

Índice para comparar metodologías de estimación por intervalos para las tasas estandarizadas directas
Revista de la Facultad de Ciencias
Universidad Nacional de Colombia, Colombia
ISSN: 2357-5549
Periodicidad: Semestral
vol. 10, núm. 1, 2021
Recepción: 22 Abril 2020
Aprobación: 27 Junio 2020
Resumen: Las tasas estandarizadas se utilizan para comparar un evento en una población de estudio con una población estandar controlando los efectos confusores y ademas permiten dimensionar el evento de acuerdo a un mismo estandar. En este trabajo se evaltan con un estudio de simulación y por medio de un nuevo Indice, los desempefios de varias metodologías para la estimación de las tasas estandarizadas a través de intervalos de confianza, algunas basadas en la distribución normal, Poisson y gamma. Este nuevo Indice permite considerar tanto el nivel de cobertura como la amplitud del intervalo y evaluar la calidad de cada uno de los intervalos evaluados conjuntamente. Se identifican los métodos de intervalos de confianza con mejor desempefio de acuerdo al Indice propuesto, entre estos se destacan los métodos gamma, el de momentos y bootstrap.
Palabras clave: Tasas estandarizadas, epidemioloia, confusion, intervalos de confianza, bioestadistica.
Abstract: The standardized rates are used to compare an event in a study population with a standard population controlling the confounding effects and also allow the event to be dimensioned according to the same standard. In this paper, the performance of several methodologies for the estimation of standardized rates through confidence inter- vals, some based on the normal distribution, Poisson and gamma, are evaluated with a simulation study and by means of a new index. This new index allows us to consider both the level of coverage and the amplitude of the interval and evaluate the quality of each of the intervals evaluated jointly. The methods of confidence intervals with better per- formance according to the proposed index are identified, among these are the gamma, moments and bootstrap methods.
Keywords: Standardized rates, epidemiology, confussion, confidence intervals, biostatistics.
1. INTRODUCCIÓN
Las tasas estandarizadas son utilizadas para comparar un evento en diferentes poblaciones, controlar los efectos de otras variables y la composición de las poblaciones. permitiendo dimensionar el evento de acuerdo a un mismo estandar o una misma población, para identificar su magnitud o riesgo de acuerdo a los factores de cada grupo poblacional. Para su estimación a tray& de intervalos de confianza, existen diferentes metodologías, basadas principalmente en la distribución Poisson (Dobson et al., 1991) y metodologías basadas en las distribuciones normal, gamma, beta y ademas se utilizan metodologías bayesianas. Todas ellas son de gran utilidad para la estimación de las tasas estandarizadas directas que generan intervalos de diferentes calidades, tanto a nivel de cobertura como en amplitud.
En este trabajo se comparan, usando un estudio de simulación por medio de un indice propuesto, algunas metodologías para la estimación de tasas estandarizadas directas por medio de intervalos de confianza, par- tiendo de propuestas que han tenido un buen desempefio, según los resultados de estudios previos, como son las metodologías para intervalos de confianza por aproximación bootstrap (DiCiccio & Efron, 1996), metodología basada en los momentos (Dobson et al., 1991), métodos basados en la distribución gamma (Fay & Feuer, 1997). En esta comparación se utiliza un indice propuesto basado en una propuesta hecha por Correa & Sierra (2003), para la diferencia de proporciones, que permite medir la calidad de los intervalos en terminos de cobertura y amplitud.
La existencia de muchas metodologías para estimar intervalos de confianza para las tasas estandarizadas de mortalidad y morbilidad (Keung & Filardo, 2008), con multiples coberturas y desempefios de acuerdo a diferentes escenarios, hace que cada método no sea universal ni se pueda aplicar siempre, ademas cuentan con niveles de amplitud y coberturas variables (Correa & Sierra, 2003), por lo que se debe tener en cuenta las caracteristicas de cada escenario y las limitaciones de cada método. Aplicando el indice propuesto, se pretende caracterizar las diferentes metodologias para la estimación por medio de intervalos de confianza para las tasas estandarizadas directas identificando escenarios donde cada intervalo muestra un mejor desempefio.
2. TASAS ESTANDARIZADAS DIRECTAS
En epidemiología se utilizan las tasas para medir la presencia de un evento en una población de interés, las cuales podrán ser muertes por una causa dada, mortalidad, la incidencia o prevalencia, o morbilidad. La estandarización permite comparar el evento de interés en diferentes poblaciones, controlar los efectos de otras variables y la composición de las poblaciones. Se pueden comparar las tasas de mortalidad dada una causa especifica, tasas de incidencia o prevalencia de una enfermedad estratificadas por características demográficas como edad o genero, las cuales se comparan con una población estándar o global, por ejemplo la de un país para comparar el evento en sus subregiones o la población mundial para comparar regiones
o países, para la cual la Organización Mundial de la Salud (OMS) ha propuesto estructuras de población global que se actualizan regularmente (Ahmad et al., 2001). Adicionalmente, para una mejor interpretación, este se multiplica por una potencia de 10 con valores como 1.000, 10.000 y 100.000 entre otros. Esto permite evidenciar la presencia del evento en diferentes poblaciones y cuantificar su magnitud eliminando los efectos de factores externos que distorsionan o confunden, dando lugar a una comparación mas clara y comprensible. Para su estimación se consideran dos formas: directa e indirecta. En las tasas directamente estandarizadas (DSR), se parte del calculo de los pesos del evento de interés en la población bajo estudio y se calculan las tasas aplicando esos pesos a una población estándar (Woodward, 2005). La estructura de los datos son cómo se ilustra la Tabla 1, para la estandarización indirecta se calcula la tasa global y se multiplica por el numero de eventos en la población bajo estudio.


La tasa se estima con la siguiente expresión
Donde wi =
k
DSRx = Ewixi (1)
i=1
nson los pesos de la poblacion estandar del grupo de edad i, y Xi el promedio de eventos en
la poblacion bajo estudio en un periodo de tiempo del grupo de edad i, y k representa el numero de grupos
edad en que se subdivide la poblacion en estudio.
La estandarizacion directa, Woodward (2005) la define como la sumatoria de las tasas de eventos en las edades especfficas en la poblacion bajo estudio divido por el tamatio de la poblacion estandar. Para evitar numeros pequefios - que a veces son dificiles de interpretar - estos usualmente se multiplican por 1.000,
10.000 o 100.000, entre otros. Para este calculo, como se presenta a continuación, Woodward (2005), lo denota de la siguiente manera: Sean ei numero de eventos del i-esimo grupo de edad de la población estudio, pi es el tamalio del i-esimo grupo de edad de la población estudio, 14 es el tamafio del grupo de edad de la población estandar y ps = Li p,;' es el tamalio total de la población estandar. Entonces la estandarización directa de la tasa (dsr) del evento por mil personas es:

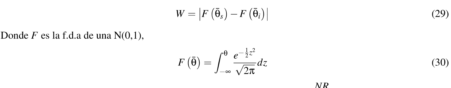
Si se asume que el flamero de eventos observados ei tienen una distribución Poisson, entonces el error estándar de la tasa directamente estandarizada se define así:

Un IC para la tasa directamente estandarizada, con una confianza del 95 %, es

Segall lo definido por Dobson et al. (1991), igual que Swift (2010), plantea que las tasas estandarizadas de mortalidad son sumac ponderadas de los parametros Poisson, esto lo muestra a través de un estudio de simulación y aplicando un ejemplo de las tasas de mortalidad por cancer con los datos de la OMS del proyecto 8 MONICA (Ahmad et al., 2001). También Woodward (2005), considera que los eventos se distribuyen Poisson, estos coinciden con Keung & Filardo (2008), que realiza un estudio partiendo de este planteamiento y compara 20 métodos para estimar las tasas por medio de IC y con Swift (Swift, 2010), donde en su estudio para comparar los metodos que mejor desempeño tuvieron del trabajo de Keung & Filardo (2008), plantea, dados Xi, i = 1, 2, 3, ... , k, variables aleatorias que representan el flamer° de
eventos ocurridos en el grupo i, los son independientes y se distribuyen Poisson con media niXi,
donde A4 es la tasa de eventos y ni es el ntimero de personas afio por cada grupo i, si se define 0 = niX, entonces Xi,--,Poisson (0i). Por lo tanto las tasas estandarizadas se definen así:

Donde wi = Los ci son el ntimero de personas alio de la poblacion estandar, constantes conocidas las cua- les se usan como se habia mencionado antes, llevada a una potencia de 10 para mejorar su interpretacion, i= 1,2,3,...,k.
Las tasas estandarizadas directas estimadas ajustadas por edad:

donde los xi son el ntimero de eventos en i = 1, 2, 3, ... ,k (k grupos de edad independientes), wi = c es
Pi
una constante conocida de la población estandar mundial (Ahmad et al., 2001) y pi ntimero de afios persona en la población bajo estudio.
Interesa estimar un IC para el parametro 0, usando diferentes metodologías, donde la calidad del intervalo esta dada por las propiedades de sus extremos XL, (extremo inferior), Xu (extremo superior) y de que su amplitud sea minima con probabilidad de cobertura lo mas cerca al nivel nominal. Partiendo de los metodos seleccionados que mejor desemperio presentaron en los trabajos de Keung & Filardo (2008) y Swift (2010), los cuales se presentan a continuación, para estimar los intervalos de confianza para las tasas estandarizadas de morbi-mortalidad, se pretende comparar estos metodos, midiendo su desemperio, por medio de un indice que se propone y que tiene en cuenta, de manera simultanea, la amplitud y el nivel de cobertura del intervalo.
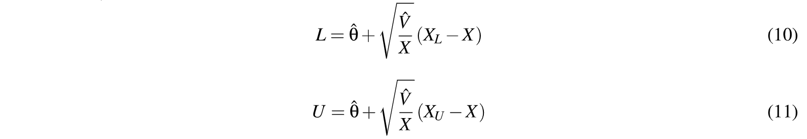
2.1. Intervalos de confianza bootstrap para las tasas estandarizadas
Estos IC se obtienen usando la metodología propuesta por DiCiccio (1991), Efron (1993), DiCiccio & Efron (1995) y DiCiccio & Efron (1996), basada en el metodo bootstrap. Para los intervalos de confianza, Swift (1995), propuso el siguiente modelo para las tasas estandarizadas. Con un nivel de confianza de (1 - a) x 100 %, se estiman los intervalos de confianza para 0 así:

2.2. Metodo de igualacion de momentos (Moments matching method)
Este método fue propuesto por Dobson et al. (1991) para la obtención de los limites de confianza aproximados para la suma ponderada de los parametros Poisson como funciones lineales de los limites de confianza para un tinico parametro Poisson (citado en Swift (2010) ), para lo cual propone: X =V_ix, haciendo coincidir el primer y el segundo momento obteniendo los extremos (XL, Xu ) que representa el intervalo de confianza de la suma de los parametros Poisson (LI,Li 0i) donde un intervalo de confianza aproximado de los parametros para la suma de los pesos Poisson wi del parametro 0 son (Keung & Filardo, 2008)

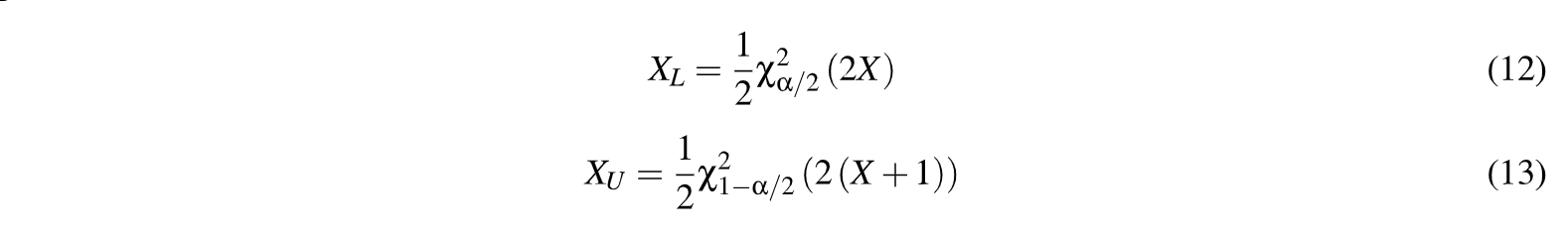
Existen muchos métodos que se utilizan para construir intervalos de confianza Poisson para calcular XL, XU. Swift (2010) recopila y simula 10 metodos diferentes donde los mejores desemperios son: (M1) intervalo de confianza exacto, Johnson et al., 2005 (citado en Swift (2010)), sobre la base de la relación entre la distribución Poisson y la chi-cuadrado, se construye el intervalo de confianza para la suma ponderada de los parametros Poisson como:

donde X2.9 (d) es el cuantil de la distribucion chi-cuadrado con d grados de libertad.
El (M8) aproximación del intervalo de confianza del mid-p (Dobson et al., 1991).

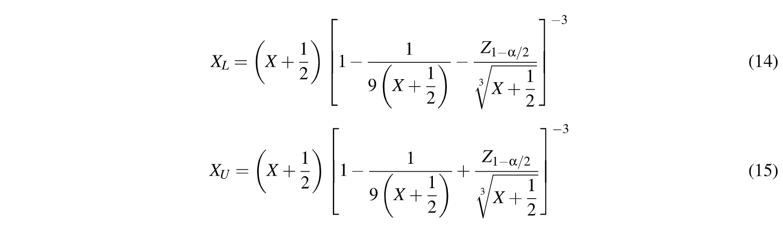
2.3. Metodos basados en la distribución gamma
Fay & Feuer (1997) proponen una aproximación para los intervalos de confianza para las tasas estandarizadas basada en la distribución gamma. Los limites de la gamma son equivalentes a la forma de la distribución chi-cuadrado, (Keung & Filardo, 2008; Swift, 2010) simulan como metodo (G1), el intervalo de confianza con extremos XL, XU respectivamente del (1 - a) x 100 %, así:

La (x2)d 1 es la inversa de la funcion de probabilidad chi-cuadrado con d grados de libertad. Existe un ntimero infinito de opciones para W lo que resulta en diferentes limites de confianza superiores; Fay & Feuer (1997) seleccionan W* = max (wi ,w2,w3, ,wk) y muestran por simulación que estos intervalos son conservadores.
Tiwari et al. (2006) propuso una modificación al método G1 presentado en Swift (2010) basado en la corrección de continuidad, al asumir la distribución uniforme para todos los grupos. Para el intervalo de confianza de (1- a)100% con extremos (L, U*) donde L esta dado en el método G1 y U* es:

W.2 El cual es denominado por Swift (2010) como G4, aunque
Tiwari et al. (2006) consider6 el limite superior U con W* = k Ek 1 Wi, estos dos intervalos son muy similares y aunque existe un ntimero infinito de opciones para W*, este lo propuso Tiwari et al. (2006) con base en la idea de correcci6n por continuidad.
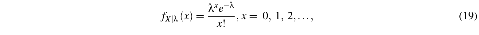
2.4. Metodo Bayesiano con distribuciones conjugadas Poisson y gamma
En el siguiente método para la estimación de la tasa bruta o global propuesta por Ross (2003), se utiliza la distribución de probabilidad Poisson,

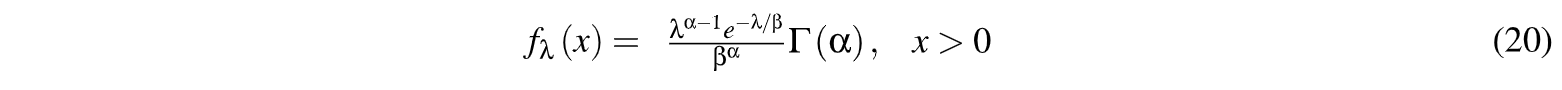
donde x es la medición del numero de eventos y X es el parametro de la distribución. La distribución gamma es la a priori (no informativa) conjugada para la distribución de probabilidad Poisson. La distribución gamma tiene la siguiente forma:

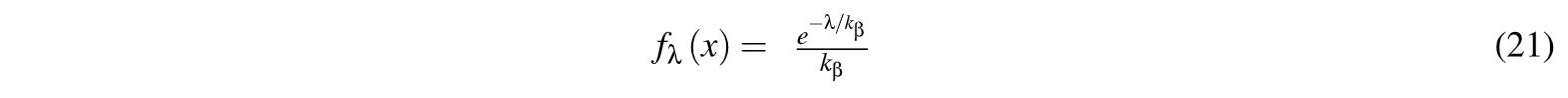
donde F (a) es la función gamma, donde para a un entero positivo F (a) = (a — 1) !. Una forma de la distribución gamma puede ser definida con a = 1 y p = 4, donde 4 es algtin valor muy grande. Con estos parametros, la distribución a priori de las tasas corresponde a:

Para la estimación de los intervalos de confianza para las tasas basadas en la distribución Poisson, para una a priori no informativa se propone la distribución posteriori así:

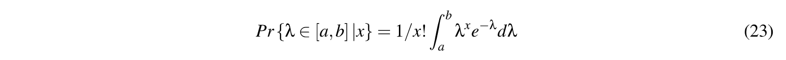
Cuando es una distribuci6n gamma con parametros (x+ 1,1) y con un a, el intervalo de confianza en terminos de X como lo propone para las tasas brutas Ross (2003) es el intervalo [a, b] tal que

para 1— a asumiendo 0 < a< b. El intervalo de confianza para la tasa es

Partiendo de lo propuesto anteriormente por Ross (2003), se propone para el caso de las tasas estandarizadas directas, considerando N =w como el factor de estandarización segim la población global y realizando la sumas de forma euristica de las tasas grupales para hallar los intervalos con extremos, inferior,

y superior,

donde wi corresponde a los pesos de la poblacion global sobre la poblacion en estudio en cada uno de los k grupos.
Otra forma de ponderar las sumas de los extremos de los intervalos bayesianos, se basa en la propuesta de Ross (2003),

Se propone un metodo bootstrap para estimar las medianas en cada grupo de edad y luego se realizan las sumas obteniendo los extremos para los intervalos de confianza para la tasa estandarizada directa R.
3. INDICE PROPUESTO PARA MEDIR LA BONDAD DE LOS INTER- VALOS DE CONFIANZA
Una de las ideas mas relevantes de este trabajo es la propuesta de un indice que incorpora la longitud del intervalo con el nivel de confianza real y que permite comparar intervalos de confianza para tasas estan- darizadas. Se partird del indice propuesto para la diferencia de proporciones por Correa & Sierra (2003), donde se propone que para evaluar los intervalos de confianza se deben considerar la precisión indicada por la longitud del intervalo y la probabilidad de cobertura, P (Lief < ti — n2 < Ls„p)• Estos dos criterios no se pueden analizar por separado porque de poco sirve un intervalo con probabilidad de cobertura alta si su lon- gitud es muy grande o un intervalo con una longitud muy pequelia pero con probabilidad de cobertura muy baja. Idealmente se desea que los intervalos sean angostos y tengan probabilidad de cobertura muy cercana al nivel de confianza nominal.
Correa & Sierra (2003), proponen un indice para las proporciones donde se tiene en cuenta tanto la amplitud del intervalo como el nivel de cobertura por lo que coberturas superiores al nivel nominal y amplitudes mínimas generan un indice mayor, y amplitudes superiores o coberturas menores al nominal generan indices menores. Este indice busca penalizar los IC con mayores amplitudes y niveles de coberturas menores al nominal. El indice propuesto por Correa & Sierra (2003) para la diferencia de proporciones esta definido de la siguiente forma,

Donde LPI es la longitud promedio del intervalo , NR es el nivel de confianza real y NN es el nivel de confianza nominal. Este indice es 6til en el caso de las diferencias de proporciones, por que la longitud del intervalo siempre esta entre cero y dos.
Partiendo del Indice anterior se propone un nuevo Indice para evaluar los intervalos de confianza para
2 — LPI
estimar las tasa estandarizadas directas. Para el cual en vez de I — , para la amplitud de un intervalo,
2
partiendo del hecho que la amplitud de los intervalos de confianza de las tasas estandarizadas no esta acotada entre cero y 2 como en el caso de las diferencias de proporciones, se propone hacer una transformación de la amplitud del intervalo de confianza utilizando la función de probabilidad acumulada de una normal evaluadas en 8 (pues por el Teorema del Limite Central, la distribución asintotica de 0 es N(0, 1), y se calcula 1— W donde W esta dado por el valor absoluto de las diferencias de la función de probabilidad acumulada de es menos la función de probabilidad acumulada de la distribución normal de ei así,

Como en el Indice de Correa & Sierra (2003), la segunda componente , en esta propuesta, solo se
NN
considera el NR ya que cuando el NR supera al NN genera factores mayores a 1 y multiplicado por el factor de amplitud el Indice pierde consistencia, quedando el Indice propuesto en este trabajo de la siguiente forma:

Este indice tiene la propiedad de que intervalos pequeños generan unos valores mayores en la diferencia de la amplitud del intervalo de confianza y al multiplicarlo por los niveles reales generan un mayor valor en el Indice. Por lo contrario, para intervalos muy amplios se penaliza el Indice generando valores menores. También cuando los niveles reales son superiores al nivel nominal aportan a un mejor indice y en el sentido contrario generan un menor valor en este factor disminuyendo el indice, lo cual permite evaluar la calidad de los intervalos de confianza para las tasas estandarizadas directas como lo plantea Correa & Sierra (2003), tanto en precisión como en probabilidad de cobertura.
4. ESTUDIO DE SIMULACIÓN
Para la comparación vía simulación de los métodos considerados para estimar por intervalos de confianza las tasas estandarizadas directas de un evento dado, se realizaron 1000 simulaciones. Partiendo de un que representa la tasa promedio de un evento dado, se generan con una distribución Poisson con parameto X, eventos al azar para cada simulación, con estas se estiman los intervalos de confianza por cada método.

Como se presenta en la Tabla 2 se agruparon los datos en quinquenios desde los 25 afios a los 60 afios, para un k de 8 grupos de edad, partiendo del hecho de que en epidemiologia no siempre se realizan estudios sobre el total de la poblacion de 0 a 100 afios, comUnmente se desarrollan estudios con subgrupos poblacionales divididos por grupos de edad o por edad y Oiler° o tambien es el caso que se realizan estudios que abarcan todos los grupos poblaciones desde 0 a 100 alios. Se tom() como poblacion estandar, la poblacion SEGI (Ahmad et al., 2001)propuesta por la OMS, la cual define las proporciones de los tamafios de poblacion estandar por cada grupo de edad por quinquenios desde los 0 arios hasta los 85 arios y mas, pero para las simulaciones se tomaron las proporciones de los grupos de edad de 25 a 65 equivalentes a los grupos de la problacion estudio simulada. Se repite este proceso y se calculan 1000 indices, en cada una de los tres escenarios propuestos, para evaluar el comportamiento de los diferentes metodos en la estimacion de las tasas estandarizadas directas por intervalos de confianza, bootstrap, momentos, gamma y dos intervalos ba- yesianos partiendo de una a priori no informativa gamma.
Con los indices por cada uno de los métodos y en los tres escenarios propuestos, se realiza un analisis des- criptivo e inferencial para evaluar las posibles diferencias entre ellos, adicionalmente con simulaciones de 100 intervalos de confianza por cada método y en los tres escenarios se realiza el analisis descriptivo de los intervalos de manera convencional, evaluando su amplitud y nivel de cobertura, por ultimo se ilustran los métodos usando datos de cancer de mama del ario 2015 en mujeres mayores a 20 arios comparando la tasas de mortalidad en tres regiones del país: Antioquia, Valle del Cauca y la ciudad de Bogota; se tomo la información de registros de defunción publicados por el DANE (2017).
5. RESULTADOS
En las simulaciones se evidencio que los intervalos de confianza para las tasas estandarizadas directas por los métodos bootstrap, momentos y gamma son más consistentes al tamaiio de las tasas, y son similares entre sí. Lo que no sucede con los métodos bayesianos, en los cuales para el método bayesiano heuristic°, las simulaciones tienen un comportamiento similar, homogeneo, segUn las Tabla 3. Basados en la media y mediana se evidencia el comportamiento de los métodos en las tasas simuladas. Se resalta el método gamma que representa el intervalo de confianza con mayor valor en promedio del indice, lo que indica un mejor desempeño

Partiendo de un análisis inferencial para establecer si los indices de cada método de los intervalos de confianza para las tasas estandarizadas directas tienen diferencias, se realizo un ANOVA de una via, el cual permitio explorar si existen diferencias significativas entre los métodos en el escenario simulado, correspondientes a una tasa de eventos promedio. De acuerdo al box-plot asociado a los métodos, parecen existir diferencias estadisticas importantes. Esto se corrobora con el ANOVA de una via a traves de componentes multiples donde las pruebas presentan valores de significancia menores a 0,0001.


En las Tablas 4 y 5, se presentan los resultados de las medias de los IC para simulaciones de 100 intervalos, la cobertura y la amplitud de los intervalos para una tasa, partiendo de esta información se corrobora lo identificado en el analisis anterior donde se describen cada uno de los indices resultado de los métodos para estimar por intervalos las tasas estandarizadas directas. Con respecto a la cobertura se identifican que los intervalos con la metodologia bayesiana y la bayesiana bootstrap presentan buenos niveles de cobertura, también presenta un buen desemperio en cobertura el método gamma el cual tiene unos valores superiores a los métodos de momentos y bootstrap los cuales tienen resultados muy consistentes

Con respecto a la amplitud de los intervalos para los casos bayesiano y bayesiano bootstrap, estos tienen una amplitud mayor en los tres escenarios (ver Tabla 6), pero como se especifico anteriormente tenfan valores de coberturas superiores lo cual hace que genere un indice menor y no sean competidores con los otros tres métodos. Para el caso de los métodos boostrap, momentos y gamma, de los cuales este Ultimo registra valores menores de amplitud de intervalo que complementados con unos valores mayores en cobertura con respecto al bootstrap y al método de los momentos genera valores mayores del Indice en los tres escenarios, representando el método con mejor desemperio. Los métodos bootstrap y momentos tienen unos valores de amplitud y cobertura conservadores en los diferentes escenarios pero son ligeramente menores al método gamma. Los métodos bayesianos entre Si comparten unos desemperios similares tanto en amplitud como en cobertura.
6. CONCLUSIONES
Consecuente con lo reportado en diferentes estudios, el Indice propuesto mostro el resultado de los desem- perios de cada uno de los metodos para estimar por intervalos de confianza las tasas estadarizadas directas. Segtin lo reportado por Swift (2010) y Keung & Filardo (2008), de los metodos analizados el que mejor desempelio presento fue el gamma, igual resultado se obtuvo en el presente trabajo, donde lo analizado con el indice y en el analisis convencional de los intervalos por cada uno de los metodos, genera un mayor valor para los intervalos de confianza del metodo gamma, aunque separadamente se evidencio que los bayesianos contaban con un nivel de cobertura mayor pero igualmente un mayor valor de amplitud lo que hace que estos metodos sean poco conservadores.
Por otra parte para los metodos bootstrap y momentos, el indice presenta unos resultados para los intervalos de confianza de las tasas estandarizadas mas conservadores, donde tanto los niveles de cobertura y amplitud tienen valores cercanos al metodo gamma, convirtiendose en buenos competidores con el intervalo de con- fianza del metodo gamma y superiores a los metodos bayesianos.
El Indice propuesto presento un desempefio consistente y captura la calidad de los intervalos de confianza de las metodologias evaluadas permitiendo identificar los mejores desempefios tanto en cobertura como amplitud conjuntamente.
Referencias
Ahmad, 0., Boschi-pinto, C., Lopez, A., Christopher J., Rafael L. & Mie, I. (2001). Age standardization of rates: a new WHO standard GPE Discussion. Paper Series, 31, 1-14.
Correa, J. & Sierra, E. (2003). Intervalos de confianza para la comparación de dos proporciones. Revista Colombiana de Estadística, 26, 1, 61-75.
DANE. (2017). Estadisticas vitales, [Consultada en julio de 2017].
Diciccio, T. (1991). More Accurate Confidence Intervals in Exponential Families. Stanford University.
Diciccio, T. & Efron, B. (1995). Bootstrap confidence intervals. Stanford University.
DiCiccio, T. & Efron B. (1996). Bootstrap Confidence Intervals. Statistics In Medicine, 11, 189-212.
Dobson, A., Kuulasmaa, K., Eberle, E. & Scherer, J. (1991). Confidence Intervals For Weighted Sums Of Poisson Parameters. Statistics In Medicine, 10, 457-462.
Efron, B. (1993). An Introduction to the Bootstrap. Chapman y Hall/CRC
Fay, M. & Feuer, E. (1997). Confidence Intervals For Directly Standardized Rates: A Method Based On The Gamma Distribution. Statistics In Medicine, 16, 791-801.
Johnson, N., Kemp, A.& Kotz, S. (2005). Univariate Discrete Distributions. John Wiley y Sons, New York
keung, H. & Filardo Zheng, G. (2008). Confidence interval estimating procedures for standardized incidence rates. Computational Statistics and Data Analysis, 52, 3501-3516.
Ross, T. (2003). Acurate confidence intervals for binomial proportion and Poisson rate estimation. Computers an Biology and Medicine, 10, 1080
Swift, M. (1995). Simple confidence intervals for standardized rates based on the approximate bootstrap method. Statistics in Medicine, 14, 1875-1888.
Swift, M. (2010). A simulation study comparing methods for calculating confidence intervals for directly standardized rates. Computational Statistics and Data Analysis, 54, 1103-1108.
Tiwari, R., Clegg, L. & Zou, Z. (2006). Efficient interval estimation for age-adjusted cancer rates. Statistical Methods in Medical Research, 15, 547-567.
Woodward, M. (2005). Epidemiology study design and data analysis. Florida: Chapman y Hall/CRC

