

Artículos
Cambios en precios relativos y bienestar en Argentina. Una estimación en base a características distributivas
Changes in relative prices and welfare in Argentina. An estimation based on distributional characteristics
Revista Económica La Plata
Universidad Nacional de La Plata, Argentina
ISSN: 1852-1649
Periodicidad: Anual
vol. 67, 2021
Recepción: 28 Abril 2020
Aprobación: 05 Octubre 2020

Resumen:
Este trabajo analiza el efecto sobre el bienestar ocasionado por los cambios en precios relativos ocurridos en Argentina entre diciembre de 2016 y junio de 2019. A tal fin, se realiza una estimación actual de las características distributivas de los bienes utilizando la Encuesta Nacional de Gasto de los Hogares 2017-2018 en base a la metodología de Navajas (2004). Los resultados muestran una caída del bienestar social explicada principalmente por el fuerte incremento de precios relativos en los rubros electricidad y gas, comunicaciones, transporte y algunos alimentos. Las heterogeneidades en los patrones de consumo y en los cambios de precios relativos llevan a que la magnitud del efecto difiera entre regiones del país. Código JEL: D31, D63, I31.
Palabras clave: característica distributiva, bienestar social, cambios en precios relativos.
Abstract: This paper studies the effects on social welfare occurred after changes in relative prices in Argentina between December 2016 and June 2019. Distributional characteristics of goods are estimated using the Households Expenditure Survey 2017-2018, following Navajas (2004). Results show a negative welfare effect, mainly driven by increases in relative prices of electricity and gas, communications, transport and some food items. Heterogeneities both in consumption patterns and changes in relative prices lead to different effects on welfare among regions
Keywords: distributional characteristic, social welfare, price changes, relative prices.
I. Introducción
Buena parte de las políticas económicas implementadas en Argentina durante los últimos años tuvieron como consecuencia fuertes cambios en los precios relativos. Entre dichas políticas se encuentran controles de precios, la intervención del mercado de cambios y el congelamiento de las tarifas de los servicios públicos. Tomando este último caso a modo de ejemplo, mientras que entre diciembre de 2000 y diciembre de 2015 el nivel general de precios se multiplicó aproximadamente por 15, las tarifas promedio de gas y electricidad se multiplicaron por 0,34 (Galiani, 2018). A partir del año 2016 se aplicaron distintas medidas con el objetivo de revertir estas distorsiones de precios. Entre ellas, se liberalizó el mercado de cambios y se redujeron los subsidios económicos, principalmente en el sector energético1. Este tipo de medidas naturalmente afectan al bienestar de la sociedad y traen aparejadas consecuencias distributivas. La Figura 1 muestra los cambios en precios relativos correspondientes al período diciembre 2016 – junio 20192. Se observa que el rubro gas y electricidad se encarece fuertemente respecto del resto de los bienes. Este incremento es seguido en magnitud por el correspondiente a ciertos alimentos, comunicaciones y transporte, entre otros rubros. Por otro lado, puede observarse que algunos bienes se abaratan relativamente, especialmente bebidas alcohólicas, frutas, vestimenta, calzado y tabaco.
Dentro de este marco, resulta interesante indagar acerca del impacto sobre el bienestar social provocado por dichos cambios en precios relativos. En línea con Florio (2014), comprender este efecto puede resultar de utilidad para los gobiernos que continuamente deben aplicar el análisis de costo–beneficio a sus políticas, y tienen entre sus objetivos la mejora del bienestar, así como la focalización de cualquier medida que genere un cambio en precios relativos.
El impacto de los cambios en precios relativos sobre el bienestar puede estimarse a partir del cálculo de las características distributivas de los bienes, medidas que brindan información sobre cuán concentrado está el consumo de un cierto bien en los sectores más vulnerables, y su participación en el gasto agregado. Desde esta perspectiva, y suponiendo una función de bienestar social cóncava, se espera que los incrementos (caídas) de precios relativos tengan un mayor impacto negativo (positivo) sobre el bienestar si se producen sobre aquellos bienes cuyo consumo se encuentra muy concentrado en los estratos de la población más necesitados. Este impacto se verá reforzado en casos en los que dichos cambios en precios tengan lugar en bienes con una alta participación en el gasto agregado de consumo. Esta literatura tiene sus orígenes en Feldstein (1972)3, y al momento existe una única contribución con evidencia para Argentina sobre efectos en el bienestar4. El trabajo de Navajas (2004) evalúa el impacto en el bienestar durante el período 1988-1998 luego de un fuerte proceso de privatizaciones y desregulación de la economía argentina, encontrando que los cambios de los precios relativos generados por dichas reformas ocasionaron efectos de bienestar y distributivos positivos. Sin embargo, este resultado no es uniforme a lo largo de la década ni tampoco entre bienes y servicios5.

En este contexto, el presente trabajo contribuye de dos maneras. En primer lugar, se presentan estimaciones actuales de las características distributivas de los bienes consumidos por los hogares en Argentina, haciendo uso de la Encuesta Nacional de Gasto de los Hogares 2017-2018 (ENGHo), última encuesta de gasto disponible para el país. En segundo lugar, se evalúa el impacto del cambio en los precios relativos sobre el bienestar social durante el período diciembre 2016 – junio 2019. Si bien el trabajo se centra en la región del Gran Buenos Aires (GBA)6, también explora las heterogeneidades territoriales a través de un análisis de las distintas regiones argentinas.
Los resultados para el GBA muestran efectos negativos sobre el bienestar social de los cambios en precios relativos acontecidos durante el mencionado período. Esto se puede explicar en mayor medida por el gasto de los hogares más necesitados en rubros que presentaron incrementos en sus precios relativos, tales como electricidad y gas, comunicaciones, ciertos alimentos y el transporte. El primer rubro experimentó el mayor incremento de precios y posee la característica distributiva más alta, lo cual induce a un efecto negativo en el bienestar. El segundo rubro también sufrió un aumento en su precio relativo y su característica distributiva tiene un valor elevado. Los alimentos, por su parte, son bienes de primera necesidad, de gran importancia en la canasta agregada y con una concentración relativa del consumo mayor en los hogares más pobres. El transporte tiene una característica distributiva relativamente alta, una gran partición en la canasta de consumo y tuvo un aumento en su precio relativo. Por otro lado, la caída en bienestar se encuentra atenuada debido a que los rubros vestimenta, tabaco y verduras presentaron una caída en su precio relativo, donde el primero posee una importante participación en el gasto agregado, mientras que los otros dos bienes presentan una característica distributiva alta. El resultado para las demás regiones también muestra un efecto negativo sobre el bienestar inducido por los mismos bienes. Lo mismo se obtiene para el total nacional. Estos resultados son robustos aún si se utilizan las dos encuestas de gasto de los hogares previas (ENGHo 2004-2005 y ENGHo 2012-2013).
El trabajo se estructura de la siguiente manera. La sección 2 presenta la metodología empleada para medir el impacto sobre el bienestar producido por el cambio en los precios relativos durante el período analizado, así como las fuentes de datos utilizadas. La sección 3 presenta los resultados obtenidos, tanto para la estimación de las características distributivas como para los efectos en bienestar. Se muestran en primer lugar las estimaciones para GBA y luego para cada una de las regiones del país, al tiempo que también se estudia la robustez de los resultados utilizando la ENGHo 2004-2005 y la ENGHo 2012-2013. La sección 4 presenta las conclusiones.
II. Metodología y datos
II.1. El impacto sobre el bienestar del cambio en los precios relativos
El modelo teórico utilizado en este trabajo sigue a Navajas (2004). Este evalúa los cambios en los precios relativos que surgen a partir de alguna medida de política económica, en función de su impacto distributivo dentro del marco del bienestar social utilitarista.
Se supone una función de bienestar social que depende de la utilidad individual de individuos ; es decir, . El punto de partida es la función indirecta de utilidad de cada individuo , definida como . La misma depende de los precios finales de los bienes y servicios consumidos (denotados mediante el vector ) y del nivel de ingresos del agente, dado por los ingresos laborales y no laborales ()7.
Para evaluar el impacto distributivo del cambio en los precios relativos se utiliza el concepto de característica distributiva de los bienes, definida como la suma “socialmente” ponderada de la participación del agente en el consumo del bien . Los ponderadores sociales se relacionan con la utilidad marginal social del ingreso del agente , que considera la utilidad marginal del ingreso privada con los pesos distributivos contenidos en la función de bienestar social.
De acuerdo con esta definición, la modificación del precio de un cierto bien tiene un impacto diferencial sobre el bienestar dado por:
(1)donde es la cantidad del bien consumida por el agente y es la utilidad marginal social del ingreso correspondiente al individuo . Este último concepto representa cuánto valora la sociedad una transferencia de una unidad de ingreso hacia el agente , lo cual dependerá de la forma de la función de bienestar utilizada8.
La característica distributiva correspondiente al bien se define como:
(2)donde es la cantidad total consumida del bien y es el promedio de los de los agentes. La característica distributiva toma valores entre 0 y 1 y es mayor cuanto más concentrado sea el consumo en los estratos de ingreso más bajos9.
A partir de (1) y (2), se puede redefinir el impacto del cambio en el precio como:
(3)Observando (3), se tiene que la magnitud del impacto en el bienestar del cambio en será mayor cuanto mayor sea la característica distributiva del bien . Esta será más alta para bienes cuyo consumo esté relativamente más concentrado en los hogares que poseen utilidades marginales sociales del ingreso más altas. A su vez, el efecto será mayor si el bien es un bien con alto consumo agregado.
II.2. Estrategia de estimación
Una forma utilizada frecuentemente en la literatura para parametrizar estas medidas se construye a partir de la función de utilidad isoelástica de Atkinson (1970)10. La misma se define como para y para , donde es el gasto del hogar por adulto equivalente y es el coeficiente de aversión a la desigualdad. Al asumir una función de bienestar social aditiva en utilidades , en la cual la utilidad total es dividida por el número de adultos equivalentes, la utilidad marginal social del ingreso de viene dada por la expresión .
En esta especificación el bienestar social puede aproximarse por la suma “socialmente” ponderada por los del gasto por adulto equivalente. Reemplazando la función isoelástica de utilidad en la función de bienestar y utilizando la definición de , se tiene que . De esta manera, la variación porcentual del bienestar viene dada por .
Finalmente, es necesario incorporar algunos supuestos adicionales. Supóngase que todos los agentes económicos enfrentan los mismos precios finales de bienes y servicios y que se define un índice de precios al consumidor en el período , que resulta de la suma ponderada de los precios de los bienes existentes, con los ponderadores dados por la participación de cada bien en la canasta promedio11. Dicha canasta es construida a partir de una encuesta de gasto de los hogares (en el período base). De este modo, , donde es el ponderador correspondiente al bien . Dividiendo cada uno de los precios por este índice de precios resulta un vector de precios relativos (al nivel general ) de modo tal que, por la condición de homogeneidad de grado cero en precios e ingreso de la función indirecta de utilidad, se tiene que , donde 12. En adición, se supone que el ingreso real de cada agente se mantiene constante con respecto al índice de precios al consumidor, es decir que varía proporcionalmente al índice de precios general13.
Si se considera un cambio pequeño en precios relativos, la variación del bienestar puede aproximarse utilizando (3), definida sobre la transformación de la función de utilidad recién obtenida:
(4) Si los precios del año base se normalizan de manera tal que son todos iguales a la unidad, entonces y para cada uno de los bienes, y dado que el bienestar social se puede aproximar por la suma “socialmente” ponderada por los del gasto por adulto equivalente , resulta que la variación porcentual del bienestar puede aproximarse a partir de (4) por14:
(5) De esta manera, el efecto de los cambios en los precios relativos está dado por el cambio en los precios ponderado por las características distributivas de los bienes y sus participaciones en el gasto agregado, normalizado por el nivel de bienestar15.
II.3. Datos
Los datos que se utilizan en este trabajo para medir el consumo de los hogares provienen de la Encuesta Nacional de Gastos de los Hogares (ENGHo) de Argentina, elaborada por el Instituto Nacional de Estadísticas y Censos (INDEC). Esta encuesta tiene entre sus objetivos estimar la estructura de gasto de los hogares y el origen de sus ingresos, así como construir la estructura de ponderadores del Índice de Precios al Consumidor (IPC) Nacional. En particular, este trabajo utiliza los datos provistos por la última ENGHo disponible, correspondiente al período 2017-2018. Además, se analiza la robustez de los resultados haciendo uso de la ENGHo 2004-2005 y la ENGHo 2012-2013.
Adicionalmente se utiliza el IPC-GBA, así como los correspondientes a las demás regiones de Argentina con base diciembre 2016=100 publicados también por el INDEC.
III. Resultados
III.1. Características distributivas en el GBA
A partir de la información desagregada a nivel de hogares de la ENGHo 2017-2018 para el GBA, se calcularon las características distributivas para 38 grupos de bienes (ver Tabla 1), agregados en 23 categorías (ver Tabla 2)16.
La Tabla 1 muestra los valores de las características distributivas para tres posibles valores del parámetro de aversión a la desigualdad (0,5, 1 y 2), ordenadas de manera descendente cuando . Además, incluye la participación en el consumo para cada bien de los quintiles de gasto 1, 3 y 5, así como el gasto en cada bien relativo al gasto total del quintil. Se puede observar que, para los bienes con característica distributiva alta, el primer quintil tiene una participación en el gasto mayor relativa a los otros bienes. Además, su gasto relativo a la participación del quintil en el total del gasto se encuentra en valores aproximados al doble o mayores, lo que acentúa más la importancia de estos bienes en este grupo.
Para cualquiera de los parámetros de aversión a la desigualdad, los bienes con caracterísitcas distributivas más altas son los rubros electricidad y gas, tabaco, transporte público, alimentos y telefonía celular17. Por otro lado, algunos de los bienes que tienen las característica distributivas más bajas son salud, conservación del hogar, equipamiento y mantenimiento del hogar. En estos bienes la diferencia entre los quintiles extremos se hace más notoria.
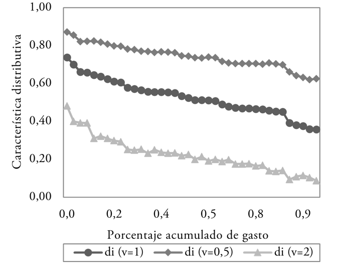
La Figura 2 da cuenta de una primera aproximación del grado de desigualdad en el gasto a través de la relación entre las características distributivas y la proporción del gasto de cada uno de los bienes en el gasto total. En el eje de ordenadas se presentan las características distributivas (ordenadas en forma decreciente para un valor del coeficiente de aversión a la desigualdad igual a 1) mientras que en el eje de las abscisas se acumula la proporción del gasto de esos bienes sobre el gasto total. La Figura 2 también incluye la misma relación para los otros valores de aversión a la desigualdad considerados. Se observa que la línea cuando la aversión a la desigualdad es 0,5 (menor) se ubica por arriba de la correspondiente a , mientras que la de (mayor aversión) se encuentra por debajo18. Para un valor dado de aversión a la desigualdad, la curva será más decreciente a medida que la desigualdad en el consumo sea mayor, dado que la mayor variabilidad de las características distributivas sería un indicativo de desigualdad19. La electricidad y el gas, el tabaco, el transporte público, los alimentos (como pan, carnes, aceites), y comunicaciones son los bienes que tienen las características distributivas más altas cuando ordenamos por y representan la mitad del gasto acumulado, mientras que la otra mitad se reparte en bienes cuyas características distributivas son más bajas como salud, conservación del hogar, equipamiento y mantenimiento del hogar, entre otros.


III.2. El efecto del cambio en los precios relativos sobre el bienestar
En la Tabla 2 se resume la información necesaria para el cálculo del efecto sobre el bienestar, aproximado por la ecuación (5). Se presentan las características distributivas, las participaciones en la canastac y la variación de los precios relativos para el período diciembre 2016 - junio2019 (con base diciembre 2016=100)20. Se puede observar, por ejemplo, que el rubro electricidad y gas posee la característica distributiva más alta para cualquiera de los parámetros de aversión a la desigualdad y a la vez presenta el mayor incremento de precios relativos. En consecuencia, puede esperarse que tenga un rol importante en el efecto sobre el bienestar. Los alimentos, como el pan y los cereales, aceites, café, té, yerba, cacao y los lácteos también presentan una característica distributiva alta para cualquiera de los parámetros utilizados, sumando una participación importante en el gasto agregado (9%) y con un incremento de su precio relativo. El rubro comunicaciones, con una característica distributiva relativamente alta, importante participación en el gasto (6%) y un incremento del precio relativo sugiere también un impacto negativo por esta vía21. A su vez, el aumento en el precio relativo del transporte también propone un efecto negativo dado que, a pesar de no tener una característica distributiva tan elevada como los bienes mencionados, representa el 10% del gasto agregado.

Para indagar sobre la posible dirección del cambio en el bienestar, en la Figura 3 se muestra la correlación simple entre las características distributivas de los bienes y el cambio en los precios relativos, donde la línea vertical separa las disminuciones y aumentos de los precios relativos entre diciembre 2016 y junio 2019. Una correlación positiva (negativa) entre estas variables podría dar un indicio de un efecto negativo (positivo) sobre el bienestar, dado que los bienes con más alta serían los que tuvieron incrementos (caídas) en sus precios relativos. En el Panel A se aprecia que la correlación entre las variables es positiva (0,49) explicada principalmente por el rubro electricidad y gas, que posee la característica distributiva más alta y el mayor incremento de precios relativos. En el Panel B se replica el análisis, pero simulando que el precio de electricidad y gas presentase el mismo incremento que el nivel general de precios, de manera tal que la variación en su precio relativo sea igual a cero. En la misma se obtiene también una correlación positiva, aunque más baja (0,22), que la presentada en el Panel A. En los paneles inferiores se ponderan las características distributivas de los bienes por su participación en la canasta agregada. Se puede observar en el Panel C que la correlación se mantiene positiva (0,37). Luego, en el Panel D, simulando un cambio en el precio relativo de electricidad y gas igual a cero, la correlación, aunque menor (0,27), continúa siendo positiva.

En la Figura 4 se presentan los resultados del cómputo de la ecuación (5) utilizando los datos de la Tabla 2. Se deduce que el cambio de los precios relativos durante diciembre 2016 - junio 2019 tiene efectos de bienestar negativos para los tres parámetros de aversión a la desigualdad considerados. La magnitud del efecto sobre el bienestar se incrementa a medida que se toman criterios más estrictos de aversión a la desigualdad. En términos de bienestar, el impacto de los precios relativos es equivalente a una caída del gasto de cada hogar igual a -6,58% para el caso de , -8,48% para y -14,34% cuando . Esto sugiere que los cambios de precios que más afectan al bienestar corresponden a bienes que poseen una característica distributiva alta. Los bienes que contribuyen sustancialmente a este resultado son electricidad y gas, aquellos alimentos que presentaron incrementos en su precio relativo (leche, lácteos y huevos; café, té, yerba y cacao; aceites, grasas y manteca y pan y cereales), transporte y comunicaciones. Por el lado de la electricidad y el gas, el efecto se debe a que dichos servicios experimentaron el mayor incremento de precios relativos a través de la suba de las tarifas de la energía durante el período, combinado con la elevada característica distributiva. Los alimentos son bienes de primera necesidad, con una concentración del consumo relativamente fuerte en los hogares más pobres y una gran importancia en la canasta agregada. Las comunicaciones, por su parte, poseen una característica distributiva elevada, a la vez que experimentaron una variación positiva en su precio relativo. Por el lado del transporte, se trata de un bien con gran importancia en el gasto agregado, por lo tanto el aumento que experimentó en su precio relativo afecta negativamente al bienestar. Si bien la magnitud del efecto es un indicador interesante sobre el bienestar, es la dirección del cambio lo que tiene mayor relevancia, dado que el efecto es negativo independientemente del valor del parámetro de aversión a la desigualdad elegido para los cálculos.

III.3. Indagando sobre la heterogeneidad territorial en Argentina
El territorio argentino se encuentra dividido en seis regiones: GBA, Pampeana, Noroeste (NOA), Noreste (NEA), Cuyo y Patagonia. Estas regiones presentan importantes heterogeneidades en términos de población, actividades económicas, nivel de ingresos, distribución del ingreso y consumo22. Esta subsección analiza las características distributivas y el impacto sobre el bienestar ocasionado por los cambios en los precios relativos para las distintas regiones.
Entre los rubros que se encarecieron relativamente a nivel regional durante el período analizado se encuentran electricidad y gas; leche, lácteos y huevos; comunicaciones; café, té, yerba y cacao; aceites, grasas y manteca; transporte y pan y cereales23. En la mayoría de los casos la dirección de las variaciones de precios relativos de los bienes coincide para las seis regiones24. En cuanto a las características distributivas, los valores en general son más elevados para las regiones del NOA y Cuyo. En particular, Cuyo posee la mayor característica distributiva en electricidad y gas, seguido por el GBA y el NOA.
La Figura 5 muestra los resultados del cambio en bienestar a partir de la ecuación (5) para las seis regiones, utilizando sus respectivas características distributivas, participaciones de los bienes en la canasta agregada y variaciones de precios relativos de cada región. El efecto del cambio en los precios relativos es negativo para todas las regiones25. Los rubros electricidad y gas, pan y cereales, comunicaciones y transporte juegan el rol más importante en el impacto negativo, dado que todas las regiones sufrieron incrementos en sus precios relativos y poseen características distributivas altas. Además, otros alimentos que tuvieron un incremento en su precio relativo, aunque más leve que los bienes mencionados, también afectan negativamente al bienestar dada su importancia en la canasta agregada y su elevada característica distributiva.
Si bien el efecto es negativo en todos los casos, su magnitud difiere entre regiones y según el parámetro de aversión a la desigualdad considerado. Se puede observar que en todas las regiones la caída en el bienestar se incrementa a medida que se utilizan parámetros de aversión más estrictos. Considerando el parámetro de aversión igual a 1, se tiene que el NOA, y Cuyo son las regiones que tuvieron el impacto negativo más grande, mientras que las regiones Pampeana y NEA presentan la menor caída. Esto se debe a las diferencias en los patrones de consumo de las regiones, los cuales resultan en diferentes participaciones en la canasta de los bienes, distintas características distributivas entre regiones, además de los diferentes valores de los cambios en los precios relativos ya mencionados. En particular, la región del NOA posee una alta participación de la canasta en el consumo de la electricidad y el gas (9%), y el mayor incremento de su precio relativo respecto al resto de las regiones. Adicionalmente, esta región presenta la mayor característica distributiva para pan y cereales y de transporte, a la vez que soportaron el mayor incremento de precios relativos en aceites y grasas y comunicaciones, rubros que presenta una característica distributiva alta. La región de Cuyo presenta la mayor característica distributiva para la electricidad y el gas, la mayor participación en el gasto del transporte y la segunda mayor característica distributiva respecto al resto de las regiones. Por otro lado, en las regiones donde se tiene una menor caída del bienestar, éstas presentan una menor característica distributiva en electricidad y gas y un incremento en su precio relativo más bajo que en las otras regiones. Además, la región Pampeana fue la única que mostró una caída en el precio relativo de la educación, que si bien se trata de un bien con característica distributiva relativamente baja, este comportamiento en el precio reduce la variación negativa en el bienestar.
Por último, la Figura 6 muestra el efecto en el bienestar social para el total del país, como resultado de la suma ponderada por población del efecto en las seis regiones. En línea con los resultados encontrados, la variación porcentual en el bienestar entre diciembre 2016 – junio 2019 para Argentina es negativa. Se puede observar que la magnitud del efecto sobre el bienestar se incrementa a medida que se toman criterios más estrictos de aversión a la desigualdad. La caída en el bienestar es de -7,13% para el caso de , -8,55% para y -12,84% cuando .


III.4. Robustez: Comparación de los efectos en el bienestar en base a la ENGHo 2004-2005 y ENGHo 2012-2013
Como prueba de robustez de los resultados obtenidos, se estimó el impacto en el bienestar en Argentina a partir de los datos de la ENGHo 2004-2005 y la ENGHo 2012-2013. Los resultados se presentan para el total país en la Figura 7. Al igual que con la ENGHo 2017-2018, el cambio en bienestar en Argentina es negativo y la magnitud se incrementa a medida que se toman criterios de mayor aversión a la desigualdad26. En el Panel A, utilizando la ENGHo 2004-2005, se tiene que el mismo toma valores de -4,13% para el caso de , -5,38% para y -9,05% cuando . Por otro lado, en el Panel B, utilizando la ENGHo 2012-2013, la caída en bienestar resulta menor: para es -1,28%, para es -2,04% y cuando es -4,16%.
Así, puede apreciarse que la magnitud de la caída en el bienestar es menor utilizando la ENGHo 2012-2013 que con la encuesta de 2004-2005. Y, ambas caídas son menores que la obtenida utilizando la ENGHo 2017-2018. Esta diferencia en las magnitudes de los efectos negativos sobre el bienestar entre encuestas se explica principalmente por el comportamiento de los bienes regulados, como electricidad y gas, cuyo precio relativo ha variado considerablemente durante todo el período. Esto ha tenido implicancias directas sobre el monto que el gasto en estos bienes representó como proporción del gasto de los hogares. Consistente con los resultados obtenidos, el porcentaje de gasto que los hogares destinaban al rubro electricidad y gas -en promedio para el total país- era 5% en 2004-2005. En 2012-2013 ese porcentaje se redujo a 2%, producto de la fuerte regulación de sus precios. Consecuencia del intento de normalización tarifaria, en 2017-2018 dicho porcentaje se ubicó en 7%. Estas variaciones, junto con la alta característica distributiva de estos bienes, y el hecho de presentar el mayor aumento en precios relativos explican las diferencias27. Otro rubro que ha contribuido a la mayor reducción en el bienestar encontrada con la última ENGHo disponible es el transporte, dado que el gasto en este bien como porcentaje del gasto total de los hogares era 8% --en promedio para el total país-- en 2004-2005, 10% en 2012-2013 y 11% en 2017-2018.

IV. Conclusiones
La evidencia presentada en este trabajo permite obtener conclusiones relevantes sobre el efecto que tienen los cambios en precios relativos sobre el bienestar en Argentina. A tal efecto, conocer las características distributivas de los bienes es un componente clave del análisis, dado que brindan información detallada sobre la concentración del consumo de distintos rubros de bienes en segmentos de la población con distintos niveles de ingreso. Una de las contribuciones de este trabajo es la estimación de las características distributivas en base a la ENGHo 2017-2018.
Los resultados indican, aunque con diferente intensidad entre las regiones del país, una caída del bienestar como consecuencia de los cambios en precios relativos acontecidos entre diciembre de 2016 y junio de 2019. Dicha caída se explica principalmente por los rubros electricidad y gas, transporte, comunicaciones y aquellos alimentos que presentaron incrementos en sus precios relativos. El primer rubro presenta una característica distributiva muy alta y, a la vez que experimentó la mayor variación de precios relativos durante el período de análisis. Esto se debió a la remoción de subsidios a la energía, cuyas tarifas estuvieron congeladas nominalmente desde la salida de la crisis del año 2001 hasta fines del año 2015. En el caso de las comunicaciones, la telefonía celular presenta una elevada característica distributiva, así como un incremento en su precio relativo. En cuanto a los alimentos, son bienes de primera necesidad que tienen gran participación en el consumo de los más pobres, y por ende poseen una característica distributiva alta. Por el lado del transporte, su impacto del incremento en su precio relativo radica en la importancia que tiene en el gasto agregado. Los efectos negativos sobre el bienestar son más pronunciados a medida que se toman parámetros de aversión a la desigualdad más estrictos.
Más allá de la validez y relevancia de los resultados encontrados en este trabajo acerca de los efectos sobre el bienestar de los cambios en precios relativos, cabe destacar la importancia de contar con nuevas estimaciones para las características distributivas y las estructuras de consumo de los hogares para todas las regiones de Argentina. Dichas estimaciones constituyen un insumo importante para realizar otro tipo de estudios económicos, como por ejemplo un análisis de reforma tributaria sobre el consumo, reformas de política económica que alteren precios relativos, o simplemente evaluar cambios de precios relativos en períodos alternativos al analizado aquí. Si bien un análisis completo de reformas de política económica debe incluir tanto la dimensión distributiva como la vinculada con la eficiencia, contar con estimaciones de las características distributivas y un ranking de las mismas brinda al hacedor de política herramientas para instrumentar cambios orientados a mejorar la dimensión distributiva.
Agradecimientos
Agradecimientos: Se agradece a Fernando Navajas y Walter Cont por los valiosos comentarios como así también a los participantes de la LIII Reunión Anual de la Asociación Argentina de Economía Política (AAEP). Los eventuales errores son de nuestra exclusiva responsabilidad.
Referencias
Ahmad, E. y Stern, N. (1984). The theory of reform and Indian indirect taxes. Journal of Public Economics, 25, 259-298.
Alejo, J., Benzaquén, I., y Bracco, J. (2017). Midiendo la desigualdad en Argentina desde un enfoque de consumo. Anales de la LII Reunión Anual de la Asociación Argentina de Economía Política.
Atkinson, A. B, (1970). On the measurement of inequality. Journal of economic theory, 2, 244-263.
Feldstein, M. (1972). Distributional equity and the optimal structure of public prices. American Economic Review, 62, 32-36.
Florio, M. (2014). Applied welfare economics: Cost-Benefit analysis of projects and policies. Routledge, London.
Galiani, S. (2018). Impacto de las tarifas energéticas sobre el bienestar de los hogares. Foco económico. Recuperado de http://focoeconomico.org/2018/04/25/impacto-de-las-tarifas-energeticas-sobre-el-bienestar-de-los-hogares/.
Guesnerie, R. (1977). On the direction of tax reform. Journal of Public Economics, 7, 179-202.
Cont, W., Hancevic P. y Navajas, F. (2016). Energy Populism and Household Welfare. Energy Economics, 56, 464-474.
Kaplanoglou, G. (2004). Household Consumption Patterns, Indirect Tax Structures and Implications for Indirect Tax Harmonisation: A Three Country Perspective. The Economic and Social Review, 35, 83-107.
Liberati, P. (2001), The Distributional Effects of Indirect Tax Changes in Italy, International Tax and Public Finance, 8, 27–51.
Navajas, F. y Porto, A. (1989). Tarifas públicas y distribución del ingreso. Teoría y medición para la Argentina. Revista de Análisis Económico, ILADES/Georgetown University, 4, 59-80.
Navajas, F. y Porto, A. (1990). La tarifa en dos partes cuasi-óptima. Eficiencia, equidad y financiamiento. El Trimestre Económico, México, (228), 863-887.
Navajas, F. y Porto, A. (1994). Budget Shares, distributional characteristics and the direction of tax reform. Economic Letters, 45, 475-479.
Navajas, F. (2004). Structural Reforms and the Distributional Effects of Price Changes in Argentina. In Bour, E., Heymann, D. and Navajas, F. (eds) Latin American Economic Crises. International Economic Association. Palgrave Macmillan, London
Navajas, F. (2018). Impuestos y cargos específicos en las tarifas de los servicios de infraestructura. Nota Técnica N° IDB-TN-1473, Banco Interamericano de Desarrollo.
Newbery, D. (1995). The distributional impact of price change in Hungary and the United Kingdom. Economic Journal, 105, 847-863.
Porto, A., Garriga, M. y Rosales, W. (2013). Impuesto a los ingresos brutos: "Ave fénix" de la estructura tributaria subnacional. Estudios Económicos, 31, 49-86.
Salois, M. y Tiffin, R. (2010). The distributional consequences of a fiscal food policy: evidence from the UK. Department of Agricultural and Food Economics, University of Reading, UK.
Zacaria, H. y Zoloa, J. (2006). Desigualdad y pobreza entre las regiones argentinas: un análisis de microdescomposiciones. CEDLAS Serie de Documento de Trabajo, DT no. 39.
Apéndice










Notas

