

Artículos
AISLANTES TOPOLÓGICOS EN ESPINTRÓNICA[1]
TOPOLOGICAL INSULATORS IN SPINTRONICS
AISLANTES TOPOLÓGICOS EN ESPINTRÓNICA[1]
Revista de la Facultad de Ciencias, vol. 8, núm. 1, 2019
Universidad Nacional de Colombia
Recepción: 28 Agosto 2018
Aprobación: 20 Noviembre 2018
Resumen: En este trabajo, los aislantes topológicos son considerados como materiales para el desarrollo de dispositivos espintrónicos. En primer lugar, se introduce el término de aislante topológico y se explican sus propiedades asociadas. Posteriormente, se estudian los conceptos de las corrientes de espín en los que se fundamenta la espintrónica para luego mostrar algunos desarrollos teóricos y experimentales que se han llevado a cabo con los aislantes topológicos. Finalmente, se da un panorama de los retos y oportunidades que se tienen a futuro.
Palabras clave: Aislantes topológicos, espintrónica, corrientes de espín, espín.
Abstract: In this work, topological insulators are considered as materials for the development of spintronic devices. First a all, we introduce topological insulator term and we explain its associated properties. Subsequently, the concepts of spin currents on which spintronics is based are studied, then we show some theoretical and experimental developments that have been carried out with the topological insulators. Finally, there is an overview of the challenges and opportunities for the future.
Keywords: Topological insulators, spintronics, spin currents, spin.
1. INTRODUCCIÓN
Desarrollos recientes en nanotecnología y espintrónica abren la posibilidad de construir nuevos dispositivos. Por ejemplo, existen muchas iniciativas para construir computadores cuánticos basados en espintrónica (Castelvecchi, 2017) y los aislantes topológicos son candidatos para ser utilizados como parte del hardware de estos debido a las propiedades (Amaricci et al., 2015; Sissa Medialab, 2015) que se describen en la sección 2. En este punto, basta con referirse a la propiedad macroscópica más destacada de los aislantes topológicos: su núcleo se comporta como un aislante eléctrico y en su superficie (o borde, si es un material bidimensional) como un superconductor de corrientes de espín, las cuales se explican en la sección 3.
Así, estos materiales son propicios para explorar fenómenos tales como el acople espín órbita, transiciones de fase, corrientes polarizadas, etcétera, como se expone más adelante. De igual forma, la naturaleza no magnética que exhiben los aislantes topológicos permite que al ponerlos en contacto con metales ferromagnéticos se desvíe la corriente polarizada, permitiendo múltiples aplicaciones (Zhao & Prenat, 2015) (ver sección 5.1).
A continuación se hace una introducción a los aislantes topológicos (sección 2) y las corrientes de espín (sección 3). Con la comprensión teórica y del estado del arte en estos dos tópicos se mostrarán algunos progresos teóricos y experimentales en el campo de la espintrónica. Finalmente, se hace un análisis de la posibilidad de utilizar los aislantes topológicos para nuevos campos.
2. AISLANTES TOPOLÓGICOS
Una definición básica de un aislante topológico, es dada por (Kane & Mele, 2005) donde lo describen como un material con simetría topológica de orden protegido[3] no trivial que se comporta como un aislante en su interior y como un conductor en la superficie o borde según sea un material tridimensional o bidimensional, respectivamente.
El desarrollo de estos materiales comenzó cuando Pankratov et al. (1987) predijeron la simetría de inversión temporal en estados de borde protegidos en pozos cuánticos 2D (posteriormente, Murakami (2007) realizó un trabajo similar en pozos cuánticos 3D). Desde entonces, se han realizado múltiples trabajos teóricos para cimentar la teoría de lo que hoy se conoce como aislantes topológicos (Kane & Mele, 2005; Haldane, 1988; Pollmann et al., 2012).
Para entender el comportamiento de los aislantes topológicos es conveniente comprender primero el efecto Hall cuántico de espín. La comprensión de este concepto permitirá una mejor descripción de este estado de la materia mediante ideas de la topología.
2.1. Effecto Hall cuántico de espín
Se dedican unas líneas para explicar el efecto Hall clásico (en el contexto de la presente discusión se podría llamar “efecto Hall eléctrico”, en contraste con el “efecto Hall de espín”). Luego se pasa al efecto Hall cuántico, para finalmente decantar al concepto del efecto Hall cuántico de espín.
Supóngase una corriente I en la dirección x a través de un canal conductor bidimensional en presencia de un campo magnético B con dirección z como se muestra en la Figura 1. Allí se detecta un voltaje Hall inducido en la dirección y.

Como la ecuación de movimiento de una partícula cargada de masa m y carga e en un campo B está dada por
(1)cuya solución está dada por x(t) = X −Rsin(ωBt +φ) y y(t) = Y −Rcos(ωBt −φ), donde ωB = eB/m es la frecuencia de ciclotrón. Con B > 0, los parámetros X,Y, el radio R y la fase φ dependerán de las condiciones de frontera y condiciones iniciales.
Al aplicar un campo eléctrico E para acelerar las cargas, la ecuación (1) se puede escribir como
(2) donde
se asemeja a un término de fricción, tal que τ se conoce como el tiempo de scattering. La ecuación (2) también se conoce como el modelo de Drude.
La densidad de corriente J y el campo eléctrico E, en muchos casos de interés están relacionados linealmente a través de la conductividad escalar σ, mediante J = σE. En otros casos, la relación sigue siendo lineal pero se expresa con el tensor de conductividad, Ji = σijEj.Tong (2016) mostró a partir de la ecuación (2) y de que J puede ser expresada como J = −ne dr/dt donde n es la densidad de portadores de carga, que el tensor de conductividad σ puede ser escrito como
(3)con y n la densidad de portadores de carga. De acuerdo a la ecuación (3) los términos fuera de la diagonal son los responsables del efecto Hall clásico. Por lo tanto, se define el coeficiente Hall como
(4)el cual tiene unidades de m3/C u Ωcm/G. Jx es la densidad de corriente en x, Eyes el campo eléctrico en y y ρxy es la resistividad fuera de la diagonal de acuerdo a la ecuación (3). Es importante resaltar de la ecuación (4) que el coeficiente Hall no depende del tiempo de scattering τ.
Con base en estos conceptos, Klitzing et al. (1980) mostraron que la resistividad en presencia de un campo magnético intenso se comporta de manera discretizada como se muestra en la Figura 2, dando lugar a lo que se conoce como efecto Hall cuántico entero.
De la Figura 2 se observa que la resistividad Hall ρxy se encuentra en una meseta para un rango de campo magnético, antes de dar un salto a la siguiente meseta. Así, la resistividad Hall cuántica se define como
(5)donde
se conoce como resistividad cuántica y ν como el
factor de llenado de los niveles de Landau. Es importante anotar que la
meseta en la Figura 2 ocurre cuando el campo magnético toma valores
(6)donde n es la
densidad de electrones y
es
la unidad atómica de flujo magnético.
Respecto a la resistividad longitudinal ρxx, mientras que ρxy se ubica en mesetas ρxx −→ 0, en otras palabras, se comporta como un conductor perfecto.
Tomando la relación inversa entre la resistividad y la conductividad ρ = σ−1, entonces
Se puede mostrar que
, y
, lo cual significa que
.
Por lo tanto, σxx = 0 implica que no hay flujo de corriente en la dirección longitudinal.
Con base en lo anterior, a continuación se explica el efecto Hall cuántico que se presenta con las corrientes de espín y que se conoce como efecto Hall cuántico de espín.
El experimento desarrollado por Hirsch (1999) y que se muestra en la Figura 3 consiste en hacer circular una corriente de espín por un metal paramagnético generando un voltaje Hall en ausencia de campo magnético, dado por
donde Rs es el coeficiente Hall anómalo, l es el ancho de la placa, n es la concentración total de electrones en la banda de conducción, µB es el magneton de Bohr, ρ es la resistividad del material y jx es la densidad de corriente en la dirección x.
Si al mismo material se le aplica un campo magnético B, el voltaje que aparece estará dado por 


Posteriormente, Murakami et al. (2004) desarrollaron la metodología exacta para el cálculo de la corriente cuántica de espín sin disipación con base en la fórmula de Kubo. En un trabajo posterior (Murakami et al., 2004) hicieron la predicción teórica del efecto Hall cuántico de espín sin disipación convirtiéndose así en el primer ejemplo no trivial de la estructura topológica en una banda aislante sin campo magnético.
Haldane (1988) y Kane & Mele (2005) fueron quienes primero propusieron la existencia de un estado Hall cuántico de espín en el cual la conductancia Hall de espín es exactamente
. Similarmente, Bernevig et al. (2006) propusieron un modelo en el cual aparece el efecto Hall cuántico de espín de forma cuantizada debido al acople espín-órbita en ausencia de un campo magnético.

El modelo de Bernevig et
al. (2006) se muestra en la Figura 4 donde nuevamente aparece la
conductancia total de espín de forma cuantizada en unidades de .
Como un electrón con carga e trae
consigo un espín
,
el factor de
se usa para convertir conductancia de carga a conductancia de
espín donde los electrones de espín arriba tienen una conductancia Hall de
carga positiva y los electrones con espín abajo tienen una conductancia de
carga Hall negativa.
2.2. Algunos aspectos topológicos
Como se ha mencionado antes, los aislantes topológicos son considerados un estado cuántico de la materia con un gap diferente de cero en las bandas del núcleo y topológicamente protegido con el gap cerrado en las bandas de la superficie (borde), por lo tanto es un material que se comporta como aislante en el núcleo y conductor en la superficie (borde).
Los aislantes topológicos presentan simetría de inversión temporal, lo cual implica que por ejemplo en la zona de Brillouin en un material
es una imagen de
, tal como se muestra en la Figura 5. Adicionalmente, como explica Franz & Molenkamp (2013), un número impar de cruces de las bandas por la energía de Fermi en la zona de Brillouin, produce estados de borde protegidos topológicamente.

Adicionalmente, la fuerte interacción espín órbita que presentan los aislantes topológicos degeneran en unos puntos particulares de la zona de Brillouin. En otras palabras, los electrones en el núcleo del material están localizados en órbitas cerradas, convirtiéndolo en un aislante. Sin embargo, en la superficie (borde), existe un flujo de portadores en una dimensión que se conoce como estados de superficie (borde) quiral como se ilustra en las Figuras 4 y 6. Cada uno de esos canales de borde, en el cual los portadores fluyen en una sola dirección y sin ninguna disipación, genera una conductancia Hall cuantizada de espín (Awschalom et al., 2015).
Básicamente, esta conductancia consiste en dos copias del sistema Hall cuántico para formar un par que cumpla simetría de inversión temporal, tal como se muestra en la Figura 6. Este efecto Hall cuántico de espín, requiere la contrapropagación de estados de espines opuestos (Qi & Zhang, 2010).

En los bordes del aislante topológico los espines up se propagan en una dirección mientras que los los espines down lo hacen en dirección opuesta, como se explica en la Tabla 1
Elaboración propia.De acuerdo a Qi et al. (2016), un par de Kramers de estados de borde quirales en el efecto Hall cuántico no es inmune a los desfases de espín. Sin embargo, en el caso de aislantes topológicos, los defectos magnéticos y los rompimientos de la simetría de inversión temporal en superficies polarizadas, no afectan la corriente de espín en el borde (superficie) (Van Dyke & Morr, 2017).
Es importante hacer notar que existen clasificaciones para los aislantes topológicos de acuerdo a la insensibilidad de estos frente a variaciones en su Hamiltoniano. Por ejemplo, Ryu et al. (2010) propusieron una clasificación que depende de si el material presenta invarianza Z (primer número de Chern) o Z2 (simetría de inversión temporal) (Franz & Molenkamp, 2013; Kaufmann et al., 2015). Por otra parte, Kitaev (2009) propone una tabla periódica para aislantes topológicos y superconductores la cual se caracteriza por la simetría y dimensión espacial (2D o 3D) además de la insensibilidad de sus propiedades ante perturbaciones.
2.3. Aislantes topológicos 2D y 3D
Tomando en cuenta la teoría de bandas, existen muchos modelos para explicar el comportamiento de los aislantes topológicos 2D. Por ejemplo, el modelo TKNN (Thouless et al., 1982) muestra que el número de Chern, definido en una superficie cerrada como
está directamente relacionado con la conductividad Hall entera cuantizada en el borde como
, donde
es la curvatura de Berry y A el potencial vectorial electromagnético.
Por su parte, Haldane (1988) usó una descripción de dos bandas del efecto Hall cuántico de espín (propio de los aislantes topológicos) para describir el comportamiento del grafeno y que puede ser utilizado en múltiples aislantes topológicos 2D. La ecuación que describe el Hamiltoniano de Haldane está dada por
(8)donde σj son las matrices de Pauli, M es el término que da cuenta del rompimiento de la simetría de inversión, t1 es la energía necesaria para el salto de primer vecino en la red de Haldane y t2 es la energía necesaria para el salto de segundo vecino en la red de Haldane. El ángulo φ es la fase adquirida por los elementos t2 de la matriz. Ver Figura 7.

Puntos blancos y negros marcan las subredes A y B, respectivamente. Las flechas entre los segundos vecinos marcan la dirección del salto de fase positiva cuando hay rompimiento de simetría de inversión temporal.
Haldane (1988)Otro modelo importante para los aislantes topológicos 2D es el desarrollado por Kane & Mele (2005), quienes estudiaron el efecto de la interacción espín-órbita en la estructura de bajas energías del grafeno con la variación de la temperatura, el potencial químico, desórdenes y rompimiento de simetría. En este modelo, ellos encontraron que el grafeno puede ser un aislante topológico con estado de bordes no quirales.
Aunque en una capa de grafeno las propiedades son bien conocidas, las propiedades en bicapas de grafeno aún son materia de investigación. Jung et al. (2015) estudiaron los estados de corrientes persistentes en bicapas de grafeno y mostraron que la interacción electrón-electrón rompe la invarianza de inversión temportal. Por lo tanto, esta configuración, no sería candidata a ser aislante topológico, así esté compuesta por dos capas de ellos. Sin embargo, esta configuración mantiene ciertas propiedades útiles en la espintrónica.
Por otro lado, Bernevig et al. (2006) describen el efecto Hall cuántico de espín en un pozo cuántico de HgTe
a partir del Hamiltoniano 
Aunque existen otros modelos que describen la estructura atómica de distintos aislantes topológicos 2D y 3D, aún es materia de investigación un modelo teórico general que los describa a todos.
Una estrategia ampliamente utilizada para construir aislantes topológicos 3D consiste en modelar una pila de aislantes topológicos 2D (Kohmoto et al., 1992), sin embargo, como se mostró antes con el caso de bicapas de grafeno, esta estrategia no siempre es efectiva. Sin embargo, en el caso de que el modelo resultante describa de forma correcta el aislante topológico, cada una de las láminas tendrá una conductividad Hall e2/h y por lo tanto, la conductividad 3D será un tensor dado por
donde
es el vector recíproco en la red asociada con la separación d entre las capas, perpendicular a
(Kohmoto et al., 1992).
3. CORRIENTES DE ESPÍN
Las corrientes de espín, como el nombre sugiere, son la base para el desarrollo de la espintrónica.
Para introducir la definición de la corriente de espín, en las ecuaciones (9) y (10) se compara directamente la definición de la i-ésima componente de la densidad de corriente de carga (jci) y la densidad de corriente de α-espín (jsiα) bajo la acción de un potencial magnético (Aem) y al acople espín-órbita en un material con un potencial escalar φso. Para una mejor comprensión de la diferencia entre las corrientes de espín y de carga, se han marcado con color rojo los términos que diferencian ambas ecuaciones (Maekawa et al., 2012).
(9)
(10)donde c†,
c son los operadores de creación y
aniquilación, respectivamente. σα es la α matriz de Pauli, Aemi es la i-ésima componente del vector potencial magnético,
donde c es la velocidad de la luz en la última ecuación.
es el gradiente de la i-ésima componente del potencial escalar del acopleespín-órbita. El operador
aplicado sobre, por ejemplo, el operador creación-aniquilación, es la siguienteabreviación
.
Comparando las ecuaciones (9) y (10) es claro que los últimos dos términos hacen referencia al campo magnético sobre el material y al efecto del acople espín órbita, respectivamente. En particular, el primer término de ambas ecuaciones se refiere a la definición de corriente (carga o espín) sin ningún efecto.
Es importante notar que las matrices de Pauli aparecen en los dos primeros términos de la ecuación de corriente de espín y solo en el último término de la corriente de carga. Esto implica que en la corriente de carga aparece una componente de espín cuando existe el acople espín-órbita.
Por otra parte, Shi et al. (2006) proponen una definición general de corriente de espín
(11)Es importante anotar que un término importante en la corriente de espín es la polarización de la corriente, la cual está definida como
(12)donde Q↑(↓) es la cantidad de electrones fluyendo por unidad de tiempo con espín arriba (abajo). Este concepto es clarificado con la Tabla 1. La corriente de carga se presenta cuando la dirección del flujo electrónico va en el mismo sentido, independientemente de la polarización, mientras que la corriente quiral de espín implica la superposición cuántica de los estados de la carga eléctrica circulando en direcciones opuestas con polaridades opuestas.
Como el objeto central de este trabajo es el uso de los aislantes topológicos en la espintrónica, es conveniente hacer un paralelo entre la corriente de carga y la corriente de espín. La Tabla 1 ilustra la diferencia entre ambas.
Como se puede ver en la Tabla 1, la corriente de espín requiere la alineación de los espines de cada uno de los electrones (o la mayoría de ellos) en la misma dirección. Para el caso de los aislantes topológicos la corriente quiral de espín cobra una importancia particular en los estados de borde como se vio en la sección 2.
4. DESARROLLOS TEÓRICOS Y EXPERIMENTALES
En la espintrónica se han hecho algunos desarrollos teóricos de varios elementos que se relacionan en la sección 4.1. De igual forma, a partir de los desarrollos en nanotecnología, se han dado pasos importantes en la fabricación de ciertos dispostivos espintrónicos. En la sección 5 se muestra la relación entre estos dispositivos espintrónicos con los aislantes topológicos.

La flecha roja hace referencia a espín arriba, la flecha azul al espín abajo y la flecha a la derecha (izquierda) es la dirección de la corriente de carga. La longitud de las flechas representa su magnitud. (a) La corriente fluye en una dirección, sin embargo, los espines de los electrones no están alineados en la misma dirección. PIs = 0. (b) La corriente fluye en una dirección, sin embargo, la mayoría de los electrones tienen la misma dirección de espín, PIs 6= 0. (c) La corriente fluye en una dirección y todos los electrones tienen la misma dirección de espín. PIs = 1. (d) Dos canales de corriente propagándose en sentidos contrarios con dirección de espín diferente. Se produce una superposición de estados cuánticos y se conoce como estados quirales de corriente de espín.
4.1. Elementos circuitales espintrónicos
A continuación se muestra el desarrollo teórico de algunos elementos básicos circuitales espintrónicos. Para mayor facilidad en la comprensión, se trata siempre de mantener un paralelo entre el elemento espintrónico y el análogo en la electrónica.
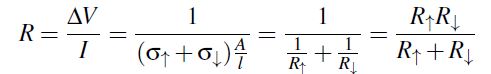
4.1.1. Resistencia de corriente de espín
Como se mostró en la sección 2.1, el efecto Hall cuántico
de espín considera una resistencia longitudinal dada por
. Por lo tanto, en el
formalismo de Landauer-Büttiker la relación entre la corriente y el voltaje
está descrita por Franz & Molenkamp (2013)
(13)donde Ii es la corriente que fluye desde el i−ésimo contacto hacia el interior de la región, Vies el voltaje del i−ésimo contacto, y Tij es la probabilidad de transmisión entre el contacto i y j. Debido a las leyes circuitales de Kirchhoff la corriente total del circuito se debe conservar, esto es, ∑i Ii = 0.
Un concepto muy importante en espintrónica es la magnetorresistencia, la cual hace referencia al cambio en la resistencia eléctrica de un material debido a la aplicación de un campo magnético (Awschalom et al., 2015)
La GMR (giant magnetoresistance) es un efecto observado en multicapas compuestas de placas alternantes entre materiales ferromagnéticos y no ferromagnéticos. Por otra parte, el efecto TMR (tunnel magnetoresistance) se presenta con dos materiales ferromagnéticos separados por una delgada capa aislante, tal como se muestra en la Figura 8.

En la configuración GMR se pueden definir dos geometrías básicas: corriente en plano o CIP (por sus siglas en inglés) donde la corriente fluye de forma paralela a las placas, y corriente perpendicular a las placas o CPP (por sus siglas en inglés) donde la corriente fluye perpendicular a las placas, tal como se muestra en la Figura 9.

En la configuración CIP-GMR, la corriente fluye en el plano de una multicapa delgada. El reto experimental en esta clase de materiales es hacer capas lo suficientemente delgadas, comparado con el camino libre de electrones y controlar la orientación relativa de los momentos magnéticos en las placas ferromagnéticas. Por otro lado, la geometría CPP-GMR presenta retos adicionales a la hora de medir la resistencia y dirección de la corriente que cruza de forma perpendicular las capas.
El modelo propuesto por Zhang y Butler (Awschalom et al., 2015) consiste en dos series paralelas de resistencias, donde cada serie representa un canal de espín, tal como se muestra en la Figura 10.

Las dos series paralelas de resistencias representan un canal de espín.
Elaboración propia.Para entender la Figura 10, es importante ver que cuando un campo es aplicado en un material homogéneo, los espines de los electrones arriba y abajo contribuyen a la densidad total de corriente
(14)donde la magnitud de J se calcula como el flujo de una corriente de carga por un área transversal a la dirección de J. E es el campo eléctrico y σ↑(↓) es la conductividad eléctrica espín-dependiente. Como
donde l es el grosor, se puede escribir
(15)En otras palabras, cuando existe una relación local entre la corriente y un campo como lo expuesto en (14), los dos canales de espín se comportan como dos canales conductores paralelos, cada uno con su propia resistencia R↑ y R↓.
El espesor del material no magnético permite el correcto acople entre las placas ferromagnéticas, es decir, si todas las placas ferromagnéticas tienen el mismo grosor y existe un número n par de placas ferromagnéticas, la resistencia total del arreglo es
(16) donde
son las resistencias para los dos canales de espín, RF↑(↓) son los ↑ (↓) canales de resistencia de espín para una placa ferromagnética, RN es la resistencia total para una placa no ferromagnética y n es el número total de bicapas, incluida una capa ferromagnética y una capa no ferromagnética.
Si un campo magnético se aplica para alinear los momentos en todas las placas ferromagnéticas, la resistencia para cada canal de espín está dada por
(17)Por lo tanto, la resistencia total de la configuración es
(18)En caso de la configuración TMR, el material que está en medio de las placas conductoras es un aislante muy delgado, de tal forma que los electrones pueden viajar desde una placa metálica (magnética) a la otra via tunelamiento cuántico. Por lo tanto, si se suponen vectores de onda en tres regiones del espacio k↑ (lado izquierdo), κ (región de barrera), y k↓ (lado derecho), la magnetorresistencia de tunelamiento (TMR), definida como (GP −GAP)/GP, está dada por
(19)donde GP(AP) son las conductancias para la alineación paralela (antiparalela) de los momentos.
4.1.2. Capacitores de espín
El concepto de capacitancia de carga es ampliamente usado en electrónica y hace referencia a la habilidad de un material para acumular carga y por lo tanto, energía. En espintrónica, Zhu et al. (2017) introducen el concepto de la capacitancia de espín como la habilidad de un material de almacenar espines en vez de carga.
El trabajo de Zayets (2012) mostró que si un material presenta una conductividad dependiente del espín de los electrones que circulan por él (σ↑ o σ↓), se puede asumir que el material presenta un potencial químico dependiente del espín (µ↑ o µ↓) lo que permite definir
(20)donde el potencial químico (µcarga) se refiere a la difusión y acumulación de carga y el potencial químico (µspin) a la difusión y acumulación de los espines.
De acuerdo a la Figura 11 si se considera un potencial
químico dependiente del espín
en
una placa ferromagnética, donde µ0
es el nivel de Fermi, y considerando que lsf es la longitud de difusión del espín, entonces la
solución de la ecuación de difusión de espín
(21)está dada por
(22) donde
(23)y e es
la carga de un electrón,
es la resistividad
ferromagnética (noferromagnética) y αF(αN) son parámetros adimensionales definidos en Zhu et al. (2017).

En este tipo de capacitores la energía almacenada es dependiente del potencial químico, el cual a su vez es dependiente del espín. La energía almacenada en un material como el mostrado en la Figura 11, es
(24)donde
es el tiempo de relajación de
espín en una placa ferromagnética (no ferromagnética).
4.1.3. Inductores de espín
En la Tabla 1 se muestra que una corriente de espín no necesariamente transporta carga. Específicamente en los aislantes topológicos se presentan corrientes quirales de espín, es decir, corrientes que se contrapropagan con espines opuestos (Schnyder et al., 2008) debido a la simetría de inversión temporal.
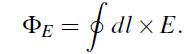
Es sabido que el fenómeno de inducción está relacionado directamente al “vector de flujo eléctrico” calculado como el producto cruz de un campo eléctrico y la trayectoria de la partícula.

Cherkasov et al. (2014) extrapola este concepto de flujo eléctrico a la corriente de espín.
El Lagrangiano relativístico describe la dinámica de una partícula de masa m en términos de su energía en presencia de un campo eléctrico E el cual está dado por
(25)donde µ es el momento magnético y v la velocidad de la partícula. Por lo tanto, la fuerza sobre esta partícula estará dada por
(26)Si el dipolo se mueve en un ciclo cerrado (loop), el trabajo hecho por la fuerza (26) es
(27)De acuerdo a Hirsch (1999) una corriente de espín posee una auto-inductancia que se debe al campo que genera. Así, si la carga de una corriente de espín dIµ/dt se debe al cambio en el campo eléctrico dE/dt se puede escribir
(28)lo cual significa que a partir de la integración de dE/dt ×dl a lo largo de una espira, el resultado es un vector que apunta en la dirección Lµ ·µˆ y que es proporcional a dIµ/dt. Aquí, Lµ representa el tensor de autoinductancia, el cual depende de la forma de la espira, y ˆµ es el vector unitario a lo largo de la dirección de µ. Por lo tanto, se define la fuerza espín motriz como
(29)Así, un cambio en la corriente de espín induce una fuerza espín motriz Eµ y ésta tiende a oponerse a un cambio en la corriente de espín, lo cual marca precisamente el significado de la autoinductancia.
Por su parte, el flujo causado por la corriente de espín es un vector descrito en el trabajo de Cherkasov et al.(2014)
(30)Por lo anterior, existe una analogía con la ley de
inducción de Faradayd 
4.2. Apantallamiento electromagnético en espintrónica
En el diseño de circuitos electrónicos, el control de los campos electromagnéticos es de vital importancia para lograr el correcto funcionamiento del dispositivo. En dispositivos espintrónicos, el campo electromagnético es muy intenso y por lo tanto una adecuada manipulación es indispensable para la reducción de la interferencia con campos electromagnéticos externos.
De acuerdo a la teoría electromagnética, para apantallar el campo eléctrico basta con que un conductor ideal encierre el dispositivo a proteger (lo que se conoce como jaula de Faraday).
Sin embargo, el apantallamiento del campo magnético es diferente y más complejo pues un conductor ideal no responde a campos magnéticos estáticos a menos que el conductor tenga un movimiento relativo al campo magnético. Una técnica común para apantallar el campo magnético consiste en variar el campo magnético para generar corrientes de Eddy que actúen para cancelar el campo magnético externo.
Se ha observado que debido al efecto Meissner[e], los materiales superconductores pueden repeler campos magnéticos.
En el caso de aislantes topológicos de Bi2Se3 dopados con Cu se presenta un comportamiento de superconductividad por debajo de 3.8K para un dopaje con una concentración de x = 0.12, (Figura 12) donde M es la susceptibilidad magnética.

El coeficiente de atenuación η describe la efectividad de un material para apantallar campos magnéticos externos desde una cavidad que lo rodee. Esto depende del espesor y la permeabilidad magnética del material. Por ejemplo, Jackson (1999) describe el coeficiente de atenuación de un cascarón esférico con una permeabilidad µ, con un radio interior a y un radio exterior b. En la Figura 13 se muestra la gráfica de η con a = 1 y µ,b variables

Elaboración propia.
En espintrónica, Wang & Jiang (2008) exponen las limitaciones y desafíos del apantallamiento de dispositivos, cuyo principal desafío es “la temperatura del cuarto de operación” (la mayoría de dispositivos espintrónicos son diseñados para operar a temperatura ambiente, pero el uso de superconductores para deflectar el campo magnético supone una temperatura extremadamente baja) y la “operación no volátil y de baja potencia” (la protección de campo siempre debe estar encendida incluso cuando el circuito protegido está apagado. Esto aumenta el consumo de energía del circuito).
Por el otro lado, el principal reto del apantallamiento de dispositivos espintrónicos es la compensación entre la eficiencia de blindaje y la relación volumen/masa de la carcasa.
Finalmente, es importante enfatizar que los conceptos clásicos de compatibilidad electromagnética, como acoplamiento, blindaje e igualación de impedancia, deben reconsiderarse si se tienen en cuenta las correlaciones y túneles cuánticos, así como las interacciones espín-espín y dipolo-dipolo como lo muestran Slepyan et al. (2014). Esto hace parte de los retos que aún se tienen en espintrónica, donde los fenómenos cuánticos toman preponderancia.
5. DESARROLLO DE DISPOSITIVOS ESPINTRÓNICOS A PARTIR DE AISLANTES TOPOLÓGICOS
A continuación se describe el estado del arte en el uso de aislantes topológicos en espintrónica y posteriormente se discutirán algunas ventajas y desventajas de su uso.
Como se explica previamente, los aislantes topológicos poseen dos canales de borde que presentan contrapropagación de corrientes con dirección de espín opuesta. Específicamente, Götte et al. (2016) investigaron las heteroestructuras de los aislantes topológicos y los aislantes topológicos ferromagnéticos (FTI, por sus siglas en inglés)[5] para proponer dispositivos espintrónicos capaces de crear, conmutar y detectar corrientes de espín como las descritas por las ecuaciones (10) y (11).
El generador de espín mostrado en la Figura 14 se puede entender como un flujo de espín a lo largo del borde (ver ecuación (12)), donde 0 ≤ PIs ≤ 1 es la polarización de los estados de borde. Los valores de PIs han sido reportados entre 0.3 y 0.9, dependiendo del material (Götte et al., 2014).
La eficiencia en la conversión de corriente de carga a corriente de espines está dado por
donde jc es la densidad de corriente de carga y js es la densidad de corriente de espín. Otro importante factor que afecta la eficiencia es la temperatura, debido a que un incremento en esta implica la desaparición de los estados de borde.

Dos placas FTI con polaridad opuesta evitan el flujo de corriente directa desde el electrodo negativo al electrodo positivo, conduciendo las corrientes de espín a lo largo del borde.
Imagen adaptada de Götte et al. (2016).La Figura 15 muestra el esquema básico de un detector de espines usando aislantes topológicos. El mecanismo consiste en la transformación de corrientes de espín a corrientes de carga, como se explica en el pie de la imagen.

Esta configuración permite separar la medición de las dos corrientes de espín polarizadas por medio del bloqueo de una de ellas mientras que la otra circula. La corriente eléctrica resultante puede ser medida como una caída de voltaje Vd↑ y Vd↓ respecto al nodo neutro común del generador. En el caso de una corriente pura de espín, aquellos voltajes son iguales.
Imagen adaptada de Götte et al. (2016).El transistor de espín refleja o transmite corrientes puras de espín por medio de un cambio en su configuración, como se muestra en la Figura 16. Esta es cambiada por medio de campos magnéticos a través del FTI.
Otro uso interesante de los aislantes topológicos en espintrónica es la combinación de varias capas moleculares, como por ejemplo, de un aislante topológico de bismuto de selenio (Bi2Se3) con una capa ultrafina de un material magnético como el sulfuro de europio (EuS) (Katmis et al., 2016). Mientras que el EuS mantiene un estado magnético a extremadamente bajas temperaturas (17 Kelvin), el material combinado mantiene aquellas mismas características a temperatura ambiente.
6. CONCLUSIONES
En este trabajo se han discutido las bases fundamentales de la espintrónica y las propiedades fundamentales de los aislantes topológicos, para mostrar que existe una compatibilidad y complementariedad directa entre ambos temas para el desarrollo tecnológico.
Un campo activo de investigación es el diseño de dispositivos espintrónicos a partir de aislantes topológicos. Proponer las bases teóricas y experimentales para controlar las corrientes de espín y los campos electromagnéticos en diseños circuitales que se realicen con aislantes topológicos abriría grandes posibilidades para el desarrollo de nuevos dispositivos.
Como se vio, una de las ventajas de los aislantes topológicos en la espintrónica es la versatilidad en la combinación con otros materiales basados en el acople espín-órbita y el uso de las corrientes de borde para producir diferentes efectos

Los otros dos dominios de FTI están fijos mediante un voltaje de polarización. (a,b) Muestra las dos configuraciones, donde (a) bloquea ambos estados de espín, mientras que (b) permite que estos pasen. (c) Muestra una posibilidad de intercambiar el transistor de espín. Una corriente a través de un conductor induce un campo magnético con polaridad opuesta a los dos dominios magnéticos intercambiables. El bucle hace el campo más fuerte y homogéneo.
Imagen adaptada de Götte et al. (2016).Se abre así un nuevo campo de investigación del uso de corrientes quirales en la espintrónica y la posibilidad de utilizar las propiedades de los aislantes topológicos en el desarrollo de, por ejemplo, computadores cuánticos.
Referencias
Amaricci, A.; Budich, J. C.; Capone, M.; Trauzettel, B. & Sangiovanni, G. (2015). First-order character and observable signatures of topological quantum phase transitions. Physical Review Letters, 114(18), 185701. 10.1103/PhysRevLett.114.185701
Awschalom, D. D.; Xu, Y. & Nitta, J. (2015). Handbook of spintronics. Springer Publishing Company, Incorporated. 10.1007/978-94-007-7604-3
Bernevig, B. A. & Zhang, S. C. (2006). Quantum spin Hall effect. Physical Review Letters, 96(10), 106802. 10.1146/annurev-conmatphys-062910-140538
Bernevig, B. A.; Hughes, T. L. & Zhang, S. C. (2006). Quantum spin Hall effect and topological phase transition in HgTe quantum wells. Science, 314(5806), 1757–1761. 10.1126/science.1133734 Castelvecchi, D. (2017). IBM’s quantum cloud computer goes commercial. Nature News, 543(7644), 159.
Chen, W. (2014). Inductance due to spin current. Journal of Applied Physics, 115(11), 113901.
Franz, M. & Molenkamp, L. (2013). Topological Insulators. Contemporary Concepts of Condensed Matter Science. Elsevier.
Götte, M.; Paananen, T.; Reiss, G. & Dahm, T. (2014). Tunneling magnetoresistance devices based on topological insulators: ferromagnet-insulator-topological-insulator junctions employing Bi2Se3. Physical Review Applied, 2(5), 1–11. 10.1103/PhysRevApplied.2.054010
Götte, M.; Joppe, M. & Dahm, T. (2016). Pure spin current devices based on ferromagnetic topological insulators. Scientific reports, 6, 1–9.
Gu, Z. C. & Wen, X. G. (2009). Tensor-entanglement-filtering renormalization approach and symmetryprotected topological order. Physical Review B, 80(15), 1–23. 10.1103/PhysRevB.80.155131
Haldane, F. D. M. (1988). Model for a quantum Hall effect without Landau levels: Condensed-matter realization of the “parity anomaly". Physical Review Letters, 61(18), 2015–2018.
Hasan, M. Z. & Kane, C. L. (2010). Colloquium: topological insulators. Reviews of Modern Physics, 82(4), 3045–3067. 10.1103/RevModPhys.82.3045
Hirsch, J. E. (1999). Spin hall effect. Physical Review Letters, 83(9), 1834–1837. 10.1103/PhysRevLett.83.1834
Jackson, J. D. (1999). Classical electrodynamics. New Jersey: John Wiley & Sons. 10.1119/1.19136
Jung, J.; Polini, M. & MacDonald, A. H. (2015). Persistent current states in bilayer graphene. Physical Review B, 91(15), 1–6. 10.1103/PhysRevB.91.155423
Kane, C. L. & Mele, E. J. (2005). Quantum spin Hall effect in graphene. Physical Review Letters, 95(22), 226801. 10.1103/PhysRevLett.95.226801
Kane, C. L. & Mele, E. J. (2005). Z2 topological order and the quantum spin Hall effect. Physical Review Letters, 95(14), 146802. 10.1103/PhysRevLett.95.146802
Katmis, F.; Lauter, V.; Nogueira, F. S.; Assaf, B. A.; Jamer, M. E.; Wei, P.; Satpati, B.; Freeland, J. W.; Eremin, I.; Heiman, D.; Moodera, J. S. & Jarillo-Herrero, P. (2016). A high-temperature ferromagnetic topological insulating phase by proximity coupling. Nature, 533(7604), 513–516. 10.1038/nature17635
Kaufmann, R.; Li, D. & Wehefritz-Kaufmann, B. (2015). Notes on topological insulators. 10.1142/S0129055X1630003X
Kitaev, A. (2009). Periodic table for topological insulators and superconductors. In AIP Conference Proceedings (Vol. 1134, No. 1, pp. 22-30). AIP.
Klitzing, K. V.; Dorda, G. & Pepper, M. (1980). New method for high-accuracy determination of the fine-structure constant based on quantized Hall resistance. Physical Review Letters, 45(6), 494–497. 10.1103/PhysRevLett.45.494
Kohmoto, M.; Halperin, B. I. & Wu, Y. S. (1992). Diophantine equation for the three-dimensional quantum Hall effect. Physical Review B, 45(23), 13488. 10.1103/PhysRevB.45.13488
Maekawa, S.; Valenzuela, S. O.; Saitoh, E. & Kimura, T. (2012). Spin Current. Oxford University Press. 10.1073/pnas.0703993104
Murakami, S.; Nagaosa, N. & Zhang, S. C. (2004). Spin-hall insulator. Physical Review Letters, 93(15), 156804. 10.1103/PhysRevLett.93.156804
Murakami, S.; Nagosa, N. & Zhang, S. C. (2004). SU (2) non-Abelian holonomy and dissipationless spin current in semiconductors. Physical Review B, 69(23), 235206. 10.1103/PhysRevB.69.235206
Murakami, S. (2007). Phase transition between the quantum spin Hall and insulator phases in 3D: emergence of a topological gapless phase. New Journal of Physics, 9(9), 356. 10.1088/1367-2630/9/9/356
Pankratov, O. A.; Pakhomov, S. V. & Volkov, B. A. (1987). Supersymmetry in heterojunctions: Bandinverting contact on the basis of Pb1xSnxTe and Hg1xCdxTe. Solid State Communications, 61(2), 93–96. 10.1016/0038-1098(87)90934-3
Pollmann, F.; Berg, E.; Turner, A. M. & Oshikawa, M. (2012). Symmetry protection of topological phases in one-dimensional quantum spin systems. Physical Review B, 85(7), 075125. 10.1103/PhysRevB.85.075125
Qi, X. L. & Zhang, S. C. (2010). The quantum spin Hall effect and topological insulators. Phys Today, 63(1), 33–38. 10.1063/1.3293411
Qi, J.; Liu, H.; Jiang, H. & Xie, X. (2016). Effective spin dephasing mechanism in confined twodimensional topological insulators. Science China. Physics, Mechanics & Astronomy, 59(7), 677811. 10.1007/s11433-016-0100-1
Ryu, S.; Schnyder, A. P.; Furusaki, A. & Ludwig, A. W. (2010). Topological insulators and superconductors: tenfold way and dimensional hierarchy. New Journal of Physics, 12(6), 065010. 10.1088/13672630/12/6/065010
Schnyder, A. P.; Ryu, S.; Furusaki, A. & Ludwig, A. W. (2008). Classification of topological insulators and superconductors in three spatial dimensions. Physical Review B, 78(19), 195125. 10.1103/PhysRevB.78.195125
Shi, J.; Zhang, P.; Xiao, D. & Niu, Q. (2006). Proper definition of spin current in spin-orbit coupled systems. Physical Review Letters, 96(7), 076604. 10.1103/PhysRevLett.96.076604
Sissa Medialab. (2015). Quantum computing and spintronics: Topological insulators become a little less “elusive”. Recuperado de www.sciencedaily.com/releases/2015/05/150512075122.htm
Slepyan, G.; Boag, A.; Miano, G.; Mordachev, V.; Sinkevich, E.; Portnoi, M.; Maksimenko, S.; Kuzhir, P. & Maffucci, A. (2014). Electromagnetic compatibility concepts at nanoscale. In Electromagnetic Compatibility, Tokyo (EMC’14/Tokyo), 2014 International Symposium on (pp. 13-16). IEEE.
Thouless, D. J.; Kohmoto, M.; Nightingale, M. P. & den Nijs, M. (1982). Quantized Hall conductance in a two-dimensional periodic potential. Physical Review Letters, 49(6), 405–408. 10.1103/PhysRevLett.49.405
Tong, D. (2016). The quantum Hall effect. Cambridge: Department of Applied Mathematics and Theoretical Physics, Centre for Mathematical Sciences.
Van Dyke, J. S. & Morr, D. K. (2017). Effects of defects and dephasing on charge and spin currents in twodimensional topological insulators. Physical Review B, 95(4), 045151. 10.1103/PhysRevB.95.045151
Wang, W. & Jiang, Z. (2008). Magnetic shielding design for magneto-electronic devices protection. IEEE Transactions on Magnetics, 44(11), 4175–4178. 10.1109/TMAG.2008.2002798
Zayets, V. (2012). Spin and charge transport in materials with spin-dependent conductivity. Physical Review B, 86(17), 174415.
Zhao, W. & Prenat, G. (Eds.). (2015). Spintronics-based computing (pp. 1-52). Berlin, Germany: Springer. 10.1007/978-3-319-15180-9
Zhu, Y. H.; Zhang, X. X.; Liu, J. & He, P. S. (2017). Spin-accumulation capacitance and its application to magnetoimpedance. Journal of Applied Physics, 122(4), 043902.
Referencias
Castelvecchi, D. (2017). IBM’s quantum cloud computer goes commercial. Nature News, 543(7644), 159.
Notas

