

Casos Exitosos
Diseño estructural de un secador continuo y herramienta para volteo de cafés especiales
Structural design of a continuous dryer and turning tool of special coffee
Diseño estructural de un secador continuo y herramienta para volteo de cafés especiales
Informador Técnico, vol. 82, núm. 2, 2018
Servicio Nacional de Aprendizaje
Recepción: 04 Diciembre 2017
Aprobación: 18 Mayo 2018
Resumen: El presente artículo comprende el diseño estructural de un secador con sistema de volteo para cafés especiales en el departamento del Huila el cual incluye: (i) Análisis de diseño para determinar la forma de la “uña de volteo” con la correspondiente herramienta definida, (ii) deducción de una ecuación aproximada para el cálculo del torque requerido para el volteo del café en pasera y (iii) un análisis CFD (computational fluid dynamics) del secador desde el punto de vista térmico para validar las variables de diseño. Se logró proponer un sistema híbrido con un factor de innovación que garantiza un café secado con condiciones controladas y en un menor tiempo, que introduce al agricultor en una dinámica de precisión en su objetivo de mantener los porcentajes permitidos de humedad, garantizando un café de calidad en taza.
Palabras clave: Secador de café, calidad de café, CFD, volteo de café.
Abstract: This paper comprise the structural design of a dryer with stirring system to obtain specialty coffee of highest quality, which includes: (i) Design analysis to determine the shape of a advantageous stirring device, (ii) deduction of an equation to calculate the required torque for turning tool and (iii) a computational fluid dynamics (CFD) analysis of the dryer for thermal conditions, in order to validate the design variables. It was possible to propose a hybrid system with an innovation factor that guarantees a dried coffee with controlled conditions and in a shorter time, which introduces the farmer in a dynamic of precision in his objective of maintaining the permitted percentages of humidity, guaranteeing a quality coffee in a cup.
Keywords: Coffee dryer, quality of coffee, CFD, stirring coffee seeds.
Introducción
Colombia es el mayor productor mundial de café arábigo suave lavado, para febrero del año 2017 se reportó una producción de 1.293.000 sacos de 60 kg (Federación Nacional de Cafeteros, 2017). Es importante resaltar que 35 de los municipios del Huila son cafeteros o realizan actividades relacionadas con este cultivo, con un área sembrada de 138.067 ha, aproximadamente. Existe además un factor diferenciador donde se adjudicó al café de este departamento con denominación de origen garantizando alta calidad en el producto final y una diferenciación en el mercado (Trujillo y Rengifo, 2015), donde los productores han valorizado sus cafés recibiendo un valor adicional por carga de 300 mil pesos colombianos, permitiendo que mejoren sus procesos productivos y por ende su calidad de vida (Andrade, Bermal, y Silva, 2015). En café, la mejor calidad se obtiene a partir de frutos maduros y sanos, sin embargo, en los procesos postcosecha se deben considerar buenas prácticas que garanticen una producción de calidad en todos los procesos agronómicos, secado, almacenamiento, transporte, tostación, lo anterior, siendo amigables con el medio ambiente (Puerta et al., 2016). Dentro de estas prácticas, el secado de café es una de las etapas de mayor importancia teniendo en cuenta que el fruto fresco contiene entre 75-85 % de agua y es susceptible al ataque microbiano y al deterioro químico, el cual puede afectar las características del café, tales como el cuerpo, sabor y aroma (Batista, Chalfoun, Batista, y Schwan, 2016; Ladino-Garzón, Cortés-Macías, y Amorocho- Cruz, 2016; Puerta, 2001; Federación Nacional de Cafeteros, Cenicafé y Fundación Manuel Mejía. (2009).
El exceso de humedad contenida por los materiales puede eliminarse por métodos mecánicos (sedimentación, filtración, centrifugación), sin embargo, la eliminación más completa de la humedad se obtiene por evaporación mediante el secado térmico, ya sea con ayuda o no de corrientes de aire (Knoule, 1968; Perry, 1985; Sherwood, 1936). En el café, el proceso de secado es realizado tradicionalmente usando el calor generado por radiación solar, igualmente, debe complementarse con el proceso de revuelto (volteo) que permita la uniformidad en el contenido de humedad final de los lotes. Este proceso se realiza extendiendo la almendra de café sobre una base (concreto, madera o guadua) y revolviendo usando rastrillos construidos en madera o en láminas de hierro (Jurado, Montoya, Oliveros, y García, 2009), dichas herramientas son pesadas y con brazos cortos que limitan que el operario realice la actividad correctamente, además, se ven en la necesidad de pisar el café con el fin de cubrir la zona para volteo, generando granos pelados, resquebrajados, contaminación con materiales extraños y aplastamiento que afecta la calidad final (Velásquez y Álvarez, 1991). Este proceso se realiza en el día, actividad que varía por las condiciones climáticas, sin embargo, se frena en las noches o cuando las condiciones climáticas no permiten aprovechamiento del calor generado por radiación solar (Roa, Oliveros, y Ramírez, 2000). Lo anterior afecta el contenido de humedad del café almacenado, generando varios inconvenientes como: mancha o germinación de la almendra, mal olor, café pálido después del trillado, mal sabor en taza, ser considerado de menor calidad y por ende un menor precio (Puerta, 2006).
Considerando lo anterior, el objetivo del presente artículo es mostrar el diseño estructural de un secador continuo para cafés especiales, su correspondiente herramienta para volteo y la simulación de dos variables (velocidad del aire y temperatura) que permitan conocer la distribución de la temperatura al interior del secador.
Metodología y Materiales
Tipo de estudio y lugar de desarrollo
Se planteó un estudio exploratorio, considerando que no existen investigaciones previas que incluyan en conjunto: herramienta y mecanización del volteo, y secado continuo para cafés especiales. Este tipo de estudio se define porque se desarrolló un prototipo (estudio a menor escala), con el cual se pretende analizar metodologías, técnicas y finalmente, mostrar la viabilidad de los instrumentos utilizados antes de iniciar con la recolección de información (Muñoz Aguirre, 2011). El presente proyecto fue desarrollado en el Centro de Formación Agroindustrial “La Angostura” Regional Huila. Kilómetro 38 vía al sur de Neiva, Campoalegre, Colombia.
Análisis de sistemas objetuales – herramienta de volteo
La metodología aplicada para el desarrollo de la uña de volteo consistió en tres momentos, la etapa inicial en la que se plantea o estructura el problema, en este caso se revisaron los sistemas y herramientas existentes y se evaluó su rendimiento, eficacia en el proceso y relación en supervisión del operario, obteniendo así un mapa que guía el análisis en la cultura material (sistemas objetuales y objetos) de los secadores de café, integrando aspectos desde la etnografía, como una estrategia de conocimiento y acercamiento de la técnica. La segunda etapa, definida como desarrollo proyectual, permitió establecer los requerimientos de diseño, integrando la morfología y dimensiones del grano de café, para finalmente escalar el diseño de la uña de acuerdo con el elemento, esto para garantizar una rotación homogénea de la masa a revolver, sin causar daños a los granos durante el proceso de volteo. La tercera etapa consistió en la fabricación de la propuesta, articulándose con el prototipado del sistema completo (Rodríguez, 2006).
Condiciones del secador continuo
Humedad y temperatura
A nivel térmico el secador debe impedir una reversión en el secado y debe evitar la cristalización del grano de café, es decir, debe sostener una temperatura estable durante todo el proceso sin superar los 50 °C (Puerta, 2006). Para tal fin, se propone un diseño basado en un sistema híbrido de aprovechamiento de la energía solar y la energía de biomasa de los tallos de café desechados del cultivo, con un sistema de dos paseras horizontales con el fin de que durante el día la radiación solar térmica transfiera calor a los objetos que contiene, incrementando su temperatura y permitiendo que el aire aumente su capacidad de absorber agua, logrando así mejorar el secado. En la noche o cuando baje la temperatura, se generaría la energía necesaria para calentar el aire y continuar el proceso de secado a partir de biomasa, mediante un horno y un intercambiador de calor. La determinación de las condiciones de humedad del secador se trabajó bajo dos conceptos: humedad específica (ω) y humedad relativa (Ø).
Adicionalmente, se realizó una simulación en el software Solidworks versión 2015, para verificar la distribución del aire caliente dentro de la estructura de manera que se valide la ubicación de la tubería de alimentación y la tubería de re- circulación de aire para que cada una tenga una corriente adecuada de aire caliente, disminuyendo la diferencia de secado en los granos de café; además para validar la ubicación adecuada de los ventiladores que controlan la temperatura al interior del secador. Para dicho análisis se tomó temperatura promedio del aire atmosférico 15 °C y 1 atm de presión.
Motor
Para determinar el torque requerido para el volteo de café deberían considerarse una multitud de variables entre las que están: rozamiento generado entre los granos, entre uña y grano, volumen de café levantado en cada vuelta, dependiendo a su vez de la velocidad lineal de la uña y de la geometría de la uña, pérdidas en la transmisión de potencia, y densidad del grano, entre otras.
Considerando lo anterior, se puede evidenciar que el cálculo del torque de manera precisa es más complejo que útil debido a la variedad en la ubicación de los granos de café, tamaño de grano, cantidad a secar y variedad del café a procesar, por lo tanto se definió realizar un cálculo general agregando un factor de seguridad. Una posible aproximación al torque se puede lograr calculando el volumen máximo de café que podría soportar la uña en cada volteo, lo cual es definido por la geometría de la uña. Por tal motivo se evaluó el diseño que más torque requiera.
Resultados
Diseño herramienta de volteo – uña
En la Figura 1, se muestran las tipologías existentes de los métodos de secadores solares para café, evidenciando las principales falencias al hacer un análisis de las tipologías relacionando la triada ser humano-objeto-actividad, en el contexto en el que se desarrolla el proceso de secado del café. Algunas de las falencias identificadas fueron: (i) carencia de precisión en el proceso de secado, específicamente en el nivel de humedad presente en el grano, que puede causar que se exceda el tiempo de exposición generando un café reseco; (ii) la dependencia de las condiciones climáticas que pueden hacer que en periodo de invierno se prolongue el tiempo de secado lo que podría deteriorar la calidad del grano; (iii) por ser procesos dependientes de la energía térmica solar presentan un retroceso en el tratamiento de secado durante la noche; (iv) en cuanto a la relación instrumento-usuario, en todos los sistemas identificados es requerida mano de obra para el volteo .
Mediante este análisis se observó que es pertinente generar un sistema de secado que mantenga una relación formal y funcional de los subsistemas, como son; la herramienta de volteo, el elemento contenedor de la producción de café o pasera, buscar alternativas para reducir las pérdidas de calor, permitiendo la continuidad al proceso de secado, identificar datos numéricos concretos que reduzcan el grado de incertidumbre al agricultor (Figura 2) (Federación Nacional de Cafeteros y Centro Nacional de Investigaciones de Café., 2004; Jurado et al., 2009; Oliveros, López, Sanzs, y Ramírez, 2006).


De acuerdo con los objetivos establecidos, se desarrolló un elemento que se denominó uña de volteo (Figura 3), que surge de integrar las características de forma y tamaño del referente natural, que son los granos de café, en un elemento de rotación continua para reemplazar la mano de obra. Para tal fin se tomaron las cualidades morfológicas descritas, donde el lado externo es convexo y liso, y el interno plano con un surco longitudinal, cuyas medidas en los tipos comerciales son de 9 a 18 mm de largo por 6 a 10 mm de ancho y 4 a 8 mm de grosor (León, 1968).
Las determinantes de diseño permitieron establecer la necesidad de generar un elemento de una proporción cercana al grano de café, para el desarrollo formal se partió del carácter convexo y plano para el diseño del extremo de la uña, a fin de garantizar el levantamiento y posterior rotación de los granos de café. La uña se ubica sobre un eje de rotación, en un módulo que se repite aplicando un giro de 180°. El ancho de cada uña es de 2 cm lo que permite la remoción de la masa de granos de café contenida en la pasera.

Sistema de Secado Continuo
En cuanto a humedad y temperatura, el funcionamiento del sistema de aprovechamiento del calor latente del aire húmedo se presenta en la Figura 4:

El correcto funcionamiento del secador se garantiza con sensores de temperatura y humedad ubicados en las tuberías y en puntos definidos dentro del secador, los cuales operan de la siguiente manera:
El sistema de volteo consistió en un mecanismo accionado por motor paso a paso que permitirá un secado homogéneo del café mediante el traslado de los granos del fondo de pasera a la parte superior de la misma, trabajando sobre una capa de 5 cm. La Figura 5 ilustra la geometría de dos tipos de uñas: la geometría a permite obtener la mayor cantidad de volumen de café en cada vuelta, sin embargo, la distribución del café sometido al volteo posiblemente no sea homogénea, debido a que su diseño hace que el café se acumule al final de la vuelta por lo que no cumpliría con uno de los principales requerimientos del diseño. Por este motivo se sacrifica el volumen máximo, pero se mejora la homogenización del volteo con la segunda geometría b, la cual permite que el café se distribuya de una manera más uniforme mientras es volteado, para cálculos posteriores se toma el diseño optimizado.

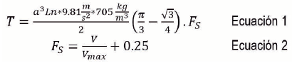
El café arábico variedad Colombia lavado tiene una densidad aparente de 704,85 kg.m3 al final de la cosecha (Montilla et al., 2008), por lo que es válido decir que una aproximación al torque máximo requerido por el motor para el volteo de café se puede calcular de acuerdo con las ecuaciones 1 y 2:

Donde Fs es el factor de seguridad, una forma de determinar este factor es fijando un 25 % de torque requerido extra causado por las fuerzas de rozamiento involucradas y aquellas que generen imprecisión, a la altura entre el fondo de la pasera y el eje de la uña, L es el ancho de la uña, V es el volumen de la uña diseñada y Vmax es el volumen de la uña de máximo volumen optimizado. Para un V al 50 % el torque requerido sería de 0,57Ncm
El café genera una fuerza en las dos hileras de uñas, por un lado por el peso del café y por el otro por la fuerza de rozamiento generada por el movimiento de la uña mientras pasa por el café en la pasera, esto se ilustra en la figura 6. Para el ensamblaje de las “uñas de volteo” se propone un sistema (Figura 7) que se basa en uñas giratorias que se trasladan linealmente, además, se requiere que cuando el eje gire en sentido de las manecillas del reloj las uñas se trasladen a la izquierda, cuando se traslade hacia la derecha el sentido de giro debe cambiar, para lograr esto se propuso el sistema cremallera piñón.


Validación térmica
Se evaluaron tres factores fundamentales de diseño: i) Distribución uniforme de temperatura a lo largo de las paseras, ii) temperatura máxima de 313,15 K al interior del secador y iii) temperatura máxima de 333,15 K para tubería de aire caliente a la salida del ventilador. Se validó las características del ventilador y de la altura de la tubería de salida del ventilador en tres configuraciones diferentes, la figura 8 representa la configuración seleccionada: 700 mm la altura del ventilador respecto al suelo y 1700 mm la altura de la tubería de salida del ventilador respecto al suelo. Las pérdidas de calor calculadas en la noche fueron de 676 W de acuerdo con las condiciones iniciales seleccionadas.

Discusión y conclusiones
En Colombia el secado se realiza tradicionalmente por método solar, donde se expone la almendra directamente al sol, logrando reducir el contenido de humedad hasta un 10 - 12 %, rango de comercialización para cafés diferenciados (Puerta, 2006). La estandarización del proceso de secado de café en las zonas rurales no ha sido alcanzada a la fecha y las alternativas presentadas en los últimos años se dirigen hacia el diseño de invernaderos adaptados, herramientas de volteo y la implementación de métodos indirectos para la medición de la humedad del grano.
El diseño de invernadero descrito en este estudio presentó algunas ventajas sobre los modelos existentes: (i) La implementación de tuberías con intercambiador de calor y los ventiladores, que favorecen el control de temperatura del aire dentro del invernadero y permiten un secado continuo controlado, reduciendo el tiempo de secado del grano de café, comparado con el tiempo en invernaderos tipo capilla, donde se puede tardar hasta 30 días en periodos lluviosos (Puerta, 2006). Una ganancia en el tiempo de secado se convertiría en una ventaja competitiva en el mercado, además que reduce la posibilidad de defectos en taza (Federación Nacional de Cafeteros, 2010), (ii) Por su tamaño y diseño portable, es un elemento que se puede guardar bajo techo en las épocas donde no se cosecha, lo cual reduce el desgaste del plástico de invernadero causado por las lluvias y rayos del sol. (iii) Por otra parte, invernaderos comerciales con paseras de 2-4 niveles han sido diseñados para terrenos montañosos, por lo cual el presente modelo ayudaría a solucionar la limitante de espacio plano extenso proporcional al número de hectáreas sembradas (Organización de las Naciones Unidas para la Alimentación y la Agricultura FAO, 2010) y de la ubicación en terrenos montañosos con pendientes considerables, donde no podrían localizarse amplios invernaderos.
Las herramientas de volteo diseñadas por Cenicafé han sido una alternativa creada fundamentalmente para reducir el porcentaje del daño del grano por pisadas y asegurar la inocuidad del producto, además que pueden ser utilizadas en terrazas o invernaderos, para el volteo del café durante el día (Oliveros et al., 2006; Velásquez y Álvarez, 1991). Sin embargo, esta herramienta no reemplaza el operario y por lo tanto no reduce costos en el proceso, no favorece la calidad de vida del caficultor por las jornadas de volteo del grano; y tampoco mejora la calidad del producto respecto al porcentaje de humedad obtenido.
Para la determinación de humedad del grano de café, se realizaron estudios donde las características sensoriales como el color fueron tomadas en cuenta, sin embargo este parámetro es subjetivo e impreciso para determinar la eficiencia del secado (Cenicafé, 1984). Métodos de fácil uso y bajo costo, como el método gravimétrico desarrollado por CENICAFÉ, se han convertido en una alternativa para medir de forma indirecta la humedad del café en campo y que requiere pocos implementos con una eficiencia del 97 % (Oliveros, Peñuela, y Jurado, 2009). Sin embargo sigue existiendo la necesidad de integrar diferentes sistemas a través de la automatización, donde el diseño completo de la alternativa presentada en este artículo, incluya la instalación de sensores de humedad, y la evaluación de diferentes rangos de temperatura que determinen el mejor tiempo de secado para obtener la mejor calidad sensorial en taza.
Referencias
Andrade, J. M., Bermal, J., y Silva, J. G. (2015). Factores motivacionales que permitieron el surgimiento de los productores de cafés especiales en el departamento del Huila. Revista de Investigaciones Agroempresariales, 1, 55–67.
Batista, L. R., Chalfoun, S. M., Batista, C. F. S., y Schwan, R. F. (2016). Coffee: types and production. In B. Caballero, P. Finglas, & F. Toldrá (Eds.), The Encyclopedia of Food and Health . Oxford: Academic Press (p. 244).
FEDERACIÓN NACIONAL DE CAFETEROS DE COLOMBIA. (1984). Análisis de la encuesta sobre beneficio y calidades de café. Documento interno, Sección Ingeniería Agrícola. Cenicafé.
Federación Nacional de Cafeteros y Centro Nacional de Investigaciones de Café. (2004). Beneficio del Café II: secado del café pergamino. Cartilla cafetera Capítulo 21.
Organización de las Naciones Unidas para la Alimentación y la Agricultura FAO. (2010). Introduction to Coffee Drying.
Federación Nacional de Cafeteros. (2010). Defectos de Café Verde. Recuperado de: http://www.cafedecolombia.com/clientes/es/regulacion_nacional/exportadores/2831_calidades_de_exportacion/.
Federación Nacional de Cafeteros. (2017). Producción de Café de Colombia aumenta 18% en febrero. (2017, Marzo). Recuperado de: https://www.federaciondecafeteros.org/clientes/es/sala_de_prensa/detalle/produccion_de_cafe_de_colombia_aumenta_18_en_febrero/
Jurado, J., Montoya, E., Oliveros, C., y García, J. (2009). Método para medir el contenido de humedad del café pergamino en el secado solar del café. Cenicafé, 60(2), 135-147.
Knoule, F. (1968). El secado. Bilbao.Ediciones Urno, 50–150.
Ladino-Garzón, W., Cortés-Macías, E. T., Gutiérrez-Guzmán, N., y Amorocho-Cruz, C. M. (2016). Calidad de taza de café ( Coffea arabica L .) procesado en fermentación semi-seca. Agronomía Colombiana, 34 (1Supl), S281-S283.
León, J. (1968). Fundamentos botánicos de los cultivos tropicales. Lima, Perú: IICA, Ed.
Montilla, J., Arcila, J., Aristizábal, M., Montoya, E. C., Puerta, G. I., Oliveros, C. E., y Cadena, G. (2008). Caracterización de algunas propiedades físicas y factores de conversión del café durante el proceso de beneficio tradicional. Cenicafé, 59(2), 120–142. Recuperado de: http://www.cenicafe.org/es/publications/arc059(02)120-142.pdf
Muñoz Aguirre, N. (2011). El estudio exploratorio. Mi aproximación al mundo de la investigación cualitativa. Revista Ivestigacion y Educacion en Enfermería, 29(3), 492–499.
Oliveros, C., Lopez, U., Sanzs, J., y Ramírez, C. (2006). Nuevo rastrillo para revolver café en proceso de secado al sol. Cenicafé, Avances Técnicos 346.
Oliveros, C., Peñuela, A., y Jurado, J. (2009). Controle la humedad del café en el secado solar utilizando el método gravimet. Cenicafé, Avances Técnicos 387.
Perry J, H. (1985). Chemical Engineering Handbook. (Mc Graw Hill, Ed.) (Sexta Edic). New York.
Puerta, G.I. (2006). La humedad controlada del grano preserva la calidad del café. Cenicafe. Avances Técnicos, 352.
Puerta, G.I., González, F.O., Correa, P.A., Álvarez, I.E., Ardila, J.A., Girón, O.S., Ramirez C.J., Baute, J.E., Sanchez, P.M., Santamaria, M.D., Montoya, D.F. (2016). Diagnóstico de la calidad del café según altitud, suelos y beneficio en varias regiones de Colombia. Revista Cenicafé, 67(2), 15–51.
Puerta, G. I. (2001). Cómo garantizar la buena calidad de la bebida del café y evitar los defectos. Cenicafé (Vol. AT284).
Roa, G., Oliveros, C., y Ramirez, C. (2000). Utilice la energía solar para secar correctamente el café. Cenicafe. Avances Técnicos, 281.
Rodríguez, G. (2006). Manual del Diseño Industrial. (Ediciones G Gili S.A, Ed.) (Tercera). México. Recuperado de: http://www.cua.uam.mx/pdfs/conoce/libroselec/16ManualDI.pdf
Sherwood, T. (1936). Secado de los sólidos. Moscú: Goslesizg, Ed.
Trujillo, J., y Rengifo, S. (2015). Análisis del posicionamiento estratégico del café del Huila y el desarrollo de los cafés especiales. (Tesis Pregrado Administración de Empresas). Universidad del Rosario. Bogotá, Colombia.
Federación Nacional de Cafeteros, Cenicafé y Fundación Manuel Mejía. (2009). Sistema de mejoramiento continuo en la producción de café. Módulo: calidad del café. (No. 1). Recuperado de: https://rhes.ruralhorizon.org/uploads/documents/ciscalidad.compressed.pdf
Velásquez, H., y Álvarez, G. (1991). Rastrillo revolvedor para el secado solar del café pergamino. Cenicafé, Avances Técnicos, 169, 1–4.
Información adicional
Cómo citar: Luna Valencia, J. E., Espinosa Bayer, C., Ordónez Castañeda, Y.
M. y Vásquez Riascos, A. M. (2018). Diseño estructural de un secador conitnuo y
herramienta para volteo de cafés especiales. Informador Técnico, 82(2), 260-269.

