Resumen:
Contextualización: este estudio recoge diversos productos de transformación artesanal del maíz, elaborados por las comunidades afrocolombianas del Pacífico, zona que se destaca por su capacidad para reflejar y preservar las tradiciones culturales de las comunidades étnicas involucradas.
Vacío de conocimiento: a pesar de la relevancia cultural del maíz, la documentación sobre los procedimientos específicos de transformación artesanal en comunidades afrocolombianas es muy limitada; por ello, este estudio contribuye al conocimiento existente al centrarse en estos procedimientos dentro del contexto del Pacífico colombiano.
Propósito: el principal objetivo del estudio es analizar las prácticas de transformación artesanal del maíz, realizadas por comunidades afrocolombianas del Pacífico colombiano, con un enfoque en la transmisión de conocimientos intergeneracionales y la influencia de factores culturales.
Metodología: la recolección de datos se llevó a cabo a través de encuestas semiestructuradas a informantes clave, involucrados en la transformación y venta de productos a base de maíz. Se realizaron 45 encuestas, además de observaciones en la plaza de mercado de Quibdó. El análisis incluyó medidas descriptivas y pruebas estadísticas, como pruebas U con corrección de Bonferroni y correlación de Spearman.
Resultados y conclusiones: se encontró predominación de mujeres entre los informantes, correspondiente al 97,5 % de comunidades afrocolombianas y el 2,5 % de mestizos. La mayor parte de los informantes se encontraban en el rango de 50-60 años. Se identificaron 16 transformaciones del maíz, siendo "el claro" el producto más común, y la variedad de maíz "Chococito" la más utilizada. Este estudio revela la importancia de las mujeres en la transformación del maíz, resalta la necesidad de preservar la herencia del conocimiento y destaca la influencia de factores culturales en la elección de variedades y prácticas de transformación. Adicionalmente, la correlación entre la edad de los informantes y el tiempo dedicado a la transformación del maíz sugiere la constancia y experiencias acumuladas en esta práctica.
Palabras clave: Agricultura tradicional,Procesamiento de alimentos,Diversidad étnica,tradición cultural.
Abstract:
Contextualization: this study documents various artisanal maize transformation products, created by Afro-Colombian communities in the Pacific region, an area known for its ability to reflect and preserve the cultural traditions of the ethnic communities involved.
Knowledge Gap: despite the cultural importance of maize, there is limited documentation on the specific artisanal transformation processes in Afro-Colombian communities. Therefore, this study contributes to the existing knowledge by focusing on these processes within the context of the Colombian Pacific.
Purpose: the main objective of the study is to analyze the artisanal maize transformation practices, carried out by Afro-Colombian communities in the Colombian Pacific, with a focus on the transmission of intergenerational knowledge and the influence of cultural factors.
Methodology: data collection was conducted through semi-structured surveys with key informants involved in the transformation and sale of maize-based products. A total of 45 surveys were conducted, in addition to observations in the Quibdó marketplace. The analysis included descriptive measures and statistical tests, such as U-tests with Bonferroni correction and Spearman correlation.
Results and conclusions: women predominated among the informants, representing 97.5% Afro-Colombian communities and 2.5% mestizos. Most of the informants were in the 50-60 age range. Sixteen maize transformations were identified, with "el claro" being the most common product, and the "Chococito" maize variety being the most used. This study reveals the importance of women in maize transformation, underscores the need to preserve the heritage of knowledge, and highlights the influence of cultural factors in the choice of maize varieties and transformation practices. Additionally, the correlation between the age of the informants and the time spent on maize transformation suggests consistency and accumulated experience in this practice.
Keywords: Food processing, Ethnic diversity, Cultural tradition, Traditional agriculture.
ÁREA AGRÍCOLA
TRANSFORMACIÓN ARTESANAL DEL MAÍZ (Zea mays L.), POR COMUNIDADES AFROCOLOMBIANAS DEL PACIFICO
ARTISANAL TRANSFORMATION OF CORN (Zea mays L.) BY BLACK COMMUNITIES OF THE COLOMBIAN PACIFIC
Recepción: 19 junio 2024
Aprobación: 30 septiembre 2024

El maíz (Zea mays L.), especie perteneciente a la familia botánica Poaceae, es una planta originaria de América tropical, distribuida por todo el mundo y utilizada en la seguridad alimentaria de las familias. Los habitantes de varias tribus indígenas de México y América Central llevaron esta planta a otras regiones de América Latina, al Caribe y después a Estados Unidos de América y a Canadá. Los exploradores europeos introdujeron el maíz a Europa y posteriormente, los mercaderes lo llevaron a Asia y a África (Paliwal, 2001). La producción mundial del maíz para el año 2021 asciende a más de mil millones de toneladas, cultivadas en 172 países, entre los cuales está Colombia, con una producción del 0,11 % (FAO, 2021), ubicándolo en el puesto 50 de los países con mayor área sembrada, y en el puesto 53 entre los principales productores de este cereal (Bolsa Mercantil Colombiana, 2023), de lo que se infiere la importancia alimenticia y cultural que representa este germoplasma, especialmente para los grupos étnicos.
Como resultado de un proceso de domesticación del maíz de aproximadamente 2000 años, han sido las mujeres las que más han contribuido a lograr el establecimiento de esta especie en cultivos. Lo anterior, producto de la utilización, transformación, conservación y conocimiento acumulado (Rivas, 2021). En lo que respecta a la alimentación humana, el maíz se consume principalmente en los continentes americano y africano, ya sea en forma de mazorca o a través de alimentos tradicionales e industrializados, elaborados a partir de fracciones resultantes del proceso de molienda en seco (Serna-Saldivar y Chuck-Hernandez, 2019), o bien mediante la extracción de almidón (Helstad, 2019; BeMiller, 2019), así como mediante la elaboración de productos a partir del nixtamalizado fresco, como masa o harina seca (Serna-Saldivar y Pérez-Carrillo, 2019).
En América existen aproximadamente 220 razas y diversas variedades de maíz que son las responsables de la elaboración de una gran cantidad de alimento (Pérez-Ruiz et al., 2024). Estas variedades son aprovechadas por las comunidades para la preparación tanto de platos cotidianos como de aquellos que reflejan la tradición arraigada en las comunidades étnicas de la región (Daza et al., 2022; Guevara-Hernández et al., 2020; Martínez Zabala et al., 2022). En algunas culturas, el maíz, en sus distintas presentaciones y variantes (amarillo, negro, blanco, cauca, criollo, reventado u "ojayacu", chulpe, morocho y morochillo), se erige como uno de los ingredientes fundamentales en recetas tradicionales (Lara et al., 2022), demostrando una representación diversa en cuanto a su uso. Esto, a su vez, denota su capacidad de adaptación a las necesidades y preferencias de las comunidades, en estrecha relación con los matices cambiantes de la cultura, la economía local y el entorno ambiental (Guevara-Hernández et al., 2020). En consecuencia, la riqueza gastronómica del maíz, en los pueblos que lo cultivan, ha jugado un papel protagónico desde tiempos prehispánicos. Un ejemplo de ello es el permanente uso de la transformación del maíz en “tortillas rellenas” que data del siglo XVI, y en la actualidad se mantiene en la región centroamericana con igual uso; caso contrario ocurre con productos tales como atole, que formaron parte de la gastronomía de los indígenas pipiles, pero sufrieron cambios con la llegada de los españoles y sus diferentes productos alimenticios, incorporando a la receta actual ingredientes que no eran autóctonos, como la leche y el azúcar (Rivas, 2021).
Especialmente en las comunidades afrocolombianas del Pacífico colombiano, la transformación artesanal del maíz se ha convertido en una estrategia de mercadeo local y la posibilidad de que, a través del ejercicio de dar valor agregado al producto en sus múltiples presentaciones, ayude a mejorar los ingresos familiares. De hecho, muchas familias derivan su sustento del maíz y resuelven necesidades de educación, vivienda, salud y vestido de esta actividad económica. Esta actividad ancestral es parte fundamental de la dieta alimenticia de las comunidades afrocolombianas e indígenas del Pacífico, la cual ha contribuido en mantener la unidad familiar, ya que trabajar alrededor de este producto implica un ritual en el que todos los miembros de la familia participan, cumpliendo diversos roles, por ejemplo: los niños ayudan a desgranar el maíz, mientras que los más grandes ayudan a quebrarlo en la piedra molendera o en el molino. La madre, la abuela y la nuera participan en la preparación y cocción, y el abuelo y algunas veces papá o mamá, se encargan de la venta. De esta manera, se mantiene un clima armónico y de colaboración al interior de la familia, permitiendo que esta costumbre ancestral se mantenga vigente.
El objetivo principal de este estudio fue analizar las diversas formas de transformación artesanal del maíz, realizadas por las comunidades afrocolombianas del Pacífico colombiano, con un enfoque en la preservación de las tradiciones culturales, la transmisión de conocimientos intergeneracionales y la influencia de factores culturales, contribuyendo así al conocimiento existente y ofreciendo una base para futuras investigaciones en el ámbito de la etnobotánica y la antropología cultural.
Este estudio se llevó a cabo en el municipio de Quibdó, ubicado en el centro-sur del departamento del Chocó, al noroeste de Colombia (Figura 1). Quibdó se encuentra en la zona de vida de bosque pluvial central y se sitúa en las coordenadas 04°00'50'' y 08°41'32'' de latitud norte, y 77°53'38'' de longitud oeste. Este territorio forma parte del complejo ecorregional conocido como el "Chocó biogeográfico", el cual se extiende desde Panamá hasta el norte de Ecuador. Además, se encuentra dentro del corredor de conservación Chocó-Manabí, considerado uno de los sitios más destacados en términos de biodiversidad en la región de Tumbes-Chocó-Magdalena (Myers et al., 2000).

El municipio de Quibdó abarca un área de 3.075 km2. Según los datos estadísticos derivados del Censo Nacional de Población y Vivienda de 2018, realizado por el Departamento Administrativo Nacional de Estadística (DANE), la población de Quibdó es de 129.237 habitantes, con 113.124 en la cabecera municipal y 16.113 en centros poblados y zonas rurales dispersas, lo que hace que el 90 % del territorio municipal sea de carácter urbano. En cuanto a la composición étnica de la ciudad, el 87,5 % de la población se identifica como afro, el 10,2 % como mestizos y blancos, y el 2,3 % como indígenas. La distribución por género muestra que hay 58.548 hombres y 57.612 mujeres, lo cual representa el 32 % del total del departamento.
Para la recolección de información, se llevaron a cabo encuestas semiestructuradas a informantes clave, considerando a aquellas personas involucradas en la transformación y venta de productos a base de maíz. Se realizaron visitas a los lugares de trabajo de los informantes, donde las investigadoras llevaron a cabo conversaciones de aproximadamente 60 minutos, durante las cuales se registraron los datos proporcionados por los encuestados.
El diseño de la encuesta incluyó preguntas abiertas y cerradas, se indagó acerca de la edad y el género del encuestado, los años de experiencia en la actividad, los productos elaborados con maíz, la variedad utilizada, el lugar de procedencia de las semillas, la cantidad empleada, el método de preparación y el principal comprador de los productos generados. En caso de que durante la entrevista un informante mencionara a otros posibles participantes, se registró la información de contacto para realizar entrevistas posteriores. Este enfoque se conoce como muestreo "bola de nieve" y resulta útil para identificar informantes clave (Bernard & Erzberger 2001; Guevara-Hernández et al., 2020; Martínez Zabala et al. 2022; Sanabria-Botero y Asprilla-Perea, 2023). Además de las entrevistas, durante un año se realizaron visitas semanales a la plaza de mercado de la ciudad de Quibdó, para evaluar la disponibilidad de semillas. Se llevaron a cabo un total de 45 entrevistas a informantes clave, y la información proporcionada por ellos se ingresó en una hoja de Excel para su posterior tabulación y análisis.
Análisis de la información
Para el análisis se calculó la frecuencia relativa en función del sexo y el rango de edad de los informantes. Con el fin de comprender la distribución de los años de experiencia en la actividad, los años de vida de las personas entrevistadas y la cantidad de productos elaborados, se realizó un análisis descriptivo que incluyó el cálculo de la media como medida de tendencia central, y desviación estándar como medida de dispersión; asimismo, se determinó la frecuencia de cada producto, variedad de maíz y lugar de obtención mencionados por los encuestados, con el objetivo de identificar los más comunes o populares. Para realizar comparaciones entre el número de menciones de los productos de transformación del maíz, en relación con su lugar de origen y las variedades, se aplicaron pruebas U de Mann-Whitney con corrección de Bonferroni. La misma prueba se utilizó para comparar las menciones de origen con las variedades y los productos transformados. Adicionalmente, se realizó un análisis de correlación de Spearman para determinar la existencia de correlación entre los años de experiencia de los informantes y su edad, lo cual permitió evaluar la consistencia en la actividad.
La fórmula de este coeficiente es:

siendo:
n = cantidad de sujetos que se clasifican
xi = rango de sujetos i con respecto a una variable
yi = rango de sujetos i con respecto a una segunda variable
di = xi-yi
Es decir que di, es la diferencia entre los rangos de X y Y (Anderson et al., 1999). Todos los análisis mencionados fueron realizados en el programa estadístico Pats versión 4.1.
El mayor porcentaje de los informantes encuestados fue de mujeres, mientras que el porcentaje restante correspondió a hombres (Figura 2). De los informantes encuestados, el 97,5 % se identificó como afrodescendiente, mientras que el 2,5 % se consideró mestizo. La predominancia de mujeres entre los informantes encuestados en este estudio es consistente con hallazgos previos en investigaciones que han señalado que las mujeres desempeñan un papel fundamental en la producción de alimentos y en la transformación de productos en diversas culturas (Blackden & Wodon, 2006; Mufidah et al., 2021; Moreno-Gaytán et al., 2019; Davison, 2019; Ingutia & Sumelius, 2022). La mayor presencia de mujeres en este estudio puede reflejar la importancia de su participación en la transformación del maíz en la localidad estudiada, lo que permite reconocer su papel en la seguridad alimentaria y la capacidad de superar obstáculos y limitaciones en este sistema alimentario, tal como ha sido reportado por Short et al. (2021) en otros sistemas productivos. Por otro lado, el predominio de individuos que se identificaron como raza afrocolombiana concuerda con la composición demográfica de la zona de estudio, sugiriendo la permanencia de los saberes ancestrales en el contexto.

La edad promedio de los informantes fue de 50 años (σ = 15,1). El rango de edades abarcó desde un mínimo de 26 años hasta un máximo de 85 años (Figura 3). Los mayores porcentajes de informantes se encontraron en los rangos de edad entre 30 y 70 años, siendo el valor más alto (29,27 %) registrado en el rango de 50-60 años, seguido por el rango de 60-70 años (21,95 %). Por otro lado, el menor número de informantes se ubicó en el rango de edad de mayores a 70 años (Figura 3). La concentración de informantes en edades intermedias, en la práctica de transformación de la especie, es un hallazgo relevante que puede tener implicaciones en términos de pérdida de experiencia. Esta situación puede indicar la falta de transferencia de conocimiento intergeneracional, donde los informantes más jóvenes no aprenden de los más experimentados, lo que amenaza la continuidad de la práctica tradicional de transformación del maíz en la localidad estudiada. Este resultado difiere de lo encontrado por Mufidah et al. (2021) en dos comunidades de Indonesia, donde se reporta que el uso del maíz no es realizado únicamente por los encuestados de mayor edad, sino también por personas en edades productivas, quienes en menor proporción continúan utilizando el maíz para diversas necesidades cotidianas.

El promedio de productos transformados obtenido fue de 1,54, con una desviación estándar (σ) de +/-0,73, y un valor mínimo de 1 y un valor máximo de 4. Con relación a los años de experiencia en la actividad, se registró un promedio de 20 años (σ = 16,7), con un mínimo de 2 años y un máximo de 77 años.
Se identificaron un total de 15 transformaciones realizadas al maíz, según lo reportado por los informantes. El análisis de frecuencia reveló que el producto más común fue el "claro", seguido por los "envueltos". Por otro lado, se registraron frecuencias más bajas para productos como el pan, las arepas, la chicha y la cachitanta, entre otros productos poco citados (Figura 4a). En cuanto a la variedad de maíz utilizada, se observó un mayor uso de la variedad "amarillo" (Figura 4b). Respecto al lugar de procedencia de la materia prima, en la mayoría de los casos los informantes obtuvieron el maíz en supermercados (Figura 4c).

Aunque la transformación del maíz se realiza a nivel mundial, siendo muchos los países que procesan esta semilla para convertirla en alimentos tradicionales locales (Batoro, 2021; Mufidah et al., 2021; Serna-Saldivar & Chuck-Hernandez, 2019; Serna-Saldivar & Pérez-Carrillo, 2019), a nivel de continente se han citado los principales productos alimenticios consumidos en diferentes culturas, encontrando alrededor de 90 tipos de alimentos a base de maíz en África, 80 en América, 9 en Asia, 7 en Europa y 1 en Oceanía (Serna-Saldivar y Pérez-Carrillo, 2019). México practica un particular uso de la especie, reportando 22 productos alimenticios a base de maíz preparados por indígenas (Serna-Saldivar & Chuck-Hernandez, 2019). Aunque no son numerosas las transformaciones reportadas, Indonesia es otro de los países en donde se reconoce la importancia de esta especie, no solo en la alimentación humana, sino también en la alimentación de animales y en la generación de combustible (Batoro, 2021; Mufidah et al., 2021; Alelang et al., 2018). Estos hallazgos evidencian la diversidad y la importancia del maíz como recurso alimenticio en diversas regiones del mundo. Si bien, en comparación con estas investigaciones previas, los resultados obtenidos en nuestro estudio reflejan una variedad más limitada de productos de maíz transformados, es importante considerar que nuestro estudio se centra en una localidad específica, y las preferencias y prácticas de transformación pueden variar en diferentes contextos culturales y geográficos.
Nuestros resultados sugieren que, en la comunidad estudiada, la elección de la variedad de maíz y la procedencia de la semilla no parecen influir de manera significativa en la transformación de productos a base de maíz. Estos hallazgos son consistentes con investigaciones previas realizadas por Figueroa-Cárdenas et al. (2013), quienes encontraron que las clasificaciones agronómicas de los grupos raciales del maíz en México, aunque importantes para el manejo en programas de mejoramiento, no presentaron relación directa con los aspectos de calidad para tortilla y otros usos; contrario a caracteres intrínsecos de la variedad, como la dureza de grano y el índice de flotación, que fueron las características más relacionadas con el desempeño de las razas en el procesamiento y calidad de los productos. Es posible que la débil relación entre el uso y la variedad del maíz se deba a la falta de exclusividad de ciertas variedades en las preparaciones culinarias, así como a la baja demanda de algunos de los productos elaborados a partir de ellas (González-Amaro, 2016).
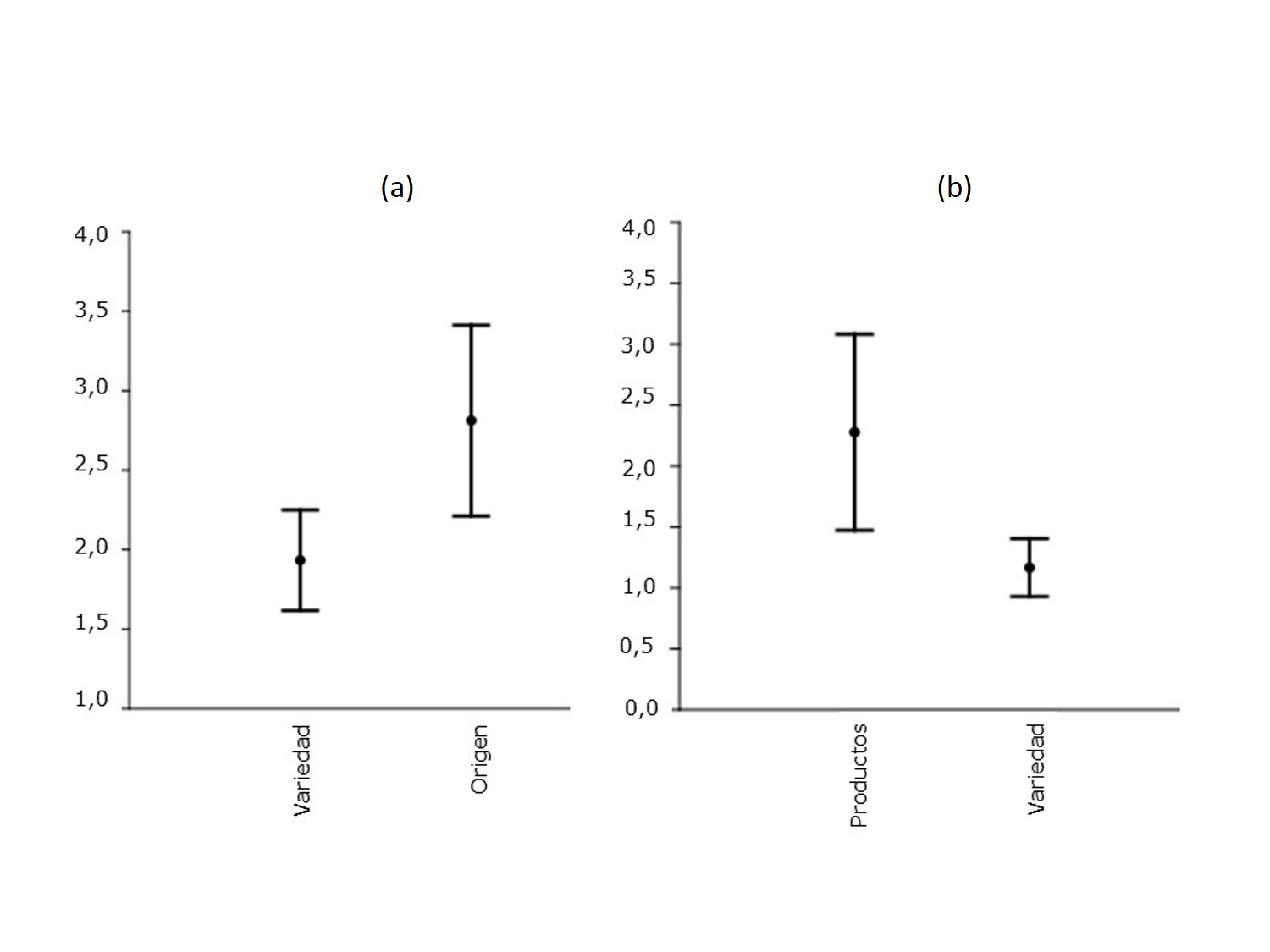
No se encontraron diferencias estadísticas significativas entre la frecuencia de menciones de los productos transformados y la variedad de maíz utilizada (U = 78; p = 0,08) y la procedencia de la semilla (U = 107; p = 0,42) (Figura 5a). Por el contrario, se observaron diferencias significativas entre la variedad de maíz (U = 73; p = 0,0005) y el número de productos transformados (U = 55; p = 0,003) en relación con el origen de procedencia de la semilla (Figura 5b).

De otro lado, se observa que la elección de la variedad de maíz está fuertemente influenciada por el origen de la semilla en la comunidad estudiada. Este comportamiento puede estar relacionado con los valores culturales a nivel de microescala, ya que las comunidades locales desarrollan arraigos que las distinguen de otras. Estos valores culturales desempeñan un papel importante en la práctica de la transformación del maíz y en las variedades utilizadas con ese propósito. Comportamiento que puede entenderse como una expresión de etnocentrismo, donde los valores simbólicos de los alimentos y las preferencias de los consumidores desempeñan un papel esencial en la construcción de la identidad (Camarena-Gómez y Sandoval-Godoy, 2016). En este sentido, Fernández-Suárez et al., (2013), relacionan entre los criterios de calidad más sobresalientes reportados para usos culinarios comunes del maíz en México, la dureza, el peso, la gravedad especifica y la capacidad de absorción de agua. Nuestros hallazgos difieren de lo reportado por González-Amaro (2016), quien encontró que, en algunas comunidades de Oaxaca, México, debido a la escasez de recursos, no existe una marcada selección de maíces para diferentes usos, ya que argumentan que todos los maíces son utilizables y se aprovechan según su disponibilidad, incluso mezclando variedades en las preparaciones. En estos territorios, el uso del maíz no se basa solo en la actividad agrícola como medio de subsistencia, sino en el sentido colectivo del trabajo en relación con el territorio ritualizado y como concepción propia del mundo, de la vida, de las relaciones y de su identidad (Martínez Velásquez, 2019).
A pesar de que en esta investigación no se abordó específicamente la disponibilidad de semillas, es importante destacar que, como se ha señalado en investigaciones previas en otras comunidades, como la realizada por González-Amaro (2016) en el caso de Quibdó, este factor podría ser considerado como una amenaza significativa para la preservación de las tradiciones y de la cultura local, puesto que la disponibilidad de semillas de calidad y adecuadas para el cultivo es un elemento esencial para mantener las prácticas agrícolas tradicionales y asegurar la continuidad de los saberes ancestrales. En este sentido, la escasez de semillas autóctonas o la introducción de variedades comerciales podría estar generando cambios en los métodos de cultivo y en las variedades de maíz utilizadas, lo que a su vez puede tener un impacto en la diversificación de los productos agrícolas y, por ende, en la expresión de la cultura local.
Por otro lado, el análisis de correlación reveló una relación positiva significativa (r = 0,70, p < 0,001) entre la edad de los informantes y el tiempo dedicado a la actividad de transformación del maíz en la localidad estudiada (figura 6). Lo anterior sugiere constancia y experiencia acumulada en esta práctica, lo que contribuye tanto a su continuidad como al perfeccionamiento de habilidades. Además, destaca la dedicación sostenida de los informantes, lo que a su vez refuerza la fidelidad y preservación de la actividad. Se observa que la experiencia acumulada a lo largo de los años permite a los informantes perfeccionar sus habilidades y conocimientos en la transformación del maíz, lo que promueve el mantenimiento y conservación de los recursos involucrados en el proceso.

No obstante, resulta inquietante observar una ausencia significativa en la transferencia de conocimiento hacia las generaciones emergentes. Este fenómeno no solo plantea una amenaza potencial para la sostenibilidad del recurso en cuestión, sino también para la preservación de la autenticidad y continuidad de las prácticas tradicionales que, a través de su transformación constante, han perdurado a lo largo del tiempo. Las consecuencias de esta pérdida de conocimiento en el área de estudio no fueron evaluadas; sin embargo, en otras comunidades como, por ejemplo, la del Azuay, Ecuador (Ramón y Rendón, 2022), se ha identificado una relación entre los cambios en las tradiciones culinarias y el estilo de vida acelerado de las nuevas generaciones, las cuales parecen preferir formas de preparación de alimento más rápidas con relación a las prácticas gastronómicas tradicionales.
El presente estudio proporciona una comprensión de la dinámica de la transformación del maíz en la comunidad estudiada, revelando importantes hallazgos sobre el papel predominante de las mujeres en estas prácticas y la relación entre la edad de los informantes y su experiencia acumulada en la actividad. La investigación confirma la relevancia de las mujeres en la producción y transformación de alimentos, alineándose con estudios previos que destacan su contribución fundamental en diversos contextos culturales (Blackden & Wodon, 2006; Short et al., 2021).
Por otro lado, la falta de transferencia de conocimientos intergeneracionales, evidenciada por la menor participación de los jóvenes, demuestra la necesidad urgente de estrategias que promuevan la continuidad de estas prácticas tradicionales; además, la relación entre la variedad de maíz y su origen sugiere influencias culturales significativas en las prácticas de transformación, aunque ello no afecte la calidad y el tipo de producto obtenido.
Los hallazgos pueden informar políticas y programas destinados a apoyar y preservar las prácticas tradicionales de transformación del maíz. La identificación de factores culturales y de género que influyen en las prácticas de transformación del maíz proporciona una base sólida para el diseño de intervenciones que promuevan la sostenibilidad cultural y agrícola. Finalmente, es importante considerar que la preservación de las prácticas tradicionales de transformación del maíz no solo tiene implicaciones culturales, sino también ambientales, ya que fomenta la biodiversidad agrícola y la conservación de variedades locales de maíz.
FINANCIAMIENTO: No aplica.
CÓMO CITAR: Mena-Marmolejo, A. y Moreno-Mosquera, E. (2025). Transformación artesanal del maíz (Zea mays L.), por comunidades afrocolombianas del pacífico. Revista de Investigación Agraria y Ambiental, 16(2), 11 - 27. https://doi.org/10.22490/21456453.8261
CONTRIBUCIÓN DE LA AUTORÍA: Autor 1: Metodología, investigación, conceptualización, escritura, borrador original. Autor 2: Investigación, conceptualización, análisis de datos, escritura, borrador original, revisión y edición.
CONFLICTO DE INTERESES: Los autores declaran no tener ningún conflicto de intereses.
https://hemeroteca.unad.edu.co/index.php/riaa/issue/archive (html)
https://hemeroteca.unad.edu.co/index.php/riaa/issue/archive (pdf)
A las personas que transforman el maíz chococito, especialmente a las mujeres afrocolombianas del Pacífico.








