sin ser este el nivel deseado de imposición efectiva al consumo de dichos productos. Por lo tanto, en el escenario contrafáctico en el que la remoción de los beneficios del subrégimen indujera la sustitución por oferta importada, las autoridades que implementaran dicho cambio optarían por unificar las alícuotas en el nivel previamente relevante para la recaudación efectiva (6,55 %), evitándose así un impacto indeseado en los precios (ver discusión de escenarios en la sección 7). Por lo tanto, no le atribuimos costo fiscal a la brecha de alícuotas. Como vemos en la Tabla 1, el poco significativo impacto fiscal atribuible a este impuesto (US$ 20 M) se debe a diferencias técnicas en cuanto a la base imponible para el cómputo de este impuesto entre la producción nacional y la oferta importada.
Estimamos que en un escenario de remoción total de los beneficios del subrégimen habría también un pequeño efecto fiscal negativo (US$ 16 M) correspondiente al IDCB, principalmente debido a que la existencia del subrégimen genera el cobro de este gravamen al productor de Tierra del Fuego en el momento en que presenta ingresos y egresos bancarios equivalentes a las ventas (con IVA) realizadas al continente.

Como mencionamos al inicio de esta sección, el escenario contrafáctico de remoción de beneficios del subrégimen no incluye cambios en la exención de Ganancias, ya que esta aplica más generalmente a todo el Régimen de Tierra del Fuego. De todas formas, aun sin cambiar el tratamiento impositivo de este gravamen, la recaudación en el escenario contrafáctico se verá afectada por cambios en el nivel de actividad y, por ende, de recaudación, ante un escenario de remoción del subrégimen (tal como lo discutido para el caso del IDCB). Sin embargo, mientras que en dicho caso estos efectos son tenidos en cuenta por la simulación, no lo son en el caso de Ganancias debido a dificultades inherentes a su estimación. De todas formas, y no menos importante, entendemos que el potencial de recaudación de este impuesto sería poco significativo. A pesar de que la sustitución de producción nacional por oferta importada generaría nueva base imponible en la actividad importadora en sustitución de las ganancias actuales de los productores del subrégimen, estimamos que esta implicaría un monto poco significativo. Por una parte, una porción de las ganancias provenientes de la actividad productiva se trasladaría al exterior del país no estando en ese caso gravadas; por otra parte, los márgenes de ganancia de la actividad importadora serían mucho más acotados que los actuales por la mayor apertura a la competencia importada.
A la vez, en un escenario contrafactual de remoción de beneficios del subrégimen, la pérdida de empleos tendría consecuencias fiscales asociadas al cobro de cargas laborales. Sin embargo, no se considera aquí este efecto bajo el supuesto implícito de que, al implementar esta propuesta en el marco de una estrategia integral de transformación productiva (ver Fundar, 2023), quienes fueran desplazados por la remoción del subrégimen terminarían desempeñándose en otros trabajos, que también generarían recaudación por cargas laborales. De cualquier forma, de no ser así, la potencial sobreestimación del costo fiscal tendría como cota máxima la suma de US$ 60 M, que corresponden a la aplicación de 32 % de cargas laborales cobradas por el Tesoro Nacional sobre los aproximadamente US$ 170 M estimados de masa salarial atribuibles a la porción de trabajadores desplazados.
Teniendo en cuenta todos estos elementos, concluimos que el costo fiscal para el Tesoro Nacional de todo el subrégimen industrial es de US$ 1070 M, lo cual representa un 0,22 % del PBI. Esta suma es menor que el Gasto Tributario estimado por la SIP para todo el Régimen, de US$ 1567 M. La descomposición de este monto por impuesto puede verse en la última columna de la Tabla 1. La diferencia de US$ 497 M entre nuestra estimación de costo fiscal del subrégimen y el cálculo del gasto tributario para todo el Régimen se puede explicar por cuatro componentes principales. En primer lugar, en orden de importancia, US$ 351 M correspondientes a la brecha de impuestos internos que la SIP considera gasto tributario, en contraposición a nuestro tratamiento de esta medida como de índole comercial, sin costo fiscal. En segundo lugar, US$ 193 M estimados por la SIP como gasto tributario por exención del Impuesto a las Ganancias que nosotros no computamos como costo fiscal, por las razones esgrimidas anteriormente, en el caso de las empresas del subrégimen –que estimamos explica la mayor parte de este monto–, y por corresponder al Régimen general, en el caso de otras personas físicas y jurídicas localizadas en la isla. En tercer lugar, dado que la SIP no toma en cuenta cambios de comportamiento en respuesta a cambios de política, considera como gasto tributario por exención arancelaria solo a los US$ 337 M que el fisco cobraría si se aplicaran los aranceles vigentes a los insumos importados. En cambio, nuestra estimación del costo fiscal es más alta ya que tenemos en cuenta que gran parte de la producción industrial del subrégimen pasaría a sustituirse por importaciones de bienes finales, que pagarían un arancel más elevado30. En cuarto lugar, el impacto fiscal del IVA es más alto según el cálculo de gasto tributario de la SIP ya que incluye también la exención de IVA a los consumos en la isla.
A pesar de no ser parte de nuestro modelo de simulación, con base en la estimación de ingresos y consumo agregado de la población de Tierra del Fuego realizamos una estimación aproximada de la cuantía de la renuncia fiscal que implican los beneficios generales del Régimen más allá del subrégimen. Esta estimación arroja como resultado un monto no mayor a los US$ 150 M, correspondientes principalmente a exenciones de IVA e Impuesto a las Ganancias, y exenciones de aranceles de importación a los bienes consumidos en la isla. De esta forma, concluimos que al menos el 85 % del costo fiscal del Régimen es explicado por el subrégimen industrial.
Finalmente, un escenario contrafactual de remoción del subrégimen industrial implicaría para la recaudación de Tierra del Fuego una pérdida de aproximadamente US$ 61 M por menores ingresos correspondientes a la TVPP (US$ 24 M) e Ingresos Brutos (US$ 38 M).
6. Propuesta de reformulación
Nuestra “Propuesta de Reformulación” del subrégimen industrial contempla una profunda revisión del esquema de incentivos fiscales que este último establece. Respondiendo a la caracterización realizada en las secciones 2 y 3, tiene como eje central pasar de premiar la facturación de las empresas a premiar el valor agregado que se genera en el país. Los resultados buscados son: (a) una mejor capacidad del esquema de incentivos para estimular esfuerzos locales de innovación y de agregación de valor; (b) un significativo ahorro fiscal por la remoción de beneficios asociada a la porción de valor agregada en el exterior.
El cambio en el esquema de incentivos fiscales contiene dos elementos centrales, ambos de implementación gradual. El primero es pasar de otorgar el crédito fiscal por IVA tomando como base el volumen de ventas a otorgarlo por la porción de valor agregado en el país. En otras palabras, la importación de insumos pasaría a pagar IVA. El segundo elemento es comenzar a cobrar el arancel a los insumos importados establecido en el nomenclador aduanero, así como la tasa de estadística general del 3 % que se cobra a toda importación, removiéndose la exención hoy existente. Esto último implicaría mantener para la producción en la isla el incentivo que la literatura de comercio internacional denomina "protección efectiva" debido a que los aranceles establecidos son mayores para los bienes finales que para los insumos intermedios. La gradualidad de la propuesta busca minimizar el costo social de su implementación al proveer el tiempo necesario para el desarrollo de nuevos sectores, obtener los recursos necesarios para financiarlo a partir del ahorro fiscal generado y dotar a los sectores que operan bajo el subrégimen de la oportunidad de adaptarse al nuevo esquema de incentivos que premia el agregado de valor local.
Además de la revisión del esquema de incentivos, esta propuesta también incluye remover toda restricción comercial a las importaciones más allá de la protección arancelaria y las medidas antidumping vigentes. Ello implica, en primer lugar, eliminar el diferencial de impuestos internos a la electrónica entre la producción de la isla y la oferta importada, al que como argumentamos en la sección 5 consideramos una medida de protección comercial. A la vez, proponemos inmediatamente retrotraer la alícuota de este impuesto al nivel vigente en 2021 (6,55 %), excepto para teléfonos celulares31. Para este último producto, proponemos eliminar directamente el impuesto, de forma gradual, para evitar que la remoción de subsidios impacte en su precio, y de esta forma limite el acceso de la población a una necesidad básica para la vida en sociedad y para la productividad de la economía. De cualquier forma, también trabajamos una propuesta alternativa en la que se aplica a los teléfonos celulares la misma alícuota que al resto de los productos electrónicos (6,55 %), en cuyo caso se genera un mayor ahorro fiscal a expensas de un mayor precio pagado por los consumidores32. La remoción de restricciones comerciales incluye también la eliminación de restricciones cuantitativas, entre las que se encuentran las LNA y otras restricciones cambiarias vigentes (ya removidas en diciembre de 2023).
Como se mencionó en la sección 2, a partir de 2023 (Decreto 725/21) se comenzó a integrar el FAMP con el aporte a este fondo por parte de las empresas del 15 % del crédito fiscal recibido por IVA. La Propuesta de Reformulación mantiene este aporte. A la vez, el Decreto 727/21 excluyó de la renovación del subrégimen al sector textil, decisión que, a pesar de haber sido parcialmente revertida, mantenemos en nuestro escenario según lo expuesto en la sección 5. Finalmente, en 2022 la provincia de Tierra del Fuego decidió elevar la alícuota de la TVPP del 0,9 % al 1,8 %. La propuesta mantiene la alícuota en este último nivel a fin de atender la pérdida de ingresos provinciales que tendría lugar por la menor actividad en el marco del subrégimen prevista como resultado de su aplicación.
La propuesta contempla una implementación gradual en 11 años. Considera como punto de partida el año 2024 (Año 1), extendiéndose su implementación gradual hasta el año 2034 (Año 11)33. En el Año 1 (2024), se elimina el diferencial de impuestos internos y las restricciones cuantitativas, a la vez que comienza a operar la exclusión del subrégimen del sector textil establecida en el Decreto 727/21. Luego, en un plazo de cinco años –desde el Año 2 (2025) hasta el Año 6 (2029)– se restituye en forma gradual y uniforme el IVA a la compra de insumos importados. A partir del año siguiente (2030), en un plazo de otros cinco años –desde el Año 7 (2030) hasta el Año 11 (2034)– se restituye el arancel a los insumos importados y la tasa de estadística. Finalmente, en la propuesta de base, se reduce adicionalmente en forma uniforme y gradual la alícuota de impuestos internos a los teléfonos celulares llevándola del 6,55 % en 2024 a 0 % en 2029. Destacamos que la secuencia temporal de esta propuesta es susceptible de ser modificada con objetivos tanto de aceleración como de retardo de sus efectos. La tabla 2 resume el contenido de esta propuesta.

Durante el período de implementación de 11 años que contempla la propuesta, un abordaje cuidadosamente selectivo con respecto a la aprobación de procesos productivos para nuevos productos o proyectos permitiría mantener acotada la renuncia fiscal que genera el subrégimen. Finalizado dicho periodo, se debería evaluar el desempeño que el subrégimen reformulado haya tenido para decidir sobre su eventual continuación. Para ese entonces podría decidirse discontinuarlo. De mantenerlo, su administración podría realizarse de manera más flexible limitándose al control del valor agregado declarado por las empresas en vez de dictaminar las partes específicas del proceso productivo que deben llevar a cabo. Se dejaría así que ellas decidan en qué componentes de la cadena de valor prefieren especializarse, recibiendo los incentivos fiscales solo por la fracción del valor agregado correspondiente.
En cuanto a la implementación legal de esta propuesta, una ley del Congreso de la Nación, particularmente en lo que concierne a los cambios relativos al IVA y a los aranceles a la importación de insumos, otorgaría al proceso de transformación la necesaria seguridad jurídica para evitar contramarchas y esfuerzos de obstaculización. A pesar de que, en el marco del Régimen, cambios impositivos anteriores se han realizado por decreto (por ejemplo, el Decreto 252/09 que estableció una alícuota preferencial de impuestos internos para los fabricados en Tierra del Fuego), la sustentabilidad de una propuesta de este tipo se vería apuntalada con un acuerdo parlamentario. El tratamiento legislativo de una propuesta como la de este trabajo es asimismo crítico como camino institucional debido a que otorgaría mayores garantías al financiamiento del proceso de transformación productiva de Tierra del Fuego a lo largo de una década. En efecto, el mantenimiento del compromiso de financiamiento durante dicho plazo constituye un desafiante objetivo intertemporal que sólo sería posible cumplir a través de un Fondo (o algún otro tipo de dispositivo institucional) dotado con un flujo anual de recursos significativamente mayor al que se proyecta que disponga el actual FAMP (ver, sobre esto, Bril Mascarenhas et al., 2023).
7. Simulación del impacto de la reformulación del subrégimen
Utilizando el modelo de simulación, esta sección presenta los impactos esperados que tendría la Propuesta de Reformulación. En primer lugar, se describe el impacto que tendría la reformulación del esquema de incentivos sobre los precios. En segundo lugar, cómo esos precios modificarían las cantidades producidas e importadas, y consecuentemente los niveles de empleo y el ahorro fiscal que obtendría el Estado nacional. Se considera la propuesta de base, así como los impactos de una propuesta alternativa sin eliminación de impuestos internos a los teléfonos celulares. Por último, se discuten los resultados que surgen de la consideración de dos escenarios alternativos al escenario base. La Tabla 3 muestra la simulación del antes (2021) y el después (2035) de la implementación de la Propuesta de Reformulación en el escenario base.

En cuanto a los efectos de la propuesta sobre los precios, nos enfocamos primero en los precios “en depósito del retailer” (sin IVA), que son aquellos que en el modelo determinan la demanda relativa (nacional/importada) y las decisiones de localización de la producción que hacen las empresas. Se observa en los tres productos que la propuesta implicaría un aumento en el precio de los bienes producidos en Tierra del Fuego y una baja en el precio de los productos importados. Estos cambios proyectados por el modelo de simulación se deben, por un lado, a que la quita de beneficios impositivos a los productores del subrégimen provocaría la suba del precio nacional, mientras que la quita de las barreras no arancelarias, como así también la reducción en los impuestos internos para los electrónicos importados, produciría una baja en el precio importado.
A pesar de que en los tres casos la Propuesta de Reformulación induciría una caída en el precio relativo del producto importado, su magnitud sería diferente según el producto. En el caso de los teléfonos celulares, mientras que en 2021 el precio nacional mostró un valor 24 % menor al importado (sin considerar el equivalente arancelario), al finalizar la implementación de la propuesta (Año 11) el primero se ubicaría un 15 % por encima del segundo. En el caso de los televisores, en cambio, si bien el precio nacional relativo al importado aumentaría considerablemente, el primero se mantendría 0,1 % por encima del segundo. Los acondicionadores de aire presentan un caso intermedio: el precio nacional terminaría siendo un 9 % superior al precio importado terminada la implementación de la propuesta (Año 11).
Los diferentes impactos en los precios relativos disparan en el modelo respuestas competitivas muy diferentes entre los tres productos ante la introducción de cambios en los incentivos económicos. En el caso de los teléfonos celulares, la diferencia de precios a favor del producto importado (15 %) provocaría, de manera gradual, el desplazamiento de la producción nacional por oferta importada. Al cabo del lapso de 11 años que dura la implementación completa de la propuesta, dicho desplazamiento habría sido total34. De manera correspondiente, se perderían los 2794 puestos de trabajo, que en este trabajo se estima están hoy asignados a la producción de este bien. Esto se puede ver en el Gráfico 4, que muestra para cada producto la fracción de la producción y del empleo de 2021 que se conservaría en Tierra del Fuego en el año 2035 (en el modelo estas dos proporciones son idénticas, ya que se asume una relación técnica constante entre empleo y producción). Como se observa en el gráfico, en el caso de los teléfonos celulares en 2035 cesaría toda producción y empleo.

En cambio, el impacto simulado de la propuesta para televisores presenta un caso opuesto al de los teléfonos celulares. Dado que el precio nacional terminaría siendo muy similar al precio importado (de hecho sería apenas un 0,1 % mayor), la mayor parte de la producción permanecería localizada en Tierra del Fuego. En particular, dado que el precio nacional sería muy similar al precio importado, el modelo de simulación predice en este caso una muy acotada relocalización hacia el exterior (margen extensivo), siendo la pérdida en la demanda relativa causada casi en su totalidad por el cambio en el precio relativo (margen intensivo). En correspondencia con la predicción sobre el impacto en la producción, el 61 % del empleo asignado a televisores se conservaría (1577 puestos de trabajo), lo que implicaría una pérdida acumulada hasta 2035 de 988 empleos.
Por último, el caso de los acondicionadores de aire, donde el precio en 2035 del producto nacional sería un 9 % mayor que su par importado, presenta un caso intermedio: aproximadamente el 28 % de la producción de estos equipos permanecería en la isla. Dado que la diferencia porcentual de precios terminaría siendo menor al umbral Importar imagen de 13,67 % establecido para estos bienes, la disminución en la producción que se predice en este caso es explicada tanto por un cambio de demanda relativa en respuesta al cambio de precio relativo (margen intensivo) como por un desplazamiento parcial de la producción local hacia el exterior (margen extensivo). En este caso, hacia el final del periodo de implementación de la propuesta (Año 11) se mantendrían en Tierra del Fuego 668 puestos de trabajo, al tiempo que la caída en la producción implicaría una pérdida acumulada hasta 2035 de 1751 empleos.
Los cambios de precios, tanto nacionales como importados, junto con los cambios en el consumo relativo, implicarían a la vez un cambio en los precios promedio (ponderados por las cantidades locales e importadas) enfrentados por las y los consumidores. En el caso de los teléfonos celulares, el modelo predice que la propuesta mantendría casi inalterado el precio promedio pagado al nivel del consumo (2 %). A pesar de la reducción de precio en los teléfonos celulares importados, ello no sería suficiente para compensar el impacto en el precio que ocasionaría la pérdida de beneficios económicos para la producción nacional (cuyo precio en el año de referencia 2021 estimamos muy por debajo del import parity). Por este motivo, la propuesta de base rebaja a 0 % la alícuota de impuestos internos sobre este producto, buscando evitar que un bien tecnológico esencial para el bienestar de las personas y la productividad de la economía se vea encarecido de manera significativa. En el caso de los televisores y de los acondicionadores de aire, en cambio, la propuesta no incluye la eliminación de este impuesto, manteniendo la alícuota del 6,55 % vigente en 2021.
Las cifras hasta aquí presentadas hacen una comparación “punta a punta” entre el año base y el último año considerado en la Propuesta de Reformulación (Años 1 a 11). Sin embargo, tal como explicamos más arriba, la propuesta establece un cronograma de implementación gradual de 11 años. La gradualidad de la propuesta tiene el fin de suavizar sus impactos y dar tiempo de adaptación a las empresas al nuevo marco de incentivos, así como, principalmente, permitir la mayor sincronización posible de esta transición con el desarrollo de nuevas actividades productivas, tal como se describe en Bril Mascarenhas et al. (2023). Por ello, interesa también considerar el impacto en el tiempo que tendría esta propuesta focalizándonos en la evolución proyectada de las principales variables sociales y económicas, respectivamente el empleo y el ahorro fiscal. Destacamos, de todas formas, que la propuesta formulada privilegia la simplicidad de criterios con respecto a los tiempos de implementación, aunque también es pasible de ser modificada atendiendo distintas consideraciones de impacto temporal.
El Gráfico 5 detalla los resultados de la simulación para la evolución del empleo, mostrando para cada año la pérdida de empleos en el subrégimen en relación con el año anterior, excepto para el primer año de implementación –2024– en el cual se compara directamente con el año de referencia, 2021. En primer lugar, se destaca un impacto inicial en 2024 mayor que en los años siguientes consistente en la pérdida de 1539 empleos (nuevamente, con respecto a 2021). Gran parte de este impacto negativo sobre el empleo, en realidad, no es producido por la Propuesta de Reformulación de este estudio, sino que es ocasionado por la exclusión del sector textil de la renovación del subrégimen industrial dispuesta por el Decreto 727/2021 a partir del año 2024. El modelo de simulación asume simplemente que el sector textil dejaría de producir al ser excluido del subrégimen, perdiéndose así los 908 empleos registrados en el mismo (ver discusión en la sección 4)35

El resto del impacto proyectado en 2024 se explica por la pérdida de 551 empleos atribuibles a televisores, teléfonos celulares y acondicionadores de aire, y 81 empleos atribuibles al resto del subrégimen industrial. Aun excluyendo textiles, el impacto en el Año 1 (2024) es mayor al de los años siguientes ya que operan dos medidas de alto impacto e implementación desde el momento inicial en la propuesta: la quita de barreras no arancelarias y la eliminación del diferencial de impuestos internos. Sin embargo, también impactan en la proyección de empleo para ese primer año el aporte al FAMP del 15 % del crédito fiscal IVA (que induce en la simulación un aumento del precio al retailer que ofrecen las empresas locales al tener un subsidio menor) y el aumento de la TVPP de 0,9 % a 1,8 %.
Durante los años siguientes los impactos anuales en el empleo que proyecta el modelo son heterogéneos. En un primer período (2025-2028), estos serían más suaves, con una pérdida anual promedio de 219 empleos. En un segundo periodo (2029-2034), la caída anual promedio de empleos aumentaría a 807, y alcanzaría un pico máximo de 1312 empleos perdidos en 2031. La mayor caída de empleos en este segundo período es explicada principalmente por la relocalización productiva de teléfonos celulares y acondicionadores de aire hacia el exterior del país como respuesta al cambio en los costos relativos entre producir en el país e importar. En adición a los efectos graduales en la demanda relativa por el cambio de precios relativos (margen intensivo), es en 2029 precisamente cuando el precio nacional de los teléfonos celulares y los acondicionadores de aire comenzaría a superar al import parity, lo que desencadenaría el inicio de dicho proceso de relocalización (margen extensivo).
La línea continua del Gráfico 5 simula para cada año el impacto acumulado sobre el empleo que tendría la implementación de la Propuesta de Reformulación. En total, la pérdida de empleos que se acumularía a lo largo de los 11 años de reforma se estima, según el modelo de simulación, en 7254 puestos de trabajo.
La reformulación del subrégimen industrial generaría, asimismo, un significativo ahorro fiscal. Como estudian Bril Mascarenhas et al. (2023), este ahorro podría ser usado tanto para el desarrollo de nuevas actividades productivas, que tienen el potencial de generar un número de nuevos empleos de similar orden de magnitud, como para financiar un programa de protección social y reconversión laboral para atender a la relocalización sectorial de los puestos de trabajo y asegurar el bienestar de las personas y las familias durante el tiempo que dure esa transición. El Gráfico 6 detalla la evolución anual del ahorro fiscal que predice el modelo en respuesta a la implementación de la Propuesta de Reformulación. Tanto por la sustitución gradual de producción nacional –que no paga impuestos– por importaciones –que sí lo hacen– como por los impuestos a los insumos importados que comenzaría a pagar la actividad de la isla, el ahorro fiscal nacional crecería año a año desde el inicio hasta el final de la implementación de la propuesta. Mientras que en el Año 1 (2024) el ahorro fiscal anual sería de US$ 178 M, en 2034 este monto llegaría a la suma de US$ 881 M. Como se ve en el gráfico, este último monto puede desglosarse de la siguiente manera: US$ 706 M anuales atribuibles al impacto en los 3 productos electrónicos considerados, US$ 146 M anuales atribuibles al impacto en el resto de los sectores del subrégimen y US$ 29 M anuales por la exclusión del sector textil.

El ahorro fiscal anual de US$ 881 M al que se llegaría en 2034 representa un 82,4 % del costo fiscal actual del subrégimen, tal como fue estimado en la sección 5. Es decir, mientras que la Propuesta de Reformulación del subrégimen industrial de este trabajo mantiene ciertos incentivos económicos, ahora atados a la agregación de valor en Tierra del Fuego, lograría a la vez que se ahorre gran parte del costo fiscal que genera el actual esquema de incentivos. Para dimensionar el ahorro fiscal acumulado durante los 11 años de reforma, la línea continua muestra que este sumaría US$ 5864 M. En los años subsiguientes, se seguiría acumulando un ahorro fiscal de US$ 881 M año por año. Por ejemplo, como se ve en el Gráfico 6, en 2035 se habrían acumulado US$ 6745 M.
Propuesta alternativa
Una alternativa a la propuesta de base que hemos discutido hasta aquí sería mantener la alícuota de impuestos internos para los teléfonos celulares en el nivel de 6,55 % (alícuota aplicada en la propuesta a televisores y acondicionadores de aire) en vez de llevarla a 0 %. En este caso, no existirían impactos significativos en la competitividad de la producción nacional en relación con la oferta importada, ya que este cambio de alícuota se aplicaría a todos los teléfonos celulares independientemente de su origen. Los efectos se verían, principalmente, en el precio promedio de este producto y en el ahorro fiscal del Tesoro Nacional. Por un lado, una alícuota mayor induciría un aumento de relevancia en el precio promedio del celular, que sería en 2035 un 12 % mayor a su valor de 2021 (en contraposición a la escasa variación –2 %– proyectada en la propuesta de base). Por otro lado, el ahorro fiscal anual a partir del 2034 sería de US$ 985 M, lo cual implicaría US$ 104 M adicionales de ahorro fiscal anual. En términos de ahorro fiscal acumulado durante el periodo 2024-2034, este se incrementaría US$ 627 M con relación al escenario base. En síntesis, esta alternativa ilustra un trade-off de política pública entre mayor ahorro fiscal y menores precios al consumo de teléfonos celulares, sin impacto en la producción y el empleo.
Balanceando este mismo trade-off en el sentido opuesto, otra propuesta alternativa a la propuesta de base, que también se plantea desde este estudio como una opción de política, tendría la virtud de inducir una caída en los precios de teléfonos celulares a costa de sacrificar una porción del ahorro fiscal. En particular, esta propuesta alternativa contempla adicionalmente una reducción de los aranceles de importación de los teléfonos celulares desde su actual nivel de 16 % a un nivel del 12 %. Al bajar el import parity, ello provocaría una caída en el precio promedio de los teléfonos celulares de 1,0 % respecto a su valor de 2021, con una reducción del ahorro fiscal anual de largo plazo de US$ 43 M36. Más generalmente, existe un continuo de opciones de política: por cada punto porcentual de reducción del arancel de importación, la caída de precios sería de aproximadamente 0,85 % y la reducción del ahorro fiscal anual sería de aproximadamente de US$ 12 M. Dado que según el modelo de simulación la producción de teléfonos celulares cesaría, la decisión de arancel de importación óptimo en este contexto dejaría de ser relevante para la problemática de Tierra del Fuego y pasaría en su lugar a ser una decisión de política tributaria general37.
Consideración de escenarios alternativos
Uno de los objetivos de la Propuesta de Reformulación es cambiar el esquema de incentivos del subrégimen industrial por uno más conducente a la búsqueda de innovación y agregación de valor. Existen varias trayectorias de innovación y agregación de valor que podrían considerarse posibles. Una de ellas, común en la consideración de analistas y actores participantes del subrégimen, se basa en un cambio en el modelo de negocios del sector de electrónica más orientado hacia nichos de mercado demandantes de mayor customización y generadores de mayor valor agregado –por ejemplo, placas electrónicas para otras industrias como la maquinaria agrícola– relativo a la casi exclusiva orientación actual hacia el consumo masivo. Sin embargo, la probabilidad de ocurrencia de cada una de estas trayectorias, así como la forma que tomarían, es muy difícil de prever. Por este motivo, no se intenta aquí simular un escenario de este tipo, aunque se preserve la noción de que su ocurrencia es posible.
Por otra parte, como se ha discutido anteriormente, los resultados del modelo de simulación dependen de un conjunto de supuestos cuya validez podría ser cuestionada. Por ello, la evaluación de supuestos alternativos sobre algunos parámetros clave del modelo es un ejercicio relevante. En primer lugar, estudiamos un escenario de mayor sensibilidad de las empresas a las diferencias de costos en sus decisiones de relocalización (parámetro ). En segundo lugar, estudiamos otro escenario donde se obtienen mejoras de productividad a través de menores costos logísticos.
El primer caso estudia más específicamente cuál sería la respuesta de relocalización de las empresas si los parámetros –que determinan el umbral en el diferencial entre el precio nacional y el importado a partir del cual no quedaría producción en Tierra del Fuego– tomaran la mitad del valor considerado en el escenario base. En el caso de los teléfonos celulares, este nuevo escenario no cambiaría la situación final en la cual la producción local es totalmente desplazada por la oferta importada, sino que sólo incrementaría la velocidad de este proceso. En el caso de los televisores, dado que el precio nacional terminaría en 2034 casi igualado al precio importado (ver Tabla 3), el efecto de relocalización sería casi nulo. Es en el caso de los acondicionadores de aire donde se produciría un impacto diferencial, ya que, a diferencia del escenario base, en este escenario toda la producción terminaría siendo desplazada por oferta importada. El motivo es que se reduciría a 6,84 %, siendo este valor sobrepasado por la brecha proyectada de precios de 9 % entre el precio nacional y el precio importado (ver Tabla 3).
Los impactos acumulados en el empleo y en el ahorro fiscal correspondientes a este escenario alternativo pueden observarse en los gráficos 7a y 7b, respectivamente. Estos gráficos también muestran los impactos del escenario alternativo que consideraremos a continuación, así como también los asociados a la propuesta de base (línea sólida ya mostrada en los gráficos 5 y 6) y a la propuesta alternativa (que no elimina los impuestos internos a los celulares) discutidas anteriormente. Como se puede observar en el Gráfico 7a, en este escenario alternativo la pérdida acumulada de empleo hasta el año 2034 aumentaría en 777 empleos (11 % más) comparado con el escenario base (8032 empleos versus 7254 empleos perdidos). Al igual que en dicho escenario, no se producirían nuevas pérdidas de empleo luego de 2034. En contraposición, el Gráfico 7b muestra que el ahorro fiscal anual aumentaría en el largo plazo US$ 27 M (3 % más) comparado con el escenario base (US$ 908 M versus US$ 881 M) mientras que, el ahorro fiscal acumulado en el periodo 2024-2034 aumentaría US$ 428 M (7 % más) comparado con el dicho escenario (US$ 6292 M versus US$ 5864 M). El ahorro fiscal continuaría sumando US$ 908 M cada año a partir de 2034.


Por último, se consideró un escenario en el cual las empresas logran aumentos de productividad. A pesar de que es difícil predecir cuáles podrían ser las fuentes de productividad que podrían materializarse, existe un consenso sobre la posibilidad de reducir uno de los mayores componentes del costo local, la logística, en particular fruto de la construcción de un puerto en Río Grande. Como aproximación, se considera aquí un escenario alternativo en donde los costos de logística se reducen un 30 % en un lapso de 5 años. Esta reducción produciría una disminución en el precio nacional que permitiría a la producción nacional competir en mejores condiciones con la oferta importada. La baja en los costos logísticos incidiría en el precio en forma diferencial entre los tres productos estudiados: mientras se estima aquí que para los teléfonos celulares representan un 1 % del precio en depósito del retailer (sin IVA), este porcentaje aumenta a 6 % y 11 % para televisores y acondicionadores de aire, respectivamente.
Como se puede observar en el panel A del Gráfico 7, en este segundo escenario alternativo la caída en el empleo acumulado hasta 2034 se reduciría en 886 empleos (12 % menos) comparado con el escenario base (6369 versus 7254 empleos perdidos). La mayor parte de esta diferencia se explica por la recuperación de producción en acondicionadores de aire con respecto al escenario base. En este escenario alternativo, el 58 % de la producción de este producto permanecería en la isla, comparado con el 28 % proyectado según el escenario base. En el caso de los televisores, dicho porcentaje mostraría una limitada variación (de 61 % a 63 %), mientras que en teléfonos celulares la caída en los costos de logística no impediría el desplazamiento total de la producción local por oferta importada. Por otra parte, como se ve en el panel B Gráfico 7, el ahorro fiscal anual de largo plazo terminaría siendo US$ 25 M menor (3 % menos) que en el escenario base (US$ 856 M versus US$ 881 M). Asimismo, el ahorro fiscal acumulado entre 2024-2034 disminuye US$ 89 M (2 % menos) comparado con el escenario base (US$ 5776 M versus US$ 5864 M).
A modo de resumen, la Tabla 4 muestra los impactos esperables de la Propuesta de Reformulación según los resultados del modelo de simulación, tanto para el escenario base (eliminando y no eliminando los impuestos internos a los teléfonos celulares) como para los dos escenarios alternativos analizados. Como puede observarse en la tabla, la consideración de estos distintos escenarios muestra una escasa sensibilidad de los impactos simulados por el modelo a cambios relevantes en los parámetros considerados. Ello contribuye a dotar de confiabilidad a sus resultados como aproximación a los efectos esperados de una eventual implementación de la propuesta.

8. Conclusiones
A pesar de ser una creciente fuente de cuestionamiento en el debate público, particularmente por su costo fiscal y su fuerte dependencia de los beneficios que concede, el subrégimen industrial de Tierra del Fuego ha perdurado por más de cincuenta años, acrecentando dichos beneficios en vez de reducirlos. Al menos parte de esta continuidad es explicada por su opacidad, la ausencia de propuestas sobre cómo reformularlo de manera integral y la falta de herramientas de análisis que permitan cuantificar los impactos esperables de posibles reformulaciones.
El subrégimen industrial de Tierra del Fuego no ha sido exitoso en traccionar una mayor actividad económica más allá de aquella directamente beneficiada por el subrégimen, por ejemplo generando upgrading hacia nichos de mayor valor agregado o traccionando un ecosistema de proveedores locales. En este trabajo mostramos que la falta de dinamismo de la actividad económica del subrégimen puede ser atribuida a un mal diseño de los incentivos otorgados, que se determinan en función de la facturación de las empresas en lugar de en función de su valor agregado. Con base en este diagnóstico, proponemos una reformulación que busca reducir gradualmente, en un plazo de once años, la mayor parte de la renuncia fiscal asociada al subrégimen y transformar el esquema de incentivos fiscales para alinearlos con la promoción de la innovación y la agregación de valor. El principal cambio propuesto consiste en que las empresas bajo el subrégimen industrial comiencen a abonar el IVA y los aranceles correspondientes a las importaciones que realizan.
Para estimar el costo fiscal asociado al subrégimen y evaluar los impactos de esta propuesta en términos de empleo, producción y resultado fiscal, desarrollamos un modelo de simulación. Este se focaliza en los tres principales productos del subrégimen –teléfonos celulares, televisores y equipos de aire acondicionado, que conforman el 77 % de su facturación total– y luego extrapola los resultados hacia la porción del subrégimen restante. Para cada uno de estos productos, el modelo estima cómo los cambios en los beneficios impositivos en cualquier escenario contrafactual impactan en el precio y en la demanda relativa del producto importado relativamente a aquel producido en Tierra del Fuego, y así determina también la producción y el empleo en la isla, con los consecuentes impactos fiscales. Es la primera vez, hasta donde se tiene conocimiento, que se desarrolla una herramienta de este tipo para estimar y hacer públicas las implicancias esperables de una propuesta de reformulación del subrégimen.
Los resultados del modelo muestran que el costo fiscal del subrégimen asciende a US$ 1070 M. La implementación de nuestra propuesta generaría un ahorro fiscal acumulado en 11 años de aproximadamente US$ 5900 M (más casi US$ 900 M en cada año subsiguiente). El recorte de beneficios implicaría una caída de la actividad de los sectores beneficiados –en particular, se perdería la totalidad de la producción de teléfonos celulares y una porción significativa de la de televisores y acondicionadores de aire–, en la medida en que las empresas no reorienten exitosamente su estrategia de negocios hacia nichos de mayor valor agregado. Implicaría, también, la pérdida de casi 7250 empleos. Sin embargo, con solo parte del ahorro fiscal generado se podrían afrontar las inversiones propuestas por Bril Mascarenhas et al. (2023) para reconvertir la matriz productiva de la isla, manteniendo el nivel general del empleo casi inalterado. Con el desarrollo de esta herramienta de análisis, esperamos contribuir a la discusión pública sobre las condiciones de continuidad del subrégimen industrial, su evaluación sobre la base de la estimación cuantitativa de posibles impactos y el correcto diseño e implementación de la política industrial.
Referencias
Álvarez, M. (28 de febrero de 2013). Sistematización y comprensión de los alcances del régimen especial fiscal y aduaneros de la ley N°19.640 y normas reglamentarias, provincia de Tierra del Fuego, Antártida e Islas del Atlántico Sur. Consejo Federal de Inversiones. http://biblioteca.cfi.org.ar/documento/sistematizacion-y-comprension-de-los-alcances-del-regimen-especial-fiscal-y-aduaneros-de-la-ley-n19-640-y-normas-reglamentarias-provincia-de-tierra-del-fuego-antartida-e-islas-del-atlantico-su/
Azpiazu, D., Basualdo, E. M. y Nochteff, H. (1987). La revolución tecnológica y las políticas hegemónicas. El complejo electrónico en la Argentina. Legasa. https://buscador.unsam.edu.ar/Record/25616/Details
Baldwin, R. E. (1969). The case against infant-industry tariff protection. Journal of political economy, 77(3), 295-305. https://doi.org/10.1086/259517
Bril Mascarenhas, T., Gatto, F., Aggio, C., Pezzarini, L., Cunial, S. y Sancisi, A. (2023). Tierra del Fuego: análisis de la viabilidad de la transformación productiva. Fundar. https://fund.ar/publicacion/viabilidad-de-la-transformacion/
Buba, J. y Wong, M. D. (2017). Special economic zones: an operational review of their impacts. World Bank Group. http://documents.worldbank.org/curated/en/316931512640011812/Special-economic-zones-an-operational-review-of-their-impacts
Centro Interdisciplinario de Estudios en Ciencia, Tecnología e Innovación. (2018). Lineamientos estratégicos para la política de CTI - Tierra del Fuego.
Cherif, R. y Hasanov, F. (2019). The return of the policy that shall not be named: Principles of industrial policy (Documento de Trabajo Nº19/74). International Monetary Fund. https://www.imf.org/en/Publications/WP/Issues/2019/03/26/The-Return-of-the-Policy-That-Shall-Not-Be-Named-Principles-of-Industrial-Policy-46710
Cimillo, E. y Roitter, M. (1989). Relocalización y cambios en la organización de la producción. El Área Aduanera Especial de Tierra del Fuego. Comisión Económica para América Latina y el Caribe. http://biblioteca.cfi.org.ar/documento/relocalizacion-y-cambios-en-la-organizacion-de-la-produccion-el-area-aduanera-especial-de-tierra-del-fuego/
Comisión Económica para América Latina y el Caribe y OXFAM Internacional. (2019). Los incentivos fiscales a las empresas en América Latina y el Caribe (Documentos de Proyectos LC/TS.2019/50). https://hdl.handle.net/11362/44787
Comisión Económica para América Latina y el Caribe, Secretaría de Industria y Desarrollo Productivo de la Argentina y Ministerio de Producción y Ambiente de la provincia de Tierra del Fuego, Antártida e Islas del Atlántico Sur. (2023). Oportunidades y desafíos para la transformación productiva fueguina (Documentos de Proyectos LC/TS.2022/195-LC/BUE/TS.2022/20). https://hdl.handle.net/11362/48635
Comisión Nacional de Comercio Exterior. (2021). Informe técnico previo a la determinación final de la revisión: Equipos de aire acondicionado.
Comisión Nacional de Comercio Exterior. (2022). Informe técnico previo a la determinación final de la revisión: Equipos de aire acondicionado.
Crespi, G., Fernández-Arias, E. y Stein, E. (Eds.). (2014). ¿Cómo repensar el desarrollo productivo? Políticas e instituciones sólidas para la transformación económica. Banco Interamericano de Desarrollo. http://dx.doi.org/10.18235/0006382
Criscuolo, C., Gonne, N., Kitazawa, K. y Lalanne, G. (2022). An industrial policy framework for OECD countries: Old debates, new perspectives. Organisation for Economic Co-operation and Development. https://doi.org/10.1787/0002217c-en
Duranton, G. y Venables, A. (2019). Place-Based Policies: principles and developing country applications (Documento de Trabajo 893). Departamento de Economía, Universidad de Oxford. https://doi.org/10.1007/978-3-642-36203-3_142-1
Evenett, S., Jakubik, A., Martín, F. y Ruta, M. (2024). The Return of Industrial Policy in Data (Documento de Trabajo Nº 2024/001). International Monetary Fund. https://doi.org/10.1111/twec.13608
Feenstra, R. C. (1994). New product varieties and the measurement of international prices. The American Economic Review, 84(1), 157-177.
Frick, S. y Rodríguez-Pose, A. (2021). Special Economic Zones and Sourcing Linkages with the Local Economy: Reality or Pipedream? The European Journal of Development Research, 34(2), 655-676. https://doi.org/10.1057/s41287-021-00374-4
Frick, S. A., Rodríguez-Pose, A. y Wong, M. D. (2019). Toward economically dynamic special economic zones in emerging countries. Economic Geography, 95(1), 30-64. https://doi.org/10.1080/00130095.2018.1467732
Fundar (2023). Hacia una transformación productiva posible en Tierra del Fuego. https://fund.ar/serie/tierra-del-fuego/
García, J. I. y Lavarello, P. (2022). Trayectoria y reposicionamientos de la industria electrónica en Tierra del Fuego. H-industria: Revista de Historia de la Industria, los Servicios y las Empresas en América Latina, 16(30), 79-100. https://doi.org/10.56503/H-Industria/n.30(16)pp.77-100
Hallak, J. C., Bril Mascarenhas, T., Pezzarini, L., Bentivegna, B. y Park, L. (2023). Diagnóstico del Régimen de Tierra del Fuego. Fundar.
Hallak, J. C. y López, A. (2022). ¿Cómo apoyar la internacionalización productiva en América Latina? Análisis de políticas, requerimientos de capacidades estatales y riesgos. Banco Interamericano de Desarrollo. http://dx.doi.org/10.18235/0004650
Hallak, J. C., Park, L. y Bentivegna, B. (2023). Reformulación del subrégimen industrial de Tierra del Fuego: propuesta y simulación de impactos esperados. Fundar.
Juhász, R., Lane, N., Oehlsen, E. y Pérez, V. C. (2022). The who, what, when, and how of industrial policy: A text-based approach. SocArXiv, uyxh9. https://doi.org/10.31235/osf.io/uyxh9
Juhász, R., Lane, N. J. y Rodrik, D. (2023). The new economics of industrial policy (Documento de Trabajo Nº w31538). National Bureau of Economic Research. https://doi.org/10.3386/w31538
Lane, N. (2022). Manufacturing revolutions: Industrial policy and industrialization in South Korea. SSRN, 3890311. http://dx.doi.org/10.2139/ssrn.3890311
Liu, E. (2019). Industrial policies in production networks. The Quarterly Journal of Economics, 134(4), 1883-1948. https://doi.org/10.1093/qje/qjz024
McCallum, J. K. (2011). Export processing zones: Comparative data from China, Honduras, Nicaragua y South Africa (Documento de Trabajo Nº21). Industrial and Employment Relations Department, International Labour Office.
Mirgor S.A. (2022). Estados financieros consolidados y separados por el ejercicio finalizado el 31 de diciembre de 2021, juntamente con el informe de los auditores independientes y de la comisión fiscalizadora.
Neumark, D. y Simpson, H. (2015). Place-based policies. En G. Duranton, J. V. Henderson y W. Strange (Eds.), Handbook of regional and urban economics (vol. 5, pp. 1197-1287). Elsevier. https://doi.org/10.1016/B978-0-444-59531-7.00018-1
Pack, H. y Saggi, K. (2006). Is there a case for industrial policy? A critical survey. The World Bank Research Observer, 21(2), 267-297.
Rabinovich, J. (2018). Grupos locales y acumulación de capital en el sector de electrónica de consumo en Argentina (2003-2014). Apuntes del Cenes, 37(65), 247-268. https://doi.org/10.19053/01203053.v37.n65.2018.5899
Ranking de las 1000 empresas que más venden. (Septiembre de 2024). Mercado. https://mercado.com.ar/informes-especiales/ranking-de-las-1000-empresas-que-mas-venden/
Romano, S. A., Kataishi, R. E. y Durán, L. (2018). La promoción industrial en Argentina: entramado normativo para el caso de la ley 19.640. Economía, Sociedad y Territorio, 18(58), 947-976. https://doi.org/10.22136/est20181214
Samsung Electronics Co., Ltd. (2021). Fourth quarter and fiscal year 2021 results.
Schorr, M. y Porcelli, L. (2014). La industria electrónica de consumo en Tierra del Fuego. Régimen promocional, perfil de especialización y alternativas de desarrollo sectorial en la posconvertibilidad (Documentos de investigación social Nº 26). IDAES-UNSAM.
Subsecretaría de Ingresos Públicos. (Septiembre de 2022). Informe sobre gastos tributarios. Estimación para los años 2021-2023. Ministerio de Economía, Argentina.
United Nations Conference on Trade and Development. (2019). World Investment Report 2019: Special Economic Zones. Naciones Unidas.
Zeng, D. Z. (2021). The past, present, and future of special economic zones and their impact. Journal of International Economic Law, 24(2), 259-275. https://doi.org/10.1093/jiel/jgab014
ANEXO 1. Metodología de estimación y fuentes de datos de las estructuras de costos
I Estructura de costos de la producción nacional
Las “estructuras de costos” presentadas en la sección 3 descomponen el precio de cada uno de los tres productos considerados en sus distintos componentes de costos más el beneficio neto de la empresa. Para obtener cada precio, se divide el valor por las unidades totales despachadas de ese producto desde Tierra del Fuego hacia el continente para obtener un “precio promedio”, que se toma como el ingreso unitario del productor sin IVA (precio en depósito del retailer). Por su parte, para estimar las estructuras de costos que en promedio componen esos precios tal como se las presenta en la Tabla A1, se utilizaron distintas estrategias de estimación. Estas estrategias son similares para celulares y televisores, mientras que es diferente para acondicionadores de aire para aprovechar el informe técnico de la CNCE en el marco de la investigación por dumping de este producto desde China (Comisión Nacional de Comercio Exterior, 2022). Por este motivo, describimos estas estrategias separadamente.
Teléfonos celulares y Televisores
El componente central de la estructura de costos es el valor del kit importado. El nomenclador arancelario no distingue al kit como tal, sino que es necesario identificar cada uno de los ítems que lo componen. Este es un ejercicio minucioso que fue realizado teniendo en cuenta las importaciones de las empresas productoras de cada bien y la descripción de las posiciones arancelarias para determinar si aquello que importan bajo cada posición corresponde al kit del producto en cuestión. En algunos casos, particularmente los insumos para las placas electrónicas, no se puede determinar a qué producto está destinado un ítem de importación (los insumos comunes representan cerca de un 6 % de las importaciones totales de insumos); en ese caso, el valor importado del ítem fue distribuido entre los distintos productos en proporción al valor de producción. Identificados los distintos ítems que componen cada kit, se llegó a su valor CIF de importación agregando los valores CIF de importación promedio 2020-2021 de todos los ítems que lo componen. A dicho valor se le adicionaron los gastos de nacionalización, que se tomaron del balance de Mirgor de 2021 asumiendo que serían similares para otras empresas38.
Por su parte, el consumo intermedio nacional se compone de insumos, logística y otros costos locales. El peso de los insumos nacionales en los teléfonos celulares procede de estimaciones compartidas por AFARTE. En el caso de los televisores, en cambio, se aproximó el peso de los insumos nacionales a partir del peso que representan en la estructura de costos de los acondicionadores de aire, al que se le restó la porción correspondiente al gas refrigerante (que es la principal diferencia entre ambos productos). El costo logístico también fue proporcionado por AFARTE, aunque se le descontó el costo del flete y del seguro internacional por estar ya incluidos en el valor CIF del kit importado. Los otros costos locales se estimaron de manera análoga al costo de nacionalización39.
El costo laboral incluye la masa salarial y las contribuciones patronales. Un obstáculo importante para estimar la masa salarial correspondiente a cada producto es que no se dispone de información oficial ni informal con tal nivel de desagregación40. Por lo tanto, se estimó dicho empleo de la siguiente manera. En primer lugar, se contabilizó en el cálculo de empleo tanto el empleo directo en fábrica como el empleo indirecto asociado a tareas comunes en fábrica y a tareas administrativas. El empleo directo fue estimado sumando el empleo directo (en fábrica) reportado en las entrevistas por representantes de algunas de las principales empresas de la industria electrónica, y luego extrapolando dicha cantidad al resto de las empresas en base a la relación empleo-producto (cantidades). El empleo indirecto (comunes y administrativos) fue estimado utilizando la distribución reportada para los acondicionadores de aire en el informe de la CNCE: 69 % empleos de producción específica, 11 % empleos comunes en fábrica y 20 % empleos administrativos41. Para el caso de los empleos administrativos, el total resultante de agregar el empleo estimado en todos los productos electrónicos fue redistribuido entre productos en proporción a la facturación. Tomando los tres componentes del empleo, la cantidad de empleo estimada por producto para el año 2021 es de 2794 para teléfonos celulares y 2565 para televisores.
Una vez obtenido el empleo por producto, para obtener la masa salarial se multiplicó el valor obtenido en cada caso por el salario anual promedio reportado por el OEDE en las ramas en las que están incluidos, respectivamente, los teléfonos celulares (3220) y los televisores (3230). El peso de las contribuciones patronales fue estimado como el porcentaje estipulado por la normativa (24 %) más un 5 % correspondiente al costo de la ART (por ser actividades de riesgo moderado, se asume un valor intermedio en el rango de tasas cobradas por estas aseguradoras, entre el 1 % y el 10 %).
El costo financiero pondera el costo del capital (costo de oportunidad) y el costo del financiamiento de terceros (costo de los intereses). Se obtuvo a partir del costo financiero internacional (WACC) de la industria electrónica de consumo (promedio 2017-2021), que se multiplicó por la razón entre ventas totales y capital invertido para obtener su peso con respecto a las ventas (Damodaran, s.f.). Las amortizaciones y depreciaciones se estimaron de manera análoga al costo de nacionalización42. Para obtener el peso de los impuestos, fue relevada la normativa impositiva correspondiente sobre tasas y bases imponibles. Finalmente, el peso de los beneficios netos surge como residuo entre el ingreso unitario y la totalidad de costos.
Equipos acondicionadores de aire
Para los acondicionadores de aire se contó con las estructuras de costos declaradas ante la CNCE en los casos antidumping mencionados, expresadas como porcentaje del costo medio de producción (igual al precio de venta menos impuestos y beneficios). Se eligió el modelo de mayor facturación de cada empresa y se computó una estructura de costos promedio ponderando por las cantidades producidas de estos modelos en 202143. Luego, se utilizaron los pesos reportados de cada componente en el costo unitario, ajustándolos por la relación estimada entre costo unitario y precio promedio (tal como se presenta en la Tabla A1).
Algunos componentes de la estructura de costos no aparecen en los informes de la CNCE tal como son reportados en la Tabla A1; por este motivo, se estiman en forma independiente y se descuentan del ítem respectivo en el informe de la CNCE. En primer lugar, el costo del capital fue calculado como la diferencia entre el costo financiero medio internacional –tal como se estimó para el caso de teléfonos celulares y televisores– y el costo del financiamiento de terceros según el reporte de la CNCE. El beneficio neto, a su vez, es el promedio ponderado (por cantidad producida) del margen neto de las firmas del relevamiento de este organismo44 menos el costo del capital.
Para el costo de la logística se utilizó el valor provisto por AFARTE, descontándolo del valor correspondiente a los insumos importados en el informe de la CNCE. Los gastos de nacionalización, el costo financiero total, las contribuciones patronales, y las amortizaciones y depreciaciones fueron estimados de forma análoga que, para teléfonos celulares y televisores, mientras que los otros costos locales se obtuvieron como residuo. Finalmente, se cotejó el peso del kit y de la masa salarial con los valores resultantes de aplicar las metodologías utilizadas para teléfonos celulares y televisores, obteniendo resultados de consistencia satisfactorios.
II Estructura de costos de las importaciones
La estructura de costos de importación del producto representativo de la canasta local tiene como principal componente al precio (CIF) al que ese producto se podría importar. Dado que dichos productos no se importan como bienes finales a Argentina, se relevaron los precios a los que se importan en un tercer mercado (Chile, en este caso) asumiendo que los precios de importación a los dos países serían iguales45. Para estimar el precio de importación a Chile, se armó para cada producto una "canasta de comparación” para la cual se tomó el precio, por marca y modelo, de algunos productos fabricados localmente y a la vez importados a Chile como bienes finales, ponderándolos según el peso relativo de dichos modelos en la producción de Tierra del Fuego46. Luego, se calculó para esa misma canasta el precio promedio de la producción nacional –según el ingreso unitario promedio del productor (ver Tabla A1)–. Aplicando a dicho precio promedio el peso del kit en la estructura de costos nacional correspondiente, se calculó el valor del kit de la canasta de comparación. Dicho valor fue comparado con el valor de importación a Chile obtenido originalmente para esa misma canasta (que, repetimos, se asume igual al valor que tendrían los bienes finales importados a Argentina) obteniendo como brecha resultante entre valor del kit y del bien final: -0,9 % para teléfonos celulares, 19,3 % para televisores y 34,8 % para acondicionadores de aire. Se atribuyó el valor negativo en teléfonos celulares a error de estimación –dado que el kit debería ser a lo sumo tan caro como el teléfono celular–, por lo que se tomó como 0 % la brecha para este producto. Este último valor fue corroborado por informantes clave de la industria.
Se realizó un ajuste adicional a la brecha estimada entre los precios de importación del kit y del bien final teniendo en cuenta que las canastas de comparación solo son representativas de aquellos modelos correspondientes a marcas internacionales, en cuyo precio del kit ya debería estar incluido el costo de branding. Sin embargo, en el mercado argentino también existen productos con marcas locales (2 % del mercado en teléfonos celulares, 25 % en televisores y 36 % en acondicionadores de aire) para los cuales debería esperarse, al erogarse localmente los gastos de branding, que la brecha entre el precio del kit y del bien final sea mayor. Para esta porción de mercado, entonces, se descontó el costo de branding (2 %) del precio del kit importado47. La brecha resultante de este ajuste resultó ser de 0,03 % para teléfonos celulares, 20,1 % para TV y 36,0 % para acondicionadores de aire. Extrapolando esta brecha a la canasta local, y conociendo el valor del kit correspondiente a la misma, se obtuvo el precio de importación CIF que figura en la Tabla A2.
Finalmente, al precio de importación se le adicionaron distintos costos e impuestos asociados a la importación. Ellos son el arancel y la tasa estadística de importación; los costos de nacionalización (portuarios, despacho y otros gastos)48, el flete y seguro interno49; y el impuesto interno.



Referencias
Comisión Nacional de Comercio Exterior. (2021). Informe técnico previo a la determinación final de la revisión: Equipos de aire acondicionado. https://www.argentina.gob.ar/sites/default/files/2021/11/informe_tecnico_previo_a_la_determinacion_de_la_revision_final.pdf
Comisión Nacional de Comercio Exterior. (2022). Informe técnico previo a la determinación final de la revisión: Equipos de aire acondicionado. https://www.argentina.gob.ar/sites/default/files/if-2022-55606874_-_informe_tecnico_previo_a_la_determinacion_final_de_la_revision_-_equipos_de_aire_acondicionado.pdf
Damodaran, A. (s. f.). Data: Archives. Stern School of Business, New York University. Recuperado en 2023, desde https://pages.stern.nyu.edu/~adamodar/
Mirgor S.A. (2022). Balance anual 2021. https://mirgor.com.ar/mirgor-wp20/wp-content/uploads/2022/03/202112-MSA-Balance-Anual-1.pdf
Samsung Electronics Co., Ltd. (2021). Fourth quarter and fiscal year 2021 results. https://images.samsung.com/is/content/samsung/assets/global/ir/docs/2021_con_quarter04_all.pdf
ANEXO 2. Ecuaciones del modelo de simulación
Este anexo describe en detalle la composición de los precios nacional () e importado () a partir de las ecuaciones empleadas para calcularlos.
Precio nacional
El precio del bien producido bajo el subrégimen industrial de Tierra del Fuego () en depósito del retailer se puede descomponer entre las partes que representan costos reales, beneficios netos (BN) e impuestos y subsidios. La siguiente ecuación describe al precio nacional como la suma de todas estas partes:

Todas estas variables se encuentran expresadas en dólares y por unidad de producto, mientras que los subíndices t denotan tasas. A continuación, explicamos el significado de cada una de ellas.
donde es un parámetro calibrado con datos de 2021 para que se cumpla.
Los aranceles y la tasa estadística son calculados como un porcentaje del valor del kit: y .
El IVA es calculado sobre la suma del kit, los aranceles y la tasa estadística: .
Para calcular el IVA ventas, multiplicamos la alícuota del IVA por el precio sin IVA:. Si utilizamos la definición de, obtenemos que .
Para calcular el IVA compras, sumamos el IVA pagado por los consumos intermedios nacional e importado:.
En total, en el modelo del precio nacional tenemos 24 variables y 22 parámetros.
Variables: , ,, , , ,, , , , , , , , , , , , , , , , y .
Parámetros: , , , , , , , , , , , , , , , , , , , , y .
Cabe destacar que en esta subsección, para la determinación del precio nacional, se considera a como un parámetro fijo. Sin embargo, en la subsección siguiente (“Precio importado”), este mismo parámetro se aborda como una variable y se explica cómo obtener su valor a partir de otros parámetros descritos allí.
A partir de operaciones algebraicas, es posible expresar cada una de las 24 variables en función de los 22 parámetros. En particular, nos interesa despejar el precio nacional . Al respecto, es útil realizar algunas observaciones para facilitar este proceso de despeje, el cual no resulta tan directo. Dado que la variable de interés depende de otras variables (como , , , , , , y), las cuales a su vez dependen de la misma variable de interés , el procedimiento para resolver implicará la definición de un sistema de ecuaciones con incógnitas. A la vez, considerando que la ecuación que describe los beneficios extraordinarios es una función no lineal en , este sistema de ecuaciones con incógnitas incluirá una ecuación no lineal. Teniendo en cuenta los puntos anteriores, se puede encontrar una solución algebraica para con la asistencia de un software de computadora. La solución algebraica, junto con los valores de los parámetros, nos permite calcular el valor de (y del resto de las variables).
La Tabla A4 presenta los valores correspondientes a los 21 parámetros (sin considerar a ) para los tres productos principales del subrégimen en 2021. Los valores de los parámetros (1)-(9) de la tabla provienen de la estimación de la estructura de costos desarrollada en la sección 3, mientras que los valores de los parámetros (10)-(21) surgen de la normativa impositiva vigente en el año de referencia (2021). Los parámetros (10)-(16) y (19)-(21) corresponden a impuestos de carácter nacional (en el caso de (20), se trata de un subsidio), mientras que los parámetros (17) y (18) representan impuestos provinciales. Cabe destacar que los parámetros (10)-(13), (20) y (21) representan beneficios otorgados por el subrégimen industrial (en el caso de (21), se trata de una reducción parcial del crédito fiscal IVA), mientras que (16) constituye un beneficio otorgado en el marco del Régimen general. Con fines comparativos, incluimos en la tabla entre paréntesis los valores de las tasas impositivas que le correspondería pagar a una empresa si produjera en el continente sin los beneficios del subrégimen.

Precio importado
En forma similar, para el caso del bien importado:

Todas estas variables se encuentran expresadas en dólares y por unidad de producto, mientras que los subíndices t denotan tasas. A continuación, explicamos el significado de cada una de ellas.
donde representa la tasa nominal de este impuesto, siendo la tasa efectiva igual a .
En total, en el modelo del precio importado tenemos 11 variables y 10 parámetros.
Variables: , , , , , , , , , y .
Parámetros: , , , , , , , , y .
A partir de operaciones algebraicas simples (sin necesidad de resolver sistemas de ecuaciones), es posible expresar cada una de las 11 variables en función de los parámetros. Así obtenemos la fórmula para el precio importado, .
La Tabla A5 presenta los valores correspondientes a los 10 parámetros del modelo del precio importado para los tres productos principales del subrégimen durante el año 2021. Los valores de los parámetros (1)-(4), (7) y (8) de la tabla provienen de la estimación de la estructura de costos desarrollada en la sección 3, mientras que los valores de los parámetros (5), (6), (9) y (10) surgen de la normativa impositiva vigente del año en cuestión y representan impuestos nacionales.

Notas
Información adicional
Clasificación JEL: F14, H25, O25, R58

