

INFORMACIÓN TÉCNICA
Recepción: 01 Abril 2017
Aprobación: 01 Septiembre 2017
Publicación: 01 Noviembre 2017
DOI: https://doi.org/10.36610/j.jsab.2017.050200160
Resumen: Los estudios sobre el comportamiento de la pitahaya amarilla durante la poscosecha son escasos en el Ecuador. Por ello se realizó un estudio organoléptico en frutas sometidas a dos condiciones de almacenamiento con el objeto de evaluar el color, firmeza y apariencia de la fruta usando un panel de 10 catadores. Las frutas de tres estados fisiológicos de madurez (fruto tierno con 15-25 % madurez (B1), fruto pintón con 50 % madurez (B2) y fruto maduro con 75-90% de madurez (B3) fueron sometidas durante 22 días a almacenamiento bajo dos condiciones de temperatura: temperatura ambiente a 16±4 ºC (A1) y en frío con 6±2 ºC (A2). Se determinó el color, sabor, aroma, textura y aceptabilidad de la parte comestible (pulpa) usando una escala hedónica del uno al cinco, para la apreciación mínima y máxima, respectivamente. Las variables fueron comparadas mediante una prueba de media según Tukey (p˂0.05). En el análisis sensorial se determinó que el testigo es el más aceptado con promedio de los atributos estudiados de 4.7 en la escala hedónica, seguido por el tratamiento A2B3 (almacenamiento al frío con madures del 75-90%), cuyo valor promedio es de 4.3.
Palabras clave: Almacenamiento, atributo, catadores, escala hedónica, madurez.
Abstract: Studies on the behavior of yellow pitahaya during postharvest are scarce in Ecuador. Thus, an organoleptic study was carried out on pitahaya fruits subjected to two storage conditions in order to evaluate the color, firmness and appearance of the fruit based on a 10-taster panel. Fruits of three physiological stages of maturity (soft fruit with 15-25% maturity (B1), yellow fruit with 50% maturity (B2) and mature fruit with 75-90% maturity (B3) were submitted during 22 days to storage under two temperature conditions: room temperature at 16±4 ºC (A1) and cold at 6±2 ºC (A2). The color, flavor, aroma, texture and acceptability of the edible part (pulp) were determined using a hedonic scale. All variables were compared by a Tukey’s mean test (p˂0.05). The sensorial analysis determined that fruits from the control group was most accepted with an average of 4.7 in the hedonic scale followed by treatment A2B3 (cold storage with ripening of 75-90%), who’s average value was 4.3.
Keywords: Storage, attribute, scavengers, hedonic scale, maturity.
Introducción
Las características organolépticas son las que determinan el sabor de la fruta. (Cardozo-Burgos 2013). La pitahaya es una planta rústica de la familia cactácea, es conocida mundialmente como "la fruta del dragón”. En el fruto las características físicas y químicas de acuerdo con la especie, pueden ser diversas como: la presencia de espinas, color de la piel y de la pulpa, sólidos solubles y pH. (De Lima et al. 2013).
La vida útil de la pitahaya amarilla (Acanthocereus pitajaya sensu Croizat), es relativamente corto, por lo que para su consumo en fresco o procesado exige del desarrollo de investigaciones que ofrezcan alternativas de conservación para una mejor calidad y óptima conservación, además destaca de la pitahaya su sabor, aroma y su efecto laxante (Dueñas-Gómez et al. 2009).
Como una propiedad física importante (Cardozo-Burgos 2013) indica que la vida en estante de la pitahaya amarilla dura cuatro semanas, es decir el doble de la duración de la pitaya roja que es de dos semanas. (Forero et al. 2008) determinó que la maduración de la pitahaya es completa cuando es almacenada a temperaturas fluctuantes entre 10 y 15°C y apta para el consumo, alcanzando las características organolépticas propias de la fruta madura. En cuanto a la humedad relativa son adecuados para su conservación valores entre 85 y 90%. Dueñas-Gómez (2012) experimento dos tipos diferentes de almacenamiento: uno en el que los frutos se almacenaron sin modificar la temperatura (18ºC) durante 21 días, además evaluaron en los frutos enteros la dureza y el color de la misma.
Dentro de los índices de madurez y calidad que forman parte de la fisiología poscosecha, se encuentra el cambio del color de la cáscara (piel), hasta que alcanza el color amarillo total, el cual es signo de madurez óptima (Díaz 2005), indica también que el tiempo de cosecha apropiado deberá estar basado en la proporción sólidos solubles totales/acidez titulable (SST/AT), por ser el mejor indicador del sabor del fruto de pitahaya, la proporción ideal de SST/AT es 40.
Según (Jordán-Molina et al. 2009) la fruta para exportación se cosecha cuando presenta un color verde - amarillento con un 75% de madurez (variedad ecuatoriana).
El color de la cáscara según (Osuna-Enciso et al. 2011) varia durante el almacenamiento y entre estados de madurez. Frutos con madurez media (50-75%) y completa (75-100%) concluyeron con valores de ángulo de matiz de 15.6 (rojo) y 8.6 (rojo morado), respectivamente, y los de madurez inicial (25-50 %) con 31.7 (rojo-naranja).
(Centurión-Yah et al. 2008) efectuó el análisis sensorial de los frutos de pitahaya, realizándolo en forma afectiva por un panel no entrenado de 15 jueces, donde cada uno degustó una porción de pulpa para valorar el sabor y la aceptación general del fruto (color externo y apariencia de las brácteas) mediante escalas hedónicas de intervalos, concluye que durante la maduración ocurrió la mayor acumulación de porción comestible del fruto, por otra parte la percepción del sabor varió de agridulce a dulce.
La firmeza en frutos de Hylocereus undatus se reduce considerablemente cuando alcanzan madurez completa, aunque es una variable poco evaluada en las investigaciones de pos cosecha de la pitahaya (Osuna-Enciso et al. 2011).
Teniendo en cuenta las consideraciones anteriores el objetivo de la investigación fue determinar las propiedades organolépticas de las frutas de pitahaya amarilla, procedentes del cantón Pastaza, Provincia de Pastaza, y sus posibles cambios en el almacenamiento poscosecha.
Materiales y métodos
La investigación se desarrolló en los laboratorios de la Facultad de Ingeniería de Alimentos de la Universidad Técnica de Ambato Campus Ingahurco.
Para evaluar las características sensoriales de la fruta, se aplicó el diseño de bloques completos al azar (BCA) donde las condiciones de proceso fueron los seis tratamientos y los bloques fueron los diez catadores. En los tratamientos se incluyó una muestra testigo para efectuar comparaciones de preferencia frente a los seis tratamientos en estudio, esta muestra, estuvo representada por una fruta recién cosechada en óptimo estado fisiológico, utilizándose un total de 70 frutas para la determinación de los valores organolépticos, incluidos los 10 testigos (Tabla 1).

Las condiciones previas de los frutos a su almacenamiento fueron: Lavado con agua corriente y se dejaron al ambiente por un tiempo de 20 minutos para su secado. Los frutos fueron almacenados en refrigeración a una temperatura de 6±2 ºC y una humedad relativa de 72-92% y al ambiente, a una temperatura promedio de 17 ºC y a una humedad relativa promedio de 79%.
Los análisis organolépticos, se realizaron a través de pruebas sensoriales en los tratamientos evaluados, a los 22 días de almacenamiento, considerando los siguientes atributos: de la parte general de la fruta se analizó el color, firmeza y apariencia. De la parte comestible se determinó el color, sabor, aroma, textura y aceptabilidad de la fruta, para lo cual se diseñó un formulario y los resultados se evaluaron con un panel de 10 catadores, que fueron estudiantes de la Universidad Técnica de Ambato, seleccionados al azar, empleando una escala hedónica cinco puntos, uno para la mínima y cinco para la máxima puntuación. (Ramírez-Navas 2012) para determinar la apariencia de la fruta lo detectó a través de la vista, observando su color, brillo, forma, el aroma a través del olfato y la textura mediante el tacto.
Los análisis estadísticos realizados a las características sensoriales de la fruta, designa como variable 1 a los catadores con valores de 1 a 10 y como variable 2 a los tratamientos con valores de 1 a 6, estas escalas fueron considerados en el estudio realizado por (Centurión-Yah et al. 2008, Vargas et al. 2010), que utilizaron el método de evaluación sensorial diferencia‐preferencia. Conjuntamente evaluaron la muestra testigo, para establecer comparaciones de preferencias frente a los tratamientos.
Para el análisis estadístico se empleó el software estadístico versión 2014 InfoStat/L (Di Rienzo et al. 2010), con la finalidad de establecer las diferencias entre tratamientos, llevándose a cabo un Análisis de Varianza y la prueba de Tukey al 5% en los casos en que se ha encontrado diferencia.
Resultados
La maduración del fruto de pitahaya, es el proceso donde las frutas alcanzan las características sensoriales aptas para ser consumidas. Los cambios más evidentes durante el transcurso de la maduración son el color, sabor, olor, textura, etc. Estos cambios son el resultado de la profunda restructuración metabólica y química que se desata dentro del fruto (Alvarado-Romero 2014).
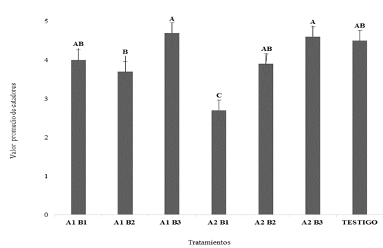
Evaluación Sensorial: Sobre el aspecto general del color de la fruta (figura 1), los tratamiento A1B3 (almacenamiento al ambiente con madures del 75-90%) y A2B3 (almacenamiento al frío con madures del 75-90%) tienen los mayores valores promedio en la escala hedónica, se interpreta como color muy aceptable por los catadores y difieren con el tratamiento A2B1 (almacenamiento al frío con madures del 15-25%), con un promedio de 2.7, catalogado como color neutral, por ser un valor intermedio de la escala. Esto se debe a que los frutos del tratamiento A2B1 al parecer retardan el proceso de maduración y por ende el avance del cambio en la coloración de la cáscara. En el estudio realizado por (Alvarado-Romero 2014) expone que el fruto cosechado, genera un ligero incremento del color hasta tres días después de la cosecha, de aquí en adelante inicia la degradación de la calidad del color.

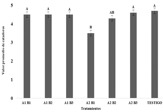
En el atributo firmeza (figura 2), se observa que existe diferencia significativa entre el tratamiento A2B1 y el Testigo, mientras el resto no presentan diferencia. El tratamiento A2B1 tiene el valor más bajo en la aceptación de los catadores pero sin diferencia significativa con los demás tratamientos excepto en testigo.

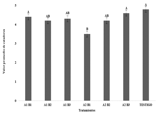
La apariencia en el aspecto general de la fruta (figura 3), evidencia que el testigo es el de mayor valor, fue el mejor aceptado por los catadores, el cuál presenta diferencia con el tratamiento A2B1, que es poco aceptable, mientras que el resto de tratamientos muestran similitud.

En el atributo sabor (figura 4), se observa que existe diferencias significativas entre el tratamiento A2B1 con el Testigo y A1B1 (almacenamiento al ambiente con madurez del 15 al 25%), mientras con el resto no presentan diferencia. El tratamiento A2B1 tiene el valor más bajo en la aceptación de los catadores.

La aceptabilidad de las frutas tratadas a temperatura ambiente resultó similar al testigo, independientemente del grado de madurez, mientras que en frutas almacenadas al frío se observó disminución de la aceptación, siendo menor cuando la fruta tenía 25% de madurez (Figura 5).

En la figura 6 se aprecia variaciones en cuanto a la aceptación general de la fruta, destacándose el testigo y el tratamiento A2B3 y el A1B.

Contrariamente no se encontraron diferencia significativa las variables tales como: Color, aroma, textura de la pulpa. (Figura 7, 8 y 9)



Discusión
Existe una gran variabilidad de resultados de los diferentes atributos en las propiedades organolépticas, por lo que se describen individualmente.
En cuanto a color y apariencia, las frutas con una maduración del 75% presentaron muy buena aceptación por los catadores tanto al ambiente (16±4 ºC.) como en frío (6±2 ºC.).
(Osuna-Enciso 2011) indica que los frutos de pitahaya cosechados en madurez media y completa mantuvieron mejores características de color de cáscara, en tanto que los frutos cosechados en madurez inicial redujeron su calidad. Sin embargo resultados de (Dueñas-Gómez 2012) mostraron que los frutos almacenados al amiente (18ºC) alcanzaron el 100 % de color amarillo en su corteza, entre los días 3 y 9, indicativo de su madurez sensorial.
En cuanto a la firmeza, los frutos almacenados a temperatura ambiente (22 días) no tienen una aceptación buena por los catadores, excepto el testigo que es el mejor. (Dueñas-Gómez 2012) evidenció que la dureza o firmeza alcanzó un valor mínimo luego de 15 días de almacenamiento (37 % del valor inicial), sin cambios significativos.
(Osuna-Enciso et al. 2011) también valoró la firmeza de los frutos y obtuvo una disminución en los primeros 6 días de almacenamiento, siendo mayor en frutos cosechados en madurez inicial que en frutos con madurez media y completa, cuyo firmeza fue similar.
(Magaña-Benítez et al. 2013) estudiaron varios indicadores entre ello firmeza y color externo de la piel, en los cuales no obtuvieron variaciones, almacenadas en ambiente natural (26 °C ± 2 y 70 % de HR) durante seis días.
En el color de la pulpa, los frutos almacenados al ambiente, con un 25% de maduración, tuvieron buena aceptación, superando inclusive al testigo.
En cuanto al sabor la mejor aceptación fue para el testigo y para la fruta almacenada al ambiente con maduración del 25%, el resto de tratamientos tienen un comportamiento similar.
Exceptuando el tratamiento al frío con 25% de madurez (A2B1), los demás tratamientos tuvieron muy buena aceptabilidad de la pulpa tanto al ambiente como al frío.
La aceptación general de la fruta tiene muy buena acogida por parte de los catadores en los tratamientos al ambiente y al frío, excepto el tratamiento en almacenado al frío con 25% de madurez (A2B1) y sobresalen los almacenadas con 90% de madurez y el testigo.
En forma general concluimos que el testigo es el más aceptado por los catadores con un valor promedio de todos los atributos de 4.5, seguido del tratamiento A2B3 (almacenamiento al frío con madures del 75-90%) con un valor de la escala hedónica 4.3.
Agradecimientos
Los autores agradecen a la Universidad Agraria del Ecuador Facultad de Ciencias Agrarias Sede Milagro y a la Universidad Técnica de Ambato Facultad de Ciencias Agropecuarias, por el apoyo técnico, científico y logístico realizado a la presente investigación.
Literatura citada
Alvarado-Romero JA. Caracterización poscosecha de la calidad del fruto de pitahaya amarilla (Selenicereus megalanthus) y roja (Hylocereus undatus). [Tesis de Licenciatura]. Universidad de Guayaquil; 2014. p. 80.
Cardozo-Burgos C. Manual técnico: Tecnología para el manejo de pitaya amarilla Selenicereus megalanthus (K. Schum. ex Vaupel) Moran en Colombia. Corporación Colombiana de Investigación Agropecuaria, Corpoica. [Technical Report en la Internet]. 2013 ; p 97.
Centurión-Yah AR, Solís-Pereira S, Saucedo-Veloz C, Báez-Sañudo R, Sauri-Duch E. Cambios físicos, químicos y sensoriales en frutos de pitahaya (Hylocereus undatus) durante su desarrollo. Rev Fitotec Mex 2008;31(1):1-5.
De Lima CA, Faleiro FG, Junqueira NTV, Cohen KO, Guimarães TG (2013) Physico-chemical characteristics, polyphenols and yellow flavonoids in fruits of commercial and wild pitaya species from the Brazilian Savannas. Características físico-químicas, polifenóis e flavonoides amarelos em frutos de espécies de pitaias comerciais e nativas do cerrado Rev Bras Frutic 2013;35(2):65-570.
Di Rienzo J, Balzarini M, Gonzalez L, Casanoves F, Tablada M, Robledo CW. InfoStat/L software estadístico versión 2014. Universidad Nacional de Córdoba (FCA-UNC) [Internet]. 2010 [citado 2017 Oct 23]; Disponible en: http://www.infostat.com.ar/.
Díaz JU. Biología y manejo postcosecha pitahaya roja y amarilla (Hylocereus spp., y Selenicereus spp.). La Calera 2005;5(6):44-9.
Dueñas-Gómez YM, Narváez CE, Restrepo LP. El choque térmico mejora la aptitud al almacenamiento refrigerado de pitaya amarilla. Agron Colomb 2009;27(1):105-10.
Dueñas-Gómez YM, Narváez-Cuenca CE, Restrepo-Sánchez LP. Ablandamiento de frutos de Pitaya amarilla (Acanthocereus pitajaya) a temperatura ambiente y en refrigeración: Actividad de poligalacturonasa, celulasa y xilanasa. Acta Biol Colomb 2012;17(2):259-70.
Forero AJ, Medina JR, García MC, Reinel-Garcia H. Diseño y construcción a nivel piloto de un sistema de almacenamiento para pitaya. Corpoica Cienc Tecnol Agropecuaria 2008; 9(1):40-55.
Jordán-Molina D, Vasconez-Cruz JS, Veliz-Quinto CD, Gonzáñez VH. Producción y exportación de pitahaya hacia el mercado europeo. Escuela Superior Politécnica del Litoral 2009; 1-115.
Magaña-Benítez W, Sauri-Duch E, Corrales-García J, Saucedo-Veloz C. Variaciones biquímicas-fisiológicas y fisicas de las frutas de pitahaya (Hylocereus undatus) almacenadas en ambiente natural. Revista Iberoamericana de Tecnología Postcosecha. Rev Iber Tecnología Postcosecha 2013;14(2):139-48.
Osuna-Enciso T, Ibarra-Zazueta ME, Muy-Rangel MD, Valdez-Torres JB, Villarreal-Romero M, Hernández-Verdugo S. Calidad postcosecha de frutos de pitahaya (Hylocereus undatus Haw.) cosechados en tres estados de madurez. Rev Fitotec Mex 2011;34(1):63-72.
Ramírez-Navas JS. Análisis sensorial: pruebas orientadas al consumidor. Reciteia 2012; 12(1) :83-102.
Vargas L, Tamayo J, Centurión A, Tamayo E, Saucedo C, Suari E. Vida útil de de pitahaya (Hylocereus undatus) mínimamente procesada. Rev Iber Tecnología Postcosecha 2010;11(2): 154-61.
Notas de autor
ljimenez@uagraria.edu.ec
Declaración de intereses
Enlace alternativo
http://www.scielo.org.bo/scielo.php?script=sci_arttext&pid=S2308-38592017000200011&lng=es&nrm=iso (html)

