

Artículo de Investigación
Recepción: 05 Septiembre 2019
Aprobación: 14 Febrero 2020

Como citar: : Coello, A., Velasco, J., Mujica, J., & Borbor, C. (2020). Estadística Bayesiana para medir la mortalidad por VIH en la ciudad de Guayaquil-Ecuador año 2017. Ecuadorian Science Journal. 4(1), 21-25. DOI: https://doi.org/10.46480/esj.4.1.48
Resumen: El objetivo de este proyecto es determinar las principales causas de mortalidad entre paciente masculinos y femeninos portadores del virus VIH. Nuestra problemática recae en la poca información que existe referente a este tema, para esto se diseñó un estudio, encaminado a describir y analizar las tendencias y las causas de la mortalidad entre pacientes masculinos y femeninos con VIH. La muestra ha sido seleccionada por un procedimiento de azar para aplicar Teorema de Bayes posteriormente. Está formada por 604 pacientes de distintos hospitales de los cuales el 60% son varones. Las edades se distribuyen del siguiente modo: un 7,78% tiene menos de 20 años, un 67,39% entre 20 y 39; un 19,54% entre 40 y 55, y un 5,3% más de 55 años. Se ha utilizado una base de datos de tasa de mortalidad en hospitales tomada del Instituto Nacional de Estadística y Censos durante el año 2017.
Palabras clave: Mortalidad, Salud Pública, Pacientes, Causas, VIH.
Abstract: The objective of this project is to determine the main causes of mortality between male and female patients with HIV. Our problem lies in the little information that exists regarding this issue, for this purpose a study was designed, aimed at describing and analyzing the trends and causes of mortality among male and female patients with HIV. The sample has been selected by a random procedure to apply Bayes Theorem later. It consists of 604 patients from different hospitals of which 60% are male. The ages are distributed as follows: 7.78% are under 20 years old, 67.39% between 20 and 39; 19.54% between 40 and 55, and 5.3% over 55 years. A database of hospital mortality rates taken from the National Institute of Statistics and Censuses has been used during 2017.
Keywords: Mortality, Health Public, Patients, HIV.
Introducción
La enfermedad conocida como VIH es una enfermedad que causa miedo general en la población, siendo las consecuencias de ser portador de esta enfermedad letales, este trabajo recopila las principales causas de muerte para este sector de pacientes, específicamente se toman en cuenta registros de Guayas del año 2017, para su posterior estudio y enfoque en camino a una solución para mejorar los factores de riesgo que provocan esta enfermedad y poder ofrecer al paciente una mejor calidad de vida de estas personas.
En el trabajo descrito por Gerardo (Martínez-Guzmán, 2015) muestra un estudio realizado en la medición de la mortalidad en la población del estado de Puebla, en la cual se utiliza
El modelo matemático de Ricard Génova, para realizar el cálculo de las tablas de vidas se manejan las tablas modelo propuestas por la ONU desarrolladas por la Naciones Unidas usando los datos del estado de Puebla, México. Analizando los resultados de las tablas de mortalidad, donde el cálculo parte de una esperanza de un límite de máximo de 82 años y mínimo de 32 años, se observa que mientras menos edad, menor probabilidad de muerte. Usando datos de la ciudad de Guayaquil determinamos que 53,81% de los decesos ocurridos a causa del VIH se da en personas de 24 a 40 años, situación que nos da a entender que este virus coarta la esperanza de vida de las personas que lo padecen.
Existen precedentes referentes a distintos análisis de mortalidad en diferentes países, citando por ejemplo al modelo de análisis de Giraldo (Giraldo et al., 2017) en Colombia, el cual define un modelo usando aproximación de primer orden para realizar una predicción de mortalidad, el cual está determinado por variables como: Región, Grupo de Edad, Género, Causa y Tasa de Mortalidad (número de decesos por cada 100000 habitantes), los datos disponibles se estiman
Usando regresión lineal y el método de mínimos cuadrados, los cuales nos indicaban que las muertes en menores de edad alcanzaban el 40% del total de fallecidos del año 1998 – 2012, según los resultados extraídos en este trabajo la mortalidad de niños con problemas relacionados al VIH es del 4,8% en el año 2017.
En otros trabajos como el de expuesto por Doris (Cardona, Agudelo, & Byron, 1994) se analizó las diferencias entre variables como edad, sexo y las causas (no solo de salud sino también externas) que incrementan la muerte en personas adultas, este estudio fue realizado utilizando el método epidemiológico de estandarización que se emplea para conocer las características de enfermedades y otros daños de salud que afectan a las colectividades humanas, adjunto a ello para conocer las tasas de vida y esperanza de vida fue aplicado el método de Arriaga usando el programa Epidat, dando de resultados que la mortalidad por causas no evitables con el conocimiento científico actual ronda por el 16,5%. En el estudio a realizar se podrá definir las probabilidades de defunción de las diferentes causas y si esta afecta más a la población femenina o masculina aplicando el Teorema de Bayes que permite calcular la probabilidad “A” condicionado por la información “B” tomando estadísticas reveladas por el Instituto Nacional de Estadística y Censos (INEC) en el Registro Estadístico de Egresos Hospitalarios del año 2017.
Este trabajo se basa sobre las causas de mortalidad de los niños en Colombia realizado por Lurán, López, Pinilla y Sierra (Lurán, López, Pinilla, Biomédica, & 2009, n.d.), donde este trabajo se analiza las distintas causas de muertes de los infantes para explicar la situación de estos sucesos entre 1985 a 2004. Los datos que nos indican dicen que el sector que el nivel de mortalidad más alto son los hombres mayores de edad (60 – 64 años), siendo que referente al tema de nuestro estudio el porcentaje de mortalidad en este rango de edad no llega ni al 5% podemos determinar que esta enfermedad no es una causa de muerte notable para este sector de pacientes.
En el proyecto mostrado por Luis (Alvis-Guzmán, …, & 2015, n.d.) se demuestra el estudio realizado en el hospital pediátrico Napoleón Franco Pareja (HINFP) de Cartagena de Indias (Colombia), donde se muestra la mortalidad intrahospitalaria como insumo para la planificación de la atención sanitaria en pediatría. En el cual se realiza un estudio transversal descriptivo utilizando como variables de estudio: mes de ocurrencia de la muerte, sexo, edad al momento de la muerte, estado nutricional, patología, causa de muerte, tiempo entre la llegada al hospital y la muerte. Nos indicaba que el 26% de muertes eran causadas por enfermedades crónicas donde el VIH forma parte, del porcentaje que nuestro trabajo determina que la mayor cantidad de decesos que se dieron fueron debido a complicaciones en el embarazo.
Materiales y Métodos
El empleo de los métodos bayesianos en el análisis de los resultados del experimento brinda más información y resulta de mayor utilidad que los métodos convencionales; además, las conclusiones se expresan en un lenguaje mucho más intuitivo y las complejidades de sus cálculos pueden ser resueltas por los programas computacionales modernos, Silva LC (Silva, Sanitaria, & 2001, n.d.). En contraste, daremos uso de herramientas tecnológicas propuestos por el autor en nuestra investigación como lo es la programación en R empleada en el entorno de desarrollo de R Studio para así ofrecer una mejora en cuanto a los resultados aplicando teoremas de Bayes.
Evento
Conjunto de uno o más resultados de un experimento. En la teoría de conjuntos un evento es un subconjunto del espacio muestral (Cevallos-Torres & Botto-Tobar, 2019).
Símbolo: E
n: cardinalidad del evento.
Probabilidad de un evento
La probabilidad de un evento es medida por valores comprendidos entre 0 y 1. Entre mayor sea la probabilidad de que ocurra un evento, su probabilidad asignada estará más próxima a 1. La probabilidad de certeza es 1. La probabilidad de una imposibilidad es cero [7].
(1)Representación de la formula clásica de probabilidad:
(2) Donde:
n(E): cardinalidad del evento. n(Ω): cardinalidad del espacio muestral.
Tabla de frecuencia
Este constituye en un método útil y eficiente para tabular datos cualitativos y cuantitativos, y nos permite ordenar. Clasificar y explicar con detalle la información anteriormente recolectada de la muestra (TORRES, MARTINEZ, & AMERICA, 2017).
Clase
Si tenemos datos agrupados son intervalos de igual longitud que son exhaustivos y mutuamente excluyentes [8].
Frecuencia absoluta
Número de observaciones que se pueden clasificar en la clase. [8].
Frecuencia relativa
Se la obtiene dividiendo que la frecuencia de la clase [8].
Frecuencia acumulada
Resultado de sumar la frecuencia acumulada de la clase (i – 1) con la frecuencia relativa i [8].
Frecuencia relativa acumulada
Se obtiene dividiendo la frecuencia acumulada de la clase i para el total de iteraciones [8].
Teoría de Bayes
Este teorema fue planteado por el matemático inglés Thomas Bayes (1702-1761) y postulada en el año 1763, que expresa la probabilidad condicional de un evento aleatorio A dado el evento B en términos de distribución de probabilidad condicional del evento B dado A y la distribución de probabilidad marginal de solo A.
Sea {A1, A2, …A2…An} un conjunto de sucesos mutuamente excluyentes y cuya unión es el total, o sea 1y tales que la probabilidad de cada uno de ellos es distinta de cero. Sea B un suceso cualquiera del que se conocen las probabilidades condicionales P (B/Ai). Entonces la probabilidad P (Ai/B) viene dada por la expresión (investigaciones & 2009, n.d.):
(3)Donde:
P(Ai) son las probabilidades a priori. P(B / Ai) es la probabilidad de B en la hipótesis Ai. P (Ai / B) son las probabilidades a posteriori.
Código R

Caso de Estudio
Para el eficaz desarrollo del proyecto se eligió modelo para el caso de estudio el tema "Cálculo de la mortalidad en la población del estado de Puebla, usando las Tablas modelo de la ONU y el método de Ricard Genova" ya que demuestra con sus tablas de mortalidad, obtenidas con el modelo matemático de Ricard Genova, una clara idea de la esperanza de vida que tienen en ese lugar, gracias a ello se puede utilizar dicha cantidad y estimarlo para el desarrollo de nuestro proyecto, utilizando nuevas variables como lo son: Sexo, Provincia de residencia del Paciente, Causa de muerte, Días de estadía, Edad del Paciente y Fecha de Ingreso, ya con datos más recientes enfocados en nuestro país y aplicando el teorema de Bayes para una obtención más precisa en los resultados como la mortalidad causada por el VIH de acuerdo a su género o sexo, estimación por edad y sus diferentes orígenes patológicos.
Resultados y Discusión
Mortalidad causada por el VIH de acuerdo con su género o sexo
La tabla 1 proporciona una visión general de las defunciones estimadas por el sexo, donde las mujeres y hombres presentan leves diferencias en cuanto se examina dicha causa de muerte, siendo más evidente que el sexo masculino excede en un 10% al género femenino. El porcentaje de fallecimiento causados por VIH en hombres es del 60% y de las mujeres del 40%, datos tomados de 604 registros de la base de Datos de Egresos Hospitalarios del censo 2017.

Tabla 2 ilustra los egresos de acuerdo con rangos de edades que van de 1 a 79 años obtenidos por medio de la Regla de Struges. Claramente se observa que el porcentaje más elevado pertenecen al grupo de 32 a 40 años pudiendo inferir que esta enfermedad es más propensa en la edad adulta con un valor del 27,32%.

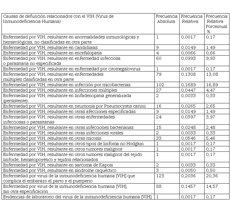
Respecto a los egresos en el año 2017 las muertes causadas por VIH varían de acuerdo con sus diferentes patologías, en la Tabla 3 difieren mucho los porcentajes de las muchas clasificaciones ocasionas por esta enfermedad mortal donde la estadística revela que la enfermedad por virus de la inmunodeficiencia humana [VIH] que complica el embarazo el parto y el puerperio está por encima de los diferentes casos, obteniendo una estimación del 20,36% de defunciones para esta causante.
Análisis de Bayes
El teorema de Bayes parte de la situación que en la que es posible conocer las probabilidades de que ocurran una serie de sucesos “A”. A esta se añade un suceso B cuya ocurrencia proporciona cierta información, porque las probabilidades de ocurrencia de “B” son distintas según el suceso “A” que haya ocurrido.
En este proyecto analizamos las probabilidades de que una persona muera con el virus del VIH siendo que primero tiene determinado género, edad, complicación en su estado de salud. Analizando las diferentes variantes causadas por el VIH y su impacto en el género masculino y femenino, tenemos que:
Como primer dato se analizará el porcentaje de muere de acuerdo con el género y que probabilidad tendrá este con

respecto a la Enfermedad por VIH, resultante en infección por microbacterias.
P(DF) = defunciones femeninas
P(DM)= defunciones masculinas
P(DF)= 40%
P(DM)= 60%
P (VIH Microbacterias) = Enfermedad por VIH, resultante en infección por microbacterias
P (VIH Microbacterias) = 18,89%
Conclusiones
El VIH siempre ha sido una de las enfermedades más letales que existen, desde 1990 hasta la actualidad ha dado millones de muertes en su haber por múltiples causas. Entender cuáles son las que afectan a mayor parte de este grupo de pacientes es de suma importancia, ya que la desinformación respecto a este tema causa que no haya cuidado o medidas preventivas para los mismos.
Los resultados nos indican que los mayores riesgos son para las mujeres en estado de gestación, muerte por micro bacterias y los no especificados. Para el primer caso se debe determinar cómo mejorar la probabilidad de que mujeres embarazadas con el virus del VIH sigan con vida después de la labor de parto, para el segundo caso establecer normas de aseo más rigurosas, siendo el tercero un dato que desconocemos no podemos establecer una solución a este.
Referencias Bibliográficas
Alvis-Guzmán, N., … L. O.-I.-S., & 2015, undefined. (n.d.). Mortalidad en un hospital pediátrico de referencia regional de Colombia. Search.Proquest.Com.
Cardona, C., Agudelo, D. ;, & Byron, H. (1994). Tendencias de mortalidad en población adulta, Medellín, 1994-2003. Redalyc.Org, 27, 352–363.
Cevallos-Torres, L., & Botto-Tobar, M. (2019). Case study: Probabilistic estimates in the application of inventory models for perishable products in SMEs. In Problem-Based Learning: A Didactic Strategy in the Teaching of System Simulation (pp. 123–132). Springer.
Giraldo, D., Atehortúa, A., García-Arteaga, J. D., Díaz-Jiménez, D. P., Romero Jesús Rodríguez, E., & Eléctrica, I. (2017). Modelo para el análisis de la mortalidad en Colombia 2000-2012 1 A model for mortality analysis in Colombia. 2000-2012. Rev. Salud Pública, 19(2), 241–249. https://doi.org/10.15446/rsap.v19n2.66239
investigaciones, R. F. R.-R. cubana de, & 2009, undefined. (n.d.). El teorema de Bayes y su utilización en la interpretación de las pruebas diagnósticas en el laboratorio clínico. Scielo.Sld.Cu.
Lurán, A., López, E., Pinilla, C., Biomédica, P. S.-, & 2009, undefined. (n.d.). Situación de la mortalidad por causas reducibles en menores de cinco años, Colombia, 1985-2004. Redalyc.Org.
Martínez-Guzmán, G. (2015). Cálculo de la mortalidad en la población del estado de Puebla, usando las Tablas modelo de la ONU y el método de Ricard Genova. Scielo.Org.Mx.
Silva, L., Sanitaria, A. B.-G., & 2001, undefined. (n.d.). El enfoque bayesiano: otra manera de inferir. Elsevier.
TORRES, L. C., MARTINEZ, V., & AMERICA, N. (2017). Análisis Estadístico Univariado.
Notas
Información adicional
Como citar: : Coello, A., Velasco, J., Mujica, J., & Borbor, C. (2020).
Estadística Bayesiana para medir la mortalidad por VIH en la ciudad de
Guayaquil-Ecuador año 2017. Ecuadorian
Science Journal. 4(1), 21-25.
DOI: https://doi.org/10.46480/esj.4.1.48

