

MODELO QUARK-DIQUARK PARA DISPERSIÓN ELÁSTICA PROTÓN-PROTÓN CON NORMALIZACIÓN GLOBAL
QUARK-DIQUARK MODEL FOR PROTON-PROTON ELASTIC SCATTERING WITH GLOBAL NORMALIZATION
MODELO QUARK-DIQUARK PARA DISPERSIÓN ELÁSTICA PROTÓN-PROTÓN CON NORMALIZACIÓN GLOBAL
Revista de la Facultad de Ciencias, vol. 8, núm. 2, 2019
Universidad Nacional de Colombia
Recepción: 30 Enero 2019
Aprobación: 17 Abril 2019
Resumen: Se presenta el estudio de un modelo de dispersión elástica nucleón-nucleón (y nucleón antinucleón) basado en una representación quark-diquark del nucleón con pomerón elástico. Este modelo aumenta la parte real de la amplitud de dispersión mejorando su descripción en el mínimo de difracción. Las predicciones del modelo se comparan con los datos experimentales disponibles para cada una de las secciones eficaces diferenciales elásticas de los nucleones en un rango de energía entre 9.78 GeV hasta 7 TeV. Para que la parametrización describa correctamente todos los datos experimentales existentes es necesario incluir una normalización adicional que es dependiente de la energía.
Palabras clave: Pomerón elástico, normalización global, dispersión elástica, amplitud de dispersión.
Abstract: We present a study of the nucleon-nucleon (an nucleon-antinucleon) elastic differential cross section based on a representation quark-diquark of the nucleon with elastic pomeron. This model increases the real part of the scattering amplitude improving the description of the diffraction minimum. The predictions of the model are compared to the available experimental data within the range of 9.78 GeV through 7 TeV. In order to describe correctly all the experimental data available, an additional normalization, that is energy dependent, has to be applied to the parametrization.
Keywords: springy pomerón, global normalization, elastic scattering, scattering amplitude.
1. INTRODUCCIÓN
En el presente trabajo se tiene como objetivo encontrar una parametrización que permita describir la estructura de la sección eficaz diferencial elástica para colisiones protón-protón (pp) y protón-antiprotón (pp) para todos los rangos de energías superiores a los 9.78 GeV. El estudio está basado en la propuesta que hace Grichine (2014) para la amplitud de dispersión F(s,t), que se fundamenta en una representación quark-diquark (qQ) del nucleón con elasticidad del pomerón (|αp| > 1) y que mejora el trabajo de Grichine, Starkov & Zotov (2013), en el que se puede apreciar una sobre-estimación en el mínimo de difracción, esto se debe a que el valor de la parte real de la amplitud de dispersión no es lo suficientemente grande. El modelo de Grichine tiene tres parámetros libres: un coeficiente de pendiente nuclear, el radio del protón y la elasticidad del pomerón, que permiten una mejor representación a los datos en el mínino de difracción. Sin embargo, mas adelante veremos que a pesar de que el modelo en estudio mejora considerablemente la descripción de los datos experimentales, este tiene sus limitaciones, por lo que solo puede ser aplicado para datos correspondientes a ciertas energías. También veremos que este problema se debe a que la normalización global de F(s,t) está fija y el método de minimización de mínimos cuadrados falla en determinar la posición correcta del mínimo de difracción. En este trabajo se propone una modificación al modelo, el cual consiste en dejar como parámetro libre la normalización global N (s), en consecuencia, los resultados obtenidos son muy satisfactorios, describiendo todos los datos existentes de sección eficaz diferencial protón-protón y protónantiprotón en un rango amplio de energías, desde 9.78 GeV a 7 TeV en colisiones pp y de 19.4 GeV a 1960 GeV colisiones pp.¯
2. MODELO QUARK-DIQUARK CON POMERÓN ELÁSTICO
La sección eficaz diferencial elástica, dσ/dt, puede ser expresada en términos de la amplitud de dispersión F(s,t) como (Grichine, 2014):
(1)donde p es el momentum del nucleón respecto del sistema centro de masa (CM), t es el cuadrado del cuadrimomento transferido, s es el cuadrado de la energía medida respecto al CM y:
(2)donde la amplitud F1(s,t) corresponde al intercambio de un pomerón, F2(s,t) al intercambio de dos pomerónes entre los constituyentes del nucleón quark y diquark, y F3(s,t) al intercambio de dos pomerones entre el quark (o diquark) de un nucleón y el quark y el diquark del otro nucleón al mismo tiempo. La propuesta para F(s,t) asume que el primer nucleón consta de un quark (1) y un diquark (2), el segundo consiste de un quark (3) y un diquark (4) y considera las contribuciones debido a los intercambios de uno y dos pomerones, entre: quark-quark (1-3), diquark-diquark (2-4) y dos quark-diquark (1-4, 2-3) (Grichine, 2014).
3. PROCEDIMIENTO
Para los ajustes se consideran los datos experimentales que se obtienen en Martynov (2013). El coeficiente de pendiente nuclear B24 puede expresarse en términos del parámetro B13 mediante el teorema óptico (Barone & Predazzi, 2002; Donnachie et al., 2002):
(3)La expresión resultante es:
(4)donde
(5)y
(6)donde, λ = η = r2/4, r es el radio del protón. Los radios: quark (r1 = r3 = 0.173r) y diquark (r2 = r4 = 0.316r) pueden ser encontrados haciendo los fits a los datos experimentales y ξjk (j = 1,2 y k = 3,4) se expresa cómo (Grichine, 2014):
(7)En este trabajo se considera a so = 1/α0 (Donnachie et al., 2002), α0 = 0.15 GeV−2, es la pendiente de la trayectoria del pomerón. Estudiar la propuesta de Grichine para la amplitud de dispersión nos permite extraer información acerca del tamaño del protón cuando se aumenta la energía de colisión.
4. MODELO QUARK-DIQUARK CON POMERÓN ELÁSTICO
La sección eficaz diferencial elástica, dσ/dt, puede ser expresada en términos de la amplitud de dispersión F(s,t) como (Grichine, 2014):
(8)donde p es el momentum del nucleón respecto del sistema centro de masa (CM), t es el cuadrado del cuadrimomento transferido, s es el cuadrado de la energía medida respecto al CM y:
(9)donde la amplitud F1(s,t) corresponde al intercambio de un pomerón, F2(s,t) al intercambio de dos pomerónes entre los constituyentes del nucleón quark y diquark, y F3(s,t) al intercambio de dos pomerones entre el quark (o diquark) de un nucleón y el quark y el diquark del otro nucleón al mismo tiempo. La propuesta para F(s,t) asume que el primer nucleón consta de un quark (1) y un diquark (2), el segundo consiste de un quark (3) y un diquark (4) y considera las contribuciones debido a los intercambios de uno y dos pomerones, entre: quark-quark (1-3), diquark-diquark (2-4) y dos quark-diquark (1-4, 2-3) (Grichine, 2014).
5. PROCEDIMIENTO
Para los ajustes se consideran los datos experimentales que se obtienen en Martynov (2013). El coeficiente de pendiente nuclear B24 puede expresarse en términos del parámetro B13 mediante el teorema óptico (Barone & Predazzi, 2002;Donnachie et al., 2002):
(10)La expresión resultante es:
(11)donde
(12)y
(13)donde, λ = η = r2/4, r es el radio del protón. Los radios: quark (r1 = r3 = 0.173r) y diquark (r2 = r4 = 0.316r) pueden ser encontrados haciendo los fits a los datos experimentales y ξjk (j = 1,2 y k = 3,4) se expresa cómo (Grichine, 2014):
(14)En este trabajo se considera a so = 1/α0 (Donnachie et al., 2002), α0 = 0.15 GeV−2, es la pendiente de la trayectoria del pomerón. Estudiar la propuesta de Grichine para la amplitud de dispersión nos permite extraer información acerca del tamaño del protón cuando se aumenta la energía de colisión
6. AJUSTES A DATOS EXPERIMENTALES
Inicialmente mostraremos los ajustes a los datos experimentales para F(s,t) con los parámetros: r, B13 y αp, después se mostraran los fits obtenidos introduciendo un parámetro libre para N (s). El conjunto de datos que fueron utilizados en los ajustes de éste trabajo incluyen errores sistemáticos y estadísticos sumados en cuadratura.
Los datos corresponden a diversos experimentos tomados en un período de alrededor de 50 años, la comparación entre errores estadísticos y sistemáticos cambian de acuerdo a las características de cada experimento. En la publicación de Martynov (2013) se citan estudios detallados de los errores sistemáticos, los datos originales y las referencias correspondientes se pueden encontrar en el sistema HEP DATA (Cudell, Lengyel & Martynov, 2006; Beringer et al., 2012). Los datos corregidos se recopilan y escriben en un formato común. La última versión actualizada (con algunas correcciones) de datos de TOTEM están disponibles en línea en Martynov (2013).
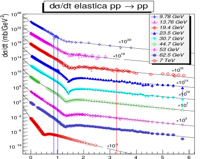
En las Figuras 1 y 2 se presentan los resultados a los ajustes realizados a datos de dσel/dt para colisiones pp y pp respectivamente, donde se demuestra que la parametrización propuesta por Grichine describe¯ correctamente los datos experimentales a energías de colisión de 9.78 GeV, 13.76 GeV y 7 TeV.


Sin embargo, las figuras 4 y 5 muestran que el modelo no ajusta correctamente los datos en un intervalo de energías entre: 19.4 GeV a 62.5 GeV en colisiones pp, y de 19.4 GeV a 53 GeV en colisiones pp. En la tabla¯ 1 se muestran los parámetros obtenidos y el chi-cuadrado por grado de libertad (χ2/ndf) para cada uno de los ajustes que se muestran en la figuras 1 a 5. La figura 3 muestra los valores obtenidos para el radio del protón, r, en función de √s, donde se demuestra el incremento del radio del protón a medida que la energía de colisión aumenta.




Por otra parte, cuando se ajustan datos de dσ/dt en un intervalo mas pequeño para |t|, se puede ver que el modelo brinda una mejor descripción a los datos experimentales correspondientes a energías entre: 19.4 GeV y 62.5 GeV, las figuras 6 y 7 lo demuestran (observe que χ2/ndf es mas próximo a 1). Los resultados que se obtienen en los ajustes para las otras energías son similares y se encuentran listados en la tabla 2. Los datos de color azul se encuentran en un intervalo para |t| entre 0.005 GeV2 y 1.0 GeV2 y los datos de color negro en un intervalo para |t| entre 1.0 GeV2 < |t| < 6.0 GeV2, este fue el intervalo para el cual el modelo puede hacer un mejor ajuste. En estos fits puede verse que los datos no son bien descritos por la amplitud de dispersión propuesta a valores de |t| <1.0 GeV2, en las figuras 6 o 7 podemos ver que la curva del modelo presenta una pequeña concavidad con pendiente negativa antes de llegar al mínimo de difracción, generándose una sobre-estimación en este intervalo.



7. MODELO QUARK-DIQUARK CON NORMALIZACIÓN GLOBAL
El problema de la amplitud de dispersión propuesta por Grichine es que la normalización global está fija, en consecuencia, el modelo falla, y no puede describir los datos en el mínimo de difracción. En el presente trabajo, se propone que la normalización global sea un nuevo parámetro libre, es decir, la ecuación 9 ahora sería de la forma:
(15)y a partir del teorema óptico podemos ver que:
(16)cómo N (s) es un número real positivo, entonces:
(17)en consecuencia, el coeficiente a0 en las ecuaciones (12) es de la forma:
(18)Éste nuevo parámetro permite que el modelo pueda ajustar los datos en un amplio rango de energías, desde 9.7 GeV a 7 TeV en colisiones pp y desde 19.4 GeV a 1960 GeV en colisiones pp, las figuras 8 y 9¯ muestran los ajustes realizados con estos 4 parámetros: radio del protón, elasticidad del pomerón, coeficiente de pendiente nuclear, y normalización global. Al hacer una comparación entre los valores obtenidos de los parámetros listados en las columnas 3 y 4 de la tabla 3, podemos concluir que los ajustes mejoran considerablemente (valores de χ2/ndf más proximos a 1) sí dejamos que la normalización global se comporte como un parámetro libre en la amplitud de dispersión. Finalmente, en la figura 10 mostramos la variación de B13 = σ13/σtot en función de √s, respectivamente.





8. CONCLUSIONES
En el presente trabajo se hizo un estudio a un modelo de dispersión elástica de nucleones, particularizado a los protones. A lo largo de su desarrollo se probó que el modelo que propone Grichine para la descripción de datos de sección eficaz diferencial elástica, tiene dificultades en determinar la posición del mínimo de difracción a ciertas energías intermedias en colisiones protón-protón y antiprotón-protón.
El estudio realizado muestra que para que el modelo (qQ) con pomerón elástico describa apropiadamente todos los datos accesibles de sección eficaz diferencial para dispersión elástica protón-protón y antiprotónprotón, se necesita una modificación a la amplitud de dispersión propuesta por Grichine. La amplitud de dispersión debe ser modificada en términos de una normalización que depende de la energía. Cuando en el ajuste se incluye un parámetro adicional correspondiente a está normalización, se ve que los ajustes mejoran notoriamente, y se puede deducir a partir de los valores de χ2/ndf mostrados en las columnas 3 y 4 de la tabla 3, note que, por ejemplo, para la energía de 30.7 GeV, los valores de χ2/ndf correspondientes a las amplitudes de dispersión con tres y cuatro parámetros difieren notablemente, 18.2 y 1.5 respectivamente. Por otro lado, las tablas 1 y 4 evidencian una disminución en los errores de los parámetros, se observa, por ejemplo, el error en los parámetros r y B13 para cada uno de los valores energéticos, el orden en sus magnitudes es claramente menor en la tabla 4. Es interesante analizar el coeficiente a0 en la ecuación (11), en presencia de una normalización global en la amplitud de dispersión, a0 disminuye, esto se debe a que la cantidad 1/N (s) es menor a uno porque N (s) debe ser mayor a cero y como B13 toma valores en el intervalo (0,1), entonces (1/N (s)−B13) < (1−B13), de modo que para que el modelo de Grichine ajuste correctamente los datos experimentales, se necesita que el término independiente a0 en la ecuación (4) tome valores menores a (1−B13).
Referencias
Barone, V. & Predazzi, E. (2002). High-Energy Particle Diffraction. New York: Springer-Berlag Berlin Heidelberg, 35-52 & 83-104 p.
Beringer, J. et al. (Particle Data Group). Data files and plots of cross-sections and related quantities in the 2012 Review of Particle Physics. Phys.Rev.D86,010001(2012)
Cudell, J. R.; Lengyel, A. & Martynov, E.(2006). Soft and hard Pomerons in hadron elastic scattering at small t. Physical Review D, 73(3), 034008.
Donnachie, S.; Dosch G.; Landshoff, P. & Nachtmann O. (2002). Pomeron Physics and QCD. Cambridge University Press.
Grichine, V. M., Starkov, N. I. & Zotov, N. P. (2013). Quark-diquark model for p(p¯)− p elastic scattering at high energies. Berlin: Springer Berlin Heidelberg, 2, (4). arXiv:1212.2111.
Grichine, V. M. (2014). Nucleon elastic scattering in quark-diquark representation with springy Pomeron. The European Physical Journal Plus, 129(6), 112.
Martynov, E. (2013). Proton (antiproton) elastic scattering at energies from FNAL to the LHC in the tripole Pomeron-Odderon model. Physical Review D, 87(11), 114018.

