Artículo de Investigación
Recepción: 30 Septiembre 2021
Aprobación: 04 Octubre 2021

Como citar: Pérez , H., Anrango , M. J., Villagrán , G., Ortiz , D., Chela , L., & Fernández , L. (2021). Determinación biogeográfica (zonas de vida) en la provincia de Pichincha. Ecuadorian Science Journal, 5(3), 239-261. DOI: https://doi.org/10.46480/esj.5.3.158
Resumen: En la provincia de Pichincha, el manejo de las zonas ecológicas garantiza la calidad y cantidad de agua en las cuencas y subcuencas hidrológicas; sin embargo, la deforestación y el deterioro de la cobertura vegetal ponen en riesgo los remanentes de sus bosques, ya que la destrucción de los recursos naturales afecta directamente al suministro de agua y su calidad. En este contexto, los programas de conservación y protección de áreas silvestres orientan sus esfuerzos al aspecto organizativo, involucrando así a las comunidades, sus líderes e instituciones educativas como actores primarios para la conservación y protección ambiental, procurando siempre determinar las áreas con agrupaciones similares de plantas y animales. Por tanto, considerando la orografía de la subcuenca del río Guayllabamba, se obtiene información de análisis preliminar de la agencia estatal (INAMHI), la cual cuenta con datos de temperatura, precipitación e hidrología a nivel nacional registrados a través de las estaciones automáticas ubicadas en puntos estratégicos; tomando como punto de referencia para el análisis climático, la estación hidrológica AJ Cubi que incentiva la triangulación y cierre de áreas. Cabe señalar que los parámetros esenciales para determinar de manera general los recursos existentes de una región son la temperatura y la precipitación.
Palabras clave: cuenca, evapotranspiración potencial, evapotranspiración real, precipitación, pisos biogeográficos, subcuenca, temperatura, zonas de vida, Holdridge.
Abstract: In the Pichincha province, the management of ecological zones guarantees the quality and quantity of water in the basins and hydrological sub-basins; however, deforestation and deterioration of the vegetation cover put the remnants of their forests at risk, since the destruction of natural resources directly affects the water supply and its quality. In this context, the programs for the conservation and protection of wildlife areas, direct their efforts to the organizational aspect, thus involving the communities, their leaders, and, educational institutions as primary actors for the conservation and environmental protection, always trying to determine the areas with similar groupings of plants and animals. In this sense, considering the orography of the Guayllabamba river sub-basin, preliminary analysis information is obtained from the state agency (INAMHI), which has temperature, precipitation, and hydrology data at the national level registered through automatic stations located at strategic points; taking as a point of reference for climate analysis, the AJ Cubi Estación hidrológicathat encourages triangulation and closure of areas. It should be noted that the essential parameters to determine in a general way the existing resources of a region are temperature and precipitation.
Keywords: basin, potential evapotranspiration, actual evapotranspiration, precipitation, biogeographic floors, sub-basin, temperature, life zones, Holdridge.
Introducción
En la provincia de Pichincha, las zonas ecológicas tienen gran importancia e impacto en la calidad y cantidad de los recursos hidrológicos, las zonas ecológicas brindan sistemas de drenaje natural abasteciendo el caudal de ríos, lagos y lagunas, los cuales se ven afectados por el cambio climático que, debido a la contaminación generada por las diferentes actividades antropogénicas, incluyendo la deforestación, destrucción de hábitats naturales, aumento poblacional, emisiones atmosféricas, actividades agrícolas y ganaderas, comprometen la diversidad biológica de las especies y, por ende, la sustentabilidad de los ecosistemas.
Los fenómenos climáticos definen las características biológicas de una determinada región, siendo de vital importancia establecer criterios para lograr niveles organizados de manejo, conservación y protección ambiental. En consecuencia, la presente investigación identifica de manera técnica las características de la cobertura vegetal y fauna a nivel de la provincia de Pichincha. Para ello, se han propuesto diferentes tipos de tratamiento para obtener agua segura para brindar una alternativa menos costosa con una alta tasa de uso eficiente en comparación con el consumo.
Métodos
Áreas de estudio
Para la obtención de los datos meteorológicos se realizó la selección de diez estaciones meteorológicas y una estación hidrológica que sirvió como punto de referencia para definir el área de estudio, de tal forma que los datos registrados permitan un análisis profundo de la determinación biogeográfica que viabilice el alcance del objetivo de la investigación. En la Tabla 1, se observa la ubicación de las estaciones meteorológicas e hidrológicas.

Datos de precipitaciones
Los datos de precipitación se obtuvieron de los anuarios climatológicos que genera el INHAMI; para garantizar la precisión en el análisis de estos datos, fue necesario establecer los coeficientes de correlación entre las estaciones meteorológicas de precipitación y temperatura, para lo cual se realizaron regresiones lineales simples, con la finalidad de determinar los datos faltantes. En la Tabla 2 y Tabla 3, se muestra la precipitación media anual.


Parcela de Isoyetas
Para trazar líneas de igual precipitación en función de la altura, se tiene en cuenta la topografía de la subcuenca.
Para el trazado de isoyetas, se toman los valores enteros que terminan en cero.
Para la representación gráfica, transformamos las coordenadas geográficas de las estaciones a coordenadas UTM e insertamos los datos de precipitación obtenidos en Excel.
Una vez definidas las áreas que existen entre cada estación, se aplica la Ecuación (1):
[1]Finalmente, ingresamos los datos obtenidos en la herramienta de trabajo Arcgis para la representación gráfica como se muestra en la Tabla 4.

Ejemplo de cálculo de precipitación media.
[2]Cálculo de isotermas
Para establecer la temperatura media se realizó el mismo proceso aplicado a las isoyetas, tomando datos de la temperatura media anual, las coordenadas de las estaciones meteorológicas y la altura a la que se ubican las estaciones, además, se toma como gradiente térmico una función de la altura. De esta forma se establece un levantamiento de isotermas dentro de la subcuenca y su influencia a nivel regional.
La distribución de la temperatura se representa en mapas isotérmicos que unen puntos de la misma temperatura anual representados en la Tabla 5 y Tabla 6.


Ejemplo de cálculo de la temperatura media anual.
[3]Donde:
Ti: Temperatura promedio de la estación meteorológica
n: Número de estaciones meteorológicas.
[3.1]

Cálculo del índice de calor mensual de las estaciones
La evapotranspiración potencial es la cantidad de agua que, si estuviera disponible, se evapotranspiraría de una superficie determinada.
La evapotranspiración potencial máxima es la lluvia disponible.
El método de Thornthwaite es el más adecuado para definir este parámetro. Este método consiste en calcular la evapotranspiración potencial para cada mes, a partir de la suma de estos datos se calcula el valor anual.
Tiene la ventaja de utilizar dos factores, la temperatura media mensual y la latitud que implícitamente introduce, la duración teórica de la insolación y tiene el inconveniente de no tener en cuenta la humedad del aire.
Una vez calculada la evapotranspiración potencial anual, se obtiene la evapotranspiración real siguiendo el método indicado:
[4]Donde:
i: Índice térmico
la temperatura media mensual en °C.
La suma total de los valores térmicos para obtener un índice anual:
[5]
La evapotranspiración potencial no corregida mensual viene dada por la siguiente expresión:

Donde:
ETp = Evapotranspiración potencial
[7]Los coeficientes de C y a son los mismos para cada mes y se dan en función del índice anual.


Aplicando este método y obteniendo los datos previamente, calculamos la ETp que presenta la subcuenca del río Guayllabamba, realizando el cálculo del índice térmico mensual, utilizando el mes de enero, es:
Índice térmico mensual de enero:
[7.1]


Ejemplo de cálculo de la evapotranspiración potencial corregida utilizando el mes de enero:
[7.2]


Cálculo de la corrección por el número de días del mes y el número de horas de sol.
Para calcular la evapotranspiración corregida, se utiliza:
Donde:
ETP= Evapotranspiración potencial corregida
N= número máximo de horas de sol, según el mes y la latitud equivalente (mm / día). Mesa Allen et al. 1998.

Sabiendo que:
Donde:
f = Factor de reducción
N = Número de días del mes (el número de días correspondiente se ingresa cada mes hasta completar los 12.
Ahora se debe ubicar la latitud de la provincia de Pichincha para realizar las interpolaciones correspondientes a fin de obtener los valores de N.
Latitud de la provincia de Pichincha:


Cálculo de la evapotranspiración por el método TURC
Sabiendo que la evapotranspiración es la suma de la cantidad de agua que pasa a la atmósfera a través de los procesos de evaporación interceptados por el suelo y la transpiración de las plantas, dicha transpiración es la cantidad de agua que se devuelve a la atmósfera por procesos biológicos a través de las hojas y el tallo de las plantas.
En consecuencia, aplicando este método se obtienen valores que se ven afectados por errores porcentuales en cuencas que presentan alto relieve, nieve o alta precipitación.
A partir de los mapas de Isoyetas e Isotermas, y utilizando como parámetros la precipitación y la temperatura media anual en cada estación meteorológica, se aplica la siguiente fórmula matemática con la que se elaboran los mapas de evapotranspiración de cada punto de las estaciones meteorológicas previamente interpoladas.
[10]Donde:
ET = Evapotranspiración anual (mm)
P = Lluvia anual (mm)
L = Parámetro térmico
ϴ = Temperatura media anual
Cabe señalar que los parámetros son datos proporcionados por las estaciones meteorológicas ubicadas dentro de la cuenca de Guayllabamba, precipitación anual y temperatura media anual:

Ejemplo de cálculo para la estación de evapotranspiración real Uyumbicho M-0113.
[11.1]


Una vez obtenida la evapotranspiración de cada punto generado en la subcuenca de Guayllabamba, se interpolan los datos de evapotranspiración con los de temperatura y precipitación para generar isolíneas y realizar el mapa de evapotranspiración a nivel de subcuenca.
Descripción del método Holdridge
eslie Holdridge define este método como un sistema simple para la clasificación de las formaciones vegetales del mundo, que luego amplió para cambiar el concepto de formaciones vegetales al de zonas de vida, ya que sus unidades no solo afectan a la vegetación sino también a las plantas. animales y, en general, cada zona de vida representa un hábitat distintivo desde el punto de vista ecológico y, en consecuencia, un estilo de vida diferente.
Base del sistema
El sistema se basa en la fisonomía o apariencia de la vegetación y no en la composición florística, los principales factores que se encuentran presentes al momento de la clasificación de una región con su temperatura y precipitación: los límites de las zonas de vida son valores medios anuales definidos de partes componentes.
Precipitación media anual.
La temperatura media del medio. En general, la precipitación vegetativa de las plantas da como resultado un rango de temperatura entre 0 ° C y 30 ° C, y dentro de la estación de precipitación, y a las temperaturas debidas al flujo de condensación. tan bajo como 0 ° C, donde las plantas se calientan a temperaturas básicas
La relación de evapotranspiración potencial (EPT) que es la relación entre la evapotranspiración y la precipitación media anual es un índice de humedad que determina las provincias de humedad.
Las clases definidas dentro del sistema Holdridge, como las utilizadas por la CAT (Organización Internacional de Investigación Científica Multidisciplinaria), se enumeran en la Tabla No. 18 para lo siguiente:


Caracterización del medio biótico en el área de estudio
Caracterización ecológica
La provincia de Pichincha tiene bosques que se encuentran entre 580m de altura en el nivel más bajo y 3070m en el nivel más alto bioclimáticamente, por lo tanto, es parte de la región montañosa húmeda.
Flora
El área tiene un delicado equilibrio ecológico, por lo que durante el trabajo de campo no fue posible aplicar una metodología que permita obtener datos cuantitativos sobre la flora del lugar, por lo que se decidió realizar un inventario general.
Inventario general
Se realizó mediante colectas aleatorias de plantas en estado fértil, paseos por Bosques Protectores, caminos de acceso y otros. Adicionalmente, se realizaron revisiones bibliográficas de estudios similares para el relevamiento del número de especies vegetales por metro cuadrado.
Resultados

El método Holdridge es un sistema utilizado para la clasificación de formaciones vegetales como zonas de vida que también incluyen animales, ya que cada zona representa un hábitat distintivo desde el punto de vista ecológico y, en consecuencia, un estilo de vida diferente. Utilizando datos de precipitación, temperatura y evapotranspiración, se determinaron las zonas de vida.
Precipitación
La precipitación es un parámetro que se tiene en cuenta para aplicar el método de Holdridge. Los datos de precipitación obtenidos de cada estación meteorológica fueron sometidos a un estudio de correlación para determinar la relación que existe mediante la ecuación de regresión, se realiza el diagrama de dispersión de datos y se define el coeficiente de correlación de Pearson.

El coeficiente de correlación entre los datos de precipitación de las estaciones Uyumbicho vs. Loreto Pedregal es r = 0.94, lo que representa una correlación positiva óptima.

Otavalo es la estación con mayor cantidad de datos; por tanto, se considera una variable independiente.
El coeficiente de correlación entre los datos de precipitación de las estaciones La Victoria vs. Otavalo es r = 0.97, lo que representa un buen grado de estimación de datos.



Rastreo de isoyetas: precipitación
Las isoyetas son líneas que representan la precipitación en función de la altura y se calcularon teniendo en cuenta la topografía de la subcuenca.
Rastreo de isotermas: temperatura
La distribución de temperatura se representa en mapas isotérmicos que unen puntos de igual temperatura anual, y se determinó la temperatura media anual de cada estación muestreada.
Evapotranspiración - Cantidad de agua
Para definir este parámetro se utiliza el método de Thornthwaite, y se calculó la evapotranspiración potencial para cada mes, tomando en cuenta dos factores: temperatura promedio mensual y latitud.
Sabiendo que la evapotranspiración es la suma de la cantidad de agua que pasa a la atmósfera por procesos de evaporación interceptados por el suelo y la transpiración de las plantas, la transpiración es la cantidad de agua que es devuelta a la atmósfera por procesos biológicos a través de las hojas y tallos de las plantas.
En consecuencia, al aplicar este método, se obtienen valores que se ven afectados por errores porcentuales en cuencas con alto relieve, nieve o alta precipitación.
A partir de los mapas de Isótopos e Isotermas, aplicando la siguiente ecuación matemática, se elaboran los mapas de evapotranspiración de cada punto de las estaciones meteorológicas previamente interpoladas.

Método Holdridge
Aplicando el método de Holdridge, que se basa en la fisonomía o apariencia de la vegetación y no en la composición florística, los principales factores que se tienen en cuenta para la clasificación de una región son la temperatura y la precipitación: los límites de las zonas de vida están definidos por los valores medios anuales de estos componentes.
La precipitación media anual.
Temperatura media anual. En general, se estima que el crecimiento vegetativo de las plantas ocurre en un rango de temperatura entre 0 ° C y 30 ° C, y la duración de la temporada de crecimiento, y donde las temperaturas bajo cero se toman como 0 ° C, ya que las plantas se vuelven letárgicas en estas temperaturas.
El índice de evapotranspiración potencial (EPT), que es el índice de evapotranspiración a la precipitación media anual, es un índice de humedad que determina las provincias de humedad.
Las clases definidas dentro del sistema Holdridge, tal como las utiliza CAT (Organización Internacional para la Investigación Científica Multidisciplinaria), se muestran en la Tabla 18 a continuación:
Definición de la zona de vida a nivel de subcuenca Encabezado (Tercer Nivel).
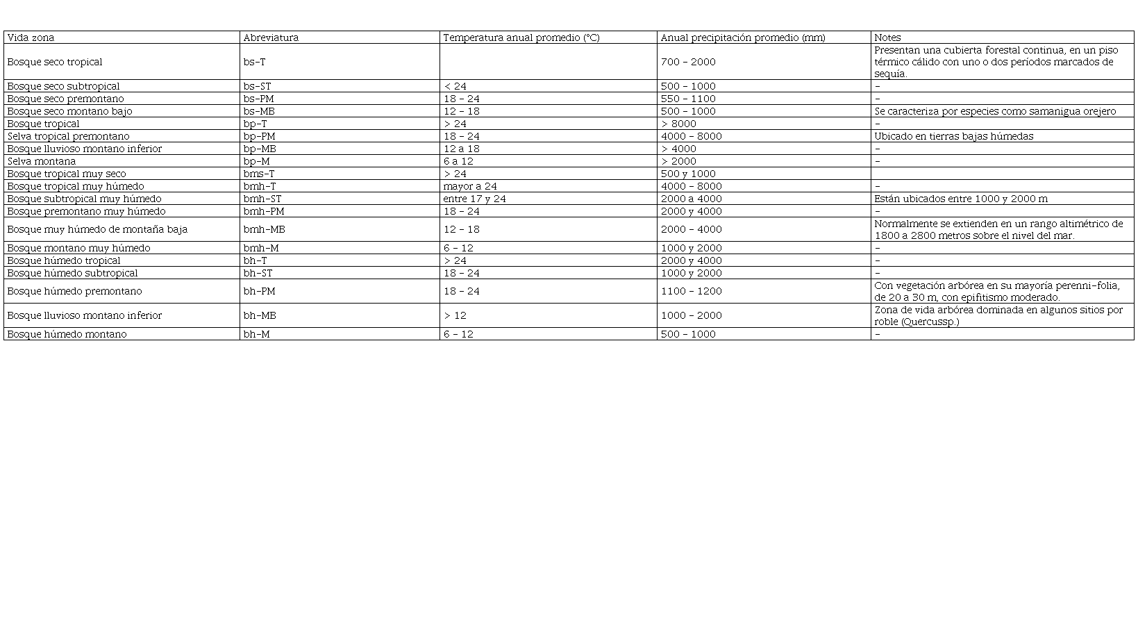
Luego de medir los parámetros propuestos por Holdridge, se determinó que la subcuenca del río Guayllabamba tiene una precipitación de 1089.63 mm durante el período de 17 años, dentro de este período la temperatura promedio anual de esta área es de 14.685 ° C y la evapotranspiración de la subcuenca es de 880,2625mm.
Comparando todos los valores calculados anteriormente con la Figura 1 , se establece que la subcuenca tiene las características físicas y biológicas de un bosque lluvioso montano bajo.
Caracterización del ambiente biótico en el área de estudio
Caracterización ecológica. La provincia de Pichincha tiene bosques entre 580 m sobre el nivel del mar en la cota más baja y 3070 m en la cota más alta bioclimáticamente, por lo tanto, forma parte de la región montañosa húmeda.
Flora. La zona tiene un delicado equilibrio ecológico, por lo que durante el trabajo de campo no fue posible aplicar una metodología que nos permitiera obtener datos cuantitativos de la flora de la zona, por lo que optamos por realizar un inventario general.
Inventario general. Se realizó mediante colectas aleatorias de plantas en estado fértil, paseos por los alrededores de Bosques Protegidos, caminos de acceso y otros. Además, se realizaron revisiones bibliográficas de estudios similares para determinar el número de especies vegetales por metro cuadrado.
Vegetación. Durante el trabajo de campo se encontraron áreas de bosque primario y se observaron pequeños remanentes de bosque.


Uso del recurso. Se encontraron algunas especies maderables como: Yagual (Polylepsis lanuginosa), Quisuar (Buddleja incana), Aliso (Agnus jorullensis), Laurel de Cera (Myrica pubescens). Estas especies se utilizan para la conservación de suelos, pero también se pueden generar proyectos de silvicultura sostenible en el caso de necesidades de madera.
Fauna. La reducción del hábitat disponible afecta a todas las especies y aumenta la probabilidad de extinción al disminuir el tamaño de sus poblaciones. De hecho, la pérdida o modificación del hábitat afecta al 76% de las especies en peligro de extinción del mundo (World Conservation Moniotring Center, 1992), y la fragmentación del hábitat ocurre cuando una porción extensa y continua de un ecosistema se transforma y reduce en uno o varios parches naturales incrustados en un ecosistema. matriz de áreas perturbadas (Norse et al.1986)
La fragmentación es causada por dos procesos distintos pero complementarios, los cuales tienen un impacto en la pérdida de diversidad biológica. El primero es la reducción de los hábitats disponibles en un ecosistema debido a actividades humanas como la expansión de la frontera agrícola y la deforestación (Suárez, 1998).
La fauna mantiene una relación equilibrada con la vegetación porque constituye el hábitat de la vegetación. Las actividades antropogénicas provocan la pérdida y fragmentación de hábitats naturales en el área de estudio, lo que ha provocado la migración de especies silvestres en busca de nuevos hábitats para su supervivencia. La destrucción de la vegetación ha tenido una influencia directa en la vida silvestre, por lo que, en la actualidad, solo se observan especies muy comunes que se han adaptado a los cambios.
Para caracterizar la fauna de la zona se revisaron diferentes fuentes bibliográficas: el piso zoogeográfico del bosque lluvioso montano bajo, caminatas por la zona, observación de vida silvestre o evidencias que indiquen la presencia de determinadas especies.
Mamíferos: los mamíferos existentes se han adaptado a los cambios que han experimentado en la zona.

Diversidad y abundancia. Los órdenes registrados en la zona son: Oryctolaguscuniculuscon, Myotisoxyotuscon, Oryctolaguscuniculuscon, Oryctolaguscuniculusde.
Aves: Las especies más representativas son:

Determinación de las condiciones ambientales con base en el modelo de Holdridge.
Uno de los principales afluentes es el río San Pedro, que nace al sureste del volcán Cotopaxi y desemboca en el sector sureste del cerro Ilaló, que a su vez da origen al río Guayllabamba.
La subcuenca del río Guayllabamba tiene un drenaje que corre de sur a norte, y limita al sur con la cuenca del río Pastaza, al norte con las microcuencas de los ríos Machángara y Chiche, al este con la microcuenca del río Pita. cuenca, y al oeste por la cuenca del río Napo.
La longitud del cauce principal es de aproximadamente 43 kilómetros, desde donde se origina en el sur del Illiniza, hasta el límite de las zonas media y baja.
En la subcuenca, los patrones de drenaje se pueden diferenciar según la altura y las fallas tectónicas del río. A nivel regional, estos pueden ser centrífugos (cuando las corrientes fluyen radialmente desde los conos volcánicos), paralelos (cuando hay una pendiente muy alta en su trayectoria de la sierra a la costa), rectangulares (considerados cuando existen fallas geológicas que determinar la orografía de la subcuenca) y patrones sub-paralelos que también indican fuertes pendientes en regiones de alto relieve, como es el caso aquí.
Para el estudio de la subcuenca hidrográfica, el objetivo es determinar la situación actual del recurso hídrico y su subsistencia en el tiempo, con el fin de definir técnicamente las características morfométricas de la región y aplicar medidas de gestión ambiental.
El cálculo de parámetros morfométricos permite adquirir información sobre la situación actual de la subcuenca, con el fin de generar planes de desarrollo que intervengan en la gestión ambiental sostenible en beneficio de la sociedad.
Conclusiones
El clima es un factor determinante en la hidrología de una cuenca, ya que define los insumos hídricos y energéticos, por lo que la precipitación proporciona el agua que ingresa a la cuenca, y es parte del drenaje, acuíferos o el agua que regresa a la atmósfera a través de evapotranspiración. La luz solar también juega un papel importante en este último aspecto, ya que es necesaria la evaporación del agua. Es importante señalar que los parámetros que se tienen en cuenta para el diagnóstico climático en la cuenca son la precipitación media anual y mensual, la temperatura media anual, la radiación solar y la humedad relativa.
En el caso de la subcuenca del río Guayllabamba, uno de los factores determinantes de la variación climática en esta región es su topografía, ya que se encuentra por encima de los 2800 m sobre el nivel del mar. Sus características, como la altitud, la orientación sur-norte y la presencia de fuertes pendientes, son un obstáculo para la circulación del viento.
El método Thornthwaite es el más apropiado para definir la evapotranspiración. Este método consiste en calcular la evapotranspiración potencial para cada mes y de la suma de estos datos se calcula el valor anual. Por otro lado, tiene la ventaja de utilizar dos factores, la temperatura media mensual y la latitud, que introduce implícitamente la duración teórica de la insolación; sin embargo, tiene la desventaja de no tener en cuenta la humedad del aire.
Una vez medidos los datos de precipitación, temperatura, evapotranspiración y evapotranspiración potencial, estos datos se compararon con los parámetros establecidos para las zonas de vida del sistema Holdridge, definiendo que la subcuenca tiene las características físicas y biológicas de un bosque lluvioso montano bajo.
Luego de medir los parámetros propuestos por Holdridge, se determinó que la subcuenca del río Guayllabamba tiene una precipitación de 1089.63 mm durante el período de 17 años, dentro de este período la temperatura promedio anual de esta área es de 14.7 ° C y la evapotranspiración de la subcuenca es de 880,2625mm.
De acuerdo con las características definidas anteriormente, se realizó una inspección de campo para verificar que las especies vegetales y animales pertenecen a la zona de vida del bosque montano húmedo.
Los métodos de conservación deben basarse en la inspección visual, el muestreo, la recopilación de datos de campo y la ejecución de actividades relacionadas con la gestión ambiental.
La parte asociativa de la comunidad con el medio ambiente obliga a tomar acciones preventivas que no pueden ser medibles pero aplicables dentro de un ecosistema para que en el futuro generen un impacto positivo en la población.
Las áreas forestales se han delimitado principalmente debido a la capacidad productiva de la tierra, lo que condiciona su uso, principalmente para la producción de árboles.
Referencias Bibliográficas
Albuja, L., M. Ibarra, J. Urgilés y R. Barriga. Estudio Preliminar de los Vertebrados Ecuatorianos Edit. Esc. Politécnica. Nacional. Quito. pg. 1-143.
Albuja, L. & R. Arcos. 2007. pg. 7-33. Lista de Mamíferos actuales del Ecuador. Politécnica pg. 27(4) Biología
Holdridge, L. R. 1967. Ecología de la zona de vida. Centro de Ciencias Tropical. San José, Costa Rica. Ecología Basada en Zonas de Vida, 1a. ed. San José, Costa Rica: IICA, 1982).
INAMHI. (2020). Información climatológica proporcionada por el INAMHI. Quito, Ecuador.
L. Cañadas, Ecuador: Mapa Ecológico del Ecuador. REVISTA, PRONAGREG-ORSTOM, 1978.
Larsen y B. HolmNeilsen (Eds.). Botánica tropical. Prensa académica. Nueva York, 1979.
L. Cañadas, El mapa bioclimático y ecológico del Ecuador, Banco Central del Ecuador, 1983.
MAE, Metodología para la Representación Cartográfica de los Ecosistemas del Ecuador Continental, 2012.
Norse, E. A. y seis coautores. 1986. Conservación de la diversidad biológica en nuestros bosques nacionales. The Wilderness Society, Washington, DC.
Norse, E. A. 1990. Bosques antiguos del noroeste del Pacífico. Island Press, Washington, DC.
R. Sierra, Propuesta preliminar de un sistema de clasificación de Vegetación para el Ecuador continental. Proyecto INEFAN / GEFBIRF y Eco-Ciencia. Quito, Ecuador. 1999.
Suárez, F. de C. 1980. Conservación de Suelos. Instituto Interamericano de Ciencias Agrícolas. Editoria.CA. San José, Costa Rica. 315 p.
World Conservation Monitoring Centre (WCMC) 1999. Species Database, unpublished data, Cambridge, U.K.
Thornthwaite CW, Mather RJ (1955) El balance hídrico. Publicaciones en climatología, laboratorio de climatología. Centerton, Nueva Jersey. 104 pg.
XU,C.Y.& S I N G H, V. P. C r o s s comparison of empirical equations for calculating potential evapotranspiration with data from Switzerland. Water Resources Management, 2002, Nº 16, pg. 197-219.
Notas
Información adicional
Como citar: Pérez , H., Anrango , M. J., Villagrán , G., Ortiz , D., Chela , L., & Fernández , L. (2021). Determinación biogeográfica (zonas de vida) en la provincia de Pichincha. Ecuadorian Science Journal, 5(3), 239-261. DOI: https://doi.org/10.46480/esj.5.3.158

